Synthesis and Characterizations of PdNi Carbon Supported Nanomaterials: Studies of Electrocatalytic Activity for Oxygen Reduction in Alkaline Medium
Abstract
1. Introduction
2. Results and Discussion
2.1. Structural and Electronic Properties of PdNi/C Electrocatalysts
X-ray Diffraction of PdNi/C Electrocatalysts
2.2. Cyclic Voltammetry of Pt/C, Pd/C and PdNi/C in Alkaline Solution
2.3. Pd/C, PdNi/C and Pt/C Oxygen Reduction Reaction in Alkaline Solution
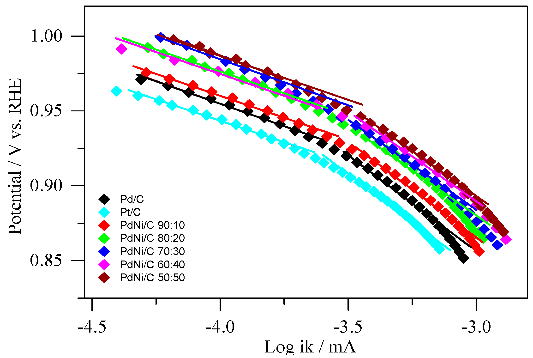
2.4. Determination of the Kinetic Parameters of Pd/C, PdNi/C and Pt/C from ORR in Alkaline Solution
2.5. Accelerated Stability Tests in Alkaline Solution
3. Experimental Section
3.1. Preparation of Materials
3.2. Characterizations
X-ray Diffraction (XRD)
3.3. Electrochemical Measurements
Electrode Preparation
3.4. Cyclic Voltammetry (CV) and Oxygen Reduction Reaction (ORR)
3.5. Determination of the Electrochemical Active Real Surface Area
3.6. Stability Test
4. Conclusions
Author Contributions
Funding
Institutional Review Board Statement
Informed Consent Statement
Acknowledgments
Conflicts of Interest
References
- Zhu, Y.; Zhou, W.; Yu, J.; Chen, Y.; Liu, M.; Shao, Z. Enhancing Electrocatalytic Activity of Perovskite Oxides by Tuning Cation Deficiency for Oxygen Reduction and Evolution Reactions. Chem. Mater. 2016, 28, 1691–1697. [Google Scholar] [CrossRef]
- Gong, K.; Du, F.; Xia, Z.; Durstock, M.; Dai, L. Nitrogen-Doped Carbon Nanotube Arrays with High Electrocatalytic Activity for Oxygen Reduction. Science 2009, 323, 760–764. [Google Scholar] [CrossRef] [PubMed]
- Shui, J.-L.; Karan, N.K.; Balasubramanian, M.; Li, S.-Y.; Liu, D.-J. Fe/N/C Composite in Li–O2 Battery: Studies of Catalytic Structure and Activity toward Oxygen Evolution Reaction. J. Am. Chem. Soc. 2012, 134, 16654–16661. [Google Scholar] [CrossRef] [PubMed]
- BASU, S. Recent Trends in Fuel Cell Science and Technology; Springer: New York, NY, USA, 2007. [Google Scholar]
- Gasteiger, H.A.; Kocha, S.S.; Sompalli, B.; Wagner, F.T. Activity benchmarks and requirements for Pt, Pt-alloy, and non-Pt oxygen reduction catalysts for PEMFCs. Appl. Catal. B 2005, 56, 9–35. [Google Scholar] [CrossRef]
- Jaouen, F.; Herranz, J.; Lefèvre, M.; Dodelet, J.-P.; Kramm, U.I.; Herrmann, I.; Bogdanoff, P.; Maruyama, J.; Nagaoka, T.; Garsuch, A.; et al. Cross-Laboratory Experimental Study of Non-Noble-Metal Electrocatalysts for the Oxygen Reduction Reaction. ACS Appl. Mater. Interfaces 2009, 1, 1623–1639. [Google Scholar] [CrossRef] [PubMed]
- Ge, X.; Sumboja, A.; Wuu, D.; An, T.; Li, B.; Goh, F.W.T.; Hor, T.S.A.; Zong, Y.; Liu, Z. Oxygen Reduction in Alkaline Media: From Mechanisms to Recent Advances of Catalysts. ACS Catal. 2015, 5, 4643–4667. [Google Scholar] [CrossRef]
