Design, Synthesis, and In Vitro Evaluation of Novel Indolyl DiHydropyrazole Derivatives as Potential Anticancer Agents
Abstract
1. Introduction
2. Materials and Methods
2.1. Molecular Modeling Studies
2.1.1. Ligand Preparation
2.1.2. Protein Preparation
2.1.3. Active Site Prediction
2.1.4. Receptor Grid Generation
2.1.5. Molecular Docking Study
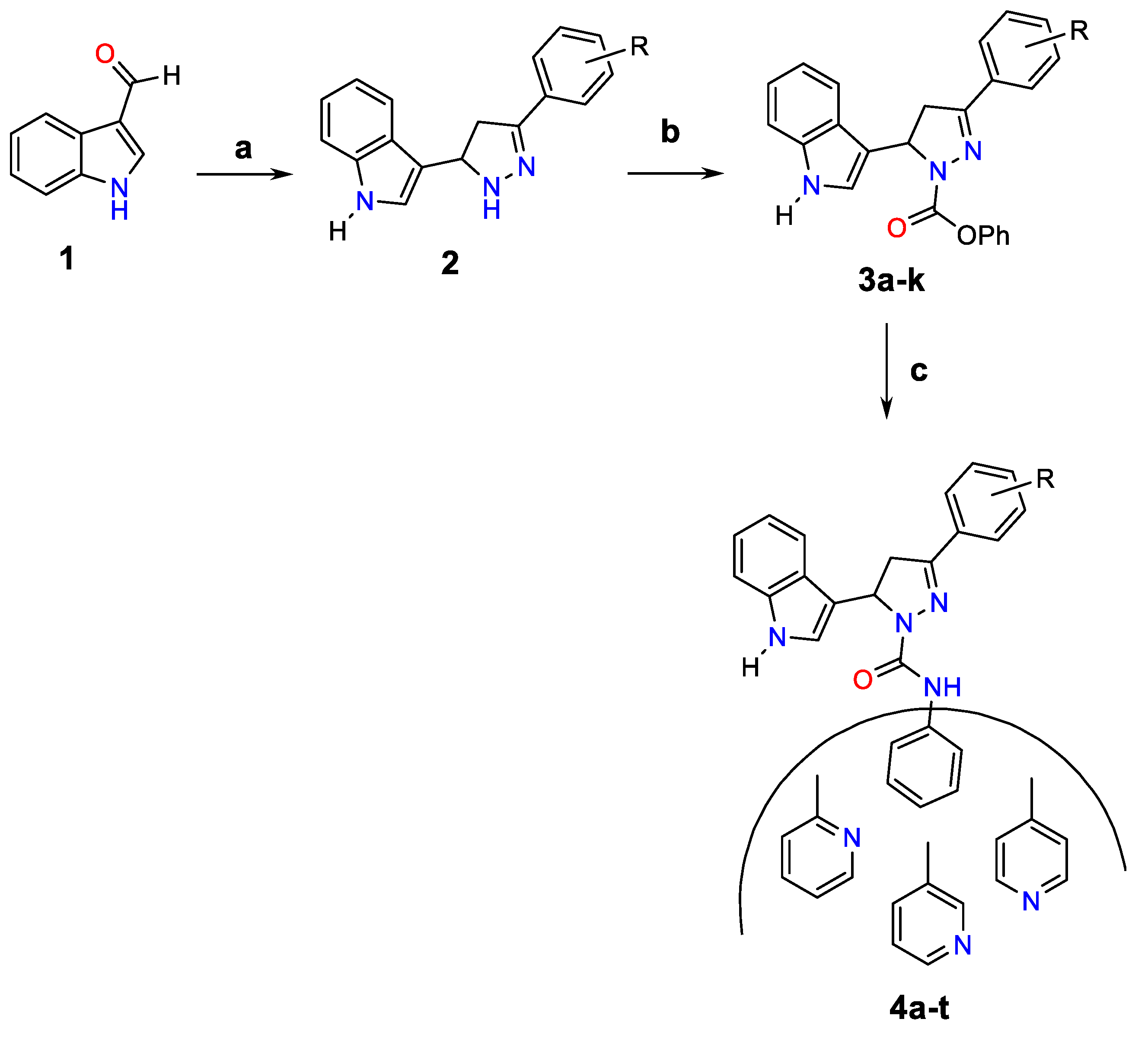
2.2. Synthesis of Pyrazoline Derivatives of Indole
2.2.1. One-Pot Synthesis of Pyrazolines (3a–k)
2.2.2. Procedure for the Synthesis of 5-(1H-Indol-3-yl)-3-substituted-N-(pyridin-2-yl)-4,5-dihydro-1H-pyrazole-1-carboxamide (4a–t)
2.3. Anti-Proliferative Activity
2.3.1. Cell Culture
2.3.2. Cytotoxicity Assay
3. Results and Discussion
3.1. Molecular Modeling Studies
3.2. Chemistry
3.3. Anti-Proliferative Activity
4. Conclusions
Supplementary Materials
Author Contributions
Funding
Conflicts of Interest
Sample Availability
References
- Perdew, G.H. Association of the Ah receptor with the 90-kDa heat shock protein. J. Biol. Chem. 1988, 263, 13802–13805. [Google Scholar] [CrossRef]
- Meyer, B.K.; Pray-Grant, M.G.; Vanden Heuvel, J.P.; Perdew, G.H. Hepatitis B Virus X-Associated Protein 2 Is a Subunit of the Unliganded Aryl Hydrocarbon Receptor Core Complex and Exhibits Transcriptional Enhancer Activity. Mol. Cell. Biol. 1998, 18, 978–988. [Google Scholar] [CrossRef]
- Kazlauskas, A.; Poellinger, L.; Pongratz, I. Evidence that the co-chaperone p23 regulates ligand responsiveness of the dioxin (aryl hydrocarbon) receptor. J. Biol. Chem. 1999, 274, 13519–13524. [Google Scholar] [CrossRef]
- Petrulis, J.R.; Perdew, G.H. The role of chaperone proteins in the aryl hydrocarbon receptor core complex. Chem. Biol. Interact. 2002, 141, 25–40. [Google Scholar] [CrossRef]
- Denison, M.S.; Nagy, S.R. Activation of the Aryl Hydrocarbon Receptor by Structurally Diverse Exogenous and Endogenous Chemicals. Annu. Rev. Pharmacol. Toxicol. 2003, 43, 309–334. [Google Scholar] [CrossRef] [PubMed]
- Reyes, H.; Reisz-Porszasz, S.; Hankinson, O. Identification of the Ah receptor nuclear translocator protein (Arnt) as a component of the DNA binding form of the Ah receptor. Science 1992, 256, 1193–1195. [Google Scholar] [CrossRef] [PubMed]
- Lusska, A.; Shen, E.; Whitlock, J.P. Protein-DNA interactions at a dioxin-responsive enhancer. Analysis of six bona fide DNA-binding sites for the liganded Ah receptor. J. Biol. Chem. 1993, 268, 6575–6580. [Google Scholar] [CrossRef]
