Health Beneficial Properties of Grapevine Seed Extract and Its Influence on Selected Biochemical Markers in the Blood, Liver and Kidneys of Rattus norvegicus
Abstract
1. Introduction
2. Results and Discussion
2.1. Antioxidant Activity and Phytochemical Composition of Grape Seed Extract
2.2. In Vivo Determination of the Grape Seed Extract Effect in the Rats
2.2.1. Determination of Cadmium Content in Blood, Liver, and Kidneys
2.2.2. Determination of Creatinine and Urea Contents
2.2.3. Determination of Plasma Antioxidant Activity
2.2.4. Determination of ALT and AST Activities
2.2.5. Determination of SOD and CAT Activities in the Liver
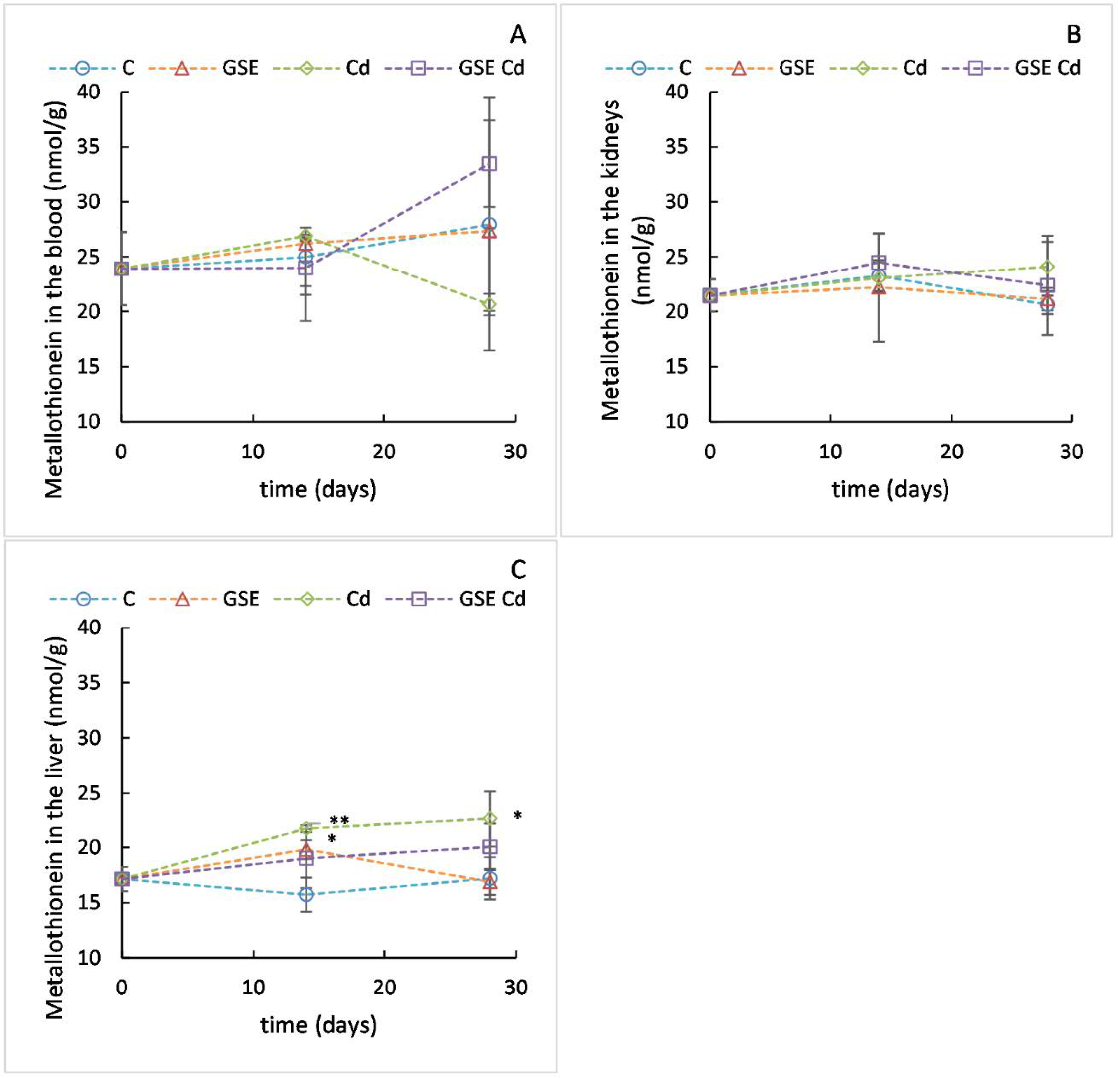
2.2.6. Determination of MT Content
3. Materials and Methods
3.1. Experiment Design
3.2. Grapevine Seed Extract
3.3. Determination of Antioxidant Activity and Total Polyphenolics Content
3.3.1. Determination of Antioxidant Activity Using the ABTS Method
3.3.2. Determination of Antioxidant Activity Using the DPPH Method
3.3.3. Determination of Antioxidant Activity Using the Ferric Reducing Antioxidant Power Method
3.3.4. Determination of Antioxidant Activity Using the Chlorophyllin Free Radical Method
3.3.5. Determination of Total Polyphenol Concentration
3.4. Determination of Antioxidants by HPLC
3.5. Determination of Selected Biochemical Markers
- (1)
- Plasma analyses: total plasma antioxidant activity, creatinine, urea, ALT, AST.
- (2)
- Blood analyses: MT.
- (3)
- Liver analyses: SOD, CAT, MT.
- (4)
- Kidney analyses: MT.
3.5.1. Determining the Total Plasma Antioxidant Activity, Creatinine, Urea, ALT, and AST
Determination of Total Antioxidant Activity of Plasma
Determination of Creatinine Content
Determination of Alanine Aminotransferase
Determination of Aspartate Aminotransferase
Determination of Urea
Determination of Total Proteins Using the Biuret Method
3.5.2. Determination of Superoxide Dismutase (SOD) and Catalase (CAT)
Determination of SOD Activity
Determination of CAT Activity
3.5.3. Determination of Metallothionein Content
3.5.4. Determination of Cadmium Content in the Blood, Liver, and Kidney
Decomposition of Samples
Determination of Cadmium by Atomic Absorption Spectrometry
3.6. Statistical Analysis
4. Conclusions
Author Contributions
Funding
Institutional Review Board Statement
Informed Consent Statement
Data Availability Statement
Conflicts of Interest
Sample Availability
References
- Gao, M.L.; Yang, Y.J.; Song, Z.G. Effects of graphene oxide on cadmium uptake and photosynthesis performance in wheat seedlings. Ecotox. Environ. Saf. 2019, 173, 165–173. [Google Scholar] [CrossRef]
