Natural Products from the Marine Sponge Subgenus Reniera
Abstract
1. Introduction
2. Natural Product Inventory of the Subgenus Reniera
2.1. Alkaloids
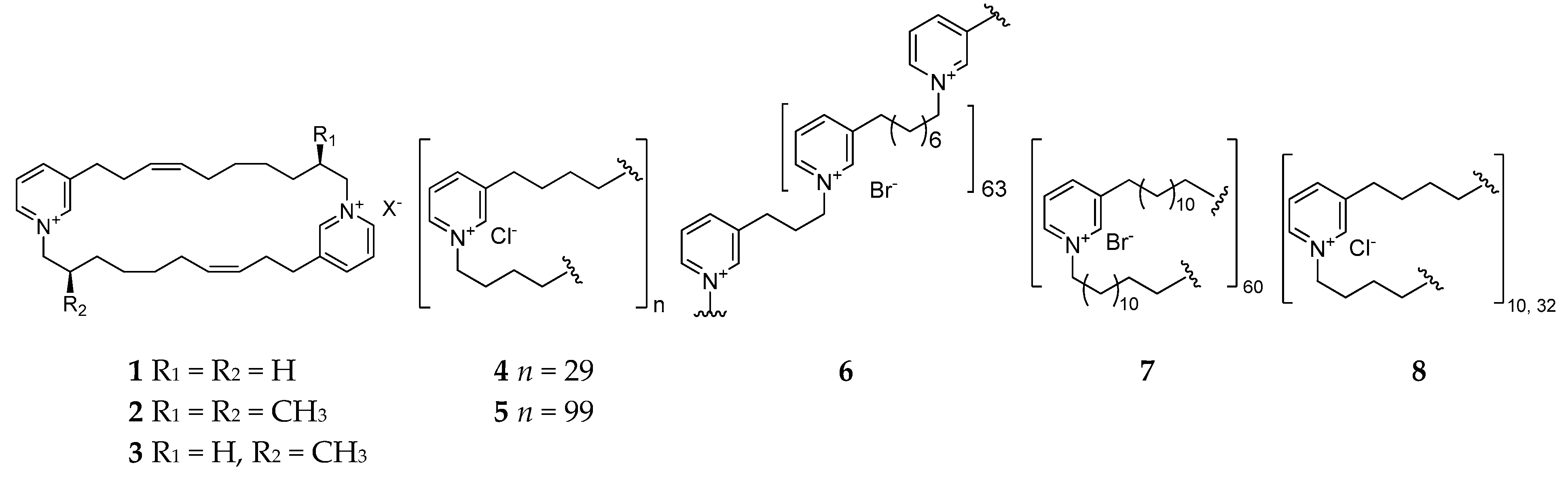
2.1.1. 3-Alkylpyridiniums
2.1.2. Quinolines and Isoquinolines
2.1.3. Macrocyclic Diamines
2.1.4. Other Alkaloids
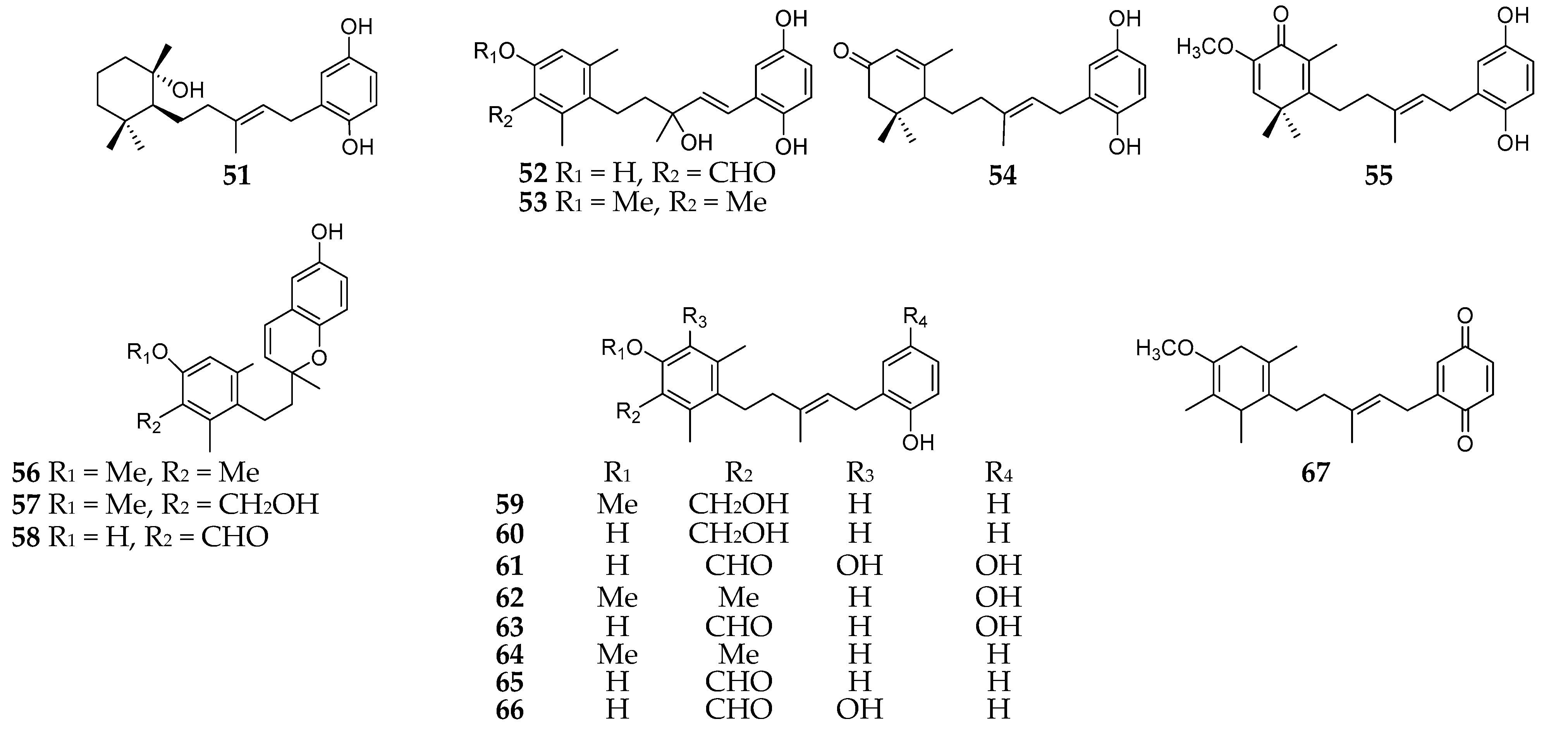
2.2. Terpenoids
2.3. Polyketides
