Strategies for Preparation of Chiral Stationary Phases: Progress on Coating and Immobilization Methods
Abstract
1. Introduction
2. Coating Method
3. Immobilization Method
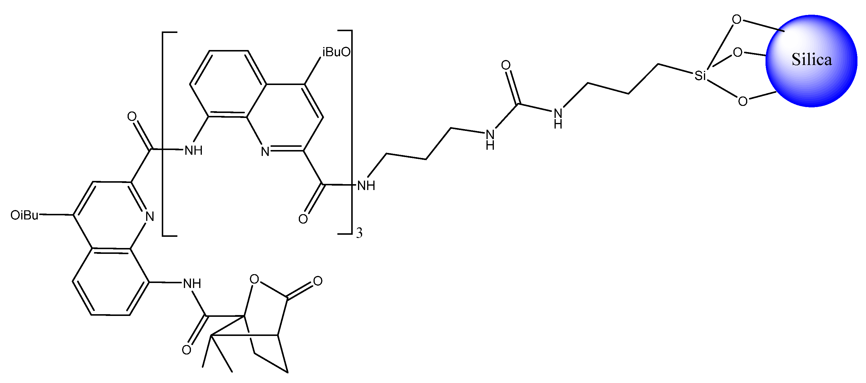
3.1. Immobilization Based on Isocyanate Derivatives
3.2. Immobilization Using Coupling Agents
3.3. Immobilization by Radical Polymerization of Vinyl Groups
3.4. Immobilization by Intermolecular Polycondensation
3.5. Covalent Linkage by Click Chemistry
3.6. Photochemical Method
3.7. Thermal Method
4. Summary of the Characterization Methods of CSPs
5. Conclusions
Author Contributions
Funding
Institutional Review Board Statement
Informed Consent Statement
Data Availability Statement
Acknowledgments
Conflicts of Interest
References
- Pinto, M.M.; Fernandes, C.; Tiritan, M.E. Chiral Separations in Preparative Scale: A Medicinal Chemistry Point of View. Molecules 2020, 25, 1931. [Google Scholar] [CrossRef]
- Silva, B.; Fernandes, C.; Tiritan, M.E.; Pinto, M.M.M.; Valente, M.J.; Carvalho, M.; de Pinho, P.G.; Remião, F. Chiral enantioresolution of cathinone derivatives present in “legal highs”, and enantioselectivity evaluation on cytotoxicity of 3,4-methylenedioxypyrovalerone (MDPV). Forensic Toxicol. 2016, 134, 372–385. [Google Scholar] [CrossRef] [PubMed]
- Fernandes, C.; Brandão, P.; Santos, A.; Tiritan, M.E.; Afonso, C.; Cass, Q.B.; Pinto, M.M. Resolution and determination of enantiomeric purity of new chiral derivatives of xanthones using polysaccharide-based stationary phases. J. Chromatogr. A 2012, 1269, 143–153. [Google Scholar] [CrossRef] [PubMed]
- Leek, H.; Andersson, S. Preparative scale resolution of enantiomers enables accelerated drug discovery and development. Molecules 2017, 22, 158. [Google Scholar] [CrossRef] [PubMed]
- Silva, B.; Pereira, J.A.; Cravo, S.; Araújo, A.M.; Fernandes, C.; Pinto, M.M.M.; Pinho, P.G.; Pemião, F.; Chromatogr, B.J. Multi-milligram resolution and determination of absolute configuration of pentedrone and methylone enantiomers. J. Chromatogr. B 2018, 110, 158–164. [Google Scholar] [CrossRef] [PubMed]
- Carraro, M.L.; Palmeira, A.; Tiritan, M.E.; Fernandes, C.; Pinto, M.M.M. Resolution, determination of enantiomeric purity and chiral recognition mechanism of new xanthone derivatives on (S,S)-Whelk-O1 stationary phase. Chirality 2017, 29, 247–256. [Google Scholar] [CrossRef]
- Phyo, Y.Z.; Cravo, S.; Palmeira, A.; Tiritan, M.E.; Kijjoa, A.; Pinto, M.M.M.; Fernandes, C. Enantiomeric resolution and docking studies of chiral xanthonic derivatives on chirobiotic columns. Molecules 2018, 23, 142. [Google Scholar] [CrossRef]
- Rocco, A.; Aturki, Z.; Fanali, S. Chiral separations in food analysis. TrAC Trends Anal. Chem. 2013, 52, 206–225. [Google Scholar] [CrossRef]
- Alvarez-Rivera, G.; Bueno, M.; Ballesteros-Vivas, D.; Cifuentes, A. Chiral analysis in food science. TrAC Trends Anal. Chem. 2020, 123, 115761. [Google Scholar] [CrossRef]
- Phyo, Y.; Ribeiro, J.; Fernandes, C.; Kijjoa, A.; Pinto, M.M.M. Marine natural peptides: Determination of absolute configuration using liquid chromatography methods and evaluation of bioactivities. Molecules 2018, 23, 306. [Google Scholar] [CrossRef] [PubMed]
