Cytotoxic, Apoptosis-Inducing Activities, and Molecular Docking of a New Sterol from Bamboo Shoot Skin Phyllostachys heterocycla var. pubescens
Abstract
1. Introduction
2. Results and Discussion
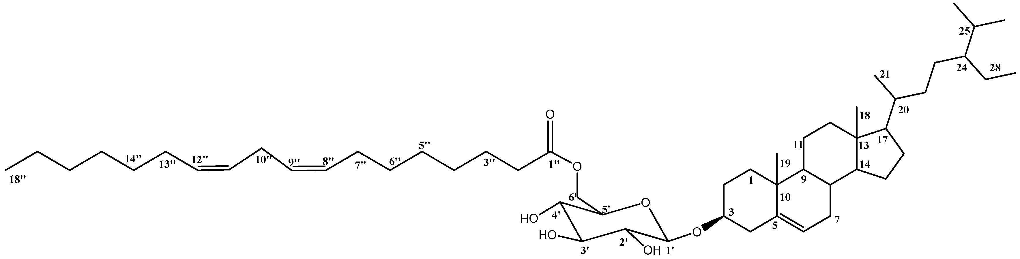
2.1. Structure Elucidation of the Isolated Compounds
2.2. Biological Evaluation of the Crude Extract and the Isolated Compounds
2.2.1. Cytotoxic Assay
2.2.2. Apoptotic Investigation
2.3. RT-PCR
2.4. Molecular Docking
3. Experimental Section
3.1. General Experimental Procedures
3.2. Plant Material
3.3. Extraction and Purification of Compounds 1–7
3.4. Hydrolysis of Compound 1
3.5. Spectroscopic Data of the Isolated Compounds
3.6. Biological Evaluation of the Compounds
3.6.1. Cytotoxic Activity
3.6.2. Apoptotic Investigation Using Flow Cytometric Analysis
3.6.3. RT-PCR Assay
3.7. In Silico Molecular Docking
4. Conclusions
Supplementary Materials
Author Contributions
Funding
Acknowledgments
Conflicts of Interest
References
- Yuming, Y.; Kanglin, W.; Shengji, P.; Jiming, H. Bamboo Diversity and Traditional Uses in Yunnan, China. Mt. Res. Dev. 2004, 24, 157–165. [Google Scholar] [CrossRef]
- Nirmala, C.; David, E.; Sharma, M.L. Changes in nutrient components during ageing of emerging juvenile bamboo shoots. Int. J. Food Sci. Nutr. 2007, 58, 612–618. [Google Scholar] [CrossRef] [PubMed]
- Chongtham, N.; Bisht, M.S.; Haorongbam, S. Nutritional Properties of Bamboo Shoots: Potential and Prospects for Utilization as a Health Food. Compr. Rev. Food Sci. Food Saf. 2011, 10, 153–168. [Google Scholar] [CrossRef]
- Tanaka, A.; Shimizu, K.; Kondo, R. Antibacterial compounds from shoot skins of moso bamboo (Phyllostachys pubescens). J. Wood Sci. 2013, 59, 155–159. [Google Scholar] [CrossRef]
- Park, H.-S.; Lim, J.H.; Kim, H.J.; Choi, H.J.; Lee, I.-S. Antioxidant flavone glycosides from the leaves of Sasa borealis. Arch. Pharm. Res. 2007, 30, 161–166. [Google Scholar] [CrossRef] [PubMed]
- Park, E.-J.; Jhon, D.-Y. The antioxidant, angiotensin converting enzyme inhibition activity, and phenolic compounds of bamboo shoot extracts. Lw-Food Sci. Technol. 2010, 43, 655–659. [Google Scholar] [CrossRef]
- Zhang, Y.; Jiao, J.; Liu, C.; Wu, X.; Zhang, Y. Isolation and purification of four flavone C-glycosides from antioxidant of bamboo leaves by macroporous resin column chromatography and preparative high-performance liquid chromatography. Food Chem. 2008, 107, 1326–1336. [Google Scholar] [CrossRef]
- Ishii, T.; Hiroi, T.; Thomas, J.R. Feruloylated xyloglucan and p-coumaroyl arabinoxylan oligosaccharides from bamboo shoot cell-walls. Phytochemistry 1990, 29, 1999–2003. [Google Scholar] [CrossRef]