- Schutze, G.; Becker, R.; Dammgen, U.; Nagel, D.; Schlutow, A.; Weigel, J. Assessment of risks to human health and the environment from cadmium in fertilisers. Landbauforsch. Volk. 2003, 53, 63–170. [Google Scholar]
- Verma, N.; Yadav, A.; Bal, S.; Gupta, R.; Aggarwal, N. In Vitro Studies on Ameliorative Effects of Limonene on Cadmium-Induced Genotoxicity in Cultured Human Peripheral Blood Lymphocytes. Appl. Biochem. Biotechnol. 2019, 187, 1384–1397. [Google Scholar] [CrossRef]
- Donmez, H.H.; Donmez, N.; Kisadere, I.; Undag, I. Protective effect of quercetin on some hematological parameters in rats exposed to cadmium. Biotech. Histochem. 2019, 94, 381–386. [Google Scholar] [CrossRef] [PubMed]
- Abu-El-Zahab, H.S.H.; Hamza, R.Z.; Montaser, M.M.; El-Mahdi, M.M.; Al-Harthi, W.A. Antioxidant, antiapoptotic, antigenotoxic, and hepatic ameliorative effects of L-carnitine and selenium on cadmium-induced hepatotoxicity and alterations in liver cell structure in male mice. Ecotox. Environ. Saf. 2019, 173, 419–428. [Google Scholar] [CrossRef] [PubMed]
- Bernard, A. Cadmium & its adverse effects on human health. Indian J. Med. Res. 2008, 128, 557–564. [Google Scholar] [PubMed]
- Garcia-Jares, C.; Vazquez, A.; Lamas, J.P.; Pajaro, M.; Alvarez-Casas, M.; Lores, M. Antioxidant White Grape Seed Phenolics: Pressurized Liquid Extracts from Different Varieties. Antioxidants 2015, 4, 737–749. [Google Scholar] [CrossRef]
- Giribabu, N.; Karim, K.; Kilari, E.K.; Kassim, N.M.; Salleh, N. Anti-Inflammatory, Antiapoptotic and Proproliferative Effects of Vitis vinifera Seed Ethanolic Extract in the Liver of Streptozotocin-Nicotinamide-Induced Type 2 Diabetes in Male Rats. Can. J. Diabetes 2018, 42, 138–149. [Google Scholar] [CrossRef]
- Dulundu, E.; Ozel, Y.; Topaloglu, U.; Toklu, H.; Ercan, F.; Gedik, N.; Sener, G. Grape seed extract reduces oxidative stress and fibrosis in experimental biliary obstruction. J. Gastroenterol. Hepatol. 2007, 22, 885–892. [Google Scholar] [CrossRef]
- Enginar, H.; Cemek, M.; Karaca, T.; Unak, P. Effect of grape seed extract on lipid peroxidation, antioxidant activity and peripheral blood lymphocytes in rats exposed to x-radiation. Phytother. Res. 2007, 21, 1029–1035. [Google Scholar] [CrossRef] [PubMed]
- Gutierrez-Gamboa, G.; Gomez-Plaza, E.; Bautista-Ortin, A.B.; Garde-Cerdan, T.; Moreno-Simunovic, Y.; Martinez-Gil, A.M. Rootstock effects on grape anthocyanins, skin and seed proanthocyanidins and wine color and phenolic compounds from Vitis vinifera L. Merlot grapevines. J. Sci. Food Agric. 2019, 99, 2846–2854. [Google Scholar] [CrossRef]
