Benchmarking Density Functional Approximations for Excited-State Properties of Fluorescent Dyes
Abstract
:1. Introduction
2. Materials and Methods
3. Results and Discussion
3.1. Vertical Energies
3.2. Dipole Moments
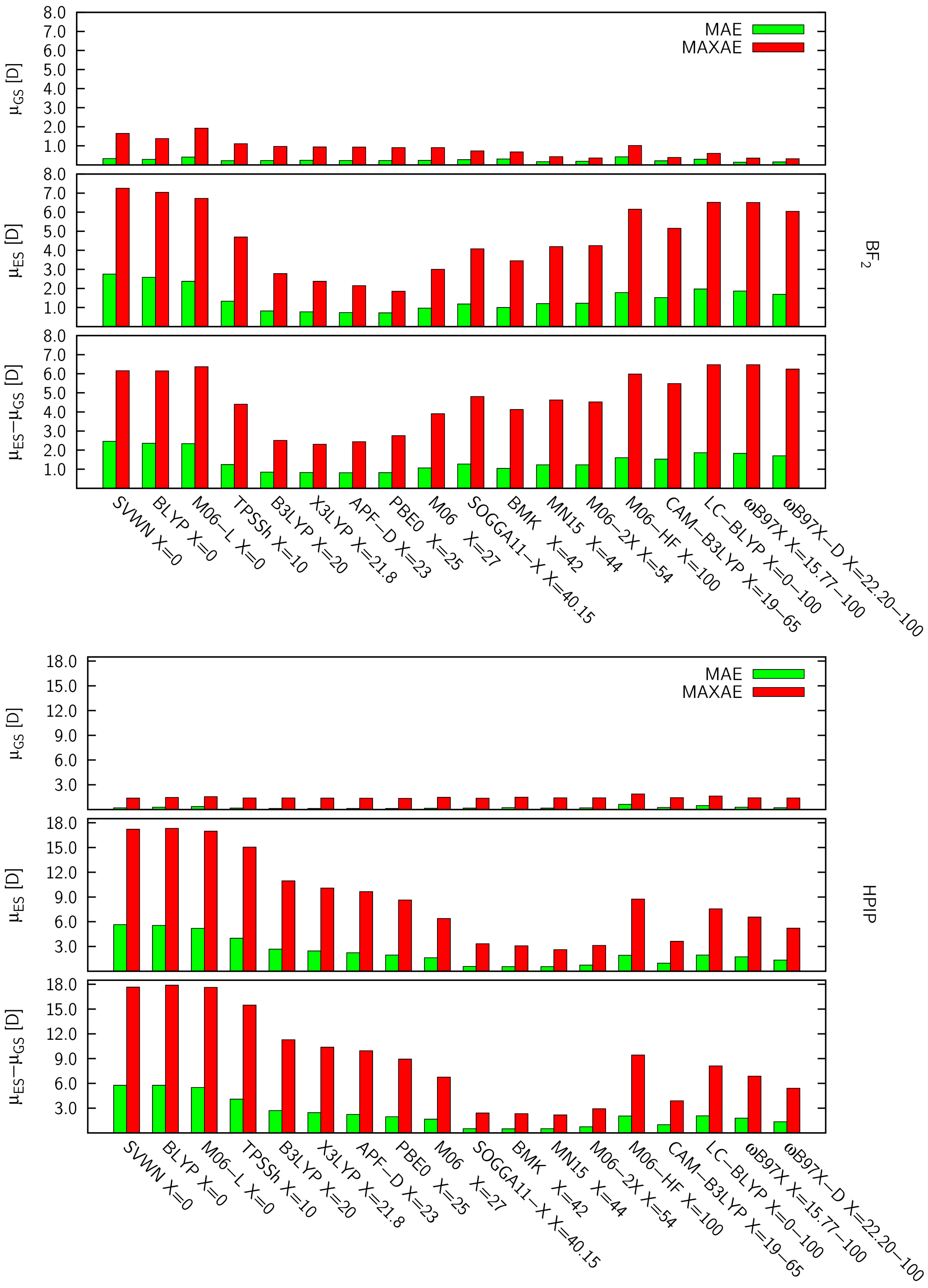
3.2.1. Ground-State Dipole Moments
3.2.2. Excited-State and Excess Dipole Moments
4. Conclusions
Supplementary Materials
Author Contributions
Funding
Institutional Review Board Statement
Informed Consent Statement
Data Availability Statement
Acknowledgments
Conflicts of Interest
References
- Bonner, W.; Hulett, H.; Sweet, R.; Herzenberg, L. Fluorescence Activated Cell Sorting. Rev. Sci. Instrum. 1972, 43, 404–409. [Google Scholar] [CrossRef]
- Cormack, B.; Valdivia, R.; Falkow, S. FACS-Optimized Mutants of the Green Fluorescent Protein (GFP). Gene 1996, 173, 33–38. [Google Scholar] [CrossRef]
- Liu, L.; Cheung, T.; Charville, G.; Rando, T. Isolation of Skeletal Muscle Stem Cells by Fluorescence-Activated Cell Sorting. Nat. Protoc. 2015, 10, 1612–1624. [Google Scholar] [CrossRef] [PubMed] [Green Version]
- Gadella, T., Jr.; Jovin, T.; Clegg, R. Fluorescence Lifetime Imaging Microscopy (FLIM): Spatial Resolution of Microstructures on the Nanosecond Time Scale. Biophys. Chem. 1993, 48, 221–239. [Google Scholar] [CrossRef]
- Bastiaens, P.; Squire, A. Fluorescence Lifetime Imaging Microscopy: Spatial Resolution of Biochemical Processes in the Cell. Trends Cell Biol. 1999, 9, 48–52. [Google Scholar] [CrossRef]
- Li, L.L.; Li, K.; Li, M.Y.; Shi, L.; Liu, Y.H.; Zhang, H.; Pan, S.L.; Wang, N.; Zhou, Q.; Yu, X.Q. BODIPY-Based Two-Photon Fluorescent Probe for Real-Time Monitoring of Lysosomal Viscosity with Fluorescence Lifetime Imaging Microscopy. Anal. Chem. 2018, 90, 5873–5878. [Google Scholar] [CrossRef] [PubMed]
- Sun, D.; Bloomston, M.; Hinkle, G.; Al-Saif, O.; Hall, N.; Povoski, S.; Arnold, M.; Martin, E., Jr. Radioimmunoguided Surgery (RIGS), PET/CT Image-Guided Surgery, and Fluorescence Image-Guided Surgery: Past, Present, and Future. J. Surg. Oncol. 2007, 96, 297–308. [Google Scholar] [CrossRef] [PubMed]
- Vahrmeijer, A.; Hutteman, M.; Van Der Vorst, J.; Van De Velde, C.; Frangioni, J. Image-Guided Cancer Surgery Using Near-Infrared Fluorescence. Nat. Rev. Clin. Oncol. 2013, 10, 507–518. [Google Scholar] [CrossRef] [PubMed] [Green Version]
- Sun, Y.; Zeng, X.; Xiao, Y.; Liu, C.; Zhu, H.; Zhou, H.; Chen, Z.; Xu, F.; Wang, J.; Zhu, M.; et al. Novel Dual-Function Near-Infrared II Fluorescence and PET Probe for Tumor Delineation and Image-Guided Surgery. Chem. Sci. 2018, 9, 2092–2097. [Google Scholar] [CrossRef] [PubMed] [Green Version]
- Chang, Z.F.; Jing, L.M.; Chen, B.; Zhang, M.; Cai, X.; Liu, J.J.; Ye, Y.C.; Lou, X.; Zhao, Z.; Liu, B.; et al. Rational Design of Asymmetric Red Fluorescent Probes for Live Cell Imaging with High AIE Effects and Large Two-Photon Absorption Cross Sections Using Tunable Terminal Groups. Chem. Sci. 2016, 7, 4527–4536. [Google Scholar] [CrossRef] [PubMed] [Green Version]
- Adjili, S.; Favier, A.; Fargier, G.; Thomas, A.; Massin, J.; Monier, K.; Favard, C.; Vanbelle, C.; Bruneau, S.; Peyriéras, N.; et al. Biocompatible Photoresistant Far-Red Emitting, Fluorescent Polymer Probes, with Near-Infrared Two-Photon Absorption, for Living Cell and Zebrafish Embryo Imaging. Biomaterials 2015, 46, 70–81. [Google Scholar] [CrossRef]
- Xia, Y.; Zhang, H.; Zhu, X.; Zhang, Q.; Fang, M.; Li, X.; Zhou, H.; Yang, X.; Zhang, X.; Tian, Y. Two-Photon Fluorescent Probe with Enhanced Absorption Cross Section for Relay Recognition of Zn2+/P2 and in Vivo Imaging. Spectrochim. Acta A 2018, 204, 446–451. [Google Scholar] [CrossRef] [PubMed]
- Liu, H.W.; Zhu, X.; Zhang, J.; Zhang, X.B.; Tan, W. A Red Emitting Two-Photon Fluorescent Probe for Dynamic Imaging of Redox Balance Meditated by a Superoxide Anion and GSH in Living Cells and Tissues. Analyst 2016, 141, 5893–5899. [Google Scholar] [CrossRef] [PubMed]
- Denk, W.; Strickler, J.H.; Webb, W.W. Two-Photon Laser Scanning Fluorescence Microscopy. Science 1990, 248, 73–76. [Google Scholar] [CrossRef] [PubMed] [Green Version]
- Benninger, R.K.; Piston, D.W. Two-Photon Excitation Microscopy for the Study of Living Cells and Tissues. Curr. Protoc. Cell Biol. 2013, 59, 4.11.1–4.11.24. [Google Scholar] [CrossRef] [Green Version]
- Flusberg, B.A.; Jung, J.C.; Cocker, E.D.; Anderson, E.P.; Schnitzer, M.J. In Vivo Brain Imaging Using a Portable 3.9 gram Two-Photon Fluorescence Microendoscope. Opt. Lett. 2005, 30, 2272–2274. [Google Scholar] [CrossRef] [PubMed]
- Barretto, R.P.J.; Ko, T.H.; Jung, J.C.; Wang, T.J.; Capps, G.; Waters, A.C.; Ziv, Y.; Attardo, A.; Recht, L.; Schnitzer, M.J. Time-Lapse Imaging of Disease Progression in Deep Brain Areas Using Fluorescence Microendoscopy. Nat. Med. 2011, 17, 223–228. [Google Scholar] [CrossRef] [PubMed] [Green Version]
- Piyawattanametha, W.; Cocker, E.D.; Burns, L.D.; Barretto, R.P.J.; Jung, J.C.; Ra, H.; Solgaard, O.; Schnitzer, M.J. In Vivo Brain Imaging Using a Portable 2.9 g Two-Photon Microscope Based on a Microelectromechanical Systems Scanning Mirror. Opt. Lett. 2009, 34, 2309–2311. [Google Scholar] [CrossRef] [Green Version]
- Schummers, J.; Yu, H.; Sur, M. Tuned Responses of Astrocytes and Their Influence on Hemodynamic Signals in the Visual Cortex. Science 2008, 320, 1638–1643. [Google Scholar] [CrossRef] [Green Version]
- Mower, A.F.; Kwok, S.; Yu, H.; Majewska, A.K.; Okamoto, K.I.; Hayashi, Y.; Sur, M. Experience-Dependent Regulation of CaMKII Activity within Single Visual Cortex Synapses in Vivo. Proc. Natl. Acad. Sci. USA 2011, 108, 21241–21246. [Google Scholar] [CrossRef] [Green Version]
- Mittmann, W.; Wallace, D.J.; Czubayko, U.; Herb, J.T.; Schaefer, A.T.; Looger, L.L.; Denk, W.; Kerr, J.N.D. Two-Photon Calcium Imaging of Evoked Activity from L5 Somatosensory Neurons in Vivo. Nat. Neurosci. 2011, 14, 1089–1093. [Google Scholar] [CrossRef] [Green Version]
- Allegra Mascaro, A.L.; Sacconi, L.; Pavone, F. Multi-Photon Nanosurgery in Live Brain. Front. Neuroenerg. 2010, 2, 21. [Google Scholar] [CrossRef]
- Gómez, C.A.; Fu, B.; Sakadžić, S.; Yaseen, M.A. Cerebral Metabolism in a Mouse Model of Alzheimer’s Disease Characterized by Two-Photon Fluorescence Lifetime Microscopy of Intrinsic NADH. Neurophotonics 2018, 5, 1–6. [Google Scholar] [CrossRef]
- Clark, T.B.; Ziółkowski, M.; Schatz, G.C.; Goodson, T. Two-Photon and Time-Resolved Fluorescence Spectroscopy as Probes for Structural Determination in Amyloid-β Peptides and Aggregates. J. Phys. Chem. B 2014, 118, 2351–2359. [Google Scholar] [CrossRef] [PubMed]