- Denison, M.S.; Soshilov, A.A.; He, G.; Degroot, D.E.; Zhao, B. Exactly the same but different: Promiscuity and diversity in the molecular mechanisms of action of the aryl hydrocarbon (dioxin) receptor. Toxicol. Sci. 2011, 124, 1–22. [Google Scholar] [CrossRef]
- Soshilov, A.; Denison, M.S. Ligand displaces heat shock protein 90 from overlapping binding sites within the aryl hydrocarbon receptor ligandbinding domain. J. Biol. Chem. 2011, 286, 35275–35282. [Google Scholar] [CrossRef]
- Carreira, V.S.; Fan, Y.; Kurita, H.; Wang, Q.; Ko, C.I.; Naticchioni, M.; Jiang, M.; Koch, S.; Zhang, X.; Biesiada, J.; et al. Disruption of ah receptor signaling during mouse development leads to abnormal cardiac structure and function in the adult. PLoS ONE 2015, 10, e0142440. [Google Scholar] [CrossRef]
- Dever, D.P.; Adham, Z.O.; Thompson, B.; Genestine, M.; Cherry, J.; Olschowka, J.A.; DiCicco-Bloom, E.; Opanashuk, L.A. Aryl hydrocarbon receptor deletion in cerebellar granule neuron precursors impairs neurogenesis. Dev. Neurobiol. 2016, 76, 533–550. [Google Scholar] [CrossRef] [PubMed]
- Yamada, T.; Horimoto, H.; Kameyama, T.; Hayakawa, S.; Yamato, H.; Dazai, M.; Takada, A.; Kida, H.; Bott, D.; Zhou, A.C.; et al. Constitutive aryl hydrocarbon receptor signaling constrains type I interferon-mediated antiviral innate defense. Nat. Immunol. 2016, 17, 687–694. [Google Scholar] [CrossRef] [PubMed]
- Yin, J.; Sheng, B.; Qiu, Y.; Yang, K.; Xiao, W.; Yang, H. Role of AhR in positive regulation of cell proliferation and survival. Cell Prolif. 2016, 49, 554–560. [Google Scholar] [CrossRef]
- Thatcher, T.H.; Williams, M.A.; Pollock, S.J.; McCarthy, C.E.; Lacy, S.H.; Phipps, R.P.; Sime, P.J. Endogenous ligands of the aryl hydrocarbon receptor regulate lung dendritic cell function. Immunology 2016, 147, 41–54. [Google Scholar] [CrossRef]
- Murray, I.A.; Patterson, A.D.; Perdew, G.H. Aryl hydrocarbon receptor ligands in cancer: Friend and foe. Nat. Rev. Cancer 2014, 14, 801–814. [Google Scholar] [CrossRef]
- Hubbard, T.D.; Murray, I.A.; Perdew, G.H. Special Section on Drug Metabolism and the Microbiome-Minireview Indole and Tryptophan Metabolism: Endogenous and Dietary Routes to Ah Receptor Activation. Drug Metab. Dispos. 2015, 43, 1522–1535. [Google Scholar] [CrossRef] [PubMed]