2.3.1. Aromatic Polyketides
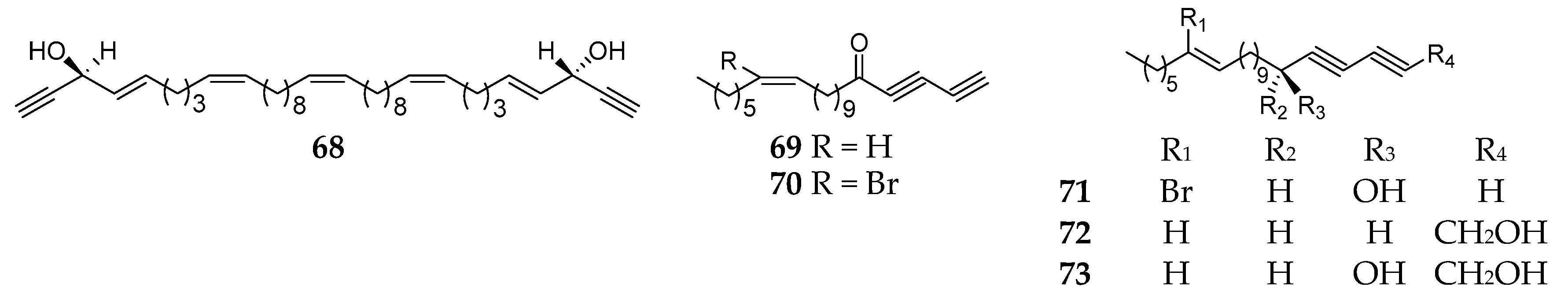
2.3.2. Aliphatic Polyketides
2.3.3. Other Polyketide
2.4. Sterols
2.5. Cerebrosides and Ceramide
3. Conclusions and Perspectives
Author Contributions
Funding
Conflicts of Interest
References
- MarinLit-A Database of the Marine Natural Products Literature. Available online: http://pubs.rsc.org/marinlit/ (accessed on 7 June 2020).
