From Critical Point to Critical Point: The Two-States Model Describes Liquid Water Self-Diffusion from 623 to 126 K
Abstract
1. Introduction
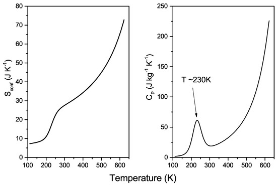
2. Results and Discussion
3. Conclusions
Author Contributions
Funding
Institutional Review Board Statement
Informed Consent Statement
Data Availability Statement
Conflicts of Interest
Abbreviations
| HB | Hydrogen Bond |
| LDL | Low-Density Liquid |
| HDL | High-Density Liquid |
| LLCP | Liquid–Liquid Critical Point |
| LLT | Liquid–Liquid Transition |
| MCT | Mode-Coupling Theory |
| AG | Adam–Gibbs |
| CRR | Cooperatively Rearranging Regions |
References
- Eisenberg, D.; Kauzmann, W. The Structure and Properties of Water; Oxford University Press: Oxford, UK, 2007; pp. 1–320. ISBN 9780198570264. [Google Scholar]
- Tanaka, H. Simple physical model of liquid water. J. Chem. Phys. 2000, 112, 799–809. [Google Scholar] [CrossRef]
- Pettersson, L.G.M. A Two-State Picture of Water and the Funnel of Life. In Modern Problems of the Physics of Liquid Systems; Bulavin, L.A., Xu, L., Eds.; Springer International Publishing: Cham, Switzerland, 2019; pp. 3–39. [Google Scholar]
- Brini, E.; Fennell, C.J.; Fernandez-Serra, M.; Hribar-Lee, B.; Lukšič, M.; Dill, K.A. How Water’s Properties Are Encoded in Its Molecular Structure and Energies. Chem. Rev. 2017, 117, 12385–12414. [Google Scholar] [CrossRef]
- Morawietz, T.; Singraber, A.; Dellago, C.; Behler, J. How van der Waals interactions determine the unique properties of water. Proc. Natl. Acad. Sci. USA 2016, 113, 8368–8373. [Google Scholar] [CrossRef] [PubMed]
- Mallamace, F.; Broccio, M.; Corsaro, C.; Faraone, A.; Majolino, D.; Venuti, V.; Liu, L.; Mou, C.Y.; Chen, S.H. Evidence of the existence of the low-density liquid phase in supercooled, confined water. Proc. Natl. Acad. Sci. USA 2007, 104, 424–428. [Google Scholar] [CrossRef]
- Sivakumar, T.C.; Rice, S.A.; Sceats, M.G. Raman spectroscopic studies of the OH stretching region of low density amorphous solid water and of polycrystalline ice Ih. J. Chem. Phys. 1978, 69, 3468–3476. [Google Scholar] [CrossRef]
- Chaplin, M. Water Structure and Science. Available online: https://web.archive.org/web/20201210040133/http://www1.lsbu.ac.uk/water/ (accessed on 15 July 2021).
- Debenedetti, P.G. Supercooled and glassy water. J. Phys. Condens. Matter 2003, 15, R1669–R1726. [Google Scholar] [CrossRef]
- Mallamace, F.; Corsaro, C.; Stanley, H.E. A singular thermodynamically consistent temperature at the origin of the anomalous behavior of liquid water. Sci. Rep. 2012, 2, 993. [Google Scholar] [CrossRef] [PubMed]
- Maestro, L.M.; Marqués, M.; Camarillo, E.; Jaque, D.; Sole, J.G.; Gonzalo, J.; Jaque, F.; del Valle, J.; Mallamace, F.; Stanley, H. On the existence of two states in liquid water: Impact on biological and nanoscopic systems. Int. J. Nanotechnol. (IJNT) 2016, 13, 667–677. [Google Scholar] [CrossRef]
- Fijan, D.; Wilson, M. The interactions between thermodynamic anomalies. J. Chem. Phys. 2019, 151, 024502. [Google Scholar] [CrossRef]
- Mallamace, D.; Fazio, E.; Mallamace, F.; Corsaro, C. The Role of Hydrogen Bonding in the Folding/Unfolding Process of Hydrated Lysozyme: A Review of Recent NMR and FTIR Results. Int. J. Mol. Sci. 2018, 19, 3825. [Google Scholar] [CrossRef]
- Mallamace, F.; Corsaro, C.; Mallamace, D.; Fazio, E.; Chen, S.H. Some considerations on the water polymorphism and the liquid-liquid transition by the density behavior in the liquid phase. J. Chem. Phys. 2019, 151, 044504. [Google Scholar] [CrossRef]