- Zin, W.W.M.; Buttachon, S.; Dethoup, T.; Fernandes, C.; Cravo, S.; Pinto, M.M.M.; Gales, L.; Pereira, J.A.; Silva, A.M.S.; Sekeroglu, N.; et al. New cyclotetrapeptides and a new diketopiperzine derivative from the marine sponge-associated fungus Neosartorya glabra KUFA 0702. Mar. Drugs 2016, 14, 136. [Google Scholar] [CrossRef]
- Coelho, M.M.; Fernandes, C.; Remião, F.; Tiritan, M.E. Enantioselectivity in drug pharmacokinetics and toxicity: Pharmacological relevance and analytical methods. Molecules 2021, 26, 3133. [Google Scholar] [CrossRef] [PubMed]
- Barreiro, J.C.; Tiritan, M.E.; Cass, Q.B. Challenges and innovations in chiral drugs in an environmental and bioanalysis perspective. TrAC Trends Anal. Chem. 2021, 142, 116326. [Google Scholar] [CrossRef]
- Ribeiro, A.R.L.; Maia, A.S.; Ribeiro, C.; Tiritan, M.E. Analysis of chiral drugs in environmental matrices: Current knowledge and trends in environmental, biodegradation and forensic fields. TrAC Trends Anal. Chem. 2020, 124, 115783. [Google Scholar] [CrossRef]
- Teixeira, J.; Tiritan, M.E.; Pinto, M.M.; Fernandes, C. Chiral Stationary Phases for Liquid Chromatography: Recent Developments. Molecules 2019, 24, 865. [Google Scholar] [CrossRef]
- Ribeiro, J.; Tiritan, M.E.; Pinto, M.M.M.; Fernandes, C. Chiral stationary phases for liquid chromatography based on chitin- and chitosan-derived marine polysaccharides. Symmetry 2017, 9, 190. [Google Scholar] [CrossRef]
- Fernandes, C.; Phyo, Y.Z.; Silva, A.S.; Tiritan, M.E.; Kijjoa, A.; Pinto, M.M.M. Chiral Stationary Phases Based on Small Molecules: An Update of the Last 17 Years. Sep. Purif. Rev. 2018, 47, 89–123. [Google Scholar] [CrossRef]
- Davankov, V.A.; Kurganov, A.A. High-performance liquid chromatography ofα-amino acids on a polystyrene resin with fixed ligands of the type (R)-N′,N′-dibenzyl-1,2-propanediamine. Chromatographia 1980, 13, 339–341. [Google Scholar] [CrossRef]
- Matlin, S.A.; Tiritan, M.E.; Cass, Q.B.; Boyd, D.R. Enantiomeric resolution of chiral sulfoxides on polysaccharide phases by HPLC. Chirality 1996, 8, 147–152. [Google Scholar] [CrossRef]
- Chankvetadze, B. Recent trends in preparation, investigation and application of polysaccharide-based chiral stationary phases for separation of enantiomers in high-performance liquid chromatography. TrAC Trends Anal. Chem. 2020, 122, 115709. [Google Scholar] [CrossRef]
- Ali, I.; Aboul-Enein, H.Y. Impact of immobilized polysaccharide chiral stationary phases on enantiomeric separations. J. Sep. Sci. 2006, 29, 762–769. [Google Scholar] [CrossRef] [PubMed]
- Pirkle, W.H.; House, D.W. Chiral high-performance liquid chromatographic stationary phases. 1. Separation of the enantiomers of sulfoxides, amines, amino acids, alcohols, hydroxy acids, lactones and mercaptans. J. Org. Chem. 1979, 44, 1957–1960. [Google Scholar] [CrossRef]
- Shen, J.; Ikai, T.; Okamoto, Y. Synthesis and application of immobilized polysaccharide-based chiral stationary phases for enantioseparation by high-performance liquid chromatography. J. Chromatogr. A 2014, 1363, 51–61. [Google Scholar] [CrossRef]
- Felix, G.; Berthod, A. Commercial chiral stationary phases for the separations of clinical racemic drugs. Sep. Purif. Rev. 2007, 36, 285–481. [Google Scholar] [CrossRef]
