A New Photoactivatable Ruthenium(II) Complex with an Asymmetric Bis-Thiocarbohydrazone: Chemical and Biological Investigations
Abstract
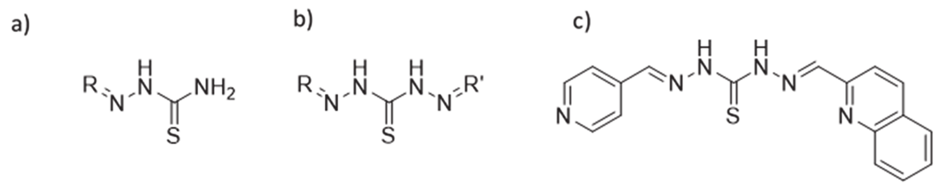
1. Introduction
2. Results and Discussion
2.1. Synthetic Approach to Bond a Thiocarbohydrazone (TC) to a Ruthenium(II) Half-Sandwich
2.2. Study of Complex Stability under Physiological Conditions
2.3. Photoactivation Studies
2.4. Studies of Complexation with First Row Transition Metals: The Case of Copper and Nickel
2.5. Biological Studies
2.5.1. IC50 Evaluation of Compound C with and without Photoactivation in Cells
2.5.2. IC50 Evaluation of Compound C Treated with Copper(II) and Nickel(II) Chlorides
3. Materials and Methods
3.1. Chemistry
3.1.1. Quinoline-2-carboxaldehydemonothiocarbohydrazone (L′)
3.1.2. Quinoline-2-carboxaldehyde-pyridine-4-formyl-bisthiocarbohydrazone (L)
3.1.3. Dichloro(η6-p-cymene)ruthenium(II) Dimer
3.1.4. [(η6-p-cym)Ru(4-formylpyridine)Cl2] (IC1)
3.1.5. [(η6-p-cym)Ru(N,N′-bpy)(4-formylpyridine)](CF3 SO3)2 (IC2)
3.1.6. [(η6-p-cym)Ru(N,N′-bpy)Cl](PF6) (IC3)
3.1.7. [(η6-p-cym)Ru(N,N′-bpy)(N-4-formylpyridine-2-quinolinecarboxaldehydethiocarbohydrazone)](SO3CF3)2 (C)
3.2. Biology
3.2.1. Cell Lines
3.2.2. Morphological Observations
3.2.3. Cell Viability Assay
4. Conclusions
Supplementary Materials
Author Contributions
Funding
Institutional Review Board Statement
Informed Consent Statement
Data Availability Statement
Acknowledgments
Conflicts of Interest
References
- Bonnet, S. Why develop photoactivated chemotherapy? Dalton Trans. 2018, 47, 10330–10343. [Google Scholar] [CrossRef]
- Betanzos-Lara, S.; Salassa, L.; Sadler, P.J. Photocontrolled nucleobase binding to an organometallic RuII arene complex. Chem. Commun 2009, 43, 6622–6624. [Google Scholar] [CrossRef]
- Betanzos-Lara, S.; Salassa, L.; Sadler, P.J.; Habtemariam, A.; Novakova, O.; Pizarro, A.M.; Clarkson, G.J.; Liskova, B.; Brabec, V.; Sadler, P.J. Photoactivatable Organometallic Pyridyl Ruthenium(II) Arene Complexes. Organometallics 2012, 31, 3466–3479. [Google Scholar] [CrossRef]
- Bisceglie, F.; Degola, F.; Rogolino, D.; Giannelli, G.; Orsoni, N.; Spadola, G.; Pioli, M.; Restivo, F.M.; Carcelli, M.; Pelosi, G. Sisters in structure but different in character, some benzaldehyde and cinnamaldehyde derivatives differentially tune Aspergillus flavus secondary metabolism. Sci. Rep. 2020, 10, 17686. [Google Scholar] [CrossRef]
- Baruffini, E.; Ruotolo, R.; Bisceglie, F.; Montalbano, S.; Ottonello, S.; Pelosi, G.; Buschini, A.; Lodi, T. Mechanistic insights on the mode of action of an antiproliferative thiosemicarbazone-nickel complex revealed by an integrated chemogenomic profiling study. Sci. Rep. 2020, 10, 10524. [Google Scholar] [CrossRef]
- Bisceglie, F.; Bacci, C.; Vismarra, A.; Barilli, E.; Pioli, M.; Orsoni, N.; Pelosi, G. Antibacterial activity of metal complexes based on cinnamaldehyde thiosemicarbazone analogues. J. Inorg. Biochem. 2020, 203, 110888. [Google Scholar] [CrossRef]
- Bisceglie, F.; Orsoni, N.; Pioli, M.; Bonati, B.; Tarasconi, P.; Rivetti, C.; Amidani, D.; Montalbano, S.; Buschini, A.; Pelosi, G. Cytotoxic activity of copper(II), nickel(II) and platinum(II) thiosemicarbazone derivatives: Interaction with DNA and the H2A histone peptide. Metallomics 2019, 11, 1729–1742. [Google Scholar] [CrossRef] [PubMed]
- Bisceglie, F.; Tavone, M.; Mussi, F.; Azzoni, S.; Montalbano, S.; Franzoni, S.; Tarasconi, P.; Buschini, A.; Pelosi, G. Effects of polar substituents on the biological activity of thiosemicarbazone metal complexes. J. Inorg. Biochem. 2018, 179, 60–70. [Google Scholar] [CrossRef]