- Ang, S.-Y.; Walsh, D.A. Palladium–vanadium alloy electrocatalysts for oxygen reduction: Effect of heat treatment on electrocatalytic activity and stability. Appl. Catal. B Environ. 2010, 98, 49–56. [Google Scholar] [CrossRef]
- Appleby, A. Electrocatalysis of aqueous dioxygen reduction. J. Electroanal. Chem. 1993, 357, 117–179. [Google Scholar] [CrossRef]
- Qi, Z.; Geng, H.; Wang, X.; Zhao, C.; Ji, H.; Zhang, C.; Xu, J.; Zhang, Z. Novel nanocrystalline PdNi alloy catalyst for methanol and ethanol electro-oxidation in alkaline media. J. Power Sources 2011, 196, 5823–5828. [Google Scholar] [CrossRef]
- Varanda, L.C.; Jafelicci, M. Self-assembled FePt nanocrystals with large coercivity: Reduction of the fcc-to-L10 ordering temperature. J. Am. Chem. Soc. 2006, 128, 11062. [Google Scholar] [CrossRef]
- Tientong, J.; Garcia, S.; Thurber, C.R.; Golden, T.D. Synthesis of Nickel and Nickel Hydroxide Nanopowders by Simplified Chemical Reduction. J. Nanotechnol. 2014, 2014, 1–6. [Google Scholar] [CrossRef]
- Mukherjee, P.; Roy, P.S.; Mandal, K.; Bhattacharjee, D.; Dasgupta, S.; Bhattacharya, S.K. Improved catalysis of room temperature synthesized Pd-Cu alloy nanoparticles for anodic oxidation of ethanol in alkaline media. Electrochim. Acta 2015, 154, 447–455. [Google Scholar] [CrossRef]
- Wang, L.; Zhai, J.-J.; Jiang, K.; Wang, J.-Q.; Cai, W.-B. Pd–Cu/C electrocatalysts synthesized by one-pot polyol reduction to-ward formic acid oxidation: Structural characterization and electrocatalytic performance. Int. J. Hydrog. Energy 2015, 40, 1726–1734. [Google Scholar] [CrossRef]
- Martínez-Casillas, D.C.; Solorza-Feria, O. Synthesis and characterization of bimetallic PdM nanoparticles (M=Ag, Cu) oxygen reduc-tion electrocatalysts. ECS Trans. 2009, 20, 275–280. [Google Scholar] [CrossRef]
- Luo, Y.; Estudillo-Wong, L.A.; Cavillo, L.; Granozzi, G.; Alonso-Vante, N. An easy and cheap chemical route using a MOF precursor to prepare Pd–Cu electrocatalyst for efficient energy conversion cathodes. J. Catal. 2016, 338, 135–142. [Google Scholar] [CrossRef]
- Yang, H.; Wang, H.; Li, H.; Ji, S.; Davids, M.W.; Wang, R. Effect of stabilizers on the synthesis of palladium–nickel nano-particles supported on carbon for ethanol oxidation in alkaline medium. J. Power Sources 2014, 260, 12–18. [Google Scholar] [CrossRef]
- Okamoto, H. Pt-V (platinum-vanadium). J. Phase Equilib. Diff. 2009, 30, 666–667. [Google Scholar] [CrossRef]
- Bidwell, L.R.; Speiser, R. Unit-cell dimensions of Ni-Pd alloys at 25 and 900 °C. Acta Crystallogr. 1964, 17, 1473–1474. [Google Scholar] [CrossRef]
- Li, X.; Huang, Q.; Zou, Z.; Xia, B.; Yang, H. Low temperature preparation of carbon-supported Pad-Co alloy electrocatalysts for methanol-tolerant oxygen reduction reaction. Electrochim. Acta 2008, 53, 6662–6667. [Google Scholar] [CrossRef]
- Fang, L.-L.; Tao, Q.; Li, M.-F.; Liao, L.-W.; Chen, N.; Chen, Y.-X. Determination of the Real Surface Area of Palladium Electrode. Chin. J. Chem. Phys. 2010, 23, 543–548. [Google Scholar] [CrossRef]