- Kweon, M.-H.; Hwang, H.-J.; Sung, H.-C. Identification and Antioxidant Activity of Novel Chlorogenic Acid Derivatives from Bamboo (Phyllostachys edulis). J. Agric. Food Chem. 2001, 49, 4646–4655. [Google Scholar] [CrossRef]
- Keski-Saari, S.; Ossipov, V.; Julkunen-Tiitto, R.; Jia, J.; Danell, K.; Veteli, T.; Guiquan, Z.; Yaowu, X.; Niemelä, P. Phenolics from the culms of five bamboo species in the Tangjiahe and Wolong Giant Panda Reserves, Sichuan, China. Biochem. Syst. Ecol. 2008, 36, 758–765. [Google Scholar] [CrossRef]
- Suga, A.; Takaishi, Y.; Goto, S.; Munakata, T.; Yamauchi, I.; Kogure, K. Two lignan dimers from bamboo stems (Phyllostachys edulis). Phytochemistry 2003, 64, 991–996. [Google Scholar] [CrossRef]
- Takahashi, T.; Mizui, K.; Miyazawa, M. Volatile compounds with characteristic odour in moso-bamboo stems (Phyllostachys pubescens Mazel ex Houz. De ehaie). Phytochem. Anal. 2010, 21, 489–495. [Google Scholar] [CrossRef] [PubMed]
- Panee, J. Potential Medicinal Application and Toxicity Evaluation of Extracts from Bamboo Plants. J. Med. Plant. Res. 2015, 9, 681–692. [Google Scholar] [CrossRef] [PubMed]
- Tanaka, A.; Zhu, Q.; Tan, H.; Horiba, H.; Ohnuki, K.; Mori, Y.; Yamauchi, R.; Ishikawa, H.; Iwamoto, A.; Kawahara, H.; et al. Biological activities and phytochemical profiles of extracts from different parts of bamboo (Phyllostachys pubescens). Molecules 2014, 19, 8238–8260. [Google Scholar] [CrossRef] [PubMed]
- Kim, K.K.; Kawano, Y.; Yamazaki, Y. A novel porphyrin photosensitizer from bamboo leaves that induces apoptosis in cancer cell lines. Anticancer Res. 2003, 23, 2355–2361. [Google Scholar]
- Lv, Y.; Li, M.; Liu, T.; Tong, L.; Peng, T.; Wei, L.; Ding, J.; Xie, H.; Duan, W. Discovery of a New Series of Naphthamides as Potent VEGFR-2 Kinase Inhibitors. ACS Med. Chem. Lett. 2014, 5, 592–597. [Google Scholar] [CrossRef]
- Peshin, T.; Kar, H.K. Isolation and Characterization of β-Sitosterol-3-O-β- d-glucoside from the Extract of the Flowers of Viola odorata. Br. J. Pharm. Res. 2017, 16, 1–8. [Google Scholar] [CrossRef]
- Zeng, X.; Li, C.-Y.; Wang, H.; Qiu, Q.; Qiu, G.; He, X. Unusual lipids and acylglucosylsterols from the roots of Livistona chinensis. Phytochem. Lett. 2013, 6, 36–40. [Google Scholar] [CrossRef]
- Su, B.-N.; Takaishi, Y. Morinins H−K, Four Novel Phenylpropanol Ester Lipid Metabolites from Morina chinensis. J. Nat. Prod. 1999, 62, 1325–1327. [Google Scholar] [CrossRef]
- Rosandy, A.R.; Kamal, N.M.; Talip, N.; Khalid1, R.; Abu Bakar, M. Isolation of four steroids from the leaves of fern Adiantum latifolium Lam. Malays. J. Anal. Sci. 2017, 21, 298–303. [Google Scholar]
- Arai, Y.; Nakagawa, T.; Hitosugi, M.; Shiojima, K.; Ageta, H.; Basher, O. Abdel-Halim Chemical constituents of aquatic fern Azolla nilotica. Phytochemistry 1998, 48, 471–474. [Google Scholar] [CrossRef]