- Schiering, C.; Wincent, E.; Metidji, A.; Iseppon, A.; Li, Y.; Potocnik, A.J.; Omenetti, S.; Henderson, C.J.; Wolf, C.R.; Nebert, D.W.; et al. Feedback control of AHR signalling regulates intestinal immunity. Nature 2017, 542, 242–245. [Google Scholar] [CrossRef]
- Schroeder, J.C.; DiNatale, B.C.; Murray, I.A.; Flaveny, C.A.; Liu, Q.; Laurenzana, E.M.; Lin, J.M.; Strom, S.C.; Omiecinski, C.J.; Amin, S.; et al. The uremic toxin 3-indoxyl sulfate is a potent endogenous agonist for the human aryl hydrocarbon receptor. Biochemistry 2010, 49, 393–400. [Google Scholar] [CrossRef]
- Shimizu, H.; Bolati, D.; Higashiyama, Y.; Nishijima, F.; Shimizu, K.; Niwa, T. Indoxyl sulfate upregulates renal expression of MCP-1 via production of ROS and activation of NF-κB, p53, ERK, and JNK in proximal tubular cells. Life Sci. 2012, 90, 525–530. [Google Scholar] [CrossRef]
- Yisireyili, M.; Takeshita, K.; Saito, S.; Murohara, T.; Niwa, T. Indole-3-propionic acid suppresses indoxyl sulfate-induced expression of fibrotic and inflammatory genes in proximal tubular cells. Nagoya J. Med. Sci. 2017, 79, 477–486. [Google Scholar] [CrossRef]
- Quintana, F.J.; Basso, A.S.; Iglesias, A.H.; Korn, T.; Farez, M.F.; Bettelli, E.; Caccamo, M.; Oukka, M.; Weiner, H.L. Control of Treg and TH17 cell differentiation by the aryl hydrocarbon receptor. Nature 2008, 453, 65–71. [Google Scholar] [CrossRef] [PubMed]
- Aoki, R.; Aoki-Yoshida, A.; Suzuki, C.; Takayama, Y. Indole-3-Pyruvic Acid, an Aryl Hydrocarbon Receptor Activator, Suppresses Experimental Colitis in Mice. J. Immunol. 2018, 201, 3683–3693. [Google Scholar] [CrossRef]
- Furumatsu, K.; Nishiumi, S.; Kawano, Y.; Ooi, M.; Yoshie, T.; Shiomi, Y.; Kutsumi, H.; Ashida, H.; Fujii-Kuriyama, Y.; Azuma, T.; et al. A role of the aryl hydrocarbon receptor in attenuation of colitis. Dig. Dis. Sci. 2011, 56, 2532–2544. [Google Scholar] [CrossRef]
- Wang, H.; Du, Z.; Zhang, C.; Tang, Z.; He, Y.; Zhang, Q.; Zhao, J.; Zheng, X. Biological evaluation and 3D-QSAR studies of curcumin analogues as aldehyde dehydrogenase 1 inhibitors. Int. J. Mol. Sci. 2014, 15, 8795–8807. [Google Scholar] [CrossRef] [PubMed]
- Ma, Y.; Wang, Q.; Yu, K.; Fan, X.; Xiao, W.; Cai, Y.; Xu, P.; Yu, M.; Yang, H. 6-Formylindolo(3,2-b)carbazole induced aryl hydrocarbon receptor activation prevents intestinal barrier dysfunction through regulation of claudin-2 expression. Chem. Biol. Interact. 2018, 288, 83–90. [Google Scholar] [CrossRef] [PubMed]