- Sardella, R.; Ianni, F.; Marinozzi, M.; Macchiarulo, A.; Natalini, B. Laboratory-scale preparative enantioseparations of pharmaceutically relevant compounds on commercially available chiral stationary phases for HPLC. Curr. Med. Chem. 2017, 24, 796–817. [Google Scholar] [CrossRef]
- Padró, J.M.; Keunchkarian, S. State-of-the-art and recent developments of immobilized polysaccharide-based chiral stationary phases for enantioseparations by high-performance liquid chromatography. Microchem. J. 2018, 140, 142–157. [Google Scholar] [CrossRef]
- Okamoto, Y.; Kawashima, M.; Hatada, K. Useful chiral packing materials for high-performance liquid chromatographic resolution of enantiomers: Phenylcarbamates of polysaccharides coated on silica gel. J. Am. Chem. Soc. 1984, 106, 5357–5359. [Google Scholar] [CrossRef]
- Grieb, S.J.; Matlin, S.A.; Phillips, J.G.; Belenguer, A.M.; Ritchie, H.J. Chiral HPLC with carbohydrate carbamates: Influence of support structure on enantioselectivity. Chirality 1994, 6, 129–134. [Google Scholar] [CrossRef]
- Cass, Q.B.; Degani, A.L.G.; Tiritan, M.E.; Matlin, S.A.; Curran, D.P.; Balog, A. Enantiomeric resolution by HPLC of axial chiral amides using amylose tris[(S)-1-phenylethylcarbamate]. Chirality 1997, 9, 109–112. [Google Scholar] [CrossRef]
- Tiritan, M.E.; Cass, Q.B.; Del Alamo, A.; Matlin, S.A.; Grieb, S.J. Preparative enantioseparation on polysaccharide phase using microporous silica as a support. Chirality 1998, 10, 573–577. [Google Scholar] [CrossRef]
- Nawrocki, J.; Dunlap, C.; McCormick, A.; Carr, P.W. Part I. Chromatography using ultra-stable metal oxide-based stationary phases for HPLC. J. Chromatogr. A 2004, 1028, 1–30. [Google Scholar] [CrossRef]
- Nawrocki, J.; Dunlap, C.; Li, J.; Zhao, J.; McNeff, C.V.; McCormick, A.; Carr, P.W. Part II. Chromatography using ultra-stable metal oxide-based stationary phases for HPLC. J. Chromatogr. A 2004, 1028, 31–62. [Google Scholar] [CrossRef]
- Sun, L.; Carr, P.W. Chromatography of Proteins Using Polybutadiene-Coated Zirconia. Anal. Chem. 1995, 67, 3717–3721. [Google Scholar] [CrossRef] [PubMed]
- Engelhardt, H.; Cuñat-Walter, M.A. Polymer encapsulated stationary phases with improved efficiency. Chromatographia 1995, 40, 657–661. [Google Scholar] [CrossRef]
- Engelhardt, H.; Löw, H.; Eberhardt, W.; Mauß, M. Polymer encapsulated stationary phases: Advantages, properties and selectivities. Chromatographia 1989, 27, 535–543. [Google Scholar] [CrossRef]
- Zhou, Y.; Zhu, R.; Zhang, C.; Liu, X.; Wang, Z.; Zhou, Z.; Liu, L.; Dong, H.; Satoh, T.; Okamoto, Y. Synthesis of poly(phenylacetylene)s containing chiral phenylethyl carbamate residues as coated-type CSPs with high solvent tolerability. Chirality 2020, 32, 547–555. [Google Scholar] [CrossRef]
- Li, Y.; Li, Q.; Zhu, N.; Gao, Z.; Ma, Y. Cellulose type chiral stationary phase based on reduced graphene oxide@silica gel for the enantiomer separation of chiral compounds. Chirality 2018, 30, 996–1004. [Google Scholar] [CrossRef]
- Zhang, L.; Deng, H.; Wu, X.; Gao, H.; Shen, J.; Cao, H.; Qiao, Y.; Okamoto, Y. Enantioseparation using chitosan 2-isopropylthiourea-3,6-dicarbamate derivatives as chiral stationary phases for high-performance liquid chromatography. J. Chromatogr. A 2020, 1623, 461174. [Google Scholar] [CrossRef]