- Debenedetti, P.G.; Sciortino, F.; Zerze, G.H. Second critical point in two realistic models of water. Science 2020, 369, 289–292. [Google Scholar] [CrossRef]
- Kim, K.H.; Späh, A.; Pathak, H.; Perakis, F.; Mariedahl, D.; Amann-Winkel, K.; Sellberg, J.A.; Lee, J.H.; Kim, S.; Park, J.; et al. Maxima in the thermodynamic response and correlation functions of deeply supercooled water. Science 2017, 358, 1589–1593. [Google Scholar] [CrossRef] [PubMed]
- Mallamace, D.; Corsaro, C.; Mallamace, F.; Stanley, H. Experimental tests for a liquid-liquid critical point in water. Sci. China Phys. Mech. Astron. 2020, 63, 127001. [Google Scholar] [CrossRef]
- Soper, A.K. Is water one liquid or two? J. Chem. Phys. 2019, 150, 234503. [Google Scholar] [CrossRef] [PubMed]
- Martelli, F. Unravelling the contribution of local structures to the anomalies of water: The synergistic action of several factors. J. Chem. Phys. 2019, 150, 094506. [Google Scholar] [CrossRef] [PubMed]
- Mandumpal, J. A Journey Through Water, A Scientific Exploration of the Most Anomalous Liquid on Earth; Bentham Science Publishers: Sharjah, United Arab Emirates, 2017. [Google Scholar]
- Pettersson, L.G.M.; Henchman, R.H.; Nilsson, A. Water—The Most Anomalous Liquid. Chem. Rev. 2016, 116, 7459–7462. [Google Scholar] [CrossRef] [PubMed]
- Palmer, J.C.; Martelli, F.; Liu, Y.; Car, R.; Panagiatopulos, A.Z.; Debenedetti, P.G. Metastable liquid-liquid transition in a molecular model of water. Nature 2014, 510, 385–388. [Google Scholar] [CrossRef]
- Jabes, B.S.; Nayar, D.; Dhabal, D.; Molinero, V.; Chakravarty, C. Water and other tetrahedral liquids: Order, anomalies and solvation. J. Phys. Condens. Matter 2012, 24, 284116. [Google Scholar] [CrossRef] [PubMed]
- Errington, J.R.; Debenedetti, P.G. Relationship between structural order and the anomalies of liquid water. Nature 2001, 409, 318–321. [Google Scholar] [CrossRef]
- Bagchi, B. Water in Biological and Chemical Processes: From Structure and Dynamics to Function; Cambridge Molecular Science; Cambridge University Press: Cambridge, UK, 2013. [Google Scholar] [CrossRef]
- Ni, Y.; Skinner, J.L. Evidence for a liquid-liquid critical point in supercooled water within the E3B3 model and a possible interpretation of the kink in the homogeneous nucleation line. J. Chem. Phys. 2016, 144, 214501. [Google Scholar] [CrossRef] [PubMed]
- Martelli, F.; Leoni, F.; Sciortino, F.; Russo, J. Connection between liquid and non-crystalline solid phases in water. J. Chem. Phys. 2020, 153, 104503. [Google Scholar] [CrossRef] [PubMed]
- Maxim, F.; Contescu, C.; Boillat, P.; Niceno, B.; Karalis, K.; Testino, A.; Ludwig, C. Visualization of supercritical water pseudo -boiling at Widom line crossover. Nat. Commun. 2019, 10, 4114. [Google Scholar] [CrossRef]
- Molino, A.; Larocca, V.; Chianese, S.; Musmarra, D. Biofuels Production by Biomass Gasification: A Review. Energies 2018, 11, 811. [Google Scholar] [CrossRef]
- González, D.; Amigo, J.; Suárez, F. Membrane distillation: Perspectives for sustainable and improved desalination. Renew. Sustain. Energy Rev. 2017, 80, 238–259. [Google Scholar] [CrossRef]
- Bagnoud-Velásquez, M.; Schmid-Staiger, U.; Peng, G.; Vogel, F.; Ludwig, C. First developments towards closing the nutrient cycle in a biofuel production process. Algal Res. 2015, 8, 76–82. [Google Scholar] [CrossRef]
- Yoshida, K.; Matubayasi, N.; Nakahara, M. Self-diffusion coefficients for water and organic solvents at high temperatures along the coexistence curve. J. Chem. Phys. 2008, 129, 214501. [Google Scholar] [CrossRef]