- Rannug, A.; Rannug, U. The tryptophan derivative 6-formylindolo[3,2- b]carbazole, FICZ, a dynamic mediator of endogenous aryl hydrocarbon receptor signaling, balances cell growth and differentiation. Crit. Rev. Toxicol. 2018, 48, 555–574. [Google Scholar] [CrossRef]
- Rzemieniec, J.; Wnuk, A.; Lasoń, W.; Bilecki, W.; Kajta, M. The neuroprotective action of 3,3′-diindolylmethane against ischemia involves an inhibition of apoptosis and autophagy that depends on HDAC and AhR/CYP1A1 but not ERα/CYP19A1 signaling. Apoptosis 2019, 24, 435–452. [Google Scholar] [CrossRef] [PubMed]
- Marconett, C.N.; Sundar, S.N.; Poindexter, K.M.; Stueve, T.R.; Bjeldanes, L.F.; Firestone, G.L. Indole-3-carbinol triggers aryl hydrocarbon receptor-dependent estrogen receptor (ER)α protein degradation in breast cancer cells disrupting an ERαGATA3 transcriptional cross-regulatory loop. Mol. Biol. Cell 2010, 21, 1166–1177. [Google Scholar] [CrossRef]
- Zhu, G.; Conner, S.E.; Zhou, X.; Shih, C.; Li, T.; Anderson, B.D.; Brooks, H.B.; Morris Campbell, R.; Considine, E.; Dempsey, J.A.; et al. Synthesis, structure-activity relationship, and biological studies of indolocarbazoles as potent cyclin D1-CDK4 inhibitors. J. Med. Chem. 2003, 46, 2027–2030. [Google Scholar] [CrossRef]
- Frideling, A.; Faure, R.; Galy, J.P.; Kenz, A.; Alkorta, I.; Elguero, J. Tetrahydroacridin-9-ones, 9-chlorotetrahydroacridines, 9-amino-tetrahydroacridines and 9-(pyrazol-1-yl)-tetrahydroacridines derived from chiral cyclanones. Eur. J. Med. Chem. 2004, 39, 37–48. [Google Scholar] [CrossRef]
- David, T.I.; Adelakun, N.S.; Omotuyi, O.I.; Metibemu, D.S.; Ekun, O.E.; Eniafe, G.O.; Inyang, O.K.; Adewumi, B.; Enejoh, O.A.; Owolabi, R.T.; et al. Molecular docking analysis of phyto-constituents from Cannabis sativa with pfDHFR. Bioinformation 2018, 14, 574–579. [Google Scholar] [CrossRef]
- Kellici, T.F.; Ntountaniotis, D.; Liapakis, G.; Tzakos, A.G.; Mavromoustakos, T. The dynamic properties of angiotensin II type 1 receptor inverse agonists in solution and in the receptor site. Arab. J. Chem. 2019, 12, 5062–5078. [Google Scholar] [CrossRef]
- Wu, D.; Potluri, N.; Kim, Y.; Rastinejad, F. Structure and Dimerization Properties of the Aryl Hydrocarbon Receptor PAS-A Domain. Mol. Cell. Biol. 2013, 33, 4346–4356. [Google Scholar] [CrossRef] [PubMed]
- Friesner, R.A.; Banks, J.L.; Murphy, R.B.; Halgren, T.A.; Klicic, J.J.; Mainz, D.T.; Repasky, M.P.; Knoll, E.H.; Shelley, M.; Perry, J.K.; et al. Glide: A New Approach for Rapid, Accurate Docking and Scoring. 1. Method and Assessment of Docking Accuracy. J. Med. Chem. 2004, 47, 1739–1749. [Google Scholar] [CrossRef]