- Giannini, B.; Mulinacci, N.; Pasqua, G.; Innocenti, M.; Valletta, A.; Cecchini, F. Phenolics and antioxidant activity in different cultivars/clones of Vitis vinifera L. seeds over two years. Plant Biosyst. 2016, 150, 1408–1416. [Google Scholar] [CrossRef]
- Edo-Roca, M.; Sanchez-Ortiz, A.; Nadal, M.; Lampreave, M.; Valls, J. Vine vigor and cluster uniformity on Vitis vinifera L. seed procyanidin composition in a warm Mediterranean climate. Span. J. Agric. Res. 2014, 12, 772–786. [Google Scholar] [CrossRef]
- Alkhedaide, A.; Youssef, G.; El-Zoghby, R.; Mahmoud, M.; Atwa, S. Cadmium induced hepatic intoxication and amelioration by grape seed extract. Int. J. Pharmacol. Toxicol. 2017, 6, 1. [Google Scholar] [CrossRef]
- Huff, J.; Lunn, R.M.; Waalkes, M.P.; Tomatis, L.; Infante, P.F. Cadmium-induced cancers in animals and in humans. Int. J. Occup. Environ. Health 2007, 13, 202–212. [Google Scholar] [CrossRef]
- Hiatt, V.; Huff, J.E. The environmental impact of cadmium: An overview. Int. J. Environ. Stud. 1975, 7, 277–285. [Google Scholar] [CrossRef]
- Department of Health and Human Services (HHS). Public Health Assessments Completed, Agency for Toxic Substances and Disease Registry (ATSDR). Fed. Regist. 1999, 64, 4422–4423. [Google Scholar]
- Li, X.; Jiang, X.W.; Sun, J.X.; Zhu, C.J.; Li, X.L.; Tian, L.M.; Liu, L.; Bai, W.B. Cytoprotective effects of dietary flavonoids against cadmium-induced toxicity. Ann. N.Y. Acad. Sci. 2017, 1398, 5–19. [Google Scholar] [CrossRef]
- Kaplan Lawrence, A.P.A.J. Clinical Chemistry: Theory, Analysis, Correlation, 5th ed.; Mosby: Maryland Heights, MO, USA, 2009. [Google Scholar]
- Marshall, W.J.; Bangert, S.K. Clinical Biochemistry: Metabolic and Clinical Aspects; Churchill Livingstone/Elsevier: London, UK, 2008. [Google Scholar]
- Navaneethan, D.; Rasool, M. p-Coumaric acid, a common dietary polyphenol, protects cadmium chloride-induced nephrotoxicity in rats. Ren. Fail. 2014, 36, 244–251. [Google Scholar] [CrossRef] [PubMed]
- Himmelfarb, J.; Sayegh, M.H. Chronic Kidney Disease, Dialysis, and Transplantation E-Book: A Companion to Brenner and Rector’s The Kidney—Expert Consult: Online and Print; Elsevier Health Sciences: Amsterdam, The Netherlands, 2010. [Google Scholar]
- Cuypers, A.; Plusquin, M.; Remans, T.; Jozefczak, M.; Keunen, E.; Gielen, H.; Opdenakker, K.; Nair, A.R.; Munters, E.; Artois, T.J.; et al. Cadmium stress: An oxidative challenge. Biometals 2010, 23, 927–940. [Google Scholar] [CrossRef] [PubMed]