- Murugan, N.A.; Zaleśny, R.; Kongsted, J.; Nordberg, A.; Ågren, H. Promising Two-Photon Probes for in Vivo Detection of β Amyloid Deposits. Chem. Commun. 2014, 50, 11694–11697. [Google Scholar] [CrossRef] [PubMed]
- Aotake, T.; Suzuki, M.; Tahara, K.; Kuzuhara, D.; Aratani, N.; Tamai, N.; Yamada, H. An Optically and Thermally Switchable Electronic Structure Based on an Anthracene–BODIPY Conjugate. Eur. J. Chem. 2015, 21, 4966–4974. [Google Scholar] [CrossRef]
- Chen, Y.; Zhao, J.; Guo, H.; Xie, L. Geometry Relaxation-Induced Large Stokes Shift in Red-Emitting Borondipyrromethenes (BODIPY) and Applications in Fluorescent Thiol Probes. J. Org. Chem. 2012, 77, 2192–2206. [Google Scholar] [CrossRef]
- Thorat, K.G.; Ray, A.K.; Sekar, N. Modulating TICT to ICT Characteristics of Acid Switchable Red Emitting Boradiazaindacene Chromophores: Perspectives from Synthesis, Photophysical, Hyperpolarizability and TD-DFT Studies. Dyes Pigm. 2017, 136, 321–334. [Google Scholar] [CrossRef]
- Deniz, E.; Ray, S.; Tomasulo, M.; Impellizzeri, S.; Sortino, S.; Raymo, F.M. Photoswitchable Fluorescent Dyads Incorporating BODIPY and [1,3]Oxazine Components. J. Phys. Chem. A 2010, 114, 11567–11575. [Google Scholar] [CrossRef] [PubMed]
- Gotor, R.; Ashokkumar, P.; Hecht, M.; Keil, K.; Rurack, K. Optical pH Sensor Covering the Range from pH 0–14 Compatible with Mobile-Device Readout and Based on a Set of Rationally Designed Indicator Dyes. Anal. Chem. 2017, 89, 8437–8444. [Google Scholar] [CrossRef] [PubMed] [Green Version]
- Mukherjee, S.; Thilagar, P. Fine-Tuning Dual Emission and Aggregation-Induced Emission Switching in NPI–BODIPY Dyads. Eur. J. Chem. 2014, 20, 9052–9062. [Google Scholar] [CrossRef]
- Loudet, A.; Burgess, K. BODIPY Dyes and Their Derivatives: Syntheses and Spectroscopic Properties. Chem. Rev. 2007, 107, 4891–4932. [Google Scholar] [CrossRef]
- Ziessel, R.; Ulrich, G.; Harriman, A. The Chemistry of Bodipy: A New El Dorado for Fluorescence Tools. New J. Chem. 2007, 31, 496–501. [Google Scholar] [CrossRef]
- Xiaohua Li, X.; Gao, X.; Shi, W.; Ma, H. Design Strategies for Water-Soluble Small Molecular Chromogenic and Fluorogenic Probes. Chem. Rev. 2014, 114, 590–659. [Google Scholar] [CrossRef]
- Wang, B.; Li, P.; Yu, F.; Song, P.; Sun, X.; Yang, S.; Lou, Z.; Han, K. A Reversible Fluorescence Probe Based on Se–BODIPY for the Redox Cycle Between HClO Oxidative Stress and H2S Repair in Living Cells. Chem. Commun. 2013, 49, 1014–1016. [Google Scholar] [CrossRef] [PubMed]
- Kowada, T.; Maeda, H.; Kikuchi, K. BODIPY-Based Probes for the Fluorescence Imaging of Biomolecules in Living Cells. Chem. Soc. Rev. 2015, 44, 4953–4972. [Google Scholar] [CrossRef]
- Sivaraman, G.; Iniya, M.; Anand, T.; Kotla, N.G.; Sunnapu, O.; Singaravadivel, S.; Gulyani, A.; Chellappa, D. Chemically Diverse Small Molecule Fluorescent Chemosensors for Copper Ion. Coord. Chem. Rev. 2018, 357, 50–104. [Google Scholar] [CrossRef]
- Dziuba, D.; Jurkiewicz, P.; Cebecauer, M.; Hof, M.; Hocek, M. A Rotational BODIPY Nucleotide: An Environment-Sensitive Fluorescence-Lifetime Probe for DNA Interactions and Applications in Live-Cell Microscopy. Angew. Chem. Int. Ed. 2016, 55, 174–178. [Google Scholar] [CrossRef]
- Yogo, T.; Urano, Y.; Ishitsuka, Y.; Maniwa, F.; Nagano, T. Highly Efficient and Photostable Photosensitizer Based on BODIPY Chromophore. J. Am. Chem. Soc. 2005, 127, 12162–12163. [Google Scholar] [CrossRef] [PubMed]
- Awuah, S.G.; You, Y. Boron Dipyrromethene (BODIPY)-Based Photosensitizers for Photodynamic Therapy. RSC Adv. 2012, 2, 11169–11183. [Google Scholar] [CrossRef]
- Kamkaew, A.; Lim, S.H.; Lee, H.B.; Kiew, L.V.; Chung, L.Y.; Burgess, K. BODIPY Dyes in Photodynamic Therapy. Chem. Soc. Rev. 2013, 42, 77–88. [Google Scholar] [CrossRef] [PubMed]
- Yang, Y.; Guo, Q.; Chen, H.; Zhou, Z.; Guo, Z.; Shen, Z. Thienopyrrole-Expanded BODIPY as a Potential NIR Photosensitizer for Photodynamic Therapy. Chem. Commun. 2013, 49, 3940–3942. [Google Scholar] [CrossRef] [PubMed]
- Abrahamse, H.; Hamblin, M.R. New Photosensitizers for Photodynamic Therapy. Biochem. J. 2016, 473, 347–364. [Google Scholar] [CrossRef] [Green Version]
- Zhou, J.; Zhang, Y.; Yu, G.; Crawley, M.R.; Fulong, C.R.P.; Friedman, A.E.; Sengupta, S.; Sun, J.; Li, Q.; Huang, F.; et al. Highly Emissive Self-Assembled BODIPY-Platinum Supramolecular Triangles. J. Am. Chem. Soc. 2018, 140, 7730–7736. [Google Scholar] [CrossRef] [PubMed]
- Turksoy, A.; Yildiz, D.; Akkaya, E.U. Photosensitization and Controlled Photosensitization with BODIPY Dyes. Coord. Chem. Rev. 2019, 379, 47–64. [Google Scholar] [CrossRef]
- Wang, F.; Zhu, Y.; Zhou, L.; Pan, L.; Cui, Z.; Fei, Q.; Luo, S.; Pan, D.; Huang, Q.; Wang, R.; et al. Fluorescent In Situ Targeting Probes for Rapid Imaging of Ovarian-Cancer-Specific γ-Glutamyltranspeptidase. Angew. Chem. Int. Ed. 2015, 54, 7349–7353. [Google Scholar] [CrossRef] [PubMed]
- Zhou, Z.; Wang, F.; Yang, G.; Lu, C.; Nie, J.; Chen, Z.; Ren, J.; Sun, Q.; Zhao, C.; Zhu, W.H. A Ratiometric Fluorescent Probe for Monitoring Leucine Aminopeptidase in Living Cells and Zebrafish Model. Anal. Chem. 2017, 89, 11576–11582. [Google Scholar] [CrossRef]
- Wang, N.; Chen, M.; Gao, J.; Ji, X.; He, J.; Zhang, J.; Zhao, W. A Series of BODIPY-Based Probes for the Detection of Cysteine and Homocysteine in Living Cells. Talanta 2019, 195, 281–289. [Google Scholar] [CrossRef]
- Mizusawa, K.; Takaoka, Y.; Hamachi, I. Specific Cell Surface Protein Imaging by Extended Self-Assembling Fluorescent Turn-on Nanoprobes. J. Am. Chem. Soc. 2012, 134, 13386–13395. [Google Scholar] [CrossRef] [PubMed]
- Ashokkumar, P.; Ashoka, A.H.; Collot, M.; Das, A.; Klymchenko, A.S. A Fluorogenic BODIPY Molecular Rotor as an Apoptosis Marker. Chem. Commun. 2019, 55, 6902–6905. [Google Scholar] [CrossRef] [Green Version]
- Wang, X.; Li, H.; Wu, X.; Shu, H.; Tian, H.; Tong, H.; Wang, L. Highly Efficient Solution-Processed Thermally Activated Delayed Fluorescence Emitter Based on a Fused Difluoroboron Ketoiminate Acceptor: C/N Switch to Realize the Effective Modulation of luminescence behavior. J. Mater. Chem. C 2021, 14133–14138. [Google Scholar] [CrossRef]
- Zhan, L.; Ning, W.; Gong, S.; Xie, G.; Yang, C. Difluoroboron Locking Tactic Enhances Photo- and Electroluminescence of TADF Emitter. Dyes Pigm. 2021, 192, 109392. [Google Scholar] [CrossRef]