- Chang, I.; Fujara, F.; Geil, B.; Heuberger, G.; Mangel, T.; Sillescu, H. Translational and rotational molecular motion in supercooled liquids studied by NMR and forced Rayleigh scattering. J. Non-Cryst. Solids 1994, 172–174, 248–255. [Google Scholar] [CrossRef]
- Kawasaki, T.; Kim, K. Identifying time scales for violation/preservation of Stokes-Einstein relation in supercooled water. Sci. Adv. 2017, 3, e1700399. [Google Scholar] [CrossRef]
- Velikov, V.; Borick, S.; Angell, C.A. The Glass Transition of Water, Based on Hyperquenching Experiments. Science 2001, 294, 2335–2338. [Google Scholar] [CrossRef]
- Martelli, F. Topology and complexity of the hydrogen bond network in classical models of water. J. Mol. Liq. 2021, 329, 115530. [Google Scholar] [CrossRef]
- Formanek, M.; Martelli, F. Probing the network topology in network-forming materials: The case of water. AIP Adv. 2020, 10, 055205. [Google Scholar] [CrossRef]
- Xu, L.; Kumar, P.; Buldyrev, S.V.; Chen, S.H.; Poole, P.H.; Sciortino, F.; Stanley, H.E. Relation between the Widom line and the dynamic crossover in systems with a liquid–liquid phase transition. Proc. Natl. Acad. Sci. USA 2005, 102, 16558–16562. [Google Scholar] [CrossRef] [PubMed]
- Abascal, J.L.F.; Vega, C. Widom line and the liquid–liquid critical point for the TIP4P/2005 water model. J. Chem. Phys. 2010, 133, 234502. [Google Scholar] [CrossRef] [PubMed]
- Fomin, Y.; Ryzhov, V.; Tsiok, E.; Brazhkin, V. Dynamical Crossover in Supercritical Water. Sci. Rep. 2015, 5, 14234. [Google Scholar] [CrossRef]
- Mallamace, F.; Branca, C.; Corsaro, C.; Leone, N.; Spooren, J.; Stanley, H.E.; Chen, S.H. Dynamical Crossover and Breakdown of the Stokes-Einstein Relation in Confined Water and in Methanol-Diluted Bulk Water. J. Phys. Chem. B 2010, 114, 1870–1878. [Google Scholar] [CrossRef] [PubMed]
- Chen, S.H.; Liu, L.; Chu, X.; Zhang, Y.; Fratini, E.; Baglioni, P.; Faraone, A.; Mamontov, E. Experimental evidence of fragile-to-strong dynamic crossover in DNA hydration water. J. Chem. Phys. 2006, 125, 171103. [Google Scholar] [CrossRef]
- Kumar, P.; Yan, Z.; Xu, L.; Mazza, M.G.; Buldyrev, S.V.; Chen, S.H.; Sastry, S.; Stanley, H.E. Glass Transition in Biomolecules and the Liquid-Liquid Critical Point of Water. Phys. Rev. Lett. 2006, 97, 177802. [Google Scholar] [CrossRef] [PubMed]
- Mallamace, F.; Corsaro, C.; Mallamace, D.; Vasi, C.; Vasi, S.; Stanley, H.E. Dynamical properties of water-methanol solutions. J. Chem. Phys. 2016, 144, 064506. [Google Scholar] [CrossRef]
- Suzuki, Y.; Mishima, O. Experimentally proven liquid-liquid critical point of dilute glycerol-water solution at 150 K. J. Chem. Phys. 2014, 141, 094505. [Google Scholar] [CrossRef]
- Ginzburg, V.V. A simple mean-field model of glassy dynamics and glass transition. Soft Matter 2020, 16, 810–825. [Google Scholar] [CrossRef] [PubMed]
- Gotze, W.; Sjogren, L. Relaxation processes in supercooled liquids. Rep. Prog. Phys. 1992, 55, 241–376. [Google Scholar] [CrossRef]
- Janssen, L.M.C. Mode-Coupling Theory of the Glass Transition: A Primer. Front. Phys. 2018, 6, 97. [Google Scholar] [CrossRef]
- Adam, G.; Gibbs, J.H. On the Temperature Dependence of Cooperative Relaxation Properties in Glass-Forming Liquids. J. Chem. Phys. 1965, 43, 139–146. [Google Scholar] [CrossRef]
- Debenedetti, P.; Stillinger, F. Supercooled liquids and the glass transition. Nature 2001, 410, 259–267. [Google Scholar] [CrossRef]