- Shi, G.; Dai, X.; Zhou, Y.; Zhang, J.; Shen, J.; Wan, X. Synthesis and enantioseparation of proline-derived helical polyacetylenes as chiral stationary phases for HPLC. Polym. Chem. 2020, 11, 3179–3187. [Google Scholar] [CrossRef]
- Cong, H.; Xing, J.; Ding, X.; Zhang, S.; Shen, Y.; Yu, B. Preparation of porous sulfonated poly(styrene-divinylbenzene) microspheres and its application in hydrophilic and chiral separation. Talanta 2020, 210, 120586. [Google Scholar] [CrossRef] [PubMed]
- Kraak, J.C.; Crombeen, J.P. Column Preparation. In Practice of High Performance Liquid Chromatography: Applications, Equipment and Quantitative Analysis; Engelhardt, H., Ed.; Springer Science & Business Media: Berlin/Heidelberg, Germany, 2012; pp. 182–183. [Google Scholar]
- Naghdi, E.; Fakhari, A.R.; Baca, M.; De Malsche, W. Simultaneous enantioseparation of nonsteroidal anti-inflammatory drugs by a one-dimensional liquid chromatography technique using a dynamically coated chiral porous silicon pillar array column. J. Chromatogr. A 2020, 1615, 460752. [Google Scholar] [CrossRef] [PubMed]
- Folprechtová, D.; Kalíková, K.; Kozlík, P.; Tesařová, E. The degree of substitution affects the enantioselectivity of sulfobutylether-β-cyclodextrin chiral stationary phases. Electrophoresis 2019, 40, 1972–1977. [Google Scholar] [CrossRef] [PubMed]
- Jesionowski, T.; Zdarta, J.; Krajewska, B. Enzyme immobilization by adsorption: A review. Adsorption 2014, 20, 801–821. [Google Scholar] [CrossRef]
- Neue, U.D. Silica Gel and its Derivatization for Liquid Chromatography. In Encyclopedia of Analytical Chemistry; John Wiley & Sons: Hoboken, NJ, USA, 2009. [Google Scholar] [CrossRef]
- Millot, M.C. Separation of drug enantiomers by liquid chromatography and capillary electrophoresis, using immobilized proteins as chiral selectors. J. Chromatogr. B 2003, 797, 131–159. [Google Scholar] [CrossRef] [PubMed]
- Xing, J.; Wang, F.; Cong, H.; Wang, S.; Shen, Y.; Yu, B. Analysis of proteins and chiral drugs based on vancomycin covalent capillary electrophoretic coating. Analyst 2021, 146, 1320–1325. [Google Scholar] [CrossRef]
- Ikai, T.; Yamamoto, C.; Kamigaito, M.; Okamoto, Y. Immobilized Polysaccharide-Based Chiral Stationary Phases for HPLC. Polym. J. 2006, 38, 91–108. [Google Scholar] [CrossRef]
- Okamoto, Y.; Aburatani, R.; Miura, S.; Hatada, K. Chiral Stationary Phases for HPLC: Cellulose Tris(3,5-dimethylphenylcarbamate) and Tris(3,5-dichlorophenylcarbamate) Chemically Bonded to Silica Gel. J. Liq. Chromatogr. 1987, 10, 1613–1628. [Google Scholar] [CrossRef]
- Enomoto, N.; Furukawa, S.; Ogasawara, Y.; Akano, H.; Kawamura, Y.; Yashima, E.; Okamoto, Y. Preparation of Silica Gel-Bonded Amylose through Enzyme-Catalyzed Polymerization and Chiral Recognition Ability of Its Phenylcarbamate Derivative in HPLC. Anal. Chem. 1996, 68, 2798–2804. [Google Scholar] [CrossRef] [PubMed]
- Noguchi, H.; Takafuji, M.; Maurizot, V.; Huc, I.; Ihara, H. Chiral separation by a terminal chirality triggered P-helical quinoline oligoamide foldamer. J. Chromatogr. A 2016, 1437, 88–94. [Google Scholar] [CrossRef] [PubMed]
- Fernandes, C.; Tiritan, M.E.; Cravo, S.; Phyo, Y.Z.; Kijjoa, A.; Silva, A.M.S.; Cass, Q.B.; Pinto, M.M.M. New chiral stationary phases based on xanthone derivatives for liquid chromatography. Chirality 2017, 29, 430–442. [Google Scholar] [CrossRef]