- Li, H.; Shu, H.; Wang, X.; Wu, X.; Tian, H.; Tong, H.; Wang, L. Orange-Red Thermally Activated Delay Fluorescence Emitters Based on Asymmetric Difluoroboron Chelated Enaminone: Impact of Donor Position on Luminescent Properties. Dyes Pigm. 2021, 184, 108810. [Google Scholar] [CrossRef]
- Li, G.; Lou, W.; Wang, D.; Deng, C.; Zhang, Q. Difluoroboron-Enabled Thermally Activated Delayed Fluorescence. ACS Appl. Mater. Interfaces 2019, 11, 32209–32217. [Google Scholar] [CrossRef]
- Lv, H.M.; Yuan, D.H.; Liu, W.; Chen, Y.; Au, C.T.; Yin, S.F. A Highly Selective ESIPT-Based Fluorescent Probe for Cysteine Sensing and its Bioimaging Application in Living Cells. Sens. Actuators B. Chem. 2016, 233, 173–179. [Google Scholar] [CrossRef]
- Caltagirone, C.; Arca, M.; Falchi, A.M.; Lippolis, V.; Meli, V.; Monduzzi, M.; Nylander, T.; Rosa, A.; Schmidt, J.; Talmon, Y.; et al. Solvatochromic Fluorescent BODIPY Derivative as Imaging Agent in Camptothecin Loaded Hexosomes for Possible Theranostic Applications. RSC Adv. 2015, 5, 23443–23449. [Google Scholar] [CrossRef] [Green Version]
- Sedgwick, A.; Sun, X.; Kim, G.; Yoon, J.; Bull, S.; James, T. Boronate Based Fluorescence (ESIPT) Probe for Peroxynitrite. Chem. Comm. 2016, 52, 12350–12352. [Google Scholar] [CrossRef] [PubMed] [Green Version]
- Zhao, J.; Ji, S.; Chen, Y.; Guo, H.; Yang, P. Excited State Intramolecular Proton Transfer (ESIPT): From Principal Photophysics to the Development of New Chromophores and Applications in Fluorescent Molecular Probes and Luminescent Materials. Phys. Chem. Chem. Phys. 2012, 14, 8803–8817. [Google Scholar] [CrossRef]
- Chen, L.; Park, S.; Wu, D.; Kim, H.; Yoon, J. A Two-Photon ESIPT Based Fluorescence Probe for Specific Detection of Hypochlorite. Dyes Pigm. 2018, 158, 526–532. [Google Scholar] [CrossRef]
- Singh, P.; Singh, H.; Bhargava, G.; Kumar, S. Triple-Signaling Mechanisms-Based Three-In-One Multi-Channel Chemosensor for Discriminating Cu2+, Acetate and Ion Pair Mimicking AND, NOR, INH and IMP Logic Functions. J. Mater. Chem. C 2015, 3, 5524–5532. [Google Scholar] [CrossRef]
- Wang, L.; Li, Y.; You, X.; Xu, K.; Feng, Q.; Wang, J.; Liu, Y.; Li, K.; Hou, H. An Erasable Photo-Patterning Material Based on a Specially Designed 4-(1,2,2-triphenylvinyl)aniline salicylaldehyde hydrazone Aggregation-Induced Emission (AIE) Molecule. J. Mat. Chem. C 2017, 5, 65–72. [Google Scholar] [CrossRef]
- Qin, J.C.; Yang, Z.Y. Fluorescent Chemosensor for Detection of Zn2+ and Cu2+ and its Application in Molecular Logic Gate. J. Photochem. Photobiol. A 2016, 324, 152–158. [Google Scholar] [CrossRef]
- Klymchenko, A.S. Solvatochromic and Fluorogenic Dyes as Environment-Sensitive Probes: Design and Biological Applications. Acc. Chem. Res. 2017, 50, 366–375. [Google Scholar] [CrossRef] [PubMed] [Green Version]
- Liu, Y.; Feng, G. A Visible Light Excitable Colorimetric and Fluorescent ESIPT Probe for Rapid and Selective Detection of Hydrogen Sulfide. Org. Biomol. Chem. 2014, 12, 438–445. [Google Scholar] [CrossRef] [PubMed]
- Sedgwick, A.; Wu, L.; Han, H.H.; Bull, S.; He, X.P.; James, T.; Sessler, J.; Tang, B.; Tian, H.; Yoon, J. Excited-State Intramolecular Proton-Transfer (ESIPT) Based Fluorescence Sensors and Imaging Agents. Chem. Soc. Rev. 2018, 47, 8842–8880. [Google Scholar] [CrossRef] [PubMed] [Green Version]
- Catalán, J.; Fabero, F.; Soledad Guijarro, M.; Claramunt, R.; Dolores Santa Maria, M.; de la Concepción, M.; Hernández Cano, F.; Elguero, J.; Sastre, R. Photoinduced Intramolecular Proton Transfer as the Mechanism of Ultraviolet Stabilizers: A Reappraisal. J. Am. Chem. Soc. 1990, 112, 747–759. [Google Scholar] [CrossRef]
- Paterson, M.; Robb, M.; Blancafort, L.; DeBellis, A. Mechanism of an Exceptional Class of Photostabilizers: A Seam of Conical Intersection Parallel to Excited State Intramolecular Proton Transfer (ESIPT) in o-hydroxyphenyl-(1,3,5)-Triazine. J. Phys. Chem. A 2005, 109, 7527–7537. [Google Scholar] [CrossRef] [PubMed]
- Gong, Y.; Wang, Z.; Zhang, S.; Luo, Z.; Gao, F.; Li, H. New ESIPT-Inspired Photostabilizers of Two-Photon Absorption Coumarin-Benzotriazole Dyads: From Experiments to Molecular Modeling. Ind. Eng. Chem. Res. 2016, 55, 5223–5230. [Google Scholar] [CrossRef]
- Kwon, J.E.; Park, S.Y. Advanced Organic Optoelectronic Materials: Harnessing Excited-State Intramolecular Proton Transfer (ESIPT) Process. Adv. Mater. 2011, 23, 3615–3642. [Google Scholar] [CrossRef]
- Zhang, W.; Yan, Y.; Gu, J.; Yao, J.; Zhao, Y. Low-Threshold Wavelength-Switchable Organic Nanowire Lasers Based on Excited-State Intramolecular Proton Transfer. Angew. Chem. Int. Ed. 2015, 54, 7125–7129. [Google Scholar] [CrossRef]
- Tang, B.; Liu, H.; Li, F.; Wang, Y.; Zhang, H. Single-Benzene Solid Emitters with Lasing Properties Based on Aggregation-Induced Emissions. Chem. Comm. 2016, 52, 6577–6580. [Google Scholar] [CrossRef]
- Li, J.; Wu, Y.; Xu, Z.; Liao, Q.; Zhang, H.; Zhang, Y.; Xiao, L.; Yao, J.; Fu, H. Tuning the Organic Microcrystal Laser Wavelength of ESIPT-Active Compounds: Via Controlling the Excited Enol* and Keto* Emissions. J. Mater. Chem. C 2017, 5, 12235–12240. [Google Scholar] [CrossRef]
- Padalkar, V.S.; Seki, S. Excited-state Intramolecular Proton-Transfer (ESIPT)-Inspired Solid State Emitters. Chem. Soc. Rev. 2016, 45, 169–202. [Google Scholar] [CrossRef]
- Matsumoto, H.; Nishimura, Y.; Arai, T. Fluorescence Sensor with A New ON1–OFF–ON2 Switching Mechanism Using the Excited State Intermolecular Proton Transfer Reaction of An Anthracene-diurea Compound. Photochem. Photobiol. 2017, 93, 1187–1192. [Google Scholar] [CrossRef]
- Mancini, D.T.; Sen, K.; Barbatti, M.; Thiel, W.; Ramalho, T.C. Excited-State Proton Transfer Can Tune the Color of Protein Fluorescent Markers. ChemPhysChem 2015, 16, 3444–3449. [Google Scholar] [CrossRef] [Green Version]
- Tang, K.C.; Chang, M.J.; Lin, T.Y.; Pan, H.A.; Fang, T.C.; Chen, K.Y.; Hung, W.Y.; Hsu, Y.H.; Chou, P.T. Fine Tuning the Energetics of Excited-State Intramolecular Proton Transfer (ESIPT): White Light Generation in A Single ESIPT System. J. Am. Chem. Soc. 2011, 133, 17738–17745. [Google Scholar] [CrossRef]
- Sun, Y.; Zhao, Y.; Liu, X.T.; Ren, A.M.; Feng, J.K.; Yu, X.Q. Theoretical Investigation of the Two-Photon Absorption Properties of 3,6-bis(4-vinylpyridinium) Carbazole Derivatives-New Biological Fluorescent Probes. J. Mol. Model. 2012, 18, 2357–2367. [Google Scholar] [CrossRef] [PubMed]
