Trichilianones A-D, Novel Cyclopropane-Type Limonoids from Trichilia adolfi
Abstract
1. Introduction
2. Results and Discussion
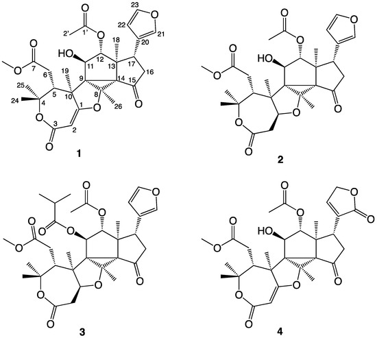
2.1. Structure Determination of Trichilianone A (1)
2.2. Structure Determination of Trichilianone B (2)
2.3. Structure Determination of Trichilianone C (3)
2.4. Structure Determination of Trichilianone D (4)
3. Materials and Methods
3.1. General
3.2. Plant Material
3.3. Extraction and Isolation
3.4. Compounds Isolated
3.5. In Vitro Leishmanicidal Activity
3.6. Cytotoxicity
4. Conclusions
Supplementary Materials
Author Contributions
Funding
Institutional Review Board Statement
Informed Consent Statement
Data Availability Statement
Conflicts of Interest
References
- Ulloa, C.; Acevedo-Rodríguez, P.; Beck, S.; Belgrano, M.J.; Bernal, R.; Berry, P.E.; Brako, L.; Celis, M.; Davidse, G.; Forzza, R.C.; et al. Vascular Plants of the Americas (VPA) Website. Tropicos, Botanical Information System at the Missouri Botanical Garden, St. Louis, Missouri, USA. 2018. Available online: http://legacy.tropicos.org/Project/VPA (accessed on 19 January 2021).
- Queveno, C.; Bourdy, G.; Gimenez, A. Tacana; Ed. UMSA-CIPTA-IRD-FONAMA-EIA: La Paz, Bolivia, 1999; O.L: 4-1-400-99. [Google Scholar]
- Bourdy, G.; DeWalt, S.J.; Chavez de Michel, L.R.; Roca, A.; Deharo, E.; Muñoz, V.; Balderrama, L.; Quenevo, C.; Gimenez, A. Medicinal plants uses of the Tacana, an amazonian Bolivian ethnic group. J. Ethnopharmacol. 2000, 70, 87–109. [Google Scholar] [CrossRef]
- Arévalo-Lopéz, D.; Nina, N.; Ticona, J.C.; Limachi, I.; Salamanca, E.; Udaeta, E.; Paredes, C.; Espinoza, B.; Serato, A.; Garnica, D.; et al. Leishmanicidal and cytotoxic activity of plants used in Tacana traditional medicine (Bolivia). J. Etnopharmacol. 2018, 216, 120–133. [Google Scholar] [CrossRef] [PubMed]
- Tan, Q.G.; Luo, X.D. Meliaceous limonoids: Chemistry and biological activities. Chem. Rev. 2011, 111, 7437–7522. [Google Scholar] [CrossRef] [PubMed]
- Nakatani, M.; James, J.C.; Nakanishi, K. Isolation and structures of trichilins, anti-feedants against the Southern army worm. J. Am. Chem. Soc. 1981, 103, 1228–1230. [Google Scholar] [CrossRef]
- Cao, D.H.; Liao, S.G.; Yang, L.; Li, X.N.; Wu, B.; Zhang, P.; Guo, J.; Xiao, C.F.; Hu, H.B.; You-Kai Xu, Y.K. Trichiliasinenoids A-C, three 6,7-secomexicanolide limonoids with a 7,29-linkage from Trichilia sinensis. Tetrahedron 2017, 58, 3283–3286. [Google Scholar] [CrossRef]
- Zhang, Q.; Di, Y.T.; He, H.P.; Fang, X.; Chen, D.L.; Yan, X.H.; Zhu, F.; Yang, T.Q.; Liu, L.L.; Hao, X.J. Phragmalin- and mexicanolide-type limonoids from the leaves of Trichilia connaroides. J. Nat. Prod. 2011, 74, 152–157. [Google Scholar] [CrossRef] [PubMed]