- Ciasullo, L.; Casapullo, A.; Cutignano, A.; Bifulco, G.; Debitus, C.; Hooper, J.; Gomez-Paloma, L.; Riccio, R. Renieramide, a cyclic tripeptide from the Vanuatu sponge Reniera n. sp. J. Nat. Prod. 2002, 65, 407–410. [Google Scholar] [CrossRef] [PubMed]
- Langenbruch, P.F. Body structure of marine sponges 1. Arrangement of the flagellated chambers in the canal system of Reniera sp. Mar. Biol. 1983, 75, 319–325. [Google Scholar] [CrossRef]
- Marine Species Identification Portal. Available online: http://species-identification.org/search.php?search_for=reniera&x=16&y=8 (accessed on 24 July 2020).
- Sepcic, K.; Guella, G.; Mancini, I.; Pietra, F.; Dalla Serra, M.; Menestrina, G.; Tubbs, K.; Macek, P.; Turk, T. Characterization of anticholinesterase-active 3-alkylpyridinium polymers from the marine sponge Reniera sarai in aqueous solutions. J. Nat. Prod. 1997, 60, 991–996. [Google Scholar] [CrossRef] [PubMed]
- Grandic, M.; Araoz, R.; Molgo, J.; Turk, T.; Sepcic, K.; Benoit, E.; Frangez, R. The non-competitive acetylcholinesterase inhibitor APS12-2 is a potent antagonist of skeletal muscle nicotinic acetylcholine receptors. Toxicol. Appl. Pharmacol. 2012, 265, 221–228. [Google Scholar] [CrossRef] [PubMed]
- Mancini, I.; Sicurelli, A.; Guella, G.; Turk, T.; Macek, P.; Sepcic, K. Synthesis and bioactivity of linear oligomers related to polymeric alkylpyridinium metabolites from the Mediterranean sponge Reniera sarai. Org. Biomol. Chem. 2004, 2, 1368–1375. [Google Scholar] [CrossRef] [PubMed]
- Grandic, M.; Zovko, A.; Frangez, R.; Turk, T.; Sepcic, K. Binding and permeabilization of lipid bilayers by natural and synthetic 3-alkylpyridinium polymers. Biorg. Med. Chem. 2012, 20, 1659–1664. [Google Scholar] [CrossRef]
- Zovko, A.; Viktorsson, K.; Lewensohn, R.; Kolosa, K.; Filipic, M.; Xing, H.; Kem, W.R.; Paleari, L.; Turk, T. APS8, a polymeric alkylpyridinium salt blocks α7 nAChR and induces apoptosis in non-small cell lung carcinoma. Mar. Drugs 2013, 11, 2574–2594. [Google Scholar] [CrossRef]
- Malovrh, P.; Sepcic, K.; Turk, T.; Macek, P. Characterization of hemolytic activity of 3-alkylpyridinium polymers from the marine sponge Reniera sarai. Comp. Biochem. Physiol. C Pharmacol. Toxicol. Endocrinol. 1999, 124C, 221–226. [Google Scholar] [CrossRef]
- Bunc, M.; Strupi-Suput, J.; Vodovnik, A.; Suput, D. Toxic effects of head-to-tail 3-alkylpyridinium polymers isolated from the marine sponge Reniera sarai in rat. Toxicon 2002, 40, 843–849. [Google Scholar] [CrossRef]
- Lunder, M.; Drevensek, G.; Hawlina, S.; Sepcic, K.; Ziberna, L. Cardiovascular effects induced by polymeric 3-alkylpyridinium salts from the marine sponge Reniera sarai. Toxicon 2012, 60, 1041–1048. [Google Scholar] [CrossRef]
- Bunc, M.; Sepčić, K.; Turk, T.; Suput, D. In vivo effects of head-to-tail 3-alkylpyridinium polymers isolated from the marine sponge Raniera sarai. Pfluegers Arch Eur. J. Physiol. 2000, 440, R173–R174. [Google Scholar] [CrossRef] [PubMed]