- Vivas, M.; Silva, D.; Malinge, J.; Boujtita, M.; Zaleśny, R.; Bartkowiak, W.; Ågren, H.; Canuto, S.; De Boni, L.; Ishow, E.; et al. Molecular structure-Optical Property Relationships for a Series of Non-Centrosymmetric Two-Photon Absorbing Push-Pull Triarylamine Molecules. Sci. Rep. 2014, 4, 4447. [Google Scholar] [CrossRef] [Green Version]
- Osella, S.; Murugan, N.A.; Jena, N.K.; Knippenberg, S. Investigation into Biological Environments through (Non)linear Optics: A Multiscale Study of Laurdan Derivatives. J. Chem. Theory Comput. 2016, 12, 6169–6181. [Google Scholar] [CrossRef]
- Osella, S.; Knippenberg, S. Triggering On/Off States of Photoswitchable Probes in Biological Environments. J. Am. Chem. Soc. 2017, 139, 4418–4428. [Google Scholar] [CrossRef]
- Zaleśny, R.; Murugan, N.A.; Tian, G.; Medved, M.; Ågren, H. First-Principles Simulations of One- and Two-Photon Absorption Band Shapes of the Bis(BF2) Core Complex. J. Phys. Chem. B 2016, 120, 2323–2332. [Google Scholar] [CrossRef]
- Zaleśny, R.; Szczotka, N.; Grabarz, A.; Ośmiałowski, B.; Jacquemin, D. Design of Two-Photon-Excited Fluorescent Dyes Containing Fluoroborylene Groups. ChemPhotoChem 2019, 3, 719–726. [Google Scholar] [CrossRef] [Green Version]
- Li, Y.; Xu, B.; Song, P.; Ma, F.; Sun, M. D-A-π-A System: Light Harvesting, Charge Transfer, and Molecular Designing. J. Phys. Chem. C 2017, 121, 12546–12561. [Google Scholar] [CrossRef]
- Le Bahers, T.; Pauporté, T.; Scalmani, G.; Adamo, C.; Ciofini, I. A TD-DFT Investigation of Ground and Excited State Properties in Indoline Dyes used for Dye-Sensitized Solar Cells. Phys. Chem. Chem. Phys. 2009, 11, 11276–11284. [Google Scholar] [CrossRef] [PubMed]
- Sánchez-de Armas, R.; San Miguel, M.Á.; Oviedo, J.; Sanz, J.F. Coumarin Derivatives for Dye Sensitized Solar Cells: A TD-DFT Study. Phys. Chem. Chem. Phys. 2012, 14, 225–233. [Google Scholar] [CrossRef] [PubMed]
- Ameline, D.; Diring, S.; Farre, Y.; Pellegrin, Y.; Naponiello, G.; Blart, E.; Charrier, B.; Dini, D.; Jacquemin, D.; Odobel, F. Isoindigo Derivatives for Application in P-Type Dye Sensitized Solar Cells. RSC Adv. 2015, 5, 85530–85539. [Google Scholar] [CrossRef]
- Zhang, J.; Zhu, H.C.; Zhong, R.L.; Wang, L.; Su, Z.M. Promising Heterocyclic Anchoring Groups with Superior Adsorption Stability and Improved IPCE for High-Efficiency Noncarboxyl Dye Sensitized Solar Cells: A Theoretical Study. Org. Electron. 2018, 54, 104–113. [Google Scholar] [CrossRef]
- He, L.J.; Chen, J.; Bai, F.Q.; Jia, R.; Wang, J.; Zhang, H.X. Fine-Tuning π-Spacer for High Efficiency Performance DSSC: A Theoretical Exploration with D-π-A Based Organic Dye. Dyes Pigm. 2017, 141, 251–261. [Google Scholar] [CrossRef]
- Gauthier, S.; Guen, F.R.L.; Wojcik, L.; Poul, N.L.; Planchat, A.; Pellegrin, Y.; Level, P.G.; Szuwarski, N.; Boujtita, M.; Jacquemin, D.; et al. Synthesis and Properties of Novel Pyranylidene-Based Organic Sensitizers for Dye-Sensitized Solar Cells. Dyes Pigm. 2019, 171, 107747. [Google Scholar] [CrossRef]
- Adamo, C.; Barone, V. Toward Reliable Density Functional Methods without Adjustable Parameters: The PBE0 Model. J. Chem. Phys. 1999, 110, 6158–6170. [Google Scholar] [CrossRef]
- Adamo, C.; Bahers, T.L.; Savarese, M.; Wilbraham, L.; García, G.; Fukuda, R.; Ehara, M.; Rega, N.; Ciofini, I. Exploring excited states using Time Dependent Density Functional Theory and density-based indexes. Coord. Chem. Rev. 2015, 304-305, 166–178. [Google Scholar] [CrossRef]
- Bloino, J.; Biczysko, M.; Santoro, F.; Barone, V. General Approach to Compute Vibrationally Resolved One-Photon Electronic Spectra. J. Chem. Theory Comput. 2010, 6, 1256–1274. [Google Scholar] [CrossRef]
- Irfan, A.; Jin, R.; Al-Sehemi, A.G.; Asiri, A.M. Quantum chemical study of the donor-bridge-acceptor triphenylamine based sensitizers. Spectrochim. Acta A 2013, 110, 60–66. [Google Scholar] [CrossRef] [PubMed]
- Jacquemin, D.; Perpète, E.A.; Scuseria, G.E.; Ciofini, I.; Adamo, C. TD-DFT Performance for the Visible Absorption Spectra of Organic Dyes: Conventional versus Long-Range Hybrids. J. Chem. Theory Comput. 2008, 4, 123–135. [Google Scholar] [CrossRef] [PubMed]
- Presti, D.; Wilbraham, L.; Targa, C.; Labat, F.; Pedone, A.; Menziani, M.C.; Ciofini, I.; Adamo, C. Understanding Aggregation-Induced Emission in Molecular Crystals: Insights from Theory. J. Phys. Chem. C 2017, 121, 5747–5752. [Google Scholar] [CrossRef]
- Yuan, L.; Lin, W.; Yang, Y.; Chen, H. A Unique Class of Near-Infrared Functional Fluorescent Dyes with Carboxylic-Acid-Modulated Fluorescence ON/OFF Switching: Rational Design, Synthesis, Optical Properties, Theoretical Calculations, and Applications for Fluorescence Imaging in Living Animals. J. Am. Chem. Soc. 2012, 134, 1200–1211. [Google Scholar] [CrossRef] [PubMed]
- Runge, E.; Gross, E. Density-Functional Theory for Time-Dependent Systems. Phys. Rev. Lett. 1984, 52, 997–1000. [Google Scholar] [CrossRef]
- Casida, M.E. Recent Advances in Density Functional Methods, Part I; World Scientific: Singapore, 1995; p. 155. [Google Scholar]
- Huang, S.; Zhang, Q.; Shiota, Y.; Nakagawa, T.; Kuwabara, K.; Yoshizawa, K.; Adachi, C. Computational Prediction for Singlet- and Triplet-Transition Energies of Charge-Transfer Compounds. J. Chem. Theory Comput. 2013, 9, 3872–3877. [Google Scholar] [CrossRef]
- Guido, C.A.; Mennucci, B.; Scalmani, G.; Jacquemin, D. Excited State Dipole Moments in Solution: Comparison between State-Specific and Linear-Response TD-DFT Values. J. Chem. Theory Comput. 2018, 14, 1544–1553. [Google Scholar] [CrossRef]
- Tawada, Y.; Tsuneda, T.; Yanagisawa, S.; Yanai, T.; Hirao, K. A Long-Range-Corrected Time-Dependent Density Functional Theory. J. Chem. Phys. 2004, 120, 8425–8433. [Google Scholar] [CrossRef]
- Stein, T.; Kronik, L.; Baer, R. Reliable Prediction of Charge Transfer Excitations in Molecular Complexes Using Time-Dependent Density Functional Theory. J. Am. Chem. Soc. 2009, 131, 2818–2820. [Google Scholar] [CrossRef]
- Guido, C.A.; Cortona, P.; Mennucci, B.; Adamo, C. On the Metric of Charge Transfer Molecular Excitations: A Simple Chemical Descriptor. J. Chem. Theory Comput. 2013, 9, 3118–3126. [Google Scholar] [CrossRef] [PubMed]
- Jacquemin, D.; Perpète, E.A.; Ciofini, I.; Adamo, C. Assessment of the ωB97 Family for Excited-State Calculations. Theor. Chem. Acc. 2011, 128, 127–136. [Google Scholar] [CrossRef]
- Yanai, T.; Tew, D.; Handy, N. A New Hybrid Exchange–Correlation Functional Using the Coulomb-Attenuating Method (CAM-B3LYP). Chem. Phys. Lett. 2004, 393, 51–57. [Google Scholar] [CrossRef] [Green Version]