- Rodríguez-Hahn, L.; Cárdenas, J.; Arenas, C. Trichavensin, a prieurianin derivative from Trichilia havanensis. Phytochemistry 1996, 43, 457–459. [Google Scholar] [CrossRef]
- Morgan, E.D. Azadirachtin, a scientific gold mine. Bioorg. Med. Chem. 2009, 17, 4096–4105. [Google Scholar] [CrossRef] [PubMed]
- Cao, D.H.; Sun, P.; Liao, S.G.; Gan, L.S.; Yang, L.; Yao, J.N.; Zhang, Z.Y.; Li, J.F.; Zheng, X.L.; Xiao, Y.D.; et al. Chemical constituents from the twigs and leaves of Trichilia sinensis and their biological activities. Phytochem. Lett. 2019, 29, 142–147. [Google Scholar] [CrossRef]
- Ji, K.L.; Zhang, P.; Li, X.N.; Guo, J.; Hu, H.B.; Xiao, C.F.; Xie, X.Q.; Xu, Y.K. Cytotoxic limonoids from Trichilia americana leaves. Phytochemistry 2015, 118, 61–67. [Google Scholar] [CrossRef] [PubMed]
- Venkata, K.C.N.; Rathinavelu, A.; Bishayee, A. Limonoids: Structure–activity relationship studies and anticancer properties. Stud. Nat. Prod. Chem. 2018, 59, 375–399. [Google Scholar] [CrossRef]
- Suarez, L.E.; Menichini, F.; Monache, F.D. Tetranortriterpenoids and dihydrocinnamic acid derivatives from Hortia colombiana. J. Braz. Chem. Soc. 2002, 13, 339–344. [Google Scholar] [CrossRef]
- Liu, J.Q.; Wang, C.F.; Li, Y.; Chen, J.C.; Zhou, L.; Qiu, M.H. Limonoids from the leaves of Toona ciliata var. yunnanensis. Phytochemistry 2012, 76, 141–149. [Google Scholar] [CrossRef] [PubMed]
- Chan, W.R.; Gibbs, J.A.; Taylor, D.R. The limonoids of Trichilia havanensis Jacq.: An epoxide rearrangement. Chem. Commun. 1967, 720–721. [Google Scholar] [CrossRef]
- Severino, V.G.P.; Braga, P.A.C.; da Silva, M.F.; Fernandes, J.B.; Vieira, P.C.; Theodoro, J.E.; Ellena, J.A. Cyclopropane- and spirolimonoids and related compounds from Hortia oreadica. Phytochemistry 2012, 76, 52–59. [Google Scholar] [CrossRef] [PubMed]
- Zhao, M.; Bai, L.; Wang, L.; Toki, A.; Hasegawa, T.; Kikuchi, M.; Abe, M.; Sakai, J.I.; Hasegawa, R.; Bai, Y.; et al. Bioactive cardenolides from the stems and twigs of Nerium oleander. J. Nat. Prod. 2007, 70, 1098–1103. [Google Scholar] [CrossRef] [PubMed]
- Banthorp, D.B. Terpene biosynthesis. Part 11. Biosynthesis of thujane derivatives in thuja, tanacetum, and juniperus species. Chem. Soc. 1970, 2689–2693. [Google Scholar] [CrossRef]
- Vikram, A.; Jayaprakasha, G.K.; Patil, B.S. Simultaneous determination of citrus limonoid aglycones and glucosides by high performance liquid chromatography. Anal. Chim. Acta 2007, 590, 180–186. [Google Scholar] [CrossRef] [PubMed]