- Li, L.-Y.; Deng, Z.-W.; Fu, H.-Z.; Li, J.; Lin, W.-H.; Proksch, P. 6-Hydroxy-4-en-3-one sterols from the marine sponge Iotrochoto birotulata. J. Asian Nat. Prod. Res. 2005, 7, 115–120. [Google Scholar] [CrossRef] [PubMed]
- Goad, J.; Akihisa, T. Analysis of Sterols; Springer: Amsterdam, The Netherlands, 1997; ISBN 978-0-7514-0230-8. [Google Scholar]
- Chaturvedula, V.S.P.; Prakash, I. Isolation of Stigmasterol and β-Sitosterol from the dichloromethane extract of Rubus suavissimus. Int. Curr. Pharm. J. 2012, 1, 239–242. [Google Scholar] [CrossRef]
- Chaurasia, N.; Wichtl, M. Sterols and Steryl Glycosides from Urtica dioica. J. Nat. Prod. 1987, 50, 881–885. [Google Scholar] [CrossRef]
- Ichihara, K.; Fukubayashi, Y. Preparation of fatty acid methyl esters for gas-liquid chromatography. J. Lipid Res. 2010, 51, 635–640. [Google Scholar] [CrossRef]
- Tantawy, E.S.; Amer, A.M.; Mohamed, E.K.; Abd Alla, M.M.; Nafie, M.S. Synthesis, characterization of some pyrazine derivatives as anti-cancer agents: In vitro and in Silico approaches. J. Mol. Struct. 2020, 1210, 128013. [Google Scholar] [CrossRef]
- Khodair, A.I.; Alsafi, M.A.; Nafie, M.S. Synthesis, molecular modeling and anti-cancer evaluation of a series of quinazoline derivatives. Carbohydr. Res. 2019, 486, 107832. [Google Scholar] [CrossRef]
- Nafie, M.S.; Arafa, K.; Sedky, N.K.; Alakhdar, A.A.; Arafa, R.K. Triaryl dicationic DNA minor-groove binders with antioxidant activity display cytotoxicity and induce apoptosis in breast cancer. Chem. Biol. Interact. 2020, 324, 109087. [Google Scholar] [CrossRef]
- Gad, E.M.; Nafie, M.S.; Eltamany, E.H.; Hammad, M.S.A.G.; Barakat, A.; Boraei, A.T.A. Discovery of New Apoptosis-Inducing Agents for Breast Cancer Based on Ethyl 2-Amino-4,5,6,7-Tetra Hydrobenzo[b]Thiophene-3-Carboxylate: Synthesis, In Vitro, and In Vivo Activity Evaluation. Molecules 2020, 25, 2523. [Google Scholar] [CrossRef]
- Nafie, M.S.; Amer, A.M.; Mohamed, A.K.; Tantawy, E.S. Discovery of novel pyrazolo[3,4-b]pyridine scaffold-based derivatives as potential PIM-1 kinase inhibitors in breast cancer MCF-7 cells. Bioorg. Med. Chem. 2020, 28, 115828. [Google Scholar] [CrossRef]
- Nafie, M.S.; Mahgoub, S.; Amer, A.M. Antimicrobial and antiproliferative activities of novel synthesized 6-(quinolin-2-ylthio) pyridine derivatives with molecular docking study as multi-targeted JAK2/STAT3 inhibitors. Chem. Biol. Drug Des. 2020. [Google Scholar] [CrossRef] [PubMed]
- Sarhan, A.A.M.; Boraei, A.T.A.; Barakat, A.; Nafie, M.S. Discovery of hydrazide-based pyridazino[4,5- b ]indole scaffold as a new phosphoinositide 3-kinase (PI3K) inhibitor for breast cancer therapy. RSC Adv. 2020, 10, 19534–19541. [Google Scholar] [CrossRef]