- Iikura, H.; Tsuneda, T.; Yanai, T.; Hirao, K. A Long-Range Correction Scheme for Generalized-Gradient-Approximation Exchange Functionals. J. Chem. Phys. 2001, 115, 3540–3544. [Google Scholar] [CrossRef]
- Vydrov, O.A.; Scuseria, G.E.; Perdew, J.P. Tests of Functionals for Systems with Fractional Electron Number. J. Chem. Phys. 2007, 126, 154109. [Google Scholar] [CrossRef]
- Chai, J.D.; Head-Gordon, M. Long-Range Corrected Hybrid Density Functionals with Damped Atom-Atom Dispersion Corrections. Phys. Chem. Chem. Phys. 2008, 10, 6615–6620. [Google Scholar] [CrossRef] [PubMed] [Green Version]
- Chai, J.D.; Head-Gordon, M. Systematic Optimization of Long-Range Corrected Hybrid Density Functionals. J. Chem. Phys. 2008, 128, 084106. [Google Scholar] [CrossRef] [PubMed]
- Zhao, Y.; Lynch, B.J.; Truhlar, D.G. Doubly Hybrid Meta DFT: New Multi-Coefficient Correlation and Density Functional Methods for Thermochemistry and Thermochemical Kinetics. J. Phys. Chem. A 2004, 108, 4786–4791. [Google Scholar] [CrossRef]
- Grimme, S.; Neese, F. Double-Hybrid Density Functional Theory for Excited Electronic States of Molecules. J. Chem. Phys. 2007, 127, 154116. [Google Scholar] [CrossRef]
- Kozuch, S.; Martin, J.M.L. Spin-Component-Scaled Double Hybrids: An Extensive Search for the Best Fifth-Rung Functionals Blending DFT and Perturbation Theory. J. Comput. Chem. 2013, 34, 2327–2344. [Google Scholar] [CrossRef]
- Brémond, E.; Ciofini, I.; Sancho-García, J.C.; Adamo, C. Nonempirical Double-Hybrid Functionals: An Effective Tool for Chemists. Acc. Chem. Res. 2016, 49, 1503–1513. [Google Scholar] [CrossRef] [Green Version]
- Stanton, J.F.; Bartlett, R.J. The Equation of Motion Coupled-Cluster Method. A Systematic Biorthogonal Approach to Molecular Excitation Energies, Transition Probabilities, and Excited State Properties. J. Chem. Phys. 1993, 98, 7029–7039. [Google Scholar] [CrossRef]
- Goings, J.J.; Caricato, M.; Frisch, M.J.; Li, X. Assessment of Low-Scaling Approximations to the Equation of Motion Coupled-Cluster Singles and Doubles Equations. J. Chem. Phys. 2014, 141, 164116. [Google Scholar] [CrossRef] [PubMed] [Green Version]
- Andersson, K.; Malmqvist, P.A.; Roos, B.O.; Sadlej, A.J.; Wolinski, K. Second-Order Perturbation Theory with a CASSCF Reference Function. J. Phys. Chem. 1990, 94, 5483–5488. [Google Scholar] [CrossRef]
- Roca-Sanjuán, D.; Aquilante, F.; Lindh, R. Multiconfiguration Second-Order Perturbation Theory Approach to Strong Electron Correlation in Chemistry and Photochemistry. WIREs Comput. Mol. Sci. 2012, 2, 585–603. [Google Scholar] [CrossRef]
- Christiansen, O.; Koch, H.; Jørgensen, P. Response Functions in the CC3 Iterative Triple Excitation Model. J. Chem. Phys. 1995, 103, 7429–7441. [Google Scholar] [CrossRef]
- Koch, H.; Christiansen, O.; Jørgensen, P.; Sanchez de Merás, A.M.; Helgaker, T. The CC3 Model: An Iterative Coupled Cluster Approach Including Connected Triples. J. Chem. Phys. 1997, 106, 1808–1818. [Google Scholar] [CrossRef] [Green Version]
- Paul, A.C.; Myhre, R.H.; Koch, H. New and Efficient Implementation of CC3. J. Chem. Theory Comput. 2021, 17, 117–126. [Google Scholar] [CrossRef]
- Loos, P.F.; Scemama, A.; Jacquemin, D. The Quest for Highly Accurate Excitation Energies: A Computational Perspective. J. Phys. Chem. Lett. 2020, 11, 2374–2383. [Google Scholar] [CrossRef]
- Schirmer, J. Beyond the Random-Phase Approximation: A New Approximation Scheme for the Polarization Propagator. Phys. Rev. A 1982, 26, 2395–2416. [Google Scholar] [CrossRef]
- Schirmer, J.; Trofimov, A.B. Intermediate State Representation Approach to Physical Properties of Electronically Excited Molecules. J. Chem. Phys. 2004, 120, 11449–11464. [Google Scholar] [CrossRef] [PubMed]
- Christiansen, O.; Koch, H.; Jørgensen, P. The Second-Order Approximate Coupled Cluster Singles and Doubles Model CC2. Chem. Phys. Lett. 1995, 243, 409–418. [Google Scholar] [CrossRef]
- Hättig, C.; Weigend, F. CC2 Excitation Energy Calculations on Large Molecules Using the Resolution of the Identity approximation. J. Chem. Phys. 2000, 113, 5154–5161. [Google Scholar] [CrossRef]
- Jacquemin, D.; Wathelet, V.; Perpéte, E.; Adamo, C. Extensive TD-DFT Benchmark: Singlet-Excited States of Organic Molecules. J. Chem. Theory Comput. 2009, 5, 2420–2435. [Google Scholar] [CrossRef]
- Jacquemin, D.; Perpète, E.A.; Vydrov, O.A.; Scuseria, G.E.; Adamo, C. Assessment of Long-Range Corrected Functionals Performance for n→π* Transitions in Organic Dyes. J. Chem. Phys. 2007, 127, 094102. [Google Scholar] [CrossRef] [PubMed]
- Loos, P.F.; Jacquemin, D. Evaluating 0–0 Energies with Theoretical Tools: A Short Review. ChemPhotoChem 2019, 3, 684–696. [Google Scholar] [CrossRef] [Green Version]
- Suellen, C.; Freitas, R.G.; Loos, P.F.; Jacquemin, D. Cross-Comparisons between Experiment, TD-DFT, CC, and ADC for Transition Energies. J. Chem. Theory Comput. 2019, 15, 4581–4590. [Google Scholar] [CrossRef] [PubMed]
- Caricato, M.; Trucks, G.W.; Frisch, M.J.; Wiberg, K.B. Electronic Transition Energies: A Study of the Performance of a Large Range of Single Reference Density Functional and Wave Function Methods on Valence and Rydberg States Compared to Experiment. J. Chem. Theory Comput. 2010, 6, 370–383. [Google Scholar] [CrossRef] [PubMed]
- Silva-Junior, M.R.; Schreiber, M.; Sauer, S.P.A.; Thiel, W. Benchmarks for Electronically Excited States: Time-Dependent Density Functional Theory and Density Functional Theory Based Multireference Configuration Interaction. J. Chem. Phys. 2008, 129, 104103. [Google Scholar] [CrossRef] [Green Version]
- Goerigk, L.; Grimme, S. Assessment of TD-DFT Methods and of Various Spin Scaled CIS(D) and CC2 Versions for the Treatment of Low-Lying Valence Excitations of Large Organic Dyes. J. Chem. Phys. 2010, 132, 184103. [Google Scholar] [CrossRef]
- Goerigk, L.; Hansen, A.; Bauer, C.; Ehrlich, S.; Najibi, A.; Grimme, S. A Look at the Density Functional Theory Zoo with the Advanced GMTKN55 Database for General Main Group Thermochemistry, Kinetics and Noncovalent Interactions. Phys. Chem. Chem. Phys. 2017, 19, 32184–32215. [Google Scholar] [CrossRef] [Green Version]
- Peach, M.; Benfield, P.; Helgaker, T.; Tozer, D. Excitation Energies in Density Functional Theory: An Evaluation and a Diagnostic Test. J. Chem. Phys. 2008, 128, 44118. [Google Scholar] [CrossRef] [PubMed]
- Yu, H.S.; He, X.; Li, S.L.; Truhlar, D.G. MN15: A Kohn–Sham Global-Hybrid Exchange–Correlation Density Functional with Broad Accuracy for Multi-Reference and Single-Reference Systems and Noncovalent Interactions. Chem. Sci. 2016, 7, 5032–5051. [Google Scholar] [CrossRef] [Green Version]