- Xiong, L.; Huang, Y.-X.; Liu, X.-W.; Sheng, G.-P.; Li, W.-W.; Yu, H.-Q. Three-dimensional bimetallic Pd–Cu nanodendrites with superior electrochemical performance for oxygen reduction reaction. Electrochim. Acta 2013, 89, 24–28. [Google Scholar] [CrossRef]
- Fouda-Onana, F.; Bah, S.; Savadogo, O. Palladium–copper alloys as catalysts for the oxygen reduction reaction in an acidic media I: Correlation between the ORR kinetic parameters and intrinsic physical properties of the alloys. J. Electroanal. Chem. 2009, 636, 1–9. [Google Scholar] [CrossRef]
- Seo, M.H.; Choi, S.M.; Kim, H.J.; Kim, W.B. The graphene-supported Pd and Pt catalysts for highly active oxygen reduction reaction in an alkaline condition. Electrochem. Commun. 2011, 13, 182–185. [Google Scholar] [CrossRef]
- Gobal, F.; Arab, R. A preliminary study of the electro-catalytic reduction of oxygen on Cu–Pd alloys in alkaline solution. J. Electroanal. Chem. 2010, 647, 66–73. [Google Scholar] [CrossRef]
- Li, B.; Prakash, J. Oxygen reduction reaction on carbon supported Palladium–Nickel alloys in alkaline media. Electrochem. Commun. 2009, 11, 1162–1165. [Google Scholar] [CrossRef]
- Jiang, Q.; Jiang, L.; Hou, H.; Qi, J.; Wang, S.; Sun, G. Promoting Effect of Ni in PtNi Bimetallic Electrocatalysts for the Methanol Oxidation Reaction in Alkaline Media: Experimental and Density Functional Theory Studies. J. Phys. Chem. C 2010, 114, 19714–19722. [Google Scholar] [CrossRef]
- Marković, N.M.; Gasteiger, H.A.; Ross, P.N. Oxygen Reduction on Platinum Low-Index Single-Crystal Surfaces in Alkaline Solution: Rotating Ring DiskPt(hkl) Studies. J. Phys. Chem. 1996, 100, 6715–6721. [Google Scholar] [CrossRef]
- Kariuki, N.N.; Wang, X.; Mawdsley, J.R.; Ferrandon, M.S.; Niyogi, S.G.; Vaughey, J.T.; Myers, D.J. Colloidal Synthesis and Characterization of Carbon-Supported Pd−Cu Nanoparticle Oxygen Reduction Electrocatalysts. Chem. Mater. 2010, 22, 4144–4152. [Google Scholar] [CrossRef]
- Ramos-Sánchez, G.; Yee-Madeira, H.; Solorza-Feria, O. PdNi electrocatalyst for oxygen reduction in acid media. Int. J. Hydrog. Energy 2008, 33, 3596–3600. [Google Scholar] [CrossRef]
- Wang, X.; Kariuki, N.; Vaughey, J.T.; Goodpaster, J.; Kumar, R.; Myers, D.J. Bimetallic Pd–Cu Oxygen Reduction Electrocatalysts. J. Electrochem. Soc. 2008, 155, B602–B609. [Google Scholar] [CrossRef]
- Zhang, H.; Hao, Q.; Geng, H.; Xu, C. Nanoporous PdCu alloys as highly active and methanol-tolerant oxygen reduction electrocatalysts. Int. J. Hydrog. Energy 2013, 38, 10029–10038. [Google Scholar] [CrossRef]
- Wang, M.; Zhang, W.; Wang, J.; Wexler, D.; Poynton, S.D.; Slade, R.C.; Liu, H.; Winther-Jensen, B.; Kerr, R.; Shi, D.; et al. PdNi Hollow Nanoparticles for Improved Electrocatalytic Oxygen Reduction in Alkaline Environments. ACS Appl. Mater. Interfaces 2013, 5, 12708–12715. [Google Scholar] [CrossRef]