- Friesner, R.A.; Murphy, R.B.; Repasky, M.P.; Frye, L.L.; Greenwood, J.R.; Halgren, T.A.; Sanschagrin, P.C.; Mainz, D.T. Extra precision glide: Docking and scoring incorporating a model of hydrophobic enclosure for protein-ligand complexes. J. Med. Chem. 2006, 49, 6177–6196. [Google Scholar] [CrossRef]
- Bowkett, D.; Talon, R.; Tallant, C.; Schofield, C.; von Delft, F.; Knapp, S.; Bruton, G.; Brennan, P.E. Identifying Small-Molecule Binding Sites for Epigenetic Proteins at Domain-Domain Interfaces. Chem. Med. Chem. 2018, 13, 1051–1057. [Google Scholar] [CrossRef]
- Halgren, T. New method for fast and accurate binding-site identification and analysis. Chem. Biol. Drug Des. 2007, 69, 146–148. [Google Scholar] [CrossRef] [PubMed]
- Halgren, T.A. Identifying and characterizing binding sites and assessing druggability. J. Chem. Inf. Model. 2009, 49, 377–389. [Google Scholar] [CrossRef]
- Palmioli, A.; Ciaramelli, C.; Tisi, R.; Spinelli, M.; De Sanctis, G.; Sacco, E.; Airoldi, C. Natural Compounds in Cancer Prevention: Effects of Coffee Extracts and Their Main Polyphenolic Component, 5-O-Caffeoylquinic Acid, on Oncogenic Ras Proteins. Chem. Asian J. 2017, 12, 2457–2466. [Google Scholar] [CrossRef] [PubMed]
- Sherman, W.; Beard, H.S.; Farid, R. Use of an Induced Fit Receptor Structure in Virtual Screening. Chem. Biol. Drug Des. 2006, 67, 83–84. [Google Scholar] [CrossRef]
- Mandal, R.S.; Ta, A.; Das, S. In silico designing and experimental validation of a potential small molecule inhibitor against vibrio cholerae AphB. In Proceedings of the 5th ACM Conference on Bioinformatics, Computational Biology, and Health Informatics-BCB ’14, Newport Beach, CA, USA, 20–23 September 2014; Association for Computing Machinery (ACM): New York, NY, USA; p. 585. [Google Scholar] [CrossRef]
- Taj, T.; Kamble, R.R.; Gireesh, T.M.; Hunnur, R.K.; Margankop, S.B. One-pot synthesis of pyrazoline derivatised carbazoles as antitubercular, anticancer agents, their DNA cleavage and antioxidant activities. Eur. J. Med. Chem. 2011, 46, 4366–4373. [Google Scholar] [CrossRef]
- Lokhande, P.D.; Sakate, S.S. Regioselective one-pot synthesis of 3,5-diarylpyrazoles. Indian J Chem. 2005, 44, 2338–2342. [Google Scholar] [CrossRef]