- Williams, C.; Espinosa, O.A.; Montenegro, H.; Cubilla, L.; Capson, T.L.; Ortega-Barría, E.; Romero, L.I. Hydrosoluble formazan XTT: Its application to natural products drug discovery for Leishmania. J. Microbiol. Methods 2003, 55, 813–816. [Google Scholar] [CrossRef] [PubMed]





| H | 1 | 2 | 3 | 4 |
|---|---|---|---|---|
| 1 | - | 4.42 (dd, 12.3, 3.9) | 4.42 (dd, 12.1, 4.1) | - |
| 2a | 5.50 (s) | 3.33 (dd, 14.1, 12.3) | 3.27 (dd, 14.0, 12.1) | 5.50 (s) |
| 2b | - | 2.87 (dd, 14.1, 3.9) | 2.91 (dd, 14.0, 4.1) | - |
| 5 | 2.62 (dd, 11.7, 1.5) | 3.01 (dd, 12.9, 2.3) | 3.09 (dd, 12.6, 2.3) | 2.60 (dd, 11.6, 1.6) |
| 6a | 3.79 (dd, 16.8, 1.5) | 3.07 (dd, 15.0, 2.3) | 2.93 (dd, 14.2, 2.3) | 3.82 (dd, 18.6, 1.6) |
| 6b | 2.72 (dd, 16.8, 11.7) | 2.69 (dd, 15.0, 12.9) | 2.66 (dd, 14.2, 12.6) | 2.78 (dd, 18.6, 11.6) |
| 11 | 4.34 (dd, 2.6, 1.9) | 4.33 (dd, 2.3, 1.6) | 5.49 (d, 1.7) | 4.34 (dd, 2.2, 2.2) |
| 12 | 4.91 (d, 1.9) | 4.92 (d, 1.6) | 5.36 (d, 1.7) | 5.62 (d, 2.2) |
| 16a | 3.06 (dd, 18.8, 7.9) | 3.02 (dd, 18.5, 6.6) | 3.02 (dd, 18.5, 7.5) | 3.11 (dd, 18.5, 7.9) |
| 16b | 2.69 (dd, 12.5, 18.8) | 2.72 (dd, 18.5, 12.4) | 2.73 (dd, 18.5, 13.0) | 2.76 (dd, 18.5, 12.1) |
| 17 | 3.37 (dd, 12.5, 7.9) | 3.35 (dd, 12.4, 6.6) | 3.30 (dd, 13.0, 7.5) | 3.36 (dd, 12.1, 7.9) |
| 18 | 0.95 (s) | 0.90 (s) | 0.77 (s) | 0.97 (s) |
| 19 | 1.67 (s) | 1.55 (s) | 1.31 (s) | 1.69 (s) |
| 21 | 7.33 (dd, 1.6, 0.9) | 7.34 (dd, 1.7, 0.9) | 7.32 (dd, 1.7, 1.0) | 7.32 (dd, 1.7, 1.7) |
| 22 | 6.30 (dd, 1.8, 0.9) | 6.30 (dd, 1.7, 0.9) | 6.43 (dd, 1.7, 1.0) | 4.93 (t, 1.7) |
| 23 | 7.46 (dd, 1.6, 1.8) | 7.45 (dd, 1.7, 1.7) | 7.43 (dd, 1.7, 1.7) | - |
| 24 | 1.47 (s) | 1.34 (s) | 1.37 (s) | 1.46 (s) |
| 25 | 1.38 (s) | 1.49 (s) | 1.46 (s) | 1.40 (s) |
| 26 | 1.78 (s) | 1.67 (s) | 1.84 (s) | 1.78 (s) |
| 2′ | 2.13 (s) | 2.11 (s) | 2.07 (s) | 2.14 (s) |
| MeO | 3.67 (s) | 3.68 (s) | 3.73 (s) | 3.69 (s) |
| 2” | - | - | 2.66 (dd, 7.1, 6.9) | - |
| 3” | - | - | 1.26 (d, 6.9) | - |
| 4” | - | - | 1.32 (d, 7.1) | - |
| OH | 3.66 (d, 2.6) | not observed | - | 3.76 (d, 2.0) |
| C | 1 | 2 | 3 | 4 |
|---|---|---|---|---|
| 1 | 180.2, s | 90.8, d | 90.6, d | 180.4, s |
| 2 | 94.2, d | 37.3, t | 37.2, t | 94.4, d |
| 3 | 168.7, s | 170.9, s | 170.3, s | 168.6, s |
| 4 | 83.1, s | 84.9, s | 84.4, s | 83.1, s |
| 5 | 49.7, d | 43.2, d | 42.8, d | 49.8, d |
| 6 | 35.0, t | 37.7, t | 37.5, t | 35.2, t |
| 7 | 174.4, s | 173.8, s | 172.9, s | 174.7, s |
| 8 | 77.5, s | 75.5, s | 75.9, s | 77.6, s |
| 9 | 57.8, s | 62.8, s | 60.9, s | 58.0, s |
| 10 | 56.1, s | 57.2, s | 56.8, s | 56.2, s |
| 11 | 82.8, d | 83.6, d | 83.1, d | 82.6, d |