- Nafie, M.S.; Tantawy, M.A.; Elmgeed, G.A. Screening of different drug design tools to predict the mode of action of steroidal derivatives as anti-cancer agents. Steroids 2019, 152, 108485. [Google Scholar] [CrossRef] [PubMed]
- Youssef, E.; El-Moneim, M.A.; Fathalla, W.; Nafie, M.S. Design, synthesis and antiproliferative activity of new amine, amino acid and dipeptide-coupled benzamides as potential sigma-1 receptor. J. Iran. Chem. Soc. 2020, 17, 2515–2532. [Google Scholar] [CrossRef]
Sample Availability: Samples of all compounds are not available from the authors. |









| Position | δC (m) a | δH (m, J in Hz) | Selected HMBC b |
|---|---|---|---|
| 1 | 37.7, CH2 | 1.09, 1.78 | C-19 |
| 2 | 32.1, CH2 | 1.44 * | |
| 3 | 78.8, CH | 3.88, m | C-1’ |
| 4 | 39.3, CH2 | 2.64, dd, J (12,4), 2.43, brt, J (8) | C-2, C-3, C-5, C-6, C-10 |
| 5 | 141.0, C | ||
| 6 | 121.8, CH | 5.37, m | C-4, C-8, C-10 |
| 7 | 31.7, CH2 | 1.48, 1.91 | C-5 |
| 8 | 32.1, CH | 1.27 | C-9, C-11, C-14 |
| 9 | 50.5, CH | 0.94 ** | C-1, C-5 |
| 10 | 36.9 C | ||
| 11 | 21.4, CH2 | 1.44 * | |
| 12 | 40.1, CH2 | 2.05, 1.27 | |
| 13 | 42.5 C | ||
| 14 | 56.9, CH | 1.01, m | |
| 15 | 24.6, CH2 | 1.09, 1.61 | |
| 16 | 28.6, CH2 | 2.12, m | |
| 17 | 56.3, CH | 1.15 | |
| 18 | 12.0, CH3 | 0.72, s | C-12, C-17 |
| 19 | 19.3, CH3 | 0.94, s | C-1, C-5 |
| 20 | 36.5, CH | 1.44 * | |
| 21 | 19.1, CH3 | 1.01, d, J (6.0) | |
| 22 | 34.2, CH2 | 1.09, 1.42 | C-17, C-21 |
| 23 | 26.4, CH2 | 1.27 | |
| 24 | 46.1, CH | 1.01 | |
| 25 | 29.5, CH | 1.27 *** | |
| 26 | 19.4, CH3 | 0.87 **** | |
| 27 | 20.0, CH3 | 0.90 ** | |
| 28 | 23.4, CH2 | 1.29 *** | |
| 29 | 12.2, CH3 | 0.88 **** | |
| 1’ | 102.7, CH | 4.91, d, J (7.2) | C-3, C-3’ |
| 2’ | 75.0, CH | 3.97, d, J (8.1) | C-1’, C-3’ |
| 3’ | 78.2, CH | 4.17, m | C-4’ |
| 4’ | 71.6, CH | 3.97, m | C-3’ |
| 5’ | 75.0, CH | 3.96, m | C-1’, C-3’ |
| 6’ | 64.7, CH2 | 4.76, m | C-1″ |
| 1″ | 173.5 C | ||
| 2″ | 34.5, CH2 | 2.37, m | C-1″, C-3″, C-4″ |
| 3″ | 25.4, CH2 | 1.65, m | C-1″, C-2″, C-4″, C-5″ |
| 4″ | 29.5–32.1, CH2 | 1.32, m | |
| 5″ | 29.5–32.1, CH2 | 1.32, m | |
| 6″ | 29.5–32.1, CH2 | 1.32, m | |
| 7″ | 27.6, CH2 | 2.12, m | C-5″, C-6″, C-8″, C-9″ |
| 8″ | 128.3, CH | 5.46, m | C-6″, C-7″, C-10″ |
| 9″ | 128.4, CH | 5.46, m | C-7″, C-10″ |
| 10″ | 25.9, CH2 | 2.93, t, J (6.4) | C-8″, C-9″, C-11″, C-12″ |
| 11″ | 130.3, CH | 5.46, m | C-10″, C-13″ |
| 12″ | 130.4, CH | 5.46, m | C-10″, C13″, C-14″ |
| 13″ | 27.5, CH2 | 2.12, m | C-11″, C-12″, C-14″, C-15″ |
| 14″ | 29.5–32.1, CH2 | 1.32, m | |
| 15″ | 29.5–32.1, CH2 | 1.32, m | |
| 16″ | 29.5–32.1, CH2 | 1.32, m | |
| 17″ | 29.5–32.1, CH2 | 1.32, m | |