- Faimali, M.; Sepčić, K.; Turk, T.; Geraci, S. Non-toxic antifouling activity of polymeric 3-alkylpyridinium salts from the Mediterranean sponge Reniera sarai (Pulitzer-Finali). Biofouling 2003, 19, 47–56. [Google Scholar] [CrossRef]
- Elersek, T.; Kosi, G.; Turk, T.; Pohleven, F.; Sepčić, K. Influence of polymeric 3-alkylpyridinium salts from the marine sponge Reniera sarai on the growth of algae and wood decay fungi. Biofouling 2008, 24, 137–143. [Google Scholar] [CrossRef]
- Cuzman, O.A.; Faraloni, C.; Turchetti, T.; Camaiti, M.; Tiano, P. Influence of some natural compounds on freshwater microfoulants. Science and technology against microbial pathogens: Research, development and evaluation. In Proceedings of the International Conference on Antimicrobial Research, Valladolid, Spain, 3–5 November 2010; Mendez-Vilas, A., Ed.; World Scientific Publishing Co. Pte. Ltd.: Singapore, 2011; pp. 104–108. [Google Scholar]
- Chelossi, E.; Mancini, I.; Sepcic, K.; Turk, T.; Faimali, M. Comparative antibacterial activity of polymeric 3-alkylpyridinium salts isolated from the Mediterranean sponge Reniera sarai and their synthetic analogs. Biomol. Eng. 2006, 23, 317–323. [Google Scholar] [CrossRef]
- Laville, R.; Genta-Jouve, G.; Urda, C.; Fernandez, R.; Thomas, O.P.; Reyes, F.; Amade, P. Njaoaminiums A, B, and C: Cyclic 3-alkylpyridinium salts from the marine sponge Reniera sp. Molecules 2009, 14, 4716–4724. [Google Scholar] [CrossRef]
- Grandic, M.; Sepcic, K.; Turk, T.; Juntes, P.; Frangez, R. In vivo toxic and lethal cardiovascular effects of a synthetic polymeric 1,3-dodecylpyridinium salt in rodents. Toxicol. Appl. Pharmacol. 2011, 255, 86–93. [Google Scholar] [CrossRef] [PubMed]
- Grandic, M.; Araoz, R.; Molgó, J.; Turk, T.; Sepčić, K.; Benoit, E.; Frangež, R. Toxicity of the synthetic polymeric 3-alkylpyridinium salt (APS3) is due to specific block of nicotinic acetylcholine receptors. Toxicology 2013, 303, 25–33. [Google Scholar] [CrossRef] [PubMed]
- Reyes, F.; Fernandez, R.; Urda, C.; Francesch, A.; Bueno, S.; de Eguilior, C.; Cuevas, C. Njaoamines A-F, new cytotoxic polycyclic alkaloids from the haplosclerid sponge Reniera sp. Tetrahedron 2007, 63, 2432–2438. [Google Scholar] [CrossRef]
- Urda, C.; Perez, M.; Rodriguez, J.; Fernandez, R.; Jimenez, C.; Cuevas, C. Njaoamine I, a cytotoxic polycyclic alkaloid from the Haplosclerida sponge Haliclona (Reniera) sp. Tetrahedron Lett. 2018, 59, 2577–2580. [Google Scholar] [CrossRef]
- Kubo, A.; Nakahara, S.; Inaba, K.; Kitahara, Y. Synthesis of renierone, 7-methoxy-1,6-dimethyl-5,8-dihydroisoquinoline-5,8-dione and N-formyl-1,2-dihydrorenierone, antimicrobial metabolites from a marine sponge, Reniera species. Chem. Pharm. Bull. 1986, 34, 4056–4068. [Google Scholar] [CrossRef]
