Abstract
Carotenoids—natural fat-soluble pigments—have attracted considerable attention because of their potential to prevent of various diseases, such as cancer and arteriosclerosis, and their strong antioxidant capacity. They have many geometric isomers due to the presence of numerous conjugated double bonds in the molecule. However, in plants, most carotenoids are present in the all-E-configuration. (all-E)-Carotenoids are characterized by high crystallinity as well as low solubility in safe and sustainable solvents, such as ethanol and supercritical CO2 (SC-CO2). Thus, these properties result in the decreased efficiency of carotenoid processing, such as extraction and emulsification, using such sustainable solvents. On the other hand, Z-isomerization of carotenoids induces alteration in physicochemical properties, i.e., the solubility of carotenoids dramatically improves and they change from a “crystalline state” to an “oily (amorphous) state”. For example, the solubility in ethanol of lycopene Z-isomers is more than 4000 times higher than the all-E-isomer. Recently, improvement of carotenoid processing efficiency utilizing these changes has attracted attention. Namely, it is possible to markedly improve carotenoid processing using safe and sustainable solvents, which had previously been difficult to put into practical use due to the low efficiency. The objective of this paper is to review the effect of Z-isomerization on the physicochemical properties of carotenoids and its application to carotenoid processing, such as extraction, micronization, and emulsification, using sustainable solvents. Moreover, aspects of Z-isomerization methods for carotenoids and functional difference, such as bioavailability and antioxidant capacity, between isomers are also included in this review.
1. Introduction
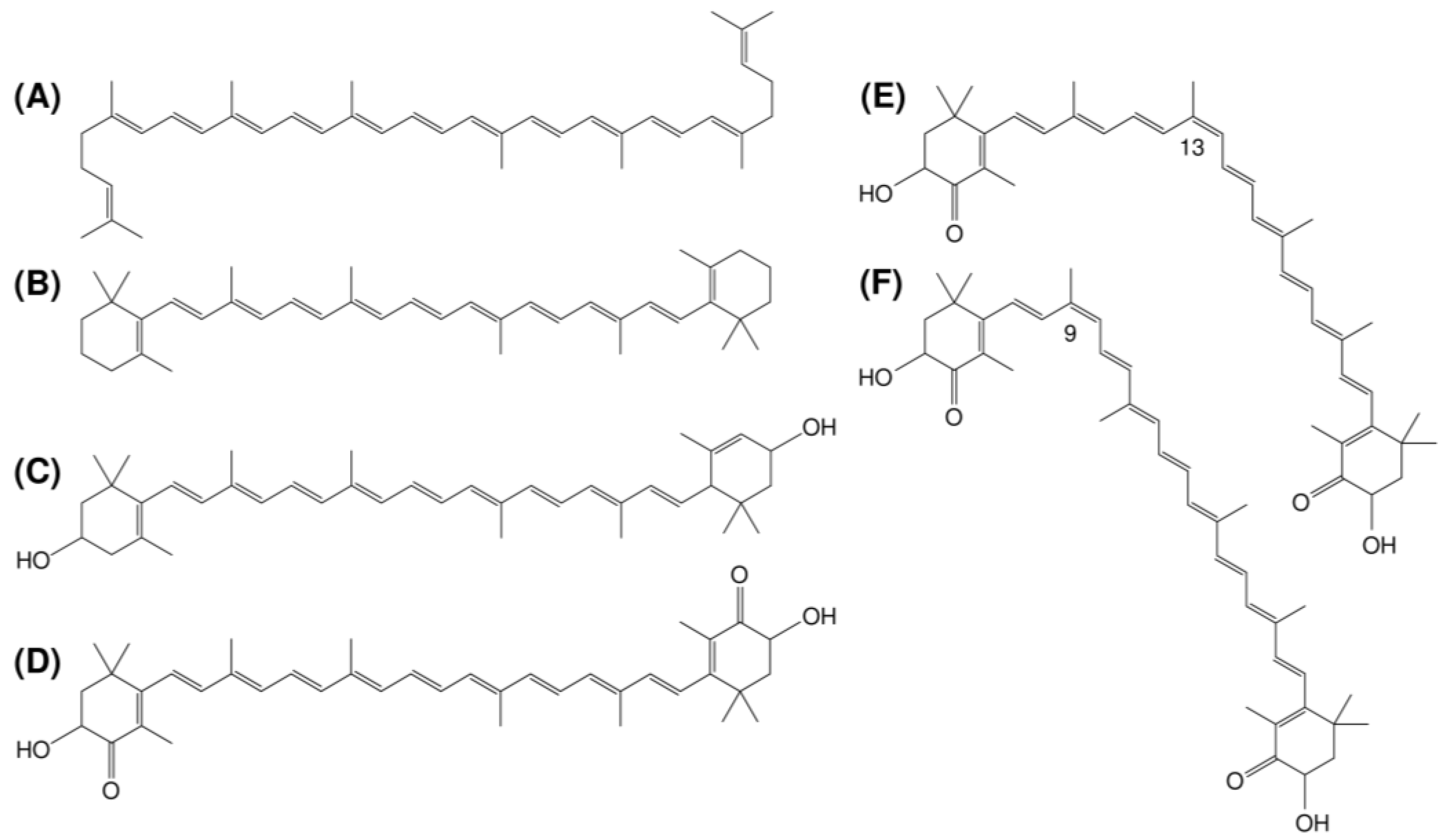
Carotenoids are a class of lipid-soluble pigments responsible for the colors of plants, animals, and microorganisms [1,2,3,4]. Since the first structural elucidation of β-carotene by Kuhn and Karrer in the 1930s, approximately 1100 natural carotenoids have been reported so far [5]. Carotenoids can be classified into the following two groups based on their chemical composition: (1) carotenes, nonoxygenated molecules such as lycopene and β-carotene and (2) xanthophylls, molecules containing oxygen such as lutein and astaxanthin. (Figure 1) [4,6]. The daily consumption of carotenoid-rich foods, such as fruits and vegetables, is considered to be beneficial for human health because of their high antioxidant, anticancer, and antiatherosclerotic activities [7,8,9]. As carotenoids contain multiple conjugated double bonds, numerous geometric isomers are theoretically possible. While carotenoids in plants are accumulated predominantly as the all-E-configuration (Figure 1A–D), Z-isomers of carotenoids (Figure 1E,F) exist in abundance in the human body and in processed foods. For example, more than 50 and 30% of total lycopene are present as Z-isomers in human blood plasma and processed tomato products such as tomato sauce and tomato soup, respectively [10,11,12].