- Peverati, R.; Truhlar, D.G. Quest for a Universal Density Functional: The Accuracy of Density Functionals Across a Broad Spectrum of Databases in Chemistry and Physics. Phil. Trans. R. Soc. A 2014, 372, 20120476. [Google Scholar] [CrossRef]
- Zhao, Y.; Truhlar, D.G. The M06 Suite of Density Functionals for Main Group Thermochemistry, Thermochemical Kinetics, Noncovalent Interactions, Excited States, and Transition Elements: Two New Functionals and Systematic Testing of Four M06-Class Functionals and 12 other Functionals. Theor. Chem. Acc. 2008, 120, 215–241. [Google Scholar]
- Champagne, B.; Perpète, E.A.; Jacquemin, D.; van Gisbergen, S.J.A.; Baerends, E.J.; Soubra-Ghaoui, C.; Robins, K.A.; Kirtman, B. Assessment of Conventional Density Functional Schemes for Computing the Dipole Moment and (Hyper)polarizabilities of Push-Pull π-Conjugated Systems. J. Phys. Chem. A 2000, 104, 4755–4763. [Google Scholar] [CrossRef]
- Furche, F.; Ahlrichs, R. Adiabatic Time-Dependent Density Functional Methods for Excited State Properties. J. Chem. Phys. 2002, 117, 7433–7447. [Google Scholar] [CrossRef]
- Hickey, A.L.; Rowley, C.N. Benchmarking Quantum Chemical Methods for the Calculation of Molecular Dipole Moments and Polarizabilities. J. Phys. Chem. A 2014, 118, 3678–3687. [Google Scholar] [CrossRef]
- Verma, P.; Truhlar, D.G. Can Kohn–Sham Density Functional Theory Predict Accurate Charge Distributions for Both Single-Reference and Multi-Reference Molecules? Phys. Chem. Chem. Phys. 2017, 19, 12898–12912. [Google Scholar] [CrossRef] [PubMed]
- Jacquemin, D. Excited-State Dipole and Quadrupole Moments: TD-DFT versus CC2. J. Chem. Theory Comput. 2016, 12, 3993–4003. [Google Scholar] [CrossRef] [PubMed]
- Hait, D.; Head-Gordon, M. How Accurate Is Density Functional Theory at Predicting Dipole Moments? An Assessment Using a New Database of 200 Benchmark Values. J. Chem. Theory Comput. 2018, 14, 1969–1981. [Google Scholar] [CrossRef] [PubMed] [Green Version]
- Sarkar, R.; Boggio-Pasqua, M.; Loos, P.F.; Jacquemin, D. Benchmarking TD-DFT and Wave Function Methods for Oscillator Strengths and Excited-State Dipole Moments. J. Chem. Theory Comput. 2021, 17, 1117–1132. [Google Scholar] [CrossRef]
- Silva-Junior, M.R.; Schreiber, M.; Sauer, S.P.A.; Thiel, W. Benchmarks of Electronically Excited States: Basis Set Effects on CASPT2 Results. J. Chem. Phys. 2010, 133, 174318. [Google Scholar] [CrossRef] [PubMed]
- Moore, B.; Charaf-Eddin, A.; Planchat, A.; Adamo, C.; Autschbach, J.; Jacquemin, D. Electronic Band Shapes Calculated with Optimally Tuned Range-Separated Hybrid Functionals. J. Chem. Theory Comput. 2014, 10, 4599–4608. [Google Scholar] [CrossRef]
- Fang, C.; Durbeej, B. Calculation of Free-Energy Barriers with TD-DFT: A Case Study on Excited-State Proton Transfer in Indigo. J. Phys. Chem. A 2019, 123, 8485–8495. [Google Scholar] [CrossRef] [PubMed]
- Frisch, M.J.; Trucks, G.W.; Schlegel, H.B.; Scuseria, G.E.; Robb, M.A.; Cheeseman, J.R.; Scalmani, G.; Barone, V.; Petersson, G.A.; Nakatsuji, H.; et al. Gaussian 16 Revision B.01; Gaussian Inc.: Wallingford, CT, USA, 2016. [Google Scholar]
- TURBOMOLE V7.3 2018, a Development of University of Karlsruhe and Forschungszentrum Karlsruhe GmbH, 1989–2007, TURBOMOLE GmbH, since 2007. Available online: http://www.turbomole.com (accessed on 9 July 2018).
- Becke, A.D. Density-Functional Exchange-Energy Approximation with Correct Asymptotic Behavior. Phys. Rev. A 1988, 38, 3098–3100. [Google Scholar] [CrossRef]
- Dunning, T.H. Gaussian Basis Sets for Use in Correlated Molecular Calculations. I. The Atoms Boron Through Neon and Hydrogen. J. Chem. Phys. 1989, 90, 1007–1023. [Google Scholar] [CrossRef]
- Slater, J.C. Quantum Theory of Molecules and Solids Vol. 4: The Self-Consistent Field for Molecules and Solids. Phys. Today 1974, 27, 49–50. [Google Scholar] [CrossRef]
- Vosko, S.H.; Wilk, L.; Nusair, M. Accurate Spin-Dependent Electron Liquid Correlation Energies for Local Spin Density Calculations: A Critical Analysis. Can. J. Phys. 1980, 58, 1200–1211. [Google Scholar] [CrossRef] [Green Version]
- Lee, C.; Yang, W.; Parr, R.G. Development of the Colle-Salvetti Correlation-Energy Formula into a Functional of the Electron Density. Phys. Rev. B 1988, 37, 785–789. [Google Scholar] [CrossRef] [PubMed] [Green Version]
- Tao, J.; Perdew, J.P.; Staroverov, V.N.; Scuseria, G.E. Climbing the Density Functional Ladder: Nonempirical Meta–Generalized Gradient Approximation Designed for Molecules and Solids. Phys. Rev. Lett. 2003, 91, 146401. [Google Scholar] [CrossRef] [Green Version]
- Becke, A.D. Density-Functional Thermochemistry. III. The Role of Exact Exchange. J. Chem. Phys. 1993, 98, 5648–5652. [Google Scholar] [CrossRef] [Green Version]
- Xu, X.; Goddard, W.A. The X3LYP Extended Density Functional for Accurate Descriptions of Nonbond Interactions, Spin States, and Thermochemical Properties. Proc. Natl. Acad. Sci. USA 2004, 101, 2673–2677. [Google Scholar] [CrossRef] [PubMed] [Green Version]
- Austin, A.; Petersson, G.A.; Frisch, M.J.; Dobek, F.J.; Scalmani, G.; Throssell, K. A Density Functional with Spherical Atom Dispersion Terms. J. Chem. Theory Comput. 2012, 8, 4989–5007. [Google Scholar] [CrossRef]
- Ernzerhof, M.; Scuseria, G.E. Assessment of the Perdew-Burke-Ernzerhof Exchange-Correlation Functional. J. Chem. Phys. 1999, 110, 5029–5036. [Google Scholar] [CrossRef] [Green Version]
- Zhao, Y.; Truhlar, D.G. A New Local Density Functional for Main-Group Thermochemistry, Transition Metal Bonding, Thermochemical Kinetics, and Noncovalent Interactions. J. Chem. Phys. 2006, 125, 194101. [Google Scholar] [CrossRef] [PubMed] [Green Version]
- Zhao, Y.; Truhlar, D.G. Density Functional for Spectroscopy: No Long-Range Self-Interaction Error, Good Performance for Rydberg and Charge-Transfer States, and Better Performance on Average than B3LYP for Ground States. J. Phys. Chem. A 2006, 110, 13126–13130. [Google Scholar] [CrossRef]
- Peverati, R.; Truhlar, D.G. A Global Hybrid Generalized Gradient Approximation to the Exchange-Correlation Functional that Satisfies the Second-order Density-Gradient Constraint and has Broad Applicability in Chemistry. J. Chem. Phys. 2011, 135, 191102. [Google Scholar] [CrossRef]
- Boese, A.D.; Martin, J.M.L. Development of Density Functionals for Thermochemical Kinetics. J. Chem. Phys. 2004, 121, 3405–3416. [Google Scholar] [CrossRef] [Green Version]
