The Mechanism of Adsorption of Rh(III) Bromide Complex Ions on Activated Carbon
Abstract
:1. Introduction
2. Experimental
3. Results and Discussion
3.1. Development of the Model Describing the Reaction between Rh(III) Bromide Complex Ions with Activated Carbon
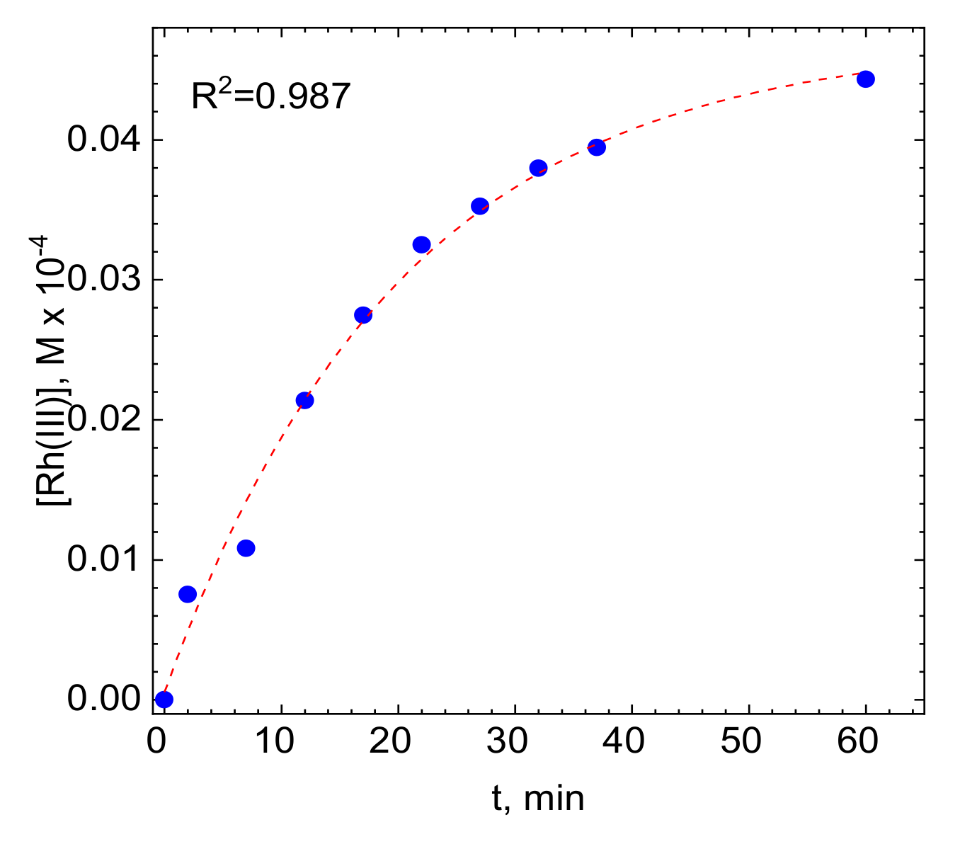
3.2. Verification of the Reaction Model
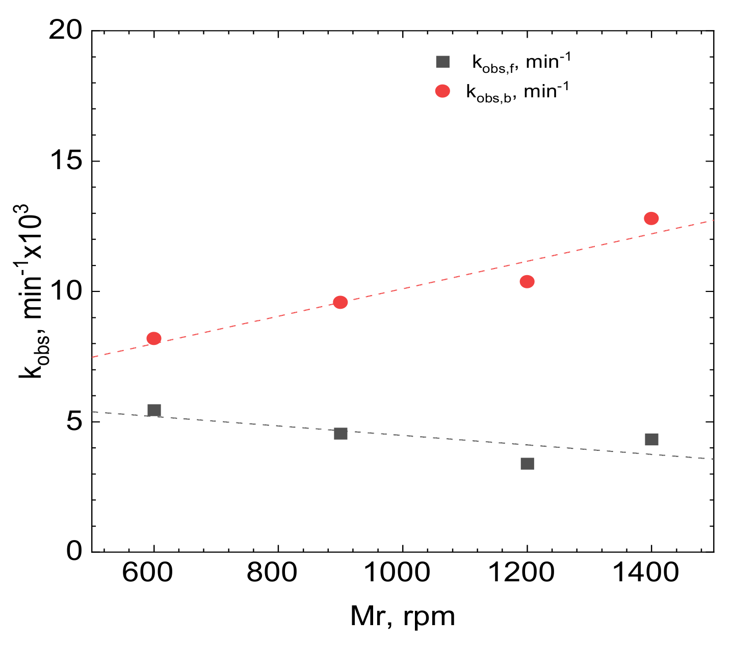
3.3. Characterization of the Adsorption/Desorption Mechanisms
3.4. Adsorption Isotherm
4. Conclusions
Supplementary Materials
Author Contributions
Funding
Institutional Review Board Statement
Informed Consent Statement
Data Availability Statement
Acknowledgments
Conflicts of Interest
References
- Available online: https://www.britannica.com/science/rhodium (accessed on 10 June 2021).