Figure 1.
Chemical structures of (A) (all-E)-lycopene, (B) (all-E)-β-carotene, (C) (all-E)-lutein, (D) (all-E)-astaxanthin, (E) (13Z)-astaxanthin, and (F) (9Z)-astaxanthin.
Commercially available carotenoids are obtained by chemical syntheses or extraction from plants, photosynthetic bacteria, and microalgae. Generally, these carotenoids are in the all-E-configuration and the isomers are characterized by high crystallinity and low solubility in solvents [13,14]. Most carotenoid processing, such as extraction, micronization, and emulsification, employs a mediator—an organic solvent—to increase the processing efficiency. However, because of the physicochemical properties of (all-E)-carotenoids, processing efficiencies are low. Moreover, in recent years, there has been increased demand for the use of safe and sustainable solvents such as ethanol and supercritical CO2 (SC-CO2) for the processing of food components including carotenoids, i.e., environmentally benign processing using sustainable solvents is a topic of growing interest in both the research community and the food industry because of the growing awareness of the impact of solvents on energy usage, pollution, and their contribution to climate change and air quality [15,16,17]. However, since (all-E)-carotenoids have very low solubility in ethanol and SC-CO2 [18,19,20,21], toxic organic solvents are used in many cases. Very recently, several studies demonstrated that Z-isomerization of carotenoids induces alteration in physicochemical properties, such as crystallinity and solubility. Namely, solubility in solvents including SC-CO2 was dramatically improved and crystallinity was reduced by Z-isomerization. In addition, application of these alterations in carotenoid processing using the above safe and sustainable solvents has attracted attention. For example, Z-isomerization pretreatment significantly improved the extraction efficiency of lycopene contained in tomatoes and gac (Momordica cochinchinensis Spreng.) aril using organic solvents and SC-CO2 [18,19].
In this review, the effect of Z-isomerization on the physicochemical properties of carotenoids and recent researches on carotenoid processing technology exploiting these characteristics are summarized and discussed. In addition, we also outline the typical methods for Z-isomerization of carotenoids and alterations in the bioavailability and functionality of carotenoids by Z-isomerization. Ample studies have demonstrated that Z-isomerization of carotenoids results in changes to bioavailability and antioxidant capacity, e.g., Z-isomers of lycopene and astaxanthin have greater bioavailability and show a higher antioxidant capacity than the all-E-isomers [22,23,24,25]. Thus, it is important to have a thorough understanding of the impact of E/Z-isomerization on functional changes of carotenoids.