- Phyo, Y.Z.; Teixeira, J.; Tiritan, M.E.; Cravo, S.; Palmeira, A.; Gales, L.; Silva, A.M.S.; Pinto, M.M.M.; Kijjoa, A.; Fernandes, C. New chiral stationary phases for liquid chromatography based on small molecules: Development, enantioresolution evaluation and chiral recognition mechanisms. Chirality 2020, 32, 81–97. [Google Scholar] [CrossRef]
- Fernandes, C.; Carraro, M.L.; Ribeiro, J.; Araújo, J.; Tiritian, M.E.; Pinto, M.M.M. Synthetic Chiral Derivatives of Xanthones: Biological Activities and Enantioselectivity Studies. Molecules 2019, 24, 791. [Google Scholar] [CrossRef]
- Araújo, J.; Fernandes, C.; Pinto, M.; Elizabeth Tiritan, M. Chiral derivatives of xanthones with antimicrobial activity. Molecules 2019, 24, 314. [Google Scholar] [CrossRef] [PubMed]
- Ismail, O.H.; Antonelli, M.; Ciogli, A.; De Martino, M.; Catani, M.; Villani, C.; Cavazzini, A.; Ye, M.; Bell, D.S.; Gasparrini, F. Direct analysis of chiral active pharmaceutical ingredients and their counterions by ultra high performance liquid chromatography with macrocyclic glycopeptide-based chiral stationary phases. J. Chromatogr. A 2018, 1576, 42–50. [Google Scholar] [CrossRef]
- Shuang, Y.; Zhang, T.; Li, L. Preparation of a stilbene diamido-bridged bis(β-cyclodextrin)-bonded chiral stationary phase for enantioseparations of drugs and pesticides by high performance liquid chromatography. J. Chromatogr. A 2019, 1614, 460702. [Google Scholar] [CrossRef] [PubMed]
- Shuang, Y.; Cao, Z.; Zhang, T.; Li, L. Enantiomeric Separation of Chiral Triazole Pesticides by a mono-6-(4-Nitrophenyl)-ureido-β-cyclodextrin-Bonded Stationary Phase Using High-Performance Liquid Chromatography. Anal. Lett. 2020, 53, 2481–2500. [Google Scholar] [CrossRef]
- Sun, J.; Ma, S.; Liu, B.; Yu, J.; Guo, X. A fully derivatized 4-chlorophenylcarbamate-β-cyclodextrin bonded chiral stationary phase for enhanced enantioseparation in HPLC. Talanta 2019, 204, 817–825. [Google Scholar] [CrossRef]
- Yi, J.; Xu, L.; Wang, H.; Yin, X.; Zhou, X.; Yin, J.; Wang, Y.; Hou, J.; Wei, Q.; Gong, Y. Preparation and Application of Partially Substituted Phenylcarbamate-(3-(2-O-β-cyclodextrin)-2-hydroxypropoxy)-propylsilyl-Appended Silica Particles as Chiral Stationary Phase for Multi-mode HPLC. Chromatographia 2020, 83, 1021–1028. [Google Scholar] [CrossRef]
- Pirkle, W.H.; House, D.W.; Finn, J.M. Broad spectrum resolution of optical isomers using chiral high-performance liquid chromatographic bonded phases. J. Chromatogr. A 1980, 192, 143–158. [Google Scholar] [CrossRef]
- Yang, A.; Gehring, A.P.; Li, T. Large degree of racemization observed in the amide bond forming reaction on silica gel. J. Chromatogr. A 2000, 878, 165–170. [Google Scholar] [CrossRef]
- Norick, A.L.; Li, T. Study of the racemization observed in the amide bond forming reaction on silica gel. J. Chromatogr. Sci. 2005, 43, 526–529. [Google Scholar] [CrossRef] [PubMed][Green Version]
- Agneeswari, R.; Sung, J.Y.; Jo, E.S.; Jeon, H.Y.; Tamilavan, V. Preparation of Two New Diasteromeric Chiral Stationary Phases Based on (+)-(18-Crown-6)-2,3,11,12-tetracarboxylic Acid and (R)- or (S)-1-(1-Naphthyl)ethylamine and Chiral Tethering Group Effect on the Chiral Recognition. Molecules 2016, 21, 1051. [Google Scholar] [CrossRef] [PubMed]