- Available online: https://www.statista.com/statistics/592729/supply-of-rhodium-worldwide-by-region (accessed on 1 February 2021).
- Available online: https://newagemetals.com/what-is-rhodium-and-why-is-it-so-valuable (accessed on 12 April 2021).
- Habashi, F. Handbook of Extractive Metallurgy; Wiley-VCH: Weinheim, Germany, 1997. [Google Scholar]
- Stanković, V.; Comninellis, C. Rhodium recovery and recycling from spent materials. In Proceedings of the 9th European Symposium on Electrochemical Engineering, Belgrade, Serbia, 19–23 June 2011. [Google Scholar]
- Available online: https://elemental.biz/en/market-segments/recycling-of-spent-automotive-catalysts (accessed on 15 April 2021).
- Chen, Z.; Ricketson, K.L.; Hu, B.; Wright, H.A.; Allison, J.D. Recover and Recycle Rhodium from Spent Partial Oxidation Catalysts. U.S. Patent No. 6,764,662, 20 July 2004. [Google Scholar]
- Wei, F.; Lai, S.-L.; Zhao, S.; Ng, M.; Chan, M.-Y.; Yam, V.W.-W.; Wong, K.M.-C. Ligand Mediated Luminescence Enhancement in Cyclometalated Rhodium(III) Complexes and Their Applications in Efficient Organic Light-Emitting Devices. J. Am. Chem. Soc. 2019, 141, 12863–12871. [Google Scholar] [CrossRef] [PubMed]
- Gildea, L.F.; Batsanov, A.S.; Williams, J.A.G. Bright orange/red-emitting rhodium(iii) and iridium(iii) complexes: Tridentate N^C^N-cyclometallating ligands lead to high luminescence efficiencies. Dalton Trans. 2013, 42, 10388–10393. [Google Scholar] [CrossRef]
- Available online: https://pmm.umicore.com/en/prices/rhodium (accessed on 1 April 2021).
- Degrove, W.; Richard, C.; Grant, A. Rhodium Precipitation Using Polyamines. UK Patent GB2247888A, 14 September 1990. [Google Scholar]
- Nikoloski, A.N.; Ang, K.L. Review of the application of ion exchange resins for the recovery of platinum-group metals from hydrochloric acid solutions. Min. Process. Extr. Met. Rev 2014, 35, 369–389. [Google Scholar] [CrossRef]
- Dong, H.; Zhao, J.; Chen, J.; Wu, Y.; Li, B. Recovery of platinum group metals from spent catalysts: A review. Int. J. Miner. Process. 2015, 145, 108–113. [Google Scholar] [CrossRef]
- Nikoloski, A.N.; Ang, K.L.; Li, D. Recovery of platinum, palladium and rhodium from acidic chloride leach solution using ion exchange resins. Hydrometallurgy 2015, 152, 20–32. [Google Scholar] [CrossRef] [Green Version]
- Aktas, S. Rhodium recovery from rhodium-containing waste rinsing water via cementation using zinc powder. Hydrometallurgy 2011, 106, 71–75. [Google Scholar] [CrossRef]
- Cieszynska, A.; Wieczorek, D. Extraction and separation of palladium(II), platinum(IV), gold(III) and rhodium(III) using piperidine-based extractants. Hydrometallurgy 2018, 175, 359–366. [Google Scholar] [CrossRef]
- Aktas, S. Cementation of rhodium from waste chloride solutions using copper powder. Int. J. Miner. Process. 2012, 114, 100–105. [Google Scholar] [CrossRef]
- Yu, B.-C.; Kim, S.-K.; Sohn, J.-S.; Kim, B.-S.; Rhee, K.-I.; Sohn, H.-J. Electrochemical behaviour and electrowinning of rhodium in acidic chloride solution. J. Appl. Electrochem. 2014, 44, 741–745. [Google Scholar] [CrossRef]