2. Typical Methods for Z-Isomerization of Carotenoids
As the method for Z-isomerization of carotenoids, heat treatment, microwave treatment, light irradiation, electrolysis treatment, and catalytic treatment have been well documented to date (Table 1). (all-E)-Carotenoids, e.g., lycopene and astaxanthin, were efficiently isomerized to the Z-isomers by heating in organic solvents, especially alkyl halides such as dichloromethane (CH2Cl2) and dibromomethane (CH2Br2) [26,27,28]. The all-E-isomers were also thermally Z-isomerized in the presence of vegetable oils, animal fats, and SC-CO2 [12,21]. These results indicate that for Z-isomerization of (all-E)-carotenoids, it is important that the carotenoid is in a dissolved state. Microwave heating also promoted Z-isomerization [29,30,31,32], and several studies indicated the increased efficiency compared to conventional heating [29,30]. In the microwave treatment of (all-E)-lycopene-rich tomato oleoresin, the total Z-isomer content reached 65.9 ± 2.7% with 4-min irradiation at 2450 MHz frequency and 500 W power, and the temperature of the oleoresin reached 136.7 ± 6.6 °C at that time, while the total Z-isomer content with conventional oil bath heating at 140 °C for 5 min was 50.8 ± 3.2% [29]. Light irradiation also caused E/Z-isomerization of carotenoids. When carotenoids were directly exposed to light, Z-isomers of carotenoids isomerized to the all-E-isomers [33,34]. On the other hand, when light irradiation was carried out with photosensitizers, such as chlorophyll a and erythrosine, Z-isomerization of (all-E)-carotenoids was promoted [35,36]. For example, when purified (all-E)-lycopene dissolved in hexane in the presence of erythrosine was irradiated at 480–600 nm for 1 h, the proportion of lycopene Z-isomers reached over 80% [36]. A few studies have demonstrated that electrolysis treatment promoted Z-isomerization of (all-E)-carotenoids such as β-carotene and canthaxanthin [37,38]. This electrochemical method shows very high efficiency and can prevent thermal degradation of carotenoids, e.g., approximately 50% of (all-E)-canthaxanthin was converted to the Z-isomers during 4–6 min of bulk electrolysis at 4 °C [37]. Catalytic Z-isomerization of (all-E)-carotenoids have been traditionally conducted using iodine [39,40,41]. More recently, it was reported that disulfide compounds [29,42,43], isothiocyanates, carbon disulfide [42], iron(III) chloride [44], titanium tetrachloride [45], and iodine-doped titanium dioxide [46] induced Z-isomerization of carotenoids. For example, when iron(III) chloride, which is usually used as a food additive for iron fortification, was used, greater isomerization (79.9%) could be attained by a 3-h reaction at 60 °C, with almost no degradation of lycopene [44]. Although catalyst utilization for carotenoid isomerization is a very efficient method, most catalysts, such as iodine and heavy metals, exert a negative impact on the human body and the environment. Hence, in industrial view, the discovery and use of low toxicity and environmentally sustainable catalysts, e.g., plant-derived natural catalysts such as disulfide compounds and isothiocyanates, will be of great importance [29,42,43,47,48,49]. As shown in Table 1, each Z-isomerization method has several advantages and disadvantages; consequently, it is necessary to select the appropriate Z-isomerization method according to the circumstances.
Table 1.
Summary of representative methods for Z-isomerization of carotenoids and their advantages and disadvantages.
3. Effect of Z-Isomerization on Bioavailability and Functionality of Carotenoids
Ample studies have addressed the alterations in bioavailability and functionality, such as antioxidant, anticancer, and antiatherosclerotic activities, of carotenoids by Z-isomerization (Table 2). Further, the alterations differed among carotenoids. Z-Isomers of lycopene and astaxanthin showed greater bioavailability than the all-E-isomers [22,23,25,50,51,52,53]. For example, investigation of the effect of red tomato juice (90% all-E-isomer lycopene) and tangerine tomato juice (94% Z-isomer lycopene) ingestion on plasma lycopene concentrations revealed that lycopene from tangerine tomato juice showed approximately 8.5-fold greater bioavailability than lycopene from red tomato juice [22]. On the other hand, some carotenoid Z-isomers, such as β-carotene and lutein, may be less bioavailable than the all-E-isomers [54,55,56,57,58,59,60,61,62]. In general, the bioavailability of carotenoids is very low because they are strongly bound to the food matrix and because of their physicochemical characteristics, such as low solubility, high crystallinity, and lipophilicity [4,13,14]. Thus, to improve the bioavailability of carotenoids contained in fruits and vegetables, physical treatments, such as high-pressure homogenization and ultrasound treatment, have been traditionally studied [63]. In some carotenoids, such as lycopene and astaxanthin, by combining chemical approaches such as Z-isomerization treatment and the above physical approaches, it may be possible to further improve the bioavailability.
Table 2.
Comparison of the bioavailability and functionality of all-E- and Z-isomers of carotenoids.