- Wang, Y.; Liu, D.; Zhang, Y.; Tang, Y.; Zhao, J.; Shen, B. Synthesis of a Novel Chiral Stationary Phase by (R)-1,1′-Binaphthol and the Study on Mechanism of Chiral Recognition. Symmetry 2018, 10, 704. [Google Scholar] [CrossRef]
- Ishidate, R.; Sato, T.; Ikai, T.; Kanoh, S.; Yashima, E.; Maeda, K. Helicity induction and memory effect in poly(biphenylylacetylene)s bearing various functional groups and their use as switchable chiral stationary phases for HPLC. Polym. Chem. 2019, 10, 6260–6268. [Google Scholar] [CrossRef]
- Nozaki, M.; Hirose, D.; Maeda, K. Synthesis of a poly(diphenylacetylene) bearing optically active anilide pendants and its application to a chiral stationary phase for high-performance liquid chromatography. J. Chromatogr. A 2020, 1622, 461173. [Google Scholar] [CrossRef]
- Ye, Q.; Guo, L.; Wu, D.; Yang, B.; Tao, Y.; Deng, L.; Kong, Y. Covalent Functionalization of Bovine Serum Albumin with Graphene Quantum Dots for Stereospecific Molecular Recognition. Anal. Chem. 2019, 91, 11864–11871. [Google Scholar] [CrossRef]
- Wan, M.; Luo, Q.; Ren, X.; Zheng, Y.; Gao, D.; Fu, Q.; Zu, F.; Xia, Z.; Wang, L. Preparation and performance of a poly(ethyleneimine) embedded N-acetyl-L-phenylalanine mixed-mode stationary phase for HPLC. Microchem. J. 2020, 157, 105021. [Google Scholar] [CrossRef]
- Kimata, K.; Tsuboi, R.; Hosoya, K.; Tanaka, N. Chemically bonded chiral stationary phase prepared by the polymerization of cellulose p-vinylbenzoate. Anal. Methods Instrum. 1993, 1, 23–29. [Google Scholar]
- Okamoto, Y.; Ikai, T.; Shen, J. Controlled Immobilization of Polysaccharide Derivatives for Efficient Chiral Separation. Isr. J. Chem. 2011, 51, 1096–1106. [Google Scholar] [CrossRef]
- Bae, I.A.; Park, J.H.; Choi, S.H. Synthesis of chiral stationary phase via surface-initiated atom transfer radical polymerization of vinylated cellulose 3,5-dimethylphenylcarbamate. Polym. Int. 2011, 60, 833–838. [Google Scholar] [CrossRef]
- Ren, X.; Luo, Q.; Zhou, D.; Zhang, K.; Gao, D.; Fu, Q.; Liu, J.; Xia, Z.; Wang, D.L. Thermoresponsive chiral stationary phase functionalized with the copolymer of β-cyclodextrin and N-isopropylacrylamide for high performance liquid chromatography. J. Chromatogr. A 2020, 1618, 460904. [Google Scholar] [CrossRef] [PubMed]
- Ikai, T.; Yamamoto, C.; Kamigaito, M.; Okamoto, Y. Immobilization of polysaccharide derivatives onto silica gel: Facile synthesis of chiral packing materials by means of intermolecular polycondensation of triethoxysilyl groups. J. Chromatogr. A 2007, 1157, 151–158. [Google Scholar] [CrossRef] [PubMed]
- Ikai, T.; Okamoto, Y. Structure control of polysaccharide derivatives for efficient separation of enantiomers by chromatography. Chem. Rev. 2009, 109, 6077–6101. [Google Scholar] [CrossRef] [PubMed]
- Zhou, Y.; Zhang, C.; Geng, Q.; Liu, L.; Dong, H.; Satoh, T.; Okamoto, Y. Immobilization of helical poly(phenylacetylene)s having L-phenylalanine ethyl ester pendants onto silica gel as chiral stationary phases for HPLC. Polymer 2017, 131, 17–24. [Google Scholar] [CrossRef]
- Chen, X.J.; Yang, G.L.; Xu, X.D.; Sheng, J.J.; Shen, J. Preparation and chromatographic evaluation of β-cyclodextrin derivative CSPs bearing substituted phenylcarbamate groups for HPLC. J. Liq. Chromatogr. Relat. Technol. 2016, 39, 647–657. [Google Scholar] [CrossRef]