- Frincke, J.M.; Faulkner, D.J. Antimicrobial metabolites of the sponge Reniera sp. J. Am. Chem. Soc. 1982, 104, 265–269. [Google Scholar] [CrossRef]
- He, H.-Y.; Faulkner, D.J. Renieramycins E and F from the sponge Reniera sp.: Reassignment of the stereochemistry of the renieramycins. J. Org. Chem. 1989, 54, 5822–5824. [Google Scholar] [CrossRef]
- Guo, Y.; Madaio, A.; Trivellone, E.; Scoganmiglio, G.; Cimino, G. Structural and stereochemical studies of saraines: Macrocyclic alkaloids of the sponge Reniera sarai. Tetrahedron 1996, 52, 8341–8348. [Google Scholar] [CrossRef]
- Bernard, D. The Saraine Alkaloids. Alkaloids Chem. Biol. 2014, 73, 223–329. [Google Scholar]
- Defant, A.; Mancini, I.; Raspor, L.; Guella, G.; Turk, T.; Sepcic, K. New structural insights into saraines A, B, and C, macrocyclic alkaloids from the Mediterranean sponge Reniera (Haliclona) sarai. Eur. J. Org. Chem. 2011, 2011, 3761–3767. [Google Scholar] [CrossRef]
- Garg, N.K.; Becker, M.H.; Chua, P.; Downham, R.; Douglas, C.J.; Hiebert, S.; Jaroch, S.; Matsuoka, R.T.; Middleton, J.A.; Ng, F.W.; et al. Total Synthesis of (−)-Sarain A. In Proceedings of the 232nd ACS National Meeting, San Francisco, CA, USA, 10–14 September 2006; American Chemical Society: Washington, DC, USA, 2006; p. ORGN-857. [Google Scholar]
- Cimino, G.; Spinella, A.; Trivellone, E. Isosarain-1. A new alkaloid from the Mediterranean sponge Reniera sarai. Tetrahedron Lett. 1989, 30, 133–136. [Google Scholar] [CrossRef]
- Guo, Y.; Madaio, A.; Trivelllone, E.; Scognamiglio, G.; Cimino, G. Further studies of alkaloids from Reniera sarai: Structures of saraine-3 and isosaraine-3; absolute stereochemistry of saraine-1 and saraine-2. Tetrahedron 1996, 52, 14961–14974. [Google Scholar] [CrossRef]
- Cimino, G.; Fontana, A.; Madaio, A.; Scognamiglio, G.; Trivellone, E. Application of two-dimensional shift correlated NMR techniques to the structure determination of an unusual marine alkaloid, isosaraine-2. Magn. Reson. Chem. 1991, 29, 327–332. [Google Scholar] [CrossRef]
- Guo, Y.; Trivellone, E.; Scognamiglio, G.; Cimino, G. Misenine, a novel macrocyclic alkaloid with an unusual skeleton from the Mediterranean sponge Reniera sp. Tetrahedron 1998, 54, 541–550. [Google Scholar] [CrossRef]
- Parker, K.A.; Cohen, I.D.; Padwa, A.; Dent, W. Cycloadditions of non-stabilized azomethine ylides and quinones. Synthesis of the Reniera isoindole. Tetrahedron Lett. 1984, 25, 4917–4920. [Google Scholar] [CrossRef]
- Cimino, G.; De Stefano, S.; Minale, L. Occurrence of hydroxyhydroquinone and 2-aminoimidazole in sponges. Comp. Biochem. Physiol. B Biochem. Mol. Biol. 1974, 47, 895–897. [Google Scholar] [CrossRef]
- Mansoor, T.A.; Park, T.; Luo, X.; Hong, J.; Lee, C.O.; Jung, J.H. A new sphingosine from a marine sponge Haliclona (Reniera) sp. Nat. Prod. Sci. 2007, 13, 247–250. [Google Scholar]