- Weigend, F.; Köhn, A.; Hättig, C. Efficient Use of the Correlation Consistent Basis Sets in Resolution of the Identity MP2 Calculations. J. Chem. Phys. 2002, 116, 3175–3183. [Google Scholar] [CrossRef]
- Zakrzewska, A.; Zaleśny, R.; Kolehmainen, E.; Ośmiałowski, B.; Jędrzejewska, B.; Ågren, H.; Pietrzak, M. Substituent Effects on the Photophysical Properties of Fluorescent 2-benzoylmethylenequinoline Difluoroboranes: A Combined Experimental and Quantum Chemical Study. Dyes Pigm. 2013, 99, 957–965. [Google Scholar] [CrossRef]
- Ośmiałowski, B.; Zakrzewska, A.; Jędrzejewska, B.; Grabarz, A.; Zaleśny, R.; Bartkowiak, W.; Kolehmainen, E. Influence of Substituent and Benzoannulation on Photophysical Properties of 1-Benzoylmethyleneisoquinoline Difluoroborates. J. Org. Chem. 2015, 80, 2072–2080. [Google Scholar] [CrossRef] [PubMed] [Green Version]
- Grabarz, A.M.; Laurent, A.D.; Jędrzejewska, B.; Zakrzewska, A.; Jacquemin, D.; Ośmiałowski, B. The Influence of the π-Conjugated Spacer on Photophysical Properties of Difluoroboranyls Derived from Amides Carrying a Donor Group. J. Org. Chem. 2016, 81, 2280–2292. [Google Scholar] [CrossRef]
- Grabarz, A.M.; Jędrzejewska, B.; Zakrzewska, A.; Zaleśny, R.; Laurent, A.D.; Jacquemin, D.; Ośmiałowski, B. Photophysical Properties of Phenacylphenantridine Difluoroboranyls: Effect of Substituent and Double Benzannulation. J. Org. Chem. 2017, 82, 1529–1537. [Google Scholar] [CrossRef]
- Grabarz, A.M.; Jędrzejewska, B.; Skotnicka, A.; Murugan, N.A.; Patalas, F.; Bartkowiak, W.; Jacquemin, D.; Ośmiałowski, B. The Impact of the Heteroatom in a Five-Membered Ring on the Photophysical Properties of Difluoroborates. Dyes Pigm. 2019, 170, 107481. [Google Scholar] [CrossRef]
- Douhal, A.; Amat-Guerri, F.; Acuña, A.U. Photoinduced Intramolecular Proton Transfer and Charge Redistribution in Imidazopyridines. J. Phys. Chem. 1995, 99, 76–80. [Google Scholar] [CrossRef]
- Skonieczny, K.; Ciuciu, A.I.; Nichols, E.M.; Hugues, V.; Blanchard-Desce, M.; Flamigni, L.; Gryko, D.T. Bright, Emission Tunable Fluorescent Dyes Based on Imidazole and π-expanded Imidazole. J. Mater. Chem. 2012, 22, 20649–20664. [Google Scholar] [CrossRef]
- Stasyuk, A.J.; Banasiewicz, M.; Cyrański, M.K.; Gryko, D.T. Imidazo[1,2-a]pyridines Susceptible to Excited State Intramolecular Proton Transfer: One-Pot Synthesis via an Ortoleva–King Reaction. J. Org. Chem. 2012, 77, 5552–5558. [Google Scholar] [CrossRef]
- Stasyuk, A.J.; Cywiński, P.J.; Gryko, D.T. Excited-State Intramolecular Proton Transfer in 2′-(2′-hydroxyphenyl)imidazo[1,2-a]pyridines. J. Photochem. Photobiol. C 2016, 28, 116–137. [Google Scholar] [CrossRef]
- Skonieczny, K.; Yoo, J.; Larsen, J.M.; Espinoza, E.M.; Barbasiewicz, M.; Vullev, V.I.; Lee, C.H.; Gryko, D.T. How To Reach Intense Luminescence for Compounds Capable of Excited-State Intramolecular Proton Transfer? Chem. Eur. J. 2016, 22, 7485–7496. [Google Scholar] [CrossRef]
- Aginagalde, M.; Vara, Y.; Arrieta, A.; Zangi, R.; Cebolla, V.L.; Delgado-Camón, A.; Cossío, F.P. Tandem [8 + 2] Cycloaddition-[2 + 6 + 2] Dehydrogenation Reactions Involving Imidazo[1,2-a]pyridines and Imidazo[1,2-a]pyrimidines. J. Org. Chem. 2010, 75, 2776–2784. [Google Scholar] [CrossRef] [PubMed]
- Mutai, T.; Ohkawa, T.; Shono, H.; Araki, K. The Development of Aryl-Substituted 2-phenylimidazo[1,2-a]pyridines (PIP) with Various Colors of Excited-State Intramolecular Proton Transfer (ESIPT) Luminescence in the Solid State. J. Mater. Chem. C 2016, 4, 3599–3606. [Google Scholar] [CrossRef] [Green Version]
- Tanaka, K.; Kurushima, T.; Iwata, S.; Shimada, S. Fluorescent Behavior of 2-(3,4,5,6-tetrafluoro-2-hydroxyphenyl)imidazo-[1,2-a]pyridine in the Presence of Metal Perchlorate. J. Heterocyc. Chem. 2007, 44, 303–307. [Google Scholar] [CrossRef]
- Balijapalli, U.; Iyer, S.K. CuO–CuAl2O4 and D-glucose Catalyzed Synthesis of a Family of Excited State Intramolecular Proton Transfer Imidazo[1,2-a]pyridine Analogues and their Optical Properties. Dyes Pigm. 2015, 121, 88–98. [Google Scholar] [CrossRef]
- Silva-Junior, M.R.; Sauer, S.P.; Schreiber, M.; Thiel, W. Basis Set Effects on Coupled Cluster Benchmarks of Electronically Excited States: CC3, CCSDR(3) and CC2. Mol. Phys. 2010, 108, 453–465. [Google Scholar] [CrossRef] [Green Version]
- Kozma, B.; Tajti, A.; Demoulin, B.; Izsák, R.; Nooijen, M.; Szalay, P.G. A New Benchmark Set for Excitation Energy of Charge Transfer States: Systematic Investigation of Coupled Cluster Type Methods. J. Chem. Theory Comput. 2020, 16, 4213–4225. [Google Scholar] [CrossRef] [PubMed]






| Functional | X; | BF | HPIP | Overall | |||||||||
|---|---|---|---|---|---|---|---|---|---|---|---|---|---|
| MAE | MAXAE | RMSE | MAE | MAXAE | RMSE | MAE | MAXAE | RMSE | |||||
| SVWN | 0 | 0.54 | 0.98 | 0.70 | 0.31 | 1.02 | 1.40 | 0.49 | 0.72 | 0.86 | 1.40 | 0.24 | 0.79 |
| BLYP | 0 | 0.53 | 0.94 | 0.73 | 0.28 | 1.00 | 1.37 | 0.50 | 0.70 | 0.84 | 1.37 | 0.25 | 0.77 |
| M06-L | 0 | 0.31 | 0.67 | 0.80 | 0.15 | 0.74 | 1.09 | 0.60 | 0.54 | 0.60 | 1.09 | 0.38 | 0.51 |
| TPSSh | 10 | 0.24 | 0.47 | 0.91 | 0.08 | 0.56 | 0.84 | 0.75 | 0.37 | 0.44 | 0.84 | 0.67 | 0.28 |
| B3LYP | 20 | 0.15 | 0.30 | 0.95 | 0.04 | 0.37 | 0.55 | 0.87 | 0.22 | 0.29 | 0.55 | 0.85 | 0.12 |
| X3LYP | 21.8 | 0.12 | 0.27 | 0.96 | 0.03 | 0.32 | 0.49 | 0.89 | 0.19 | 0.26 | 0.49 | 0.87 | 0.10 |
| APF-D | 23 * | 0.09 | 0.23 | 0.96 | 0.02 | 0.27 | 0.44 | 0.90 | 0.16 | 0.21 | 0.44 | 0.89 | 0.08 |
| PBE0 | 25 | 0.07 | 0.20 | 0.96 | 0.02 | 0.22 | 0.38 | 0.92 | 0.14 | 0.17 | 0.38 | 0.91 | 0.06 |
| M06 | 27 | 0.09 | 0.20 | 0.95 | 0.02 | 0.28 | 0.38 | 0.93 | 0.14 | 0.21 | 0.38 | 0.90 | 0.08 |
| SOGGA11-X | 40.15 | 0.15 | 0.29 | 0.94 | 0.04 | 0.11 | 0.19 | 0.96 | 0.07 | 0.12 | 0.29 | 0.97 | 0.02 |
| BMK | 42 | 0.13 | 0.22 | 0.96 | 0.03 | 0.11 | 0.20 | 0.96 | 0.07 | 0.12 | 0.22 | 0.98 | 0.02 |
| MN15 | 44 | 0.05 | 0.18 | 0.95 | 0.01 | 0.03 | 0.14 | 0.97 | 0.03 | 0.04 | 0.18 | 0.98 | 0.01 |
| M06-2X | 54 | 0.15 | 0.30 | 0.95 | 0.04 | 0.19 | 0.30 | 0.96 | 0.09 | 0.17 | 0.30 | 0.98 | 0.03 |
| M06-HF | 100 | 0.31 | 0.51 | 0.92 | 0.09 | 0.59 | 0.71 | 0.87 | 0.27 | 0.49 | 0.71 | 0.90 | 0.16 |
| LC-BLYP | 0–100; 0.33 | 0.40 | 0.61 | 0.91 | 0.12 | 0.54 | 0.72 | 0.90 | 0.24 | 0.49 | 0.72 | 0.93 | 0.13 |
| CAM-B3LYP | 19–65; 0.33 | 0.17 | 0.34 | 0.94 | 0.04 | 0.18 | 0.30 | 0.95 | 0.09 | 0.17 | 0.34 | 0.97 | 0.03 |
| B97X | 15.77–100; 0.30 | 0.31 | 0.53 | 0.90 | 0.10 | 0.40 | 0.57 | 0.92 | 0.18 | 0.37 | 0.57 | 0.95 | 0.08 |