- Kolb, H.C.; Finn, M.G.; Sharpless, K.B. Click Chemistry: Diverse Chemical Function from a Few Good Reactions. Angew. Chem. Int. Ed. 2001, 40, 2004–2021. [Google Scholar] [CrossRef]
- Marechal, A.; El-Debs, R.; Dugas, V.; Demesmay, C. Is click chemistry attractive for separation sciences? J. Sep. Sci. 2013, 36, 2049–2062. [Google Scholar] [CrossRef]
- Wang, C.; Ikhlef, D.; Kahlal, S.; Saillard, J.-Y.; Astruc, D. Metal-catalyzed azide-alkyne “click” reactions: Mechanistic overview and recent trends. Coord. Chem. Rev. 2016, 316, 1–20. [Google Scholar] [CrossRef]
- Ghamat, S.N.; Talebpour, Z.; Mehdi, A. Click reactions: Recent trends in preparation of new sorbents and stationary phases for extraction and chromatographic applications. TrAC Trends Anal. Chem. 2019, 118, 556–573. [Google Scholar] [CrossRef]
- Liu, Y.; Chen, Y. Cooperative Binding and Multiple Recognition by Bridged Bis(β-cyclodextrin)s with Functional Linkers. Acc. Chem. Res. 2006, 39, 681–691. [Google Scholar] [CrossRef]
- Liu, Y.; You, C.-C.; Li, B. Synthesis and Molecular Recognition of Novel Oligo(ethylenediamino) Bridged Bis(β-cyclodextrin)s and Their Copper(II) Complexes: Enhanced Molecular Binding Ability and Selectivity by Multiple Recognition. Chemistry 2001, 7, 1281–1288. [Google Scholar] [CrossRef]
- Shuang, Y.; Liao, Y.; Wang, H.; Wang, Y.; Li, L. Preparation and evaluation of a triazole-bridged bis (β-cyclodextrin)–bonded chiral stationary phase for HPLC. Chirality 2019, 32, 168–184. [Google Scholar] [CrossRef]
- Li, Y.; Sheng, Z.; Zhu, C.; Yin, W.; Chu, C. Silica based click-dibenzo-18-crown-6-ether high performance liquid chromatography stationary phase and its application in separation of fullerenes. Talanta 2018, 178, 195–201. [Google Scholar] [CrossRef]
- Yin, C.; Chen, W.; Zhang, J.; Zhang, M.; Zhang, J. A facile and efficient method to fabricate high-resolution immobilized cellulose-based chiral stationary phases via thiol-ene click chemistry. Sep. Purif. Technol. 2019, 210, 175–181. [Google Scholar] [CrossRef]
- Kohout, M.; Wernisch, S.; Tůma, J.; Hettegger, H.; Pícha, J.; Lindner, W. Effect of different immobilization strategies on chiral recognition properties of Cinchona -based anion exchangers. J. Sep. Sci. 2018, 41, 1355–1364. [Google Scholar] [CrossRef]
- Francotte, E. Photochemically Cross-Linked Polysaccharide Derivatives as Supports for the Chromatographic Separation of. Enantiomers. Patent WO 9627615 A1, 16 September 1996. [Google Scholar]
- Francotte, E.; Huynh, D.; Zhang, T. Photochemically Immobilized 4-Methylbenzoyl Cellulose as a Powerful Chiral Stationary Phase for Enantioselective Chromatography. Molecules 2016, 21, 1740. [Google Scholar] [CrossRef]
- Tang, Q.; Yu, B.; Gao, L.; Cong, H.; Zhang, S. Light-assisted preparation of cyclodextrin-based chiral stationary phase and its separation performance in liquid chromatography. New J. Chem. 2017, 42, 1115–1120. [Google Scholar] [CrossRef]
- Yu, B.; Zhang, S.; Li, G.; Cong, H. Light-assisted preparation of vancomycin chiral stationary phase based on diazotized silica and its enantioseparation evaluation by high-performance liquid chromatography. Talanta 2018, 182, 171–177. [Google Scholar] [CrossRef] [PubMed]