Depending on the assay method, many studies have reported that Z-isomers of carotenoids have equal or higher antioxidant capacity compared with the all-E-isomers [24,25,46,63,64,65,66,67,68,69,70]. Böhm et al. (2002) [64] reported that Z-isomers of lycopene exhibited approximately 1.2 times higher antioxidant capacities than the all-E-isomer in the Trolox equivalent antioxidant capacity (TEAC) assay. In heme-induced peroxidation of linoleic acid in mildly acidic emulsions, which mimics postprandial lipid oxidation in the gastric compartment (MbFeIII-LP) assay, (5Z)-lycopene showed approximately 3 times higher antioxidant capacity than the all-E-isomer [24]. In contrast, when antioxidant capacity was evaluated by the TEAC assay, (9Z)-zeaxanthin exhibited lower capacity than the all-E-isomer [64]. The degree of antioxidant capacity varied among Z-isomers, e.g., that of lutein isomers was higher in the order of 13Z-isomer > 9Z-isomer > all-E-isomer with the ferric reducing antioxidant power (FRAP) assay [62]. Carotenoid Z-isomers are likely to be superior to the all-E-isomers in preventative effects on atherosclerosis, cancer, and inflammatory [71,72,73,74,75,76]. For example, (9Z)-β-carotene contained in the microalgae Dunaliella sp. showed higher antiatherogenic [71] and antiatherosclerotic [72,73] activities than the all-E-isomer in mouse experiments. (9Z)-Canthaxanthin isolated from Dietzia sp. exhibited higher proapoptotic activity than the all-E-isomer in THP-1 macrophages [74]. Nakazawa et al. (2009) [75] reported that Z-isomers of fucoxanthin had greater anticancer activity than the all-E-isomer in human promyelocytic leukemia (HL-60) and colon cancer (Caco-2) cells. Very recently, Yang et al. (2019) [76] showed that Z-isomers of astaxanthin, especially the 9Z-isomer, exhibited greater antiinflammatory effect than the all-E-isomer by downregulating proinflammatory cytokines COX-2 and TNF-α gene expression, which was evaluated in a Caco-2 cell monolayer model. As another notable functional change by carotenoid Z-isomerization, Z-isomers of β-carotene, which is a very important retinol precursor with a high conversion rate, showed lower conversion efficiencies to retinol than the all-E-isomer [77,78]. The antiaging activity would also differ among astaxanthin isomers. Namely, the median lifespan of Caenorhabditis elegans fed with 9-Z-, 13-Z-, and all-E-isomers was observed to increase by 59.39%, 24.99%, and 30.43%, respectively [79]. Moreover, Fenni et al. (2019) [80] reported that lycopene isomers exert similar biological functions in adipocytes, linked to their ability to transactivate PPARγ. Since Z-isomerization had “positive” or “negative” effects on the bioavailability and functionality of carotenoids (Table 2), it is important to have a detailed understanding of the impact of E/Z-isomerization on corresponding functional changes.
4. Effect of Z-Isomerization on Physicochemical Properties of Carotenoids
The Z-isomerization of (all-E)-carotenoids induces change in physicochemical properties such as color, solubility, crystallinity, melting point, and stability. Z-Isomerization of carotenoids resulted in a shift in absorption to a shorter wavelength and a reduction in the molar extinction coefficient and color value [27,46,82,83]. For example, Jing et al. (2012) [83] reported that maximum absorption wavelengths of (all-E)-, (9Z)-, and (13Z)-β-carotene were 451.4, 446.4, and 439.1 nm, respectively. The molar extinction coefficients of (all-E)-, (9Z)-, and (13Z)-lycopene at the maximum absorption wavelengths were 182 × 103, 164 × 103, and 137 × 103 M−1 cm−1, respectively [27]. In fact, tomatoes rich in (all-E)-lycopene show a red color, whereas tomatoes rich in the Z-isomers, known as tangerine tomatoes, show an orange color [22].
Several studies reported that Z-isomers of carotenoids had much higher solubility than the all-E-isomers in organic solvents, oils, and SC-CO2 [13,14,18,19,20,21,84,85]. Although the solubility of (all-E)-lycopene in ethanol, acetone, ethyl acetate, and hexane was 0.6, 42.7, 145.3, and 25.6 mg/mL, respectively, that of lycopene containing 75.6% Z-isomers was 2401.7, 3702.9, 3961.1, and 3765.2 mg/mL, respectively [13]. Namely, in the case of ethanol, which is frequently used for food processing such as extraction and purification, the solubility of lycopene Z-isomers was over 4000 times higher than that of the all-E-isomer. Also, in SC-CO2, the solubility of (9Z)-β-carotene was nearly four times higher than that of the all-E-isomer [84], and lycopene Z-isomers also showed higher solubility than the all-E-isomer [19,21]. The increased solubility of carotenoids by Z-isomerization is likely to be associated with changes in bioavailability. Generally, carotenoids are absorbed from the duodenum and prior to the absorption they are incorporated into bile acid micelles [86]. Thus, since carotenoid Z-isomers may have higher solubility in bile acid than all-E-isomers, they are preferentially incorporated into enterocytes and show higher bioavailability [51,87]. On the other hand, Z-isomers of β-carotene exhibit lower bioavailability in humans than the all-E-isomer [54,55,56,57,58]. Several proteins, which are temporarily present at the apical membrane of the duodenum, mediate selective carotenoid uptake [86]. Therefore, β-carotene Z-isomers may be efficiently incorporated into bile acid micelles due to their high solubility, but may have lower transport efficiency in the duodenum than the all-E-isomer. In vitro experiments using Caco-2 cells strongly support the above hypothesis. Namely, Z-isomers of lycopene and astaxanthin showed higher cellular uptake efficiency than the all-E-isomers [25,52], while the opposite result was obtained for β-carotene [61]. Similarly, Yang et al. (2018) [62] reported that in vitro experiments using a digestion model shown higher bioaccessibility of lutein Z-isomers than the all-E-isomer, while a Caco-2 cell monolayer model revealed lower bioavailability.