- Mukerjee, S.; McBreen, J. Effect of particle size on the electrocatalysis by carbon-supported Pt electrocatalysts: An in situ XAS investigation. J. Electroanal. Chem. 1998, 448, 163–171. [Google Scholar] [CrossRef]
- Paulus, U.; Schmidt, T.; Gasteiger, H.; Behm, R. Oxygen reduction on a high-surface area Pt/Vulcan carbon catalyst: A thin-film rotating ring-disk electrode study. J. Electroanal. Chem. 2001, 495, 134–145. [Google Scholar] [CrossRef]
- Feng, Z.; Georgescu, N.S.; Scherson, D.A. Rotating Ring-Disk Electrode Method for the Detection of Solution Phase Superoxide as a Reaction Intermediate of Oxygen Reduction in Neutral Aqueous Solutions. Anal. Chem. 2015, 88, 1088–1091. [Google Scholar] [CrossRef] [PubMed]
- Jiang, L.; Hsu, A.; Chu, D.; Chen, R. Size-Dependent Activity of Palladium Nanoparticles for Oxygen Electroreduction in Alkaline Solutions. J. Electrochem. Soc. 2009, 156, B643–B649. [Google Scholar] [CrossRef]
- Liang, Z.; Zhao, T.; Xu, J.; Zhu, L. Mechanism study of the ethanol oxidation reaction on palladium in alkaline media. Electrochim. Acta 2009, 54, 2203–2208. [Google Scholar] [CrossRef]
- Zhao, J.; Sarkar, A.; Manthiram, A. Synthesis and characterization of Pd-Ni nanoalloy electrocatalysts for oxygen reduction reaction in fuel cells. Electrochim. Acta 2010, 55, 1756–1765. [Google Scholar] [CrossRef]
- Srinivasan, S. Fuel Cells: From Fundamentals to Applications; Springer: New York, NY, USA, 2006. [Google Scholar]
- Friedrich, M.; Armbrüster, M. Crystallite Size Controls the Crystal Structure of Cu60Pd40Nanoparticles. Chem. Mater. 2009, 21, 5886–5891. [Google Scholar] [CrossRef]
- Perez, J.; Gonzalez, E.R.; Ticianelli, E.A. Oxygen electrocatalysis on thin porous coating rotating platinum electrodes. Electrochim. Acta 1998, 44, 1329–1339. [Google Scholar] [CrossRef]
- Shao, M.H.; Huang, T.; Liu, P.; Zhang, J.; Sasaki, K.; Vukmirovic, M.B.; Adzic, R.R. Palladium Monolayer and Palladium Elec-trocatalysts for Oxygen Reduction. Langmuir 2006, 22, 10409–10415. [Google Scholar] [CrossRef] [PubMed]
- Cui, C.-H.; Li, H.-H.; Yu, S.-H. Large scale restructuring of porous Pt-Ni nanoparticle tubes for methanol oxidation: A highly reactive, stable, and restorable fuel cell catalyst. Chem. Sci. 2011, 2, 1611–1614. [Google Scholar] [CrossRef]











| Catalyst | Crystallite Size (nm) | Lattice Constant (Å) | Pd-Pd Distance (Å) |
|---|---|---|---|
| Pd/C | 2.91 | 3.988 | 2.820 |
| PdNi/C 90:10 | 2.53 | 3.956 | 2.797 |
| PdNi/C 80:20 | 2.12 | 3.921 | 2.773 |
| PdNi//C 70:30 | 1.90 | 3.898 | 2.756 |
| PdNi/C 60:40 | 1.84 | 3.871 | 2.737 |
| PdNi/C 50:50 | 1.65 | 3.845 | 2.719 |
| Catalyst | Molar Composition Calculated | Nominal Composition |
|---|---|---|
| Pd/C | 100 | 100 |