- Kamal, A.; Srikanth, Y.V.V.; Khan, M.N.A.; Shaik, T.B.; Ashraf, M. Synthesis of 3,3-diindolyl oxyindoles efficiently catalysed by FeCl 3 and their in vitro evaluation for anticancer activity. Bioorg. Med. Chem. Lett. 2010, 20, 5229–5231. [Google Scholar] [CrossRef] [PubMed]
- Lakshmi, N.V.; Thirumurugan, P.; Noorulla, K.M.; Perumal, P.T. InCl3 mediated one-pot multicomponent synthesis, anti-microbial, antioxidant and anticancer evaluation of 3-pyranyl indole derivatives. Bioorg. Med. Chem. Lett. 2010, 20, 5054–5061. [Google Scholar] [CrossRef]
- Hawaiz, F.E.; Hussein, A.J.; Samad, M.K. One-pot three-component synthesis of some new azo-pyrazoline derivatives. Eur. J. Chem. 2014, 5, 233–236. [Google Scholar] [CrossRef][Green Version]
- Kulandaivelu, U.; Padmini, V.G.; Suneetha, K.; Shireesha, B.; Vidyasagar, J.V.; Rao, T.R.; KN, J.; Basu, A.; Jayaprakash, V. Synthesis, Antimicrobial and Anticancer Activity of New Thiosemicarbazone Derivatives. Archiv der Pharmazie. 2011, 344, 84–90. [Google Scholar] [CrossRef] [PubMed]
- Karuppasamy, M.; Mahapatra, M.; Yabanoglu, S.; Ucar, G.; Sinha, B.N.; Basu, A.; Mishra, N.; Sharon, A.; Kulandaivelu, U.; Jayaprakash, V. Development of selective and reversible pyrazoline based MAO-A inhibitors: Synthesis, biological evaluation and docking studies. Bioorg. Med. Chem. 2010, 18, 1875–1881. [Google Scholar] [CrossRef] [PubMed]






| Compound | R | R1 | Glide g-Score | Glide h-Bond | Glide Energy |
|---|---|---|---|---|---|
| 4a | H | Pyridin-2-yl | −4.825 | −0.25 | −36.657 |
| 4b | 2-Cl | Pyridin-2-yl | −4.901 | −0.219 | −37.331 |
| 4c | 3-Cl | Pyridin-2-yl | −5.84 | −0.268 | −38.583 |
| 4d | 3-CH3 | Pyridin-2-yl | −5.071 | −0.221 | −37.89 |
| 4e | 3-OCH3 | Pyridin-2-yl | −4.892 | −0.17 | −38.54 |
| 4f | 4-OCH3 | Pyridin-2-yl | −4.982 | −0.216 | −38.981 |
| 4g | 2-OH | Pyridin-2-yl | −5.835 | −0.529 | −39.868 |
| 4h | 3-OH | Pyridin-2-yl | −6.255 | −0.562 | −38.825 |
| 4i | 4-OH | Pyridin-2-yl | −4.81 | −0.161 | −36.75 |
| 4j | 2-NO2 | Pyridin-2-yl | −4.876 | −0.237 | −38.004 |
| 4k | 3-NO2 | Pyridin-2-yl | −4.939 | −0.314 | −39.227 |
| 4l | 2-Cl | Pyridin-3-yl | −4.932 | −0.157 | −41.181 |
| 4m | 2-OH | Pyridin-3-yl | −5.137 | −0.329 | −37.86 |
| 4n | 3-OH | Pyridin-3-yl | −6.069 | −0.449 | −38.018 |
| 4o | 4-Cl | Pyridin-4-yl | −4.882 | −0.569 | −41.003 |
| 4p | 4-OCH3 | Pyridin-4-yl | −4.816 | −0.282 | −36.142 |
| 4q | 2-OH | Pyridin-4-yl | −5.022 | −0.556 | −41.616 |
| 4r | 3-OH | Pyridin-4-yl | −6.152 | −0.458 | −38.088 |