- Pereira, D.M.; Valentao, P.; Pereira, J.A.; Andrade, P.B. Phenolics: From Chemistry to Biology. Molecules 2009, 14, 2202–2211. [Google Scholar] [CrossRef]
- Evcimen, M.; Aslan, R.; Gulay, M.S. Protective effects of polydatin and grape seed extract in rats exposed to cadmium. Drug Chem. Toxicol. 2020, 43, 225–233. [Google Scholar] [CrossRef]
- Bannister, J.V.; Bannister, W.H.; Rotilio, G. Aspects of the structure, function, and applications of superoxide dismutase. CRC Crit. Rev. Biochem. 1987, 22, 111–180. [Google Scholar] [CrossRef]
- Chelikani, P.; Fita, I.; Loewen, P.C. Diversity of structures and properties among catalases. Cell. Mol. Life Sci. CMLS 2004, 61, 192–208. [Google Scholar] [CrossRef] [PubMed]
- Jones, D.P. Intracellular catalase function: Analysis of the catalatic activity by product formation in isolated liver cells. Arch. Biochem. Biophys. 1982, 214, 806–814. [Google Scholar] [CrossRef]
- Stipek, S.; Borovanský, J.; Jones, Č.; Homoka, J.; Klener, P.; Lukáš, M.; Špičák, J.; Tesař, V.; Zeman, M.; Zima, T.; et al. Antioxidants and Free Radicals in Health and Disease; Grada Publishing: Prague, Czech Republic, 2000; p. 314. [Google Scholar]
- Dukic-Cosic, D.; Baralic, K.; Javorac, D.; Djordjevic, A.B.; Bulat, Z. An overview of molecular mechanisms in cadmium toxicity. Curr. Opin. Toxicol. 2020, 19, 56–62. [Google Scholar] [CrossRef]
- Eckschlager, T.; Adam, V.; Hrabeta, J.; Figova, K.; Kizek, R. Metallothioneins and cancer. Curr. Protein Pept. Sci. 2009, 10, 360–375. [Google Scholar] [CrossRef] [PubMed]
- Krizkova, S.; Kepinska, M.; Emri, G.; Rodrigo, M.A.M.; Tmejova, K.; Nerudova, D.; Kizek, R.; Adam, V. Microarray analysis of metallothioneins in human diseases-A review. J. Pharm. Biomed. Anal. 2016, 117, 464–473. [Google Scholar] [CrossRef]
- Klaassen, C.D.; Liu, J.; Diwan, B.A. Metallothionein protection of cadmium toxicity. Toxicol. Appl. Pharmacol. 2009, 238, 215–220. [Google Scholar] [CrossRef] [PubMed]
- Shiyntum, H.N.; Ushakova, G.A. Protective/detoxicative function of metallothionein in the rat brain and blood induced by controlled cadmium doses. Visnyk Dnipropetr. Univ.-Biol. Med. 2015, 6, 103–107. [Google Scholar] [CrossRef]
- Sochor, J.; Ryvolova, M.; Krystofova, O.; Salas, P.; Hubalek, J.; Adam, V.; Trnkova, L.; Havel, L.; Beklova, M.; Zehnalek, J.; et al. Fully Automated Spectrometric Protocols for Determination of Antioxidant Activity: Advantages and Disadvantages. Molecules 2010, 15, 8618–8640. [Google Scholar] [CrossRef] [PubMed]