- Aghaei, E.; Alorro, R.D.; Encila, A.N.; Yoo, K. Magnetic Adsorbents for the Recovery of Precious Metals from Leach Solutions and Wastewater. Metals 2017, 7, 529. [Google Scholar] [CrossRef] [Green Version]
- Cui, J.; Zhang, L. Metallurgical recovery of metals from electronic waste: A review. J. Hazard. Mater. 2008, 158, 228–256. [Google Scholar] [CrossRef]
- Gupta, B.; Singh, I. Extraction and separation of platinum, palladium and rhodium using Cyanex 923 and their recovery from real samples. Hydrometallurgy 2013, 134, 11–18. [Google Scholar] [CrossRef]
- Nowottny, C.; Halwachs, W.; Schügerl, K. Recovery of platinum, palladium and rhodium from industrial process leaching solutions by reactive extraction. Sep. Purif. Technol. 1997, 12, 135–144. [Google Scholar] [CrossRef]
- Els, E.R.; Lorenzen, L.; Aldrich, C. The adsorption of precious metals and base metals on a quaternary ammonium group ion exchange resin. Min. Eng. 2000, 13, 401–414. [Google Scholar] [CrossRef]
- Wołowicz, A.; Hubicki, Z. The use of the chelating resin of a new generation Lewatit MonoPlus TP-220 with the bis-picolylamine functional groups in the removal of selected metal ions from acidic solutions. Chem. Eng. J. 2012, 197, 493–508. [Google Scholar] [CrossRef]
- Coetzee, R.; Dorfling, C.; Bradshaw, S.M. Precipitation of Ru, Rh and Ir with iron ions from synthetic nickel sulphate leach solutions. Hydrometallurgy 2018, 175, 79–92. [Google Scholar] [CrossRef]
- Mech, K.; Żabiński, P.; Kowalik, R. Analysis of Rhodium Electrodeposition from Chloride Solutions. J. Electrochem. Soc. 2014, 161, D458–D461. [Google Scholar] [CrossRef]
- Kasaini, H.; Goto, M.; Furusaki, S. Selective Separation of Pd(II), Rh(III), and Ru(III) Ions from a Mixed Chloride Solution Using Activated Carbon Pellets. Sep. Sci. Technol. 2000, 35, 1307–1327. [Google Scholar] [CrossRef]
- Borgarello, E.; Serpone, N.; Emo, G.; Harris, R.; Pelizzetti, E.; Minero, C. Light-induced reduction of rhodium(III) and palladium(II) on titanium dioxide dispersions and the selective photochemical separation and recovery of gold(III), platinum(IV), and rhodium(III) in chloride media. Inorg. Chem. 1986, 25, 4499–4503. [Google Scholar] [CrossRef]
- Cho, E.; Dixon, S.; Pitt, C. The kinetics of gold cyanide adsorption on activated charcoal. Metall. Trans. B 1979, 10, 185–189. [Google Scholar] [CrossRef]
- McDougall, G.; Hancock, R. Gold complexes and activated carbon. Gold Bull. 1981, 14, 138–153. [Google Scholar] [CrossRef] [Green Version]
- Morcali, M.H.; Zeytuncu, B.; Yucel, O. Platinum uptake from chloride solutions using biosorbents. Mater. Res. 2013, 16, 528–538. [Google Scholar] [CrossRef] [Green Version]
- Snyders, C.A.; Mpinga, C.N.; Bradshaw, S.M.; Akdogan, G.; Eksteen, J.J. The application of activated carbon for the adsorption and elution of platinum group metals from dilute cyanide leach solutions. J. South. Afr. Inst. Min. Metall. 2013, 113, 381–388. [Google Scholar]