- Casapullo, A.; Minale, L.; Zollo, F. Paniceins and related sesquiterpenoids from the Mediterranean sponge Reniera fulva. J. Nat. Prod. 1993, 56, 527–533. [Google Scholar] [CrossRef] [PubMed]
- Hamasaki, T.; Okukado, N.; Yamaguchi, M. Two natural acetylenic aromatic carotenoids. Bull. Chem. Soc. Jpn. 1973, 46, 1884–1885. [Google Scholar] [CrossRef]
- Yamaguchi, M. Total syntheses of renieratene and renierapurpurin. Bull. Chem. Soc. Jpn. 1960, 33, 1560–1562. [Google Scholar] [CrossRef]
- Miki, W.; Otaki, N.; Yokoyama, A.; Kusumi, T. Possible origin of zeaxanthin in the marine sponge, Reniera japonica. Experientia 1996, 52, 93–96. [Google Scholar] [CrossRef]
- Tarazona, G.; Benedit, G.; Fernandez, R.; Perez, M.; Rodríguez, J.; Jimenez, C.; Cuevas, C. Can stereoclusters separated by two methylene groups be related by DFT Studies? The case of the cytotoxic meroditerpenes halioxepines. J. Nat. Prod. 2018, 81, 343–348. [Google Scholar] [CrossRef]
- Poock, C.; Kalesse, M. Total synthesis and structure revision of halioxepine. Chem. Eur. J. 2021, 27, 1615–1619. [Google Scholar] [CrossRef]
- Zubia, E.; Ortega, M.J.; Carballo, J.L.; Salva, J. Sesquiterpene hydroquinones from the sponge Reniera mucosa. Tetrahedron 1994, 50, 8153–8160. [Google Scholar] [CrossRef]
- Ortega, M.J.; Zubia, E.; Carballo, J.L.; Salva, J. Fulvinol, a new long-chain diacetylenic metabolite from the sponge Reniera fulva. J. Nat. Prod. 1996, 59, 1069–1071. [Google Scholar] [CrossRef]
- Cimino, G.; De Stefano, S. New acetylenic compounds from the sponge Reniera fulva. Tetrahedron Lett. 1977, 18, 1325–1328. [Google Scholar] [CrossRef]
- Casapullo, A.; Scognamiglio, G.; Cimino, G. Mucosin: A new bicyclic eicosanoid from the Mediterranean sponge Reniera mucosa. Tetrahedron Lett. 1997, 38, 3643–3646. [Google Scholar] [CrossRef]
- Lawson, M.P.; Stoilov, I.L.; Thompson, J.E.; Djerassi, C. Cell membrane localization of sterols with conventional and unusual side chains in two marine demosponges. Lipids 1988, 23, 750–754. [Google Scholar] [CrossRef]
- Dini, A.; Piccialli, V.; Pronzato, R.; Sica, D. Sterol composition of marine sponges Stryphnus mucronatus and Reniera sarai. Comp. Biochem. Physiol. B Biochem. Mol. Biol. 1985, 81B, 111–114. [Google Scholar] [CrossRef]
- Sapar, A.; Ahmad, A.; Soekamto, N.H.; Noor, A. Isolation and characterization of a ceramide and b-sitosterol compounds on Haliclona (Reniera) fascigera from Spermonde Archipelago. Int. J. ChemTech Res. 2017, 10, 52–61. [Google Scholar]
- Tan, R.X.; Chen, J.H. The cerebrosides. Nat. Prod. Rep. 2003, 20, 509–534. [Google Scholar] [CrossRef]
- Mansoor, T.A.; Shinde, P.B.; Luo, X.; Hong, J.; Lee, C.O.; Sim, C.J.; Son, B.W.; Jung, J.H. Renierosides, cerebrosides from a marine sponge Haliclona (Reniera) sp. J. Nat. Prod. 2007, 70, 1481–1486. [Google Scholar] [CrossRef]