Z-Isomerization of carotenoids affects the crystallinity. Murakami et al. (2017) [13] and Honda et al. (2018) [14] experimentally revealed that increases in the Z-isomer content of lycopene, β-carotene, and astaxanthin was related to a reduction in crystallinity, i.e., scanning electron microscopy (SEM), differential scanning calorimetry (DSC), and powder X-ray diffraction (XRD) analyses clearly demonstrated that (all-E)-carotenoids were present in a crystal state, while Z-isomers were present in an amorphous state. Carotenoids have multiple conjugated double bonds in the molecule, resulting in strong π–π stacking interactions between molecules. For this reason, carotenoids have high crystallinity. However, the presence of Z-isomers is suggested to lead to enormous steric hindrance and decrease the potential attractive π–π forces, thus affecting the crystallinity [13,88]. Generally, carotenoids in fresh plants occur predominantly in the (all-E)-configuration, and (all-E)-carotenoids are present in the crystal state. On the other hand, some plants, such as tangerine tomato and peach palm (Bactris gasipaes Kunth), contain high amounts of carotenoid Z-isomers that are present in an oily aggregate form [22,89]. Similarly, 9Z-isomer-rich β-carotene contained in Dunaliella was in the oily form [90].
The melting point of carotenoids was altered by Z-isomerization, i.e., increases in the Z-isomer content were associated with a lower melting point [13,14,85,91]. For example, the melting point of (all-E)-lycopene and lycopene containing 23.8, 46.9, and 75.6% Z-isomers was 174.4, 173.7, 170.0, and 162.3 °C, respectively, as measured by DSC [13].
The stability of carotenoids varies among isomers, i.e., (all-E)-carotenoids had higher stability than the Z-isomers. Several studies investigated the stability of carotenoid isomers using a Gaussian program and revealed that Gibbs free energy differed among the isomers [82,92,93,94]. For example, Takehara et al. (2015) [93] reported that the relative stability of lycopene isomers was in the following order; all-E-isomer ≈ 5Z-isomer > 9Z-isomer > 13Z-isomer > 15Z-isomer, and Guo et al. (2008) [94] reported that the relative stability of β-carotene isomers was in the following order; all-E-isomer > 9Z-isomer > 13Z-isomer > 15Z-isomer > 7Z-isomer ≈ 11Z-isomer. Murakami et al. (2018) [33] experimentally confirmed the above for lycopene. Furthermore, they investigated the stability of lycopene isomers against light irradiation, and the stability was in the following order; all-E-isomer ≈ 5Z-isomer > 9Z-isomer > 13Z-isomer > multi-Z-isomers. As for lycopene Z-isomers, the 5Z-isomer showed the highest stability against heat and light. In addition, (5Z)-lycopene would have higher antioxidant capacity [24] and bioavailability [95] compared with the all-E-isomer and possibly the 9Z- and 13Z-isomers. Therefore, it is important to develop a facile procedure for lycopene isomerization from the all-E-isomer to the 5Z-isomer.
The differences in physicochemical properties between (all-E)-carotenoids and Z-isomers are summarized in Table 3. A systematic understanding of these carotenoid properties is likely to be important in the analysis, processing, and so on.
Table 3.
Differences in physicochemical properties between (all-E)-carotenoids and Z-isomers.
5. Improvement of Carotenoid Processing Efficiency by Z-Isomerization
In recent years, due to the discovery of altered physicochemical properties of carotenoids by Z-isomerization, efforts to improve the efficiency of carotenoid processing by exploiting these alterations has attracted attention. In particular, carotenoid processing using a safe and sustainable solvent—SC-SO2—as a mediator is being actively studied. Since natural carotenoids, the all-E-isomer, exhibit very low solubility in SC-SO2, there is a high hurdle for its industrial use in carotenoid processing. However, utilizing alterations in the physical properties by Z-isomerization represents a breakthrough. In this section, we introduce recent studies of carotenoid processing (extraction, micronization, and emulsification) utilizing alterations in solubility and crystallinity of carotenoids by Z-isomerization.