- Wojnicki, M.; Pacławski, K.; Socha, R.P.; Fitzner, K. Adsorption and reduction of platinum(IV) chloride complex ions on activated carbon. Trans. Nonferrous Met. Soc. China 2013, 23, 1147–1156. [Google Scholar] [CrossRef]
- Cozzi, D.; Pantani, F. A polarographic and spectrophotometric investigation of rhodium(III) bromocomplexes. J. Electroanal. Chem. 1961, 2, 72–79. [Google Scholar] [CrossRef]
- Shlenskaya, V.I.; Efremenko, O.A.; Oleinikova, S.V.; Alimarin, I.P. Chloride complexes of rhodium (III) in aqueous solutions. Russ. Chem. Bull. 1969, 18, 1525–1527. [Google Scholar] [CrossRef]
- Pacławski, K.; Wojnicki, M. Kinetics of the adsorption of gold (III) chloride complex ions onto activated carbon. Arch. Met. Mater. 2009, 54, 853–860. [Google Scholar]
- Wojnicki, M.; Luty-Błocho, M.; Socha, R.; Mech, K.; Pędzich, Z.; Fitzner, K.; Rudnik, E. Kinetic studies of sorption and reduction of gold(III) chloride complex ions on activated carbon Norit ROX 0.8. J. Ind. Eng. Chem. 2015, 29, 289–297. [Google Scholar] [CrossRef]
- Wojnicki, M.; Rudnik, E.; Luty-Błocho, M.; Socha, R.P.; Pędzich, Z.; Fitzner, K.; Mech, K. Kinetic Studies of Gold Recovery from Diluted Chloride Aqueous Solutions Using Activated Carbon Organosorb 10 CO. Aust. J. Chem. 2016, 69, 254–261. [Google Scholar] [CrossRef]
- Wojnicki, M.; Luty-Błocho, M.; Socha, R.P.; Pędzich, Z.; Małecki, S.; Kula, A.; Żabiński, P. The kinetic studies of gold(III) chloride complex adsorption mechanism from an aqueous and semi-aqueous system. J. Mol. Liq. 2019, 278, 43–52. [Google Scholar] [CrossRef]
- Farrugia, K.; Makuc, D.; Podborska, A.; Szaciłowski, K.; Plavec, J.; Magri, D. UV-visible and 1H–15N NMR spectroscopic studies of colorimetric thiosemicarbazide anion sensors. Org. Biomol. Chem. 2014, 6, 1662–1672. [Google Scholar] [CrossRef] [Green Version]
- Mech, J.; Grela, A.; Szaciłowski, K. Ground and excited state properties of alizarin and its isomers. Dye. Pigment. 2014, 103, 202–213. [Google Scholar] [CrossRef]
- Lewandowska, K.; Pilarczyk, K.; Podborska, A.; Kim, T.-D.; Lee, K.-S.; Szaciłowski, K. Tuning of electronic properties of fullerene-oligothiophene layers. Appl. Phys. Lett. 2015, 106, 103719. [Google Scholar] [CrossRef]
- Garbacki, P.; Zalewski, P.; Skibiński, R.; Kozak, M.; Ratajczak, M.; Lewandowska, K.; Bednarski, W.; Podborska, A.; Mizera, M.; Jelińska, A.; et al. Radiostability of cefoselis sulfate in the solid state. X-Ray Spectrom. 2015, 44, 344–350. [Google Scholar] [CrossRef]
- Frisch, M.J.; Trucks, G.W.; Schlegel, H.B.; Scuseria, G.E.; Robb, M.A.; Cheeseman, J.R.; Scalmani, G.; Barone, V.; Mennucci, B.; Petersson, G.A.; et al. Gaussian 09, Rev. A.02; Gaussian, Inc.: Wallingford, CT, USA, 2009. [Google Scholar]
- Kolczyk-Siedlecka, K.; Wojnicki, M.; Yang, X.; Mutschke, G.; Zabinski, P. Experiments on the magnetic enrichment of rare-earth metal ions in aqueous solutions in a microflow device. J. Flow Chem. 2019, 9, 175–185. [Google Scholar] [CrossRef] [Green Version]
- Available online: https://open.uct.ac.za/bitstream/handle/11427/5611/thesis_ebe_2008_kriek_r_j.pdf?sequence=1 (accessed on 20 June 2021).