- Pelosi, G. Thiosemicarbazone Metal Complexes: From Structure to Activity. Open Crystallogr. J. 2010, 3, 16–28. [Google Scholar] [CrossRef]
- Kowol, C.R.; Trondl, R.; Heffeter, P.; Arion, V.B.; Jakupec, M.A.; Roller, A.; Galanski, M.; Berger, W.; Keppler, B.K. Impact of Metal Coordination on Cytotoxicity of 3-Aminopyridine-2-carboxaldehyde Thiosemicarbazone (Triapine) and Novel Insights into Terminal Dimethylation. J. Med. Chem. 2009, 52, 5032–5043. [Google Scholar] [CrossRef]
- Enyedy, É.A.; Zsigó, É.; Nagy, N.V.; Kowol, C.R.; Roller, A.; Keppler, B.K.; Kiss, T. Complex-Formation Ability of Salicylaldehyde Thiosemicarbazone towards ZnII, CuII, FeII, FeIII and GaIII Ions. Eur. J. Inorg. Chem. 2012, 25, 4036–4047. [Google Scholar] [CrossRef]
- Enyedy, É.A.; Nagy, N.V.; Zsigó, É.; Kowol, C.R.; Arion, V.B.; Roller, A.; Keppler, B.K.; Kiss, T. Comparative Solution Equilibrium Study of the Interactions of Copper(II), Iron(II) and Zinc(II) with Triapine (3-Aminopyridine-2-carbaldehyde Thiosemicarbazone) and Related Ligands. Eur. J. Inorg. Chem. 2010, 11, 1717–1728. [Google Scholar] [CrossRef]
- Enyedy, É.A.; Primik, M.F.; Kowol, C.R.; Arion, V.B.; Kiss, T.; Keppler, B.K. Interaction of Triapine and related thiosemicarbazones with iron(iii)/(ii) and gallium(iii): A comparative solution equilibrium study. Dalton Trans. 2011, 40, 5895–5905. [Google Scholar] [CrossRef]
- Dömötör, O.; May, N.V.; Pelivan, K.; Kiss, T.; Keppler, B.K.; Kowol, C.R.; Enyedy, É.A. A comparative study of α-N-pyridyl thiosemicarbazones: Spectroscopic properties, solution stability and copper(II) complexation. Inorg. Chim. Acta 2018, 472, 264–275. [Google Scholar] [CrossRef]
- Bonaccorso, C.; Grasso, G.; Musso, N.; Barresi, V.; Condorelli, D.F.; La Mendola, D.; Rizzarelli, E. Water soluble glucose derivative of thiocarbohydrazone acts as ionophore with cytotoxic effects on tumor cells. J. Inorg. Biochem. 2018, 182, 92–102. [Google Scholar] [CrossRef] [PubMed]
- Bonaccorso, C.; Marzo, T.; La Mendola, D. Biological applications of thiocarbohydrazones and their metal complexes: A perspective review. Pharmaceuticals 2020, 13, 4. [Google Scholar] [CrossRef]
- Brockman, R.W.; Thomson, J.R.; Bell, M.J.; Skipper, H.E. Observations on the antileukemic activity of pyridine-2-carboxaldehyde thiosemicarbazone and thiocarbohydrazone. Cancer Res. 1956, 16, 167–170. [Google Scholar] [PubMed]
- Bozic, A.; Marinkovic, A.; Bjelogrlic, S.; Todorovic, T.R.; Cvijetic, I.N.; Novakovic, I.; Muller, C.D.; Filipovic, N.R. Quinoline based mono- and bis-(thio)carbohydrazones: Synthesis, anticancer activity in 2D and 3D cancer and cancer stem cell models. RSC Adv. 2016, 6, 104763–104781. [Google Scholar] [CrossRef]
- Gatti, A.; Habtemariam, A.; Romero-Canelon, I.; Song, J.-I.; Heer, B.; Clarkson, G.J.; Rogolino, D.; Sadler, P.J.; Carcelli, M. Half-Sandwich Arene Ruthenium(II) and Osmium(II) Thiosemicarbazone Complexes: Solution Behavior and Antiproliferative Activity. Organometallics 2018, 47, 891–899. [Google Scholar] [CrossRef] [PubMed]
- Domotor, O.; Kiss, M.A.; Gal, G.T.; May, N.V.; Spengler, G.; Nove, M.; Gasparovic, A.C.; Frank, E.; Enyedy, E.A. Solution equilibrium, structural and cytotoxicity studies on Ru(η6-p-cymene) and copper complexes of pyrazolyl thiosemicarbazones. J. Inorg. Biochem. 2020, 202, 110883. [Google Scholar] [CrossRef]
- Raja, N.; Devika, N.; Gupta, G.; Nayak, V.L.; Kamal, A.; Nagesh, N.; Therrien, B. Biological activities of pyrenyl-derived thiosemicarbazone half-sandwich complexes. J. Organom. Chem. 2015, 794, 104–114. [Google Scholar] [CrossRef]