5.1. Improvement of Carotenoid Extraction
Generally, commercially available natural carotenoids, which are obtained from plants and microorganisms by solvent extraction and utilized for supplements, food colorants, and cosmetics, are very expensive [96,97,98,99]. This is because carotenoids in plants and microorganisms accumulate predominantly in the all-E-configuration, whose isomers have low solubility in solvents, resulting in very low extraction efficiencies. For example, extraction of lycopene from tomato pulp with ethanol and SC-CO2 showed a recovery of only 6.3 and 6.5%, respectively [19]. However, when the extractions were conducted after Z-isomerization treatment, the recovery was notably improved to 75.9 and 27.6%, respectively [19]. More specifically, the total Z-isomer content of lycopene in tomato pulp was 8.8%, whereas it increased to 75.7% by heating at 150 °C for 1 h with a small amount (1 wt%) of olive oil. After ethanol extraction of lycopene from the Z-isomer-rich tomato pulp, the obtained extract had a very high Z-isomer content (93.5%), while almost all lycopene in the extraction residue was the all-E-isomer. These results strongly indicated that lycopene Z-isomers have higher solubility in solvents than the all-E-isomer; thus, the extraction efficiency was improved. In addition, since the Z-isomer content of carotenoids in the obtained extract was improved by Z-isomerization pretreatment, the treatment is effective not only for the production of carotenoid concentrates but also for increasing the bioavailability and functionality of carotenoids (Figure 2). The improved extraction efficiency was also confirmed in gac (M. cochinchinensis Spreng.) aril [18]. Gac is a tropical vine originating from South and South-East Asia and belongs to the Cucurbitaceae family, and the aril (seed membrane) contains a very high amount of lycopene [100,101]. Since gac aril contains a large amount of oil (18–34% of dry weight) rich in lycopene, lycopene is often obtained by press extraction with the oil [102]. Although more than 90% of lycopene exists as the all-E-isomer in gac aril, the total Z-isomer content increased by 58.5% with microwave irradiation at 1050 W for 60 s. When lycopene was obtained by press extraction with gac oil from non-microwave pretreated and treated gac aril, lycopene contents in the obtained oils were 160.6 and 1365.9 mg/100 g, respectively. Thus, Z-isomers of carotenoids show higher solubility in oils than the all-E-isomer. Moreover, Z-isomerization pretreatment of gac aril was also effective for lycopene extraction using ethanol and SC-CO2. For example, when lycopene was extracted using SC-CO2 from the non-treated gac aril, the lycopene content in the extract was only 76.6 mg/100 g, whereas Z-isomerization pretreatment by microwave irradiation resulted in a lycopene content of 342.0 mg/100 g. As the extraction efficiency of carotenoids is improved by Z-isomerization pretreatment, the development of efficient Z-isomerization methods for carotenoids in plants is very important in the future. On the other hand, several plants and microalgae such as tangerine tomato and Dunaliella contain a high amount of carotenoid Z-isomers [22,71,72]. Thus, carotenoids should be efficiently extracted using these raw materials. In fact, Gamlieli-Bonshtein et al. (2002) [84] reported that (9Z)-β-carotene in Dunaliella exhibited nearly 4 times higher extraction efficiency by SC-CO2 than the all-E-isomer. Pretreatments of samples by physical and chemical approaches such as grinding, osmotic shock, bead-beating, high-pressure homogenization, and enzymatic treatment are effective in releasing carotenoids from complex matrices, and have been performed in basic and applied studies [103,104]. On the other hand, Z-isomerization pretreatment is a new technology reported very recently. By combing traditional physical and chemical pretreatments and Z-isomerization pretreatment, further improvement of carotenoid extraction can be expected. In addition, when the Z-isomerization pretreatment is used in combination with several extraction technique, such as pulsed electric field-assisted extraction, microwave-assisted extraction, and ultrasonic-assisted extraction, synergistic effects are expected [105,106,107,108,109].
Figure 2.
Schematic chart showing extraction of lycopene from plant material by solvents in the case of using (all-E)-lycopene and lycopene Z-isomers as the raw materials [18,19].
5.2. Improvement of Carotenoid Micronization
Ample studies have reported that micronization of carotenoids results in their increased bioavailability [110,111]. Generally, carotenoid micronization is conducted by milling, grinding, and chemical precipitation [112,113,114]. However, there are some concerns regarding the above conventional methods, as carotenoids are easily decomposed by friction heat and oxygen contact. In addition, when using chemical processes, toxic organic solvents may remain. Thus, in recent years, micronization of carotenoids using SC-CO2 has attracted increasing attention. Since CO2 is nontoxic and has a low critical temperature (Tc = 31.1 °C), it is suitable for heat-sensitive materials such as carotenoids, and SC-CO2 is easily separated from the products along with the toxic organic solvent [115,116]. To the best of our knowledge, improved micronization efficiency of carotenoids utilizing alterations in the physicochemical properties by Z-isomerization has been reported only for the method using SC-CO2 [117]. Particle micronization techniques using SC-CO2, supercritical antisolvent (SAS), solution-enhanced dispersion by supercritical fluids (SEDS), rapid expansion of supercritical solutions (RESS), gas antisolvent (GAS), supercritical fluid extraction of emulsions (SFEE), and particles from gas saturated solutions (PGSS) have been well-documented [118,119,120,121,122]. Several studies have examined the micronization of carotenoids using the above techniques; however, there was difficulty in obtaining nano-sized carotenoid particles [123,124,125]. For example, Tavares-Cardoso et al. (2009) [125] conducted micronization of (all-E)-β-carotene using a SAS process under various conditions; however, nano-sized β-carotene particles could not be obtained. This is likely because of the high crystallinity of carotenoids. On the other hand, Kodama et al. (2018) [117] successfully prepared nano-sized lycopene by SEDS precipitation using lycopene Z-isomers as the raw material. Namely, when using (all-E)-lycopene as the raw material, particles having an average size of 3.6 μm were obtained, whereas when using lycopene containing 97.8% Z-isomers, uniformly sized particles of an average size of 75 nm were obtained (Figure 3). The reason why nanoparticles were successfully formed from Z-isomers is due to the low crystallinity compared with the all-E-isomer. In addition, little has been reported on carotenoid micronization using RESS precipitation: the substance, which must be reduced in size, is dissolved in pure SC-CO2 and then the solution is suddenly depressurized through a nozzle and expands inside a chamber under lower pressure. This would be because carotenoids have extremely low solubility in pure SC-CO2. However, as Z-isomers of carotenoids have relatively high solubility in SC-CO2 [18,19,21,84], the Z-isomers would successfully form nano-sized particles by RESS precipitation, representing a micronization method without the use of organic solvents.