| 4s | 2-OH | Phenyl | −5.299 | −0.32 | −38.74 |
| 4t | 4-OH | Phenyl | −6.17 | −0.32 | −43.506 |
| Compound | R | R1 | Amino Acid Residues (H-Bond Length Å) | No. of H-Bonding Interactions |
|---|---|---|---|---|
| 4a | H | Pyridin-2-yl | Ile 262 (2.54) | 1 |
| 4b | 2-Cl | Pyridin-2-yl | Phe 115 (1.47) | 1 |
| 4c | 3-Cl | Pyridin-2-yl | Arg 236 (1.94), Phe 115 (1.06) | 2 |
| 4d | 3-CH3 | Pyridin-2-yl | Ile 262 (2.05) | 1 |
| 4e | 3-OCH3 | Pyridin-2-yl | Ile 262 (2.85), Phe 115 (3.02) | 2 |
| 4f | 4-OCH3 | Pyridin-2-yl | Asn 121 (2.42) | 1 |
| 4g | 2-OH | Pyridin-2-yl | Ile 262 (1.65, 2.76), Gln 234 (2.12) | 3 |
| 4h | 3-OH | Pyridin-2-yl | Leu 116 (1.95, 1.72), Gln 118 (2.02) | 3 |
| 4i | 4-OH | Pyridin-2-yl | Gln 235 (3.00) | 1 |
| 4j | 2-NO2 | Pyridin-2-yl | Arg 236 (2.99) | 1 |
| 4k | 3-NO2 | Pyridin-2-yl | Arg 236 (3.13) | 1 |
| 4l | 2-Cl | Pyridin-3-yl | Leu 116 (2.20) | 1 |
| 4m | 2-OH | Pyridin-3-yl | Gln 118 (2.65) | 1 |
| 4n | 3-OH | Pyridin-3-yl | Asn 232 (3.25), Glu 211 (3.09), Arg 236 (2.04), Ile 262 (2.01) | 4 |
| 4o | 4-Cl | Pyridin-4-yl | Gln 234 (2.01), Ile 262 (3.33) | 4 |
| 4p | 4-OCH3 | Pyridin-4-yl | Ile 262 (2.85), Phe 115 (3.02) | 2 |
| 4q | 2-OH | Pyridin-4-yl | Leu 116 (1.95, 1.72), Ile 262 (1.65, 2.76) | 4 |
| 4r | 3-OH | Pyridin-4-yl | Glu 211 (2.98), Arg 236 (2.62) | 2 |
| 4s | 2-OH | Phenyl | Gln 234 (3.44), Gln 118 (3.08), Thr 264 (2.89) | 3 |
| 4t | 4-OH | Phenyl | Gly 235 (2.93) | 1 |
| Compound | R | R1 | IC50 (µM) | |||
|---|---|---|---|---|---|---|
| A-549 | MCF-7 | Hep G-2 | DU-145 | |||
| 4a | H | Pyridin-2-yl | 4.75 ± 0.21 | 54.32 ± 0.52 | 22.29 ± 0.30 | 19.53 ± 0.11 |
| 4b | 2-Cl | Pyridin-2-yl | 5.79 ± 0.13 | 59.01 ± 0.46 | 21.61 ± 0.25 | 19.68 ± 0.15 |
| 4c | 3-Cl | Pyridin-2-yl | 5.32 ± 0.17 | 60.64 ± 0.27 | 24.55 ± 0.26 | 16.54 ± 0.08 |
| 4d | 3-CH3 | Pyridin-2-yl | 7.89 ± 0.26 | 56.58 ± 0.36 | 26.32 ± 0.14 | 16.02 ± 0.26 |
| 4e | 3-OCH3 | Pyridin-2-yl | 5.78 ± 0.15 | 54.93 ± 0.31 | 32.57 ± 0.25 | 15.67 ± 0.21 |
| 4f | 4-OCH3 | Pyridin-2-yl | 6.83 ± 0.16 | 58.76 ± 0.34 | 34.95 ± 0.13 | 16.84 ± 0.18 |
| 4g | 2-OH | Pyridin-2-yl | 2.32 ± 0.11 | 43.59 ± 0.38 | 24.53 ± 0.17 | 14.53 ± 0.16 |
| 4h | 3-OH | Pyridin-2-yl | 4.56 ± 0.14 | 47.45 ± 0.28 | 26.30 ± 0.14 | 12.36 ± 0.15 |
| 4i | 4-OH | Pyridin-2-yl | 5.74 ± 0.012 | 52.18 ± 0.12 | 30.22 ± 0.19 | 13.50 ± 0.14 |
| 4j | 2-NO2 | Pyridin-2-yl | 7.77 ± 0.26 | 64.78 ± 0.46 | 35.50 ± 0.12 | 19.63 ± 0.15 |