- Beckford, F.A.; Leblanc, G.; Thessing, J.; Shaloski, M., Jr.; Frost, B.J.; Li, L.; Seeram, N.P. Organometallic ruthenium complexes with thiosemicarbazone ligands: Synthesis, structure and cytotoxicity of [(η6-p-cymene)Ru(NS)Cl]+ (NS = 9-anthraldehyde thiosemicarbazones). Inorg. Chem. Commun. 2009, 12, 1094–1098. [Google Scholar] [CrossRef] [PubMed]
- Abou-Hussein, A.A.A.; Linert, W. Synthesis, spectroscopic and biological activities studies of acyclic and macrocyclic mono and binuclear metal complexes containing a hard-soft Schiff base. Spectrochim. Acta Part A Mol. Biomol. Spectrosc. 2012, 95, 596–609. [Google Scholar] [CrossRef] [PubMed]
- Chaudhury, S.P.; Shome, S.C. Spectrophotometric determination of ruthenium(III) and iridium(III) using bis(thiophene-2-aldehydo)thiocarbohydrazone as a sensitive and selective complexing agent. J. Indian Chem. Soc. 1991, 68, 430–431. [Google Scholar]
- Patil, M.V.; Malve, S.P. Synthesis, characterization and antimicrobial activity of ruthenium(III), rhodium(III), palladium(II), and platinum(II) complexes with bis(hydroxyisonitrosobenzoylacetone)thiocarbohydrazone. J. Indian Chem. Soc. 2004, 81, 683–686. [Google Scholar]
- Tönnemann, J.; Risse, J.; Grote, Z.; Scoppeliti, R.; Severin, K. Efficient and Rapid Synthesis of Chlorido-Bridged Half-Sandwich Complexes of Ruthenium, Rhodium, and Iridium by Microwave Heating, European. J. Inorg. Chem. 2013, 2013, 4558–4562. [Google Scholar]
- Bisceglie, F.; Musiari, A.; Pinelli, S.; Alinovi, R.; Menozzi, I.; Polverini, E.; Tarasconi, P.; Tavole, M.; Pelosi, G. Quinoline-2-carboxaldehyde thiosemicarbazones and their Cu(II) andNi(II) complexes as topoisomerase IIa inhibitors. J. Inorg. Biochem. 2015, 152, 10–19. [Google Scholar] [CrossRef]














| IC50 (μM) A549 24 h | ||
|---|---|---|
| Dark | Upon 3 h of Irradiation | |
| C | 84.62 ± 3.90 | 10.52 ± 1.95 |
| IC50 (μM) A549 24 h | ||||
|---|---|---|---|---|
| C | CuCl2 | C + CuCl2 | NiCl2 | C + NiCl2 |
| 84.62 ± 3.90 | >100 | ~20 | >100 | ~10 |
Publisher’s Note: MDPI stays neutral with regard to jurisdictional claims in published maps and institutional affiliations. |
© 2021 by the authors. Licensee MDPI, Basel, Switzerland. This article is an open access article distributed under the terms and conditions of the Creative Commons Attribution (CC BY) license (http://creativecommons.org/licenses/by/4.0/).
Share and Cite
Pioli, M.; Orsoni, N.; Scaccaglia, M.; Alinovi, R.; Pinelli, S.; Pelosi, G.; Bisceglie, F. A New Photoactivatable Ruthenium(II) Complex with an Asymmetric Bis-Thiocarbohydrazone: Chemical and Biological Investigations. Molecules 2021, 26, 939. https://doi.org/10.3390/molecules26040939
Pioli M, Orsoni N, Scaccaglia M, Alinovi R, Pinelli S, Pelosi G, Bisceglie F. A New Photoactivatable Ruthenium(II) Complex with an Asymmetric Bis-Thiocarbohydrazone: Chemical and Biological Investigations. Molecules. 2021; 26(4):939. https://doi.org/10.3390/molecules26040939
Chicago/Turabian StylePioli, Marianna, Nicolò Orsoni, Mirco Scaccaglia, Rossella Alinovi, Silvana Pinelli, Giorgio Pelosi, and Franco Bisceglie. 2021. "A New Photoactivatable Ruthenium(II) Complex with an Asymmetric Bis-Thiocarbohydrazone: Chemical and Biological Investigations" Molecules 26, no. 4: 939. https://doi.org/10.3390/molecules26040939
APA StylePioli, M., Orsoni, N., Scaccaglia, M., Alinovi, R., Pinelli, S., Pelosi, G., & Bisceglie, F. (2021). A New Photoactivatable Ruthenium(II) Complex with an Asymmetric Bis-Thiocarbohydrazone: Chemical and Biological Investigations. Molecules, 26(4), 939. https://doi.org/10.3390/molecules26040939