- Francotte, E. Thermally Immobilized Polysaccharide Derivatives. EU Patent WO1997EP03225, 20 June 1997. [Google Scholar]
- Vieira, A.T.; Assunc, R.M.N.; Faria, A.M. Stationary phase based on cellulose dodecanoate physically immobilized on silica particles for high-performance liquid chromatography. J. Chromatogr. A 2018, 1572, 72–81. [Google Scholar] [CrossRef] [PubMed]
- Moldoveanu, S.C.; David, V. Selection of the HPLC Method in Chemical Analysis; Elsevier: Amsterdam, The Netherlands, 2016. [Google Scholar]
- Skoczylas, M.; Krzemińska, K.; Bocian, S.; Buszewski, B. Silica Gel and Its Derivatization for Liquid Chromatography. In Encyclopedia of Analytical Chemistry, Applications, Theory and Instrumentation; John Wiley & Sons: Hoboken, NJ, USA, 2006; pp. 1–39. [Google Scholar]


















| Characterization of Chemical Properties | Characterization of Physical Properties | ||
|---|---|---|---|
| Technique | Parameter | Technique | Parameter |
| Elemental analysis | Loading/degree of derivatization | SEM | Particle morphology and size |
| FTIR | Identification of functional groups/derivatization pattern | N2 or argon adsorption isotherms at the temperature of liquid nitrogen in conjunction with BET theory | Surface area Pore volume |
| Inductively coupled plasma-atomic emission spectrometry (ICP-AES) | Determination of metallic impurities in silica or modified silica materials | Low-angle powder X-ray diffraction (XRD) | Pore size |
| NMR | Structure elucidation of organic and inorganic compounds | Laser particle sizer analysers | Particle size |
| TGA | Determination of silanol groups quantity, quantification of organic groups presented and estimation of thermal stability | Combination of XRD data and average pore diameter | Wall thickness |
| Diffuse reflectance infrared Fourier-transform spectrometry (DRIFTS) | Evaluation of silanol density and water adsorption on silica surface | TEM | Pore size |
Publisher’s Note: MDPI stays neutral with regard to jurisdictional claims in published maps and institutional affiliations. |
© 2021 by the authors. Licensee MDPI, Basel, Switzerland. This article is an open access article distributed under the terms and conditions of the Creative Commons Attribution (CC BY) license (https://creativecommons.org/licenses/by/4.0/).
Share and Cite
Fernandes, C.; Teixeira, J.; Pinto, M.M.M.; Tiritan, M.E. Strategies for Preparation of Chiral Stationary Phases: Progress on Coating and Immobilization Methods. Molecules 2021, 26, 5477. https://doi.org/10.3390/molecules26185477
Fernandes C, Teixeira J, Pinto MMM, Tiritan ME. Strategies for Preparation of Chiral Stationary Phases: Progress on Coating and Immobilization Methods. Molecules. 2021; 26(18):5477. https://doi.org/10.3390/molecules26185477
Chicago/Turabian StyleFernandes, Carla, Joana Teixeira, Madalena M. M. Pinto, and Maria Elizabeth Tiritan. 2021. "Strategies for Preparation of Chiral Stationary Phases: Progress on Coating and Immobilization Methods" Molecules 26, no. 18: 5477. https://doi.org/10.3390/molecules26185477
APA StyleFernandes, C., Teixeira, J., Pinto, M. M. M., & Tiritan, M. E. (2021). Strategies for Preparation of Chiral Stationary Phases: Progress on Coating and Immobilization Methods. Molecules, 26(18), 5477. https://doi.org/10.3390/molecules26185477