| 4k | 3-NO2 | Pyridin-2-yl | 8.81 ± 0.13 | 75.36 ± 0.34 | 33.77 ± 0.15 | 16.76 ± 0.17 |
| 4l | 2-Cl | Pyridin-3-yl | 6.46 ± 0.22 | 45.30 ± 0.26 | 27.74 ± 0.26 | 19.75 ± 0.12 |
| 4m | 2-OH | Pyridin-3-yl | 3.92 ± 0.24 | 57.18 ± 0.31 | 21.60 ± 0.29 | 10.15 ± 0.13 |
| 4n | 3-OH | Pyridin-3-yl | 5.45 ± 0.14 | 55.74 ± 0.42 | 29.52 ± 0.21 | 13.99 ± 0.19 |
| 4o | 4-Cl | Pyridin-4-yl | 6.78 ± 0.16 | 54.84 ± 0.27 | 30.53 ± 0.19 | 14.65 ± 0.21 |
| 4p | 4-OCH3 | Pyridin-4-yl | 5.74 ± 0.15 | 54.23 ± 0.29 | 26.25 ± 0.24 | 15.52 ± 0.15 |
| 4q | 2-OH | Pyridin-4-yl | 2.86 ± 0.12 | 46.13 ± 0.34 | 21.12 ± 0.16 | 9.92 ± 0.13 |
| 4r | 3-OH | Pyridin-4-yl | 4.50 ± 0.18 | 56.50 ± 0.37 | 25.87 ± 0.15 | 12.16 ± 0.17 |
| 4s | 2-OH | Phenyl | 3.02 ± 0.14 | 48.67 ± 0.34 | 22.28 ± 0.17 | 10.47 ± 0.16 |
| 4t | 4-OH | Phenyl | 5.26 ± 0.19 | 66.53 ± 0.31 | 25.94 ± 0.12 | 12.19 ± 0.22 |
| Isatin | -- | 4.96 ± 0.21 | 32.61 ± 0.25 | 28.29 ± 0.14 | 19.64 ± 0.12 | |
Publisher’s Note: MDPI stays neutral with regard to jurisdictional claims in published maps and institutional affiliations. |
© 2021 by the authors. Licensee MDPI, Basel, Switzerland. This article is an open access article distributed under the terms and conditions of the Creative Commons Attribution (CC BY) license (https://creativecommons.org/licenses/by/4.0/).
Share and Cite
Venugopala, K.N.; Habeebuddin, M.; Aldhubiab, B.E.; Asif, A.H. Design, Synthesis, and In Vitro Evaluation of Novel Indolyl DiHydropyrazole Derivatives as Potential Anticancer Agents. Molecules 2021, 26, 5235. https://doi.org/10.3390/molecules26175235
Venugopala KN, Habeebuddin M, Aldhubiab BE, Asif AH. Design, Synthesis, and In Vitro Evaluation of Novel Indolyl DiHydropyrazole Derivatives as Potential Anticancer Agents. Molecules. 2021; 26(17):5235. https://doi.org/10.3390/molecules26175235
Chicago/Turabian StyleVenugopala, Katharigatta N., Mohammed Habeebuddin, Bandar E. Aldhubiab, and Afzal Haq Asif. 2021. "Design, Synthesis, and In Vitro Evaluation of Novel Indolyl DiHydropyrazole Derivatives as Potential Anticancer Agents" Molecules 26, no. 17: 5235. https://doi.org/10.3390/molecules26175235
APA StyleVenugopala, K. N., Habeebuddin, M., Aldhubiab, B. E., & Asif, A. H. (2021). Design, Synthesis, and In Vitro Evaluation of Novel Indolyl DiHydropyrazole Derivatives as Potential Anticancer Agents. Molecules, 26(17), 5235. https://doi.org/10.3390/molecules26175235