| PdNi/C 90:10 | 91:09 | 90:10 |
| PdNi/C 80:20 | 79:21 | 80:20 |
| PdNi//C 70:30 | 73:27 | 70:30 |
| PdNi/C 60:40 | 63:37 | 60:40 |
| PdNi/C 50:50 | 57:43 | 50:50 |
| Catalyst | Mass Activity (mA/mg) at 0.85 V | %H2O2 at 0.85 V | Specific Activity (mA/cm2) at 0.85 V |
|---|---|---|---|
| Pd/C | 14.40 | 25.03 | 0.02 |
| PdNi/C 90:10 | 22.00 | 19.82 | 0.07 |
| PdNi/C 80:20 | 31.39 | 17.82 | 0.11 |
| PdNi/C 70:30 | 45.05 | 9.26 | 0.16 |
| PdNi/C 60:40 | 74.76 | 6.18 | 0.29 |
| PdNi/C 50:50 | 156.63 | 5.40 | 0.62 |
| Pt/C | 10.86 | 43.35 | 0.03 |
| Catalyst | B Slope (mA) | Number of Electrons | Tafel Slope Lower Region (mA/dec) | Tafel Slope at Higher Region (mA/dec) |
|---|---|---|---|---|
| Pd/C | 0.098 | 3.65 | 57 | 120 |
| PdNi/C 90:10 | 0.093 | 3.49 | 59 | 120 |
| PdNi/C 80:20 | 0.096 | 3.58 | 60 | 120 |
| PdNi/C 70:30 | 0.101 | 3.76 | 62 | 120 |
| PdNi/C 60:40 | 0.101 | 3.79 | 59 | 120 |
| PdNi/C 50:50 | 0.103 | 3.86 | 60 | 120 |
| Pt/C | 0.067 | 2.49 | 58 | 119 |
Publisher’s Note: MDPI stays neutral with regard to jurisdictional claims in published maps and institutional affiliations. |
© 2021 by the authors. Licensee MDPI, Basel, Switzerland. This article is an open access article distributed under the terms and conditions of the Creative Commons Attribution (CC BY) license (https://creativecommons.org/licenses/by/4.0/).
Share and Cite
Khan, M.S.; Khattak, R.; Khan, A.; Chen, Q.; Nisar, J.; Iqbal, Z.; Rashid, A.; Kamran, A.W.; Zekker, I.; Zahoor, M.; et al. Synthesis and Characterizations of PdNi Carbon Supported Nanomaterials: Studies of Electrocatalytic Activity for Oxygen Reduction in Alkaline Medium. Molecules 2021, 26, 3440. https://doi.org/10.3390/molecules26113440
Khan MS, Khattak R, Khan A, Chen Q, Nisar J, Iqbal Z, Rashid A, Kamran AW, Zekker I, Zahoor M, et al. Synthesis and Characterizations of PdNi Carbon Supported Nanomaterials: Studies of Electrocatalytic Activity for Oxygen Reduction in Alkaline Medium. Molecules. 2021; 26(11):3440. https://doi.org/10.3390/molecules26113440
Chicago/Turabian StyleKhan, Muhammad Sufaid, Rozina Khattak, Abbas Khan, Qiuling Chen, Jan Nisar, Zahoor Iqbal, Abdur Rashid, Abdul Waheed Kamran, Ivar Zekker, Muhammad Zahoor, and et al. 2021. "Synthesis and Characterizations of PdNi Carbon Supported Nanomaterials: Studies of Electrocatalytic Activity for Oxygen Reduction in Alkaline Medium" Molecules 26, no. 11: 3440. https://doi.org/10.3390/molecules26113440
APA StyleKhan, M. S., Khattak, R., Khan, A., Chen, Q., Nisar, J., Iqbal, Z., Rashid, A., Kamran, A. W., Zekker, I., Zahoor, M., Alzahrani, K. J., & Batiha, G. E.-S. (2021). Synthesis and Characterizations of PdNi Carbon Supported Nanomaterials: Studies of Electrocatalytic Activity for Oxygen Reduction in Alkaline Medium. Molecules, 26(11), 3440. https://doi.org/10.3390/molecules26113440