| B97X-D | 22.20–100; 0.20 | 0.22 | 0.57 | 0.91 | 0.07 | 0.23 | 0.38 | 0.94 | 0.12 | 0.23 | 0.57 | 0.96 | 0.05 |
| DFA | Dipole Mom. | BF | HPIP | Overall | |||||||||
|---|---|---|---|---|---|---|---|---|---|---|---|---|---|
| MAE | MAXAE | RMSE | MAE | MAXAE | RMSE | MAE | MAXAE | RMSE | |||||
| SVWN | 0.32 | 1.65 | 0.92 | 0.14 | 0.25 | 1.34 | 0.98 | 0.04 | 0.28 | 1.34 | 0.97 | 0.11 | |
| 2.62 | 7.25 | 0.94 | 0.82 | 5.61 | 17.23 | 0.36 | 5.11 | 4.61 | 17.23 | 0.58 | 3.59 | ||
| 2.34 | 6.16 | 0.93 | 0.79 | 5.83 | 18.30 | 0.47 | 4.88 | 4.65 | 18.30 | 0.56 | 3.83 | ||
| BLYP | 0.29 | 1.38 | 0.92 | 0.11 | 0.26 | 1.46 | 0.98 | 0.05 | 0.27 | 1.46 | 0.97 | 0.06 | |
| 2.45 | 7.04 | 0.94 | 0.77 | 5.52 | 17.32 | 0.45 | 4.53 | 4.49 | 17.32 | 0.62 | 3.26 | ||
| 2.23 | 6.15 | 0.93 | 0.76 | 5.76 | 17.89 | 0.60 | 4.02 | 4.58 | 17.89 | 0.62 | 3.35 | ||
| M06-L | 0.41 | 1.92 | 0.83 | 0.26 | 0.35 | 1.56 | 0.98 | 0.06 | 0.37 | 1.92 | 0.94 | 0.12 | |
| 2.22 | 6.72 | 0.94 | 0.73 | 5.17 | 16.98 | 0.45 | 4.28 | 4.19 | 16.98 | 0.63 | 3.04 | ||
| 2.20 | 6.37 | 0.93 | 0.76 | 5.49 | 17.63 | 0.62 | 3.74 | 4.39 | 17.63 | 0.65 | 3.10 | ||
| TPSSh | 0.22 | 1.11 | 0.96 | 0.07 | 0.15 | 1.41 | 0.98 | 0.04 | 0.18 | 1.41 | 0.98 | 0.04 | |
| 1.21 | 4.70 | 0.95 | 0.39 | 3.96 | 15.04 | 0.52 | 3.25 | 3.04 | 15.04 | 0.67 | 2.28 | ||
| 1.13 | 4.40 | 0.93 | 0.43 | 4.08 | 15.48 | 0.69 | 2.69 | 3.09 | 15.48 | 0.67 | 2.29 | ||
| B3LYP | 0.23 | 0.97 | 0.97 | 0.05 | 0.10 | 1.39 | 0.98 | 0.03 | 0.15 | 1.39 | 0.98 | 0.03 | |
| 0.75 | 2.78 | 0.96 | 0.20 | 2.65 | 10.96 | 0.65 | 1.96 | 2.01 | 10.96 | 0.75 | 1.36 | ||
| 0.79 | 2.51 | 0.94 | 0.25 | 2.69 | 11.26 | 0.78 | 1.55 | 2.04 | 11.29 | 0.75 | 1.38 | ||
| X3LYP | 0.24 | 0.95 | 0.98 | 0.04 | 0.10 | 1.38 | 0.98 | 0.03 | 0.15 | 1.38 | 0.98 | 0.03 | |
| 0.72 | 2.37 | 0.96 | 0.19 | 2.42 | 10.08 | 0.68 | 1.72 | 1.84 | 10.08 | 0.77 | 1.20 | ||
| 0.78 | 2.31 | 0.94 | 0.25 | 2.44 | 10.39 | 0.80 | 1.35 | 1.88 | 10.39 | 0.77 | 1.22 | ||
| APF-D | 0.23 | 0.94 | 0.97 | 0.05 | 0.10 | 1.37 | 0.98 | 0.03 | 0.14 | 1.37 | 0.98 | 0.03 | |
| 0.68 | 2.15 | 0.97 | 0.16 | 2.21 | 9.64 | 0.69 | 1.55 | 1.69 | 9.64 | 0.79 | 1.06 | ||
| 0.77 | 2.44 | 0.95 | 0.23 | 2.23 | 9.96 | 0.82 | 1.21 | 1.73 | 9.96 | 0.78 | 1.10 | ||
| PBE0 | 0.23 | 0.91 | 0.97 | 0.05 | 0.10 | 1.36 | 0.98 | 0.03 | 0.15 | 1.36 | 0.98 | 0.03 | |
| 0.69 | 1.85 | 0.97 | 0.16 | 1.93 | 8.63 | 0.73 | 1.30 | 1.51 | 8.63 | 0.82 | 0.89 | ||
| 0.80 | 2.75 | 0.95 | 0.23 | 1.94 | 8.93 | 0.84 | 1.00 | 1.55 | 8.93 | 0.80 | 0.93 | ||
| M06 | 0.23 | 0.91 | 0.97 | 0.05 | 0.13 | 1.47 | 0.98 | 0.04 | 0.17 | 1.47 | 0.98 | 0.04 | |
| 0.97 | 3.00 | 0.96 | 0.24 | 1.60 | 6.39 | 0.76 | 1.00 | 1.38 | 6.39 | 0.83 | 0.75 | ||
| 1.08 | 3.91 | 0.92 | 0.40 | 1.65 | 6.76 | 0.86 | 0.78 | 1.45 | 6.76 | 0.80 | 0.85 | ||
| SOGGA11-X | 0.28 | 0.73 | 0.98 | 0.05 | 0.14 | 1.36 | 0.97 | 0.04 | 0.19 | 1.36 | 0.98 | 0.04 | |
| 1.18 | 4.08 | 0.97 | 0.27 | 0.54 | 2.19 | 0.90 | 0.26 | 0.77 | 4.08 | 0.93 | 0.28 | ||
| 1.26 | 4.81 | 0.95 | 0.39 | 0.51 | 2.41 | 0.94 | 0.38 | 0.77 | 4.81 | 0.91 | 0.36 | ||
| BMK | 0.31 | 0.68 | 0.99 | 0.03 | 0.20 | 1.29 | 0.97 | 0.04 | 0.24 | 1.29 | 0.98 | 0.04 | |
| 1.00 | 3.45 | 0.98 | 0.18 | 0.52 | 2.30 | 0.90 | 0.24 | 0.69 | 3.45 | 0.95 | 0.23 | ||
| 1.04 | 4.13 | 0.98 | 0.21 | 0.48 | 2.34 | 0.95 | 0.16 | 0.68 | 4.13 | 0.93 | 0.27 | ||
| MN15 | 0.17 | 0.43 | 0.99 | 0.02 | 0.15 | 1.42 | 0.97 | 0.04 | 0.16 | 1.42 | 0.98 | 0.03 | |
| 1.18 | 4.19 | 0.98 | 0.22 | 0.52 | 2.38 | 0.91 | 0.23 | 0.76 | 4.19 | 0.94 | 0.26 | ||
| 1.21 | 4.62 | 0.97 | 0.29 | 0.51 | 2.18 | 0.95 | 0.15 | 0.76 | 4.62 | 0.93 | 0.30 | ||
| M06-2X | 0.19 | 0.36 | 0.99 | 0.02 | 0.18 | 1.34 | 0.97 | 0.05 | 0.18 | 1.34 | 0.98 | 0.03 | |
| 1.19 | 4.24 | 0.98 | 0.23 | 0.71 | 3.13 | 0.90 | 0.30 | 0.89 | 4.24 | 0.95 | 0.27 | ||
| 1.19 | 4.52 | 0.99 | 0.17 | 0.74 | 2.93 | 0.96 | 0.19 | 0.91 | 4.52 | 0.96 | 0.26 | ||
| M06-HF | 0.43 | 1.02 | 0.95 | 0.11 | 0.59 | 1.21 | 0.95 | 0.14 | 0.53 | 1.21 | 0.96 | 0.12 | |
| 1.70 | 6.16 | 0.92 | 0.66 | 1.91 | 8.74 | 0.06 | 2.37 | 1.86 | 8.74 | 0.66 | 1.42 | ||
| 1.50 | 5.98 | 0.97 | 0.40 | 2.07 | 9.43 | 0.53 | 1.81 | 1.90 | 9.43 | 0.74 | 1.31 | ||
| LC-BLYP | 0.31 | 0.61 | 0.98 | 0.05 | 0.46 | 1.13 | 0.96 | 0.10 | 0.41 | 1.13 | 0.97 | 0.08 | |
| 1.87 | 6.51 | 0.92 | 0.72 | 1.95 | 7.56 | 0.08 | 2.35 | 1.96 | 7.56 | 0.65 | 1.49 | ||
| 1.76 | 6.47 | 0.98 | 0.36 | 2.08 | 8.12 | 0.56 | 1.73 | 2.00 | 8.12 | 0.74 | 1.34 | ||
| CAM-B3LYP | 0.22 | 0.39 | 0.99 | 0.02 | 0.23 | 1.29 | 0.97 | 0.05 | 0.22 | 1.29 | 0.98 | 0.04 | |
| 1.47 | 5.15 | 0.97 | 0.34 | 0.95 | 3.62 | 0.83 | 0.49 | 1.15 | 5.15 | 0.92 | 0.43 | ||
| 1.47 | 5.49 | 0.98 | 0.29 | 1.00 | 3.88 | 0.94 | 0.30 | 1.18 | 5.49 | 0.94 | 0.39 | ||
| B97X | 0.15 | 0.36 | 0.99 | 0.02 | 0.26 | 1.29 | 0.97 | 0.06 | 0.22 | 1.29 | 0.98 | 0.04 | |
| 1.77 | 6.51 | 0.94 | 0.61 | 1.74 | 6.57 | 0.32 | 1.78 | 1.78 | 6.57 | 0.75 | 1.15 | ||
| 1.74 | 6.47 | 0.98 | 0.35 | 1.80 | 6.88 | 0.73 | 1.16 | 1.81 | 6.88 | 0.83 | 0.99 | ||
| B97X-D | 0.16 | 0.33 | 0.99 | 0.02 | 0.20 | 1.31 | 0.97 | 0.05 | 0.18 | 1.31 | 0.98 | 0.03 | |
| 1.62 | 6.04 | 0.96 | 0.45 | 1.33 | 5.21 | 0.64 | 1.00 | 1.46 | 6.04 | 0.86 | 0.72 | ||
| 1.63 | 6.25 | 0.98 | 0.33 | 1.36 | 5.41 | 0.88 | 0.59 | 1.48 | 6.25 | 0.91 | 0.60 | ||
Publisher’s Note: MDPI stays neutral with regard to jurisdictional claims in published maps and institutional affiliations. |
© 2021 by the authors. Licensee MDPI, Basel, Switzerland. This article is an open access article distributed under the terms and conditions of the Creative Commons Attribution (CC BY) license (https://creativecommons.org/licenses/by/4.0/).
Share and Cite
Grabarz, A.M.; Ośmiałowski, B. Benchmarking Density Functional Approximations for Excited-State Properties of Fluorescent Dyes. Molecules 2021, 26, 7434. https://doi.org/10.3390/molecules26247434
Grabarz AM, Ośmiałowski B. Benchmarking Density Functional Approximations for Excited-State Properties of Fluorescent Dyes. Molecules. 2021; 26(24):7434. https://doi.org/10.3390/molecules26247434
Chicago/Turabian StyleGrabarz, Anna M., and Borys Ośmiałowski. 2021. "Benchmarking Density Functional Approximations for Excited-State Properties of Fluorescent Dyes" Molecules 26, no. 24: 7434. https://doi.org/10.3390/molecules26247434
APA StyleGrabarz, A. M., & Ośmiałowski, B. (2021). Benchmarking Density Functional Approximations for Excited-State Properties of Fluorescent Dyes. Molecules, 26(24), 7434. https://doi.org/10.3390/molecules26247434