- Yip, S. Understanding the viscosity of supercooled liquids and the glass transition through molecular simulations. Mol. Simul. 2016, 42, 1330–1342. [Google Scholar] [CrossRef]
- Starr, F.W.; Angell, C.; Stanley, H. Prediction of entropy and dynamic properties of water below the homogeneous nucleation temperature. Phys. A Stat. Mech. Its Appl. 2003, 323, 51–66. [Google Scholar] [CrossRef]
- Mallamace, F.; Corsaro, C.; Mallamace, D.; Fazio, E.; Chen, S.H.; Cupane, A. Specific Heat and Transport Functions of Water. Int. J. Mol. Sci. 2020, 21, 622. [Google Scholar] [CrossRef]
- Handle, P.H.; Sciortino, F. The Adam–Gibbs relation and the TIP4P/2005 model of water. Mol. Phys. 2018, 116, 3366–3371. [Google Scholar] [CrossRef]
- Chen, S.H.; Mallamace, F.; Mou, C.Y.; Broccio, M.; Corsaro, C.; Faraone, A.; Liu, L. The violation of the Stokes–Einstein relation in supercooled water. Proc. Natl. Acad. Sci. USA 2006, 103, 12974–12978. [Google Scholar] [CrossRef]
- Shi, R.; Russo, J.; Tanaka, H. Common microscopic structural origin for water’s thermodynamic and dynamic anomalies. J. Chem. Phys. 2018, 149, 224502. [Google Scholar] [CrossRef]
- Simpson, J.H.; Carr, H.Y. Diffusion and Nuclear Spin Relaxation in Water. Phys. Rev. 1958, 111, 1201–1202. [Google Scholar] [CrossRef]
- Price, W.S.; Ide, H.; Arata, Y. Self-Diffusion of Supercooled Water to 238 K Using PGSE NMR Diffusion Measurements. J. Phys. Chem. A 1999, 103, 448–450. [Google Scholar] [CrossRef]
- Xu, Y.; Petrik, N.G.; Smith, R.S.; Kay, B.D.; Kimmel, G.A. Growth rate of crystalline ice and the diffusivity of supercooled water from 126 to 262 K. Proc. Natl. Acad. Sci. USA 2016, 113, 14921–14925. [Google Scholar] [CrossRef] [PubMed]
- Catalán, J.; Gonzalo, J.A. Liquid water changes its structure at 43 C. Chem. Phys. Lett. 2017, 679, 86–89. [Google Scholar] [CrossRef]
- Piskulich, Z.A.; Thompson, W.H. The dynamics of supercooled water can be predicted from room temperature simulations. J. Chem. Phys. 2020, 152, 074505. [Google Scholar] [CrossRef]
- Ojha, D.; Karhan, K.; Kühne, T. On the Hydrogen Bond Strength and Vibrational Spectroscopy of Liquid Water. Sci. Rep. 2018, 8, 16888. [Google Scholar] [CrossRef]
- Huš, M.; Urbic, T. Strength of hydrogen bonds of water depends on local environment. J. Chem. Phys. 2012, 136, 144305. [Google Scholar] [CrossRef]
- Sasikala, W.D.; Mukherjee, A. Single Water Entropy: Hydrophobic Crossover and Application to Drug Binding. J. Phys. Chem. B 2014, 118, 10553–10564. [Google Scholar] [CrossRef] [PubMed]
- Martinez-Felipe, A.; Brebner, F.; Zaton, D.; Concellon, A.; Ahmadi, S.; Piñol, M.; Oriol, L. Molecular Recognition via Hydrogen Bonding in Supramolecular Complexes: A Fourier Transform Infrared Spectroscopy Study. Molecules 2018, 23, 2278. [Google Scholar] [CrossRef]
- Saito, S.; Bagchi, B. Thermodynamic picture of vitrification of water through complex specific heat and entropy: A journey through “no man’s land”. J. Chem. Phys. 2019, 150, 054502. [Google Scholar] [CrossRef] [PubMed]
- Karalis, K.; Ludwig, C.; Niceno, B. Supercritical water anomalies in the vicinity of the Widom line. Sci. Rep. 2019, 9, 15731. [Google Scholar] [CrossRef] [PubMed]
- Jedlovszky, P.; Brodholt, J.P.; Bruni, F.; Ricci, M.A.; Soper, A.K.; Vallauri, R. Analysis of the hydrogen-bonded structure of water from ambient to supercritical conditions. J. Chem. Phys. 1998, 108, 8528–8540. [Google Scholar] [CrossRef]