Figure 3.
Schematic chart showing preparation of lycopene particles with supercritical CO2 (solution-enhanced dispersion by supercritical fluids), using (all-E)-lycopene and lycopene Z-isomers as the raw materials [117].
5.3. Improvement of Carotenoid Emulsification
In recent years, as carotenoids are safe natural pigments that have health enhancing effects, their demand by the food industry is continuously increasing [126,127]. However, the low water solubility of carotenoids has made their use problematic for food formulations, limiting the favorable effects of carotenoids. Furthermore, the low water solubility of carotenoids reduces their bioavailability [128,129]. Therefore, improved dispersibility in water by emulsification is very important for the food industry and acts to increase their bioavailability. It is preferred that the suspended preparation contains nano-sized particles for higher dispersibility and bioavailability [111,130]. To obtain nanosuspensions of carotenoids, the following emulsification–evaporation technique is frequently used [131,132,133]: (1) Dissolution of carotenoids in an organic phase; (2) Distribution processing of the solution with water containing an emulsifier; (3) Solvent evaporation under reduced pressure. In this technique, it is important to select an appropriate distribution processing method, e.g., ultrasound treatment, high-speed homogenization, high-pressure homogenization, and microfluidizer treatment [131,132,133,134,135,136]. In addition, the selection of a solvent that can dissolve the target carotenoid is also a very important factor to efficiently produce carotenoid emulsions. However, since the degree of carotenoid solubility in safe and sustainable solvents, such as ethanol and supercritical SC-CO2, is very low [14,18,19,21,84], toxic solvents are used in many cases. To improve the emulsification efficiency of carotenoids using the sustainable solvent SC-CO2, Ono et al. (2018) [20] focused on increased carotenoid solubility in solvents by Z-isomerization. Namely, they investigated the impact of Z-isomer content on the production of β-carotene suspensions by the emulsification–evaporation technique. As the organic phase, they used SC-CO2 (Figure 4). When β-carotene rich in Z-isomers (79.1% of total β-carotene) was used as the raw material, the encapsulated β-carotene content was notably increased compared with the all-E-isomer. For example, the encapsulated β-carotene content was 21.2 times higher after emulsification treatment by ultrasound at 45 kHz for 60 min. In addition, when (all-E)-β-carotene was used as the raw material, the mean particle size of the obtained suspension was approximately 700 nm, whereas that of β-carotene rich in Z-isomers was approximately 100 nm. Thus, Z-isomerization treatment before distributed processing is effective for the preparation of carotenoid suspensions by the emulsification–evaporation technique. However, the storage stability of a Z-isomer-rich β-carotene suspension was lower than that of all-E-isomer-rich one, possibly due to increases in the contact area with oxygen as the particle size decreased [20]. For practical application of this suspension preparation technique, establishment of a method to increase the storage stability of carotenoid Z-isomers is essential.
Figure 4.
Schematic chart showing preparation of β-carotene suspensions by emulsification–evaporation technique with SC-CO2, using (all-E)-β-carotene and β-carotene Z-isomers as the raw materials [20].
6. Conclusions and Future Perspectives
This review summarizes alterations in the physicochemical properties (color value, solubility, crystallinity, melting point, and stability) of carotenoids by Z-isomerization and their application for carotenoid processing (extraction, micronization, and emulsification), specifically using a green and sustainable solvent—SC-CO2—and presents typical Z-isomerization methods and the effect of Z-isomerization on the bioavailability and functionality of carotenoids. As the method for Z-isomerization of carotenoids, heat treatment, microwave treatment, light irradiation, electrolysis treatment, and catalytic treatment have been well reported. Since these Z-isomerization methods have several advantages and disadvantages, it is necessary to select the appropriate Z-isomerization method according to the circumstances. Ample studies have demonstrated that Z-isomerization of carotenoid affected the bioavailability, antioxidant capacity, and functionalities such as anticancer activity and antiinflammatory activity and often offered positive impacts on human. The Z-isomerization also induces changes in the physicochemical properties of carotenoids, such as solubility and crystallinity. Namely, the solubility in organic solvents, SC-CO2, and oils dramatically is enhanced and crystallinity is reduced by Z-isomerization. Since the (all-E)-carotenoid, which is a predominant isomer in plants and synthetic ingredients, has very low solubility in SC-CO2, its industrial use in carotenoid processing faces a very high hurdle. However, it is highly expected that this impediment could be improved by utilizing the alterations in physicochemical properties of carotenoids by Z-isomerization. Carotenoid processing utilizing Z-isomerization and the expected application of Z-isomer-rich carotenoid materials are summarized in Figure 5. Plants and microalgae rich in carotenoid Z-isomers would be applicable as raw materials for the efficient extraction of carotenoids using solvents such as SC-CO2, for use in health foods, food colorants, and animal feed. The obtained extract rich in carotenoid Z-isomers is expected to be applied to the production of supplements and food colorants with high carotenoid bioavailability and functionality. When safe and sustainable extraction solvents, such as ethanol and supercritical CO2, are employed, the value of the extract is anticipated to increase. Furthermore, utilization of carotenoid Z-isomer-rich extracts as the raw material is expected to increase the production and quality of nano-sized carotenoids and carotenoid emulsions. The obtained nano-sized carotenoids and carotenoid emulsions rich in Z-isomers are expected to be utilized as supplements, food colorants, and cosmetics. In addition, alterations in the physicochemical properties of carotenoids by Z-isomerization may be beneficial for the production of microcapsules prepared using carotenoid-containing liposomes. The studies on increasing efficiency of carotenoid processing by Z-isomerization pretreatment has just started in recent years. Thus, there is still considerable room for the development of this research field. Fundamental study of this technology will be actively conducted in the future and practical applications are expected.