| 18″ | 14.3, CH3 | 0.87 **** |
| Tested Samples | IC50 ± SD (µg/mL) *,# | ||||
|---|---|---|---|---|---|
| HepG2 | Hela | A549 | MCF-7 | Normal Cells MCF-10A | |
| Crude Extract | 48.4 ± 1.32 | ≥50 | ND | 38.87 ± 0.87 | ≥50 |
| Pure Compounds | IC50 ± SD (µM) *,# | ||||
| 1 | 27.52 ± 1.04 | ND | ND | 25.82 ± 1.04 | ≥50 |
| 2 | ND | 32.45 ± 0.89 | 45.63 ± 0.75 | ≥50 | |
| 3 | ND | ≥50 | 49.9 ± 1.03 | ≥50 | |
| 5 | ≥50 | 42.32 ± 1.02 | ≥50 | ≥50 | |
| 6 | 42.46 ± 1.71 | ND | ND | ≥50 | |
| 7 | ≥50 | ND | ND | 38.05 ± 0.98 | |
| 5-FU | 15.8 ± 0.28 | 13.04 ± 0.65 | 7.47 ± 0.43 | 26.98 ± 0.76 | |
| Molecular Target and PDB Code | Binding Energy (Kcal/Mol) | Moiety of Compound | Distance (A) | Key Amino Acid Residues * |
|---|---|---|---|---|
| Protein kinase (TPK) (1T46) | −78.58 | HO- (HBA) | 1.87 | Lys 623 |
| VEGFR-2 (1Y6A) | −24.56 | HO- (HBA) | 2.80 | Asn 921 |
![]() | ||||
Publisher’s Note: MDPI stays neutral with regard to jurisdictional claims in published maps and institutional affiliations. |
© 2020 by the authors. Licensee MDPI, Basel, Switzerland. This article is an open access article distributed under the terms and conditions of the Creative Commons Attribution (CC BY) license (http://creativecommons.org/licenses/by/4.0/).
Share and Cite
Abdelhameed, R.F.A.; Nafie, M.S.; Ibrahim, A.K.; Yamada, K.; Abdel-Kader, M.S.; Ibrahim, A.K.; Ahmed, S.A.; Badr, J.M.; Habib, E.S. Cytotoxic, Apoptosis-Inducing Activities, and Molecular Docking of a New Sterol from Bamboo Shoot Skin Phyllostachys heterocycla var. pubescens. Molecules 2020, 25, 5650. https://doi.org/10.3390/molecules25235650
Abdelhameed RFA, Nafie MS, Ibrahim AK, Yamada K, Abdel-Kader MS, Ibrahim AK, Ahmed SA, Badr JM, Habib ES. Cytotoxic, Apoptosis-Inducing Activities, and Molecular Docking of a New Sterol from Bamboo Shoot Skin Phyllostachys heterocycla var. pubescens. Molecules. 2020; 25(23):5650. https://doi.org/10.3390/molecules25235650
Chicago/Turabian StyleAbdelhameed, Reda F. A., Mohamed S. Nafie, Ahmed K. Ibrahim, Koji Yamada, Maged S. Abdel-Kader, Amany K. Ibrahim, Safwat A. Ahmed, Jihan M. Badr, and Eman S. Habib. 2020. "Cytotoxic, Apoptosis-Inducing Activities, and Molecular Docking of a New Sterol from Bamboo Shoot Skin Phyllostachys heterocycla var. pubescens" Molecules 25, no. 23: 5650. https://doi.org/10.3390/molecules25235650
APA StyleAbdelhameed, R. F. A., Nafie, M. S., Ibrahim, A. K., Yamada, K., Abdel-Kader, M. S., Ibrahim, A. K., Ahmed, S. A., Badr, J. M., & Habib, E. S. (2020). Cytotoxic, Apoptosis-Inducing Activities, and Molecular Docking of a New Sterol from Bamboo Shoot Skin Phyllostachys heterocycla var. pubescens. Molecules, 25(23), 5650. https://doi.org/10.3390/molecules25235650