- Aebi, H. Methods of Enzymatic Analysis, 2nd ed.; Bergmeyer, H.U., Ed.; Verlag Chemie: Weinheim, Germany, 1974; Volume 2, p. 12. [Google Scholar]
- Fabrik, I.; Krizkova, S.; Huska, D.; Adam, V.; Hubalek, J.; Trnkova, L.; Eckschlager, T.; Kukacka, J.; Prusa, R.; Kizek, R. Employment of electrochemical techniques for metallothionein determination in tumor cell lines and patients with a tumor disease. Electroanalysis 2008, 20, 1521–1532. [Google Scholar] [CrossRef]






| DPPH● | FRAP | ABTS●+ | FR | TP |
|---|---|---|---|---|
| 12.6 ± 0.34 | 30.7 ± 0.42 | 15.4 ± 0.31 | 7.3 ± 0.15 | 9.3 ± 0.35 |
| AP | AG | HY | IS | KA | MY | QE | RU | A2 | B1 |
|---|---|---|---|---|---|---|---|---|---|
| 3.02 ± 0.11 | 4.58 ± 0.23 | 221 ± 3.2 | 11.7 ± 0.38 | 0.21 ± 0.03 | 27.1 ± 0.47 | 7.85 ± 0.42 | 22.2 ± 0.71 | 359 ± 5.3 | 7.15 ± 0.21 |
Publisher’s Note: MDPI stays neutral with regard to jurisdictional claims in published maps and institutional affiliations. |
© 2021 by the authors. Licensee MDPI, Basel, Switzerland. This article is an open access article distributed under the terms and conditions of the Creative Commons Attribution (CC BY) license (https://creativecommons.org/licenses/by/4.0/).
Share and Cite
Sochorova, L.; Baron, M.; Dadakova, K.; Kasparovsky, T.; Sochor, J. Health Beneficial Properties of Grapevine Seed Extract and Its Influence on Selected Biochemical Markers in the Blood, Liver and Kidneys of Rattus norvegicus. Molecules 2021, 26, 2099. https://doi.org/10.3390/molecules26072099
Sochorova L, Baron M, Dadakova K, Kasparovsky T, Sochor J. Health Beneficial Properties of Grapevine Seed Extract and Its Influence on Selected Biochemical Markers in the Blood, Liver and Kidneys of Rattus norvegicus. Molecules. 2021; 26(7):2099. https://doi.org/10.3390/molecules26072099
Chicago/Turabian StyleSochorova, Lenka, Mojmir Baron, Katerina Dadakova, Tomas Kasparovsky, and Jiri Sochor. 2021. "Health Beneficial Properties of Grapevine Seed Extract and Its Influence on Selected Biochemical Markers in the Blood, Liver and Kidneys of Rattus norvegicus" Molecules 26, no. 7: 2099. https://doi.org/10.3390/molecules26072099
APA StyleSochorova, L., Baron, M., Dadakova, K., Kasparovsky, T., & Sochor, J. (2021). Health Beneficial Properties of Grapevine Seed Extract and Its Influence on Selected Biochemical Markers in the Blood, Liver and Kidneys of Rattus norvegicus. Molecules, 26(7), 2099. https://doi.org/10.3390/molecules26072099