- Lente, G.; Fabian, I.; Poe, A.J. A common misconception about the Eyring equation. New J. Chem. 2005, 29, 759–760. [Google Scholar] [CrossRef]
- Do, D.D. Adsorption Analysis: Equilibria and Kinetics; World Scientific: Singapore, 1998; Volume 2. [Google Scholar]
- Luty-Błocho, M.; Wojnicki, M.; Fitzner, K. Gold Nanoparticles Formation via Au(III) Complex Ions Reduction with l-Ascorbic Acid. Int. J. Chem. Kinet. 2017, 49, 789–797. [Google Scholar] [CrossRef]
- The Arrhenius Law—Pre-exponential Factors. Available online: https://chem.libretexts.org/@go/page/1448 (accessed on 23 September 2020).
- Rohindra, D.R.; Lata, R.A.; Coll, R.K. A simple experiment to determine the activation energy of the viscous flow of polymer solutions using a glass capillary viscometer. Eur. J. Phys. 2012, 33, 1457. [Google Scholar] [CrossRef]
- Wojnicki, M.; Fitzner, K. Kinetic modeling of the adsorption process of Pd(II) complex ions onto activated carbon. React. Kinet. Mech. Catal. 2018, 124, 453–468. [Google Scholar] [CrossRef] [Green Version]
- Cristiano, E.; Hu, Y.-J.; Siegfried, M.; Kaplan, D.; Nitsche, H. A Comparison of Point of Zero Charge Measurement Methodology. Clays Clay Miner. 2011, 59, 107–115. [Google Scholar] [CrossRef]
- Aggarwal, D.; Goyal, M.; Bansal, R.C. Adsorption of chromium by activated carbon from aqueous solution. Carbon 1999, 37, 1989. [Google Scholar] [CrossRef]
- Bansal, R.C.; Goyal, M.; Świątkowski, A.; Dąbek, L.; Siemieniewska, T. Adsorpcja na Węglu Aktywnym; WNT: Warszawa, Poland, 2009. [Google Scholar]

















| Arrhenius parameters | ||||
| reaction | Intercept | Slope | Ea (kJ/mol) | A (min−1) |
| forward | 15.1 ± 3.3 | −6737.8 ± 1085.9 | 7.0 | 3.61 × 106 |
| backward | −7.6 ± 0.9 | 976.8 ± 305.9 | −1.0 | 5 × 10−4 |
| Eyring-Polanyi parameters | ||||
| reaction | Intercept | Slope | ∆H† (kJ/mol) | ∆S† (J/mol·K) |
| forward | −8200 ± 288 | 13.95 ± 0.89 | 6.81 ± 2.39 | −81 ± 72 |
| backward | 866.45 ± 316.34 | −13.06 ± 0.97 | −7.2 ± 2.6 | −306 ± 296 |
Publisher’s Note: MDPI stays neutral with regard to jurisdictional claims in published maps and institutional affiliations. |
© 2021 by the authors. Licensee MDPI, Basel, Switzerland. This article is an open access article distributed under the terms and conditions of the Creative Commons Attribution (CC BY) license (https://creativecommons.org/licenses/by/4.0/).
Share and Cite
Wojnicki, M.; Krawontka, A.; Wojtaszek, K.; Skibińska, K.; Csapó, E.; Pędzich, Z.; Podborska, A.; Kwolek, P. The Mechanism of Adsorption of Rh(III) Bromide Complex Ions on Activated Carbon. Molecules 2021, 26, 3862. https://doi.org/10.3390/molecules26133862
Wojnicki M, Krawontka A, Wojtaszek K, Skibińska K, Csapó E, Pędzich Z, Podborska A, Kwolek P. The Mechanism of Adsorption of Rh(III) Bromide Complex Ions on Activated Carbon. Molecules. 2021; 26(13):3862. https://doi.org/10.3390/molecules26133862
Chicago/Turabian StyleWojnicki, Marek, Andrzej Krawontka, Konrad Wojtaszek, Katarzyna Skibińska, Edit Csapó, Zbigniew Pędzich, Agnieszka Podborska, and Przemysław Kwolek. 2021. "The Mechanism of Adsorption of Rh(III) Bromide Complex Ions on Activated Carbon" Molecules 26, no. 13: 3862. https://doi.org/10.3390/molecules26133862
APA StyleWojnicki, M., Krawontka, A., Wojtaszek, K., Skibińska, K., Csapó, E., Pędzich, Z., Podborska, A., & Kwolek, P. (2021). The Mechanism of Adsorption of Rh(III) Bromide Complex Ions on Activated Carbon. Molecules, 26(13), 3862. https://doi.org/10.3390/molecules26133862