- Park, T.; Mansoor, T.A.; Shinde, P.B.; Bao, B.; Hong, J.; Jung, J.H. New cerebrosides from a marine sponge Haliclona (Reniera) sp. Chem. Pharm. Bull. 2009, 57, 106–111. [Google Scholar] [CrossRef] [PubMed][Green Version]
- Ahn, Y.M.; Lee, W.W.; Jung, J.H.; Lee, S.G.; Hong, J. Structural determination of glucosylceramides isolated from marine sponge by fast atom bombardment collision-induced dissociation linked scan at constant B/E. J. Mass. Spectrum. 2009, 44, 1698–1708. [Google Scholar] [CrossRef]
- Zhu, J.Y.; Liu, Y.; Liu, Z.J.; Wang, H.; Zhang, H.W. Bioactive nitrogenous secondary metabolites from the marine sponge genus Haliclona. Mar. Drugs 2019, 17, 682. [Google Scholar] [CrossRef] [PubMed]
- Zhang, H.W.; Dong, M.L.; Wang, H.; Crews, P. Secondary metabolites from the marine sponge genus Phyllospongia. Mar. Drugs 2017, 15, 12. [Google Scholar] [CrossRef] [PubMed]
- Zhang, H.W.; Zhao, Z.P.; Wang, H. Cytotoxic natural products from marine sponge-derived microorganisms. Mar. Drugs 2017, 15, 68. [Google Scholar] [CrossRef] [PubMed]
- Asagabaldan, M.A.; Ayuningrum, D.; Kristiana, R.; Sabdono, A.; Radjasa, O.K.; Trianto, A. Identification and antibacterial activity of bacteria isolated from marine sponge Haliclona (Reniera) sp. against multi-drug resistant human pathogen. In IOP Conference Series-Earth and Environmental Science, Proceedings of 2nd International Conference on Tropical and Coastal Region Eco Development 2016, Diponegoro University, Bali, Indonesia, 25–27 October 2016; IOP Publishing: Bristol, UK, 2017. [Google Scholar]
- Bai, X.; Dong, M.; Lai, T.; Zhang, H. Antimicrobial evaluation of the crude extract of symbiotic fungi from marine sponge Reniera japonica. Bangladesh J. Pharmacol. 2018, 13, 53–56. [Google Scholar] [CrossRef]










Publisher’s Note: MDPI stays neutral with regard to jurisdictional claims in published maps and institutional affiliations. |
© 2021 by the authors. Licensee MDPI, Basel, Switzerland. This article is an open access article distributed under the terms and conditions of the Creative Commons Attribution (CC BY) license (http://creativecommons.org/licenses/by/4.0/).
Share and Cite
Bai, X.; Liu, Y.; Wang, H.; Zhang, H. Natural Products from the Marine Sponge Subgenus Reniera. Molecules 2021, 26, 1097. https://doi.org/10.3390/molecules26041097
Bai X, Liu Y, Wang H, Zhang H. Natural Products from the Marine Sponge Subgenus Reniera. Molecules. 2021; 26(4):1097. https://doi.org/10.3390/molecules26041097
Chicago/Turabian StyleBai, Xuelian, Yang Liu, Hao Wang, and Huawei Zhang. 2021. "Natural Products from the Marine Sponge Subgenus Reniera" Molecules 26, no. 4: 1097. https://doi.org/10.3390/molecules26041097
APA StyleBai, X., Liu, Y., Wang, H., & Zhang, H. (2021). Natural Products from the Marine Sponge Subgenus Reniera. Molecules, 26(4), 1097. https://doi.org/10.3390/molecules26041097