| 12 | 91.3, d | 91.2, d | 85.2, d | 91.6, d |
| 13 | 54.3, s | 54.2, s | 55.1, s | 53.7, s |
| 14 | 59.2, s | 62.8, s | 63.1, s | 58.9, s |
| 15 | 209.6, s | 211.8, s | 211.0, s | 208.5, s |
| 16 | 44.2, t | 44.8, t | 44.5, t | 43.3, t |
| 17 | 41.8, d | 42.2, d | 41.8, d | 42.3, d |
| 18 | 12.8, q | 13.1, q | 12.7, q | 13.4, q |
| 19 | 19.5, q | 22.6, q | 21.9, q | 19.3, q |
| 20 | 120.6, s | 121.2, s | 121.0, s | 132.0, s |
| 21 | 140.3, d | 140.2, d | 140.4, d | 173.3, s |
| 22 | 109.9, d | 109.9, d | 110.1, d | 148.7, d |
| 23 | 143.7, d | 143.7, d | 143.7, d | 70.6, t |
| 24 | 31.0, q | 30.9, q | 30.9, q | 31.2, q |
| 25 | 28.6, q | 27.0, q | 27.0, q | 28.6, q |
| 26 | 14.4, q | 15.2, q | 15.2, q | 14.6, q |
| 1′ | 172.0, s | 171.9, s | 168.5, s | 171.9, s |
| 2′ | 20.9, q | 20.9, q | 20.7, q | 20.8, q |
| OMe | 51.9, q | 51.9, q | 52.2, q | 52.0, q |
| 1” | - | - | 175.0, s | - |
| 2” | - | - | 34.2, d | - |
| 3” | - | - | 18.3, q | - |
| 4” | - | - | 19.3, q | - |
| Compound | L.a. | L.b | Raw |
|---|---|---|---|
| 1 | >100 | >100 | 64 ± 23 |
| 2 | >100 | >100 | 75 ±18 |
| 3 | >100 | >100 | 70 ± 27 |
| 4 | >100 | >100 | 76 ± 23 |
| Miltefosine | 5.0 ± 0.2 | 4.1 ± 0.5 | 21 ± 2.0 |
Publisher’s Note: MDPI stays neutral with regard to jurisdictional claims in published maps and institutional affiliations. |
© 2021 by the authors. Licensee MDPI, Basel, Switzerland. This article is an open access article distributed under the terms and conditions of the Creative Commons Attribution (CC BY) license (http://creativecommons.org/licenses/by/4.0/).
Share and Cite
Limachi, I.; Gonzalez-Ramirez, M.; Manner, S.; Ticona, J.C.; Salamanca, E.; Gimenez, A.; Sterner, O. Trichilianones A-D, Novel Cyclopropane-Type Limonoids from Trichilia adolfi. Molecules 2021, 26, 1019. https://doi.org/10.3390/molecules26041019
Limachi I, Gonzalez-Ramirez M, Manner S, Ticona JC, Salamanca E, Gimenez A, Sterner O. Trichilianones A-D, Novel Cyclopropane-Type Limonoids from Trichilia adolfi. Molecules. 2021; 26(4):1019. https://doi.org/10.3390/molecules26041019
Chicago/Turabian StyleLimachi, Ivan, Mariela Gonzalez-Ramirez, Sophie Manner, Juan C. Ticona, Efrain Salamanca, Alberto Gimenez, and Olov Sterner. 2021. "Trichilianones A-D, Novel Cyclopropane-Type Limonoids from Trichilia adolfi" Molecules 26, no. 4: 1019. https://doi.org/10.3390/molecules26041019
APA StyleLimachi, I., Gonzalez-Ramirez, M., Manner, S., Ticona, J. C., Salamanca, E., Gimenez, A., & Sterner, O. (2021). Trichilianones A-D, Novel Cyclopropane-Type Limonoids from Trichilia adolfi. Molecules, 26(4), 1019. https://doi.org/10.3390/molecules26041019