- Manzano, H.; Zhang, W.; Raju, M.; Dolado, J.S.; López-Arbeloa, I.; van Duin, A.C.T. Benchmark of ReaxFF force field for subcritical and supercritical water. J. Chem. Phys. 2018, 148, 234503. [Google Scholar] [CrossRef]
- Huelsman, C.M.; Savage, P.E. Reaction pathways and kinetic modeling for phenol gasification in supercritical water. J. Supercrit. Fluids 2013, 81, 200–209. [Google Scholar] [CrossRef]
- Eckert, C.; Knutson, B.L.; Debenedetti, P. Supercritical Fluids as Solvents for Chemical and Materials Processing. Nature 1996, 383, 313–318. [Google Scholar] [CrossRef]
- Savage, P.E. A perspective on catalysis in sub- and supercritical water. J. Supercrit. Fluids 2009, 47, 407–414. [Google Scholar] [CrossRef]
- Heberle, J.; Edwards, C. Coal energy conversion with carbon sequestration via combustion in supercritical saline aquifer water. Int. J. Greenh. Gas Control 2009, 3, 568–576. [Google Scholar] [CrossRef]
- Hovland, M.; Rueslatten, H.; Johnsen, H. Buried Hydrothermal Systems: The Potential Role of Supercritical Water, “ScriW”, in Various Geological Processes and Occurrences in the Sub-Surface. Am. J. Anal. Chem. 2014, 5, 128–139. [Google Scholar] [CrossRef]
- Valujerdi, M.; Talebi, S. Entropy generation study for a supercritical water reactor (SCWR). Prog. Nucl. Energy 2020, 118, 103129. [Google Scholar] [CrossRef]
- Pioro, I. Supercritical-Fluids Thermophysical Properties and Heat Transfer in Power-Engineering Applications; IntechOpen: London, UK, 2020. [Google Scholar] [CrossRef][Green Version]
- Holten, V.; Anisimov, M.A. Entropy-driven liquid–liquid separation in supercooled water. Sci. Rep. 2012, 2, 713. [Google Scholar] [CrossRef] [PubMed]
- Yang, J.; Dettori, R.; Nunes, J.P.F.; List, N.H.; Biasin, E.; Centurion, M.; Chen, Z.; Cordones, A.A.; Deponte, D.P.; Heinz, T.F.; et al. Direct observation of ultrafast hydrogen bond strengthening in liquid water. Nature 2021, 596, 531–535. [Google Scholar] [CrossRef] [PubMed]


| D m s | D m s | E (kcal mol) | E (kcal mol) | ||||
|---|---|---|---|---|---|---|---|
| Value | Stnd Err | Value | Stnd Err | Value | Stnd Err | Value | Stnd Err |
| 9.50 | 0.71 | 9.48 | 0.89 | 3.56 | 0.05 | 10.64 | 0.19 |
| T | Statistics | ||||||
| Value | Error | Value | Error | Red Chi-Sqr | Adj. R-Sqr | ||
| 212.8 | 1.0 | 71.3 | 1.9 | 0.016 | 0.999 | ||
Publisher’s Note: MDPI stays neutral with regard to jurisdictional claims in published maps and institutional affiliations. |
© 2021 by the authors. Licensee MDPI, Basel, Switzerland. This article is an open access article distributed under the terms and conditions of the Creative Commons Attribution (CC BY) license (https://creativecommons.org/licenses/by/4.0/).
Share and Cite
Corsaro, C.; Fazio, E. From Critical Point to Critical Point: The Two-States Model Describes Liquid Water Self-Diffusion from 623 to 126 K. Molecules 2021, 26, 5899. https://doi.org/10.3390/molecules26195899
Corsaro C, Fazio E. From Critical Point to Critical Point: The Two-States Model Describes Liquid Water Self-Diffusion from 623 to 126 K. Molecules. 2021; 26(19):5899. https://doi.org/10.3390/molecules26195899
Chicago/Turabian StyleCorsaro, Carmelo, and Enza Fazio. 2021. "From Critical Point to Critical Point: The Two-States Model Describes Liquid Water Self-Diffusion from 623 to 126 K" Molecules 26, no. 19: 5899. https://doi.org/10.3390/molecules26195899
APA StyleCorsaro, C., & Fazio, E. (2021). From Critical Point to Critical Point: The Two-States Model Describes Liquid Water Self-Diffusion from 623 to 126 K. Molecules, 26(19), 5899. https://doi.org/10.3390/molecules26195899