Figure 5.
Increased efficiency of carotenoids processing by Z-isomerization and applications of Z-isomer-rich carotenoids materials.
Author Contributions
Conceptualization, M.H., T.F., and M.G.; Writing—Original Draft Preparation, M.H.; Writing—Review & Editing, M.H., H.K., T.H., T.F., and M.G.; Revisions & Final editing, M.H., H.K., T.H., Y.Z., W.D., H.K., R.Y., R.T., T.F., and M.G.
Funding
This work was partly supported by JSPS KAKENHI Grant Number 19K15779 (to M.H.) and the Tatematsu Foundation (to M.H.).
Acknowledgments
The authors are grateful to Tsutomu Kumagai, Chitoshi Kitamura, Yoshinori Inoue, and Munenori Takehara (Department of Materials Science, The University of Shiga Prefecture), and Hiroyuki Ueda, Takuma Higashiura, and Kohei Ichihashi (Innovation Division, Kagome Co., Ltd.) for their kind help and constructive suggestions.
Conflicts of Interest
The authors declare no conflicts of interest.
References
- Maoka, T. Recent progress in structural studies of carotenoids in animals and plants. Arch. Biochem. Biophys. 2009, 483, 191–195. [Google Scholar] [CrossRef] [PubMed]
- Maoka, T. Carotenoids in marine animals. Mar. Drugs 2011, 9, 278–293. [Google Scholar] [CrossRef] [PubMed]
- Podsędek, A. Natural antioxidants and antioxidant capacity of Brassica vegetables: A review. LWT-Food Sci. Technol. 2007, 40, 1–11. [Google Scholar] [CrossRef]
- Rodriguez-Concepcion, M.; Avalos, J.; Bonet, M.L.; Boronat, A.; Gomez-Gomez, L.; Hornero-Mendez, D.; Limon, M.C.; Meléndez-Martínez, A.J.; Olmedilla-Alonso, B.; Palou, A.; et al. A global perspective on carotenoids: Metabolism, biotechnology, and benefits for nutrition and health. Prog. Lipid Res. 2018, 70, 62–93. [Google Scholar] [CrossRef] [PubMed]
- Yabuzaki, J. Carotenoids database: Structures, chemical fingerprints and distribution among organisms. Database 2017, 2017, bax004. [Google Scholar] [CrossRef] [PubMed]
- Amorim-Carrilho, K.T.; Cepeda, A.; Fente, C.; Regal, P. Review of methods for analysis of carotenoids. TrAC Trends Anal. Chem. 2014, 56, 49–73. [Google Scholar] [CrossRef]
- Krinsky, N.I.; Johnson, E.J. Carotenoid actions and their relation to health and disease. Mol. Asp. Med. 2005, 26, 459–516. [Google Scholar] [CrossRef]
- Ouchi, A.; Aizawa, K.; Iwasaki, Y.; Inakuma, T.; Terao, J.; Nagaoka, S.; Mukai, K. Kinetic study of the quenching reaction of singlet oxygen by carotenoids and food extracts in solution. Development of a singlet oxygen absorption capacity (SOAC) assay method. J. Agric. Food Chem. 2010, 58, 9967–9978. [Google Scholar] [CrossRef]
- Xu, X.R.; Zou, Z.Y.; Huang, Y.M.; Xiao, X.; Ma, L.; Lin, X.M. Serum carotenoids in relation to risk factors for development of atherosclerosis. Clin. Biochem. 2012, 45, 1357–1361. [Google Scholar] [CrossRef]
- Schierle, J.; Bretzel, W.; Bühler, I.; Faccin, N.; Hess, D.; Steiner, K.; Schüep, W. Content and isomeric ratio of lycopene in food and human blood plasma. Food Chem. 1997, 59, 459–465. [Google Scholar] [CrossRef]
- Van Breemen, R.B.; Xu, X.; Viana, M.A.; Chen, L.; Stacewicz-Sapuntzakis, M.; Duncan, C.; Bowen, P.E.; Sharifi, R. Liquid chromatography-mass spectrometry of cis-and all-trans-lycopene in human serum and prostate tissue after dietary supplementation with tomato sauce. J. Agric. Food Chem. 2002, 50, 2214–2219. [Google Scholar] [CrossRef]
- Honda, M.; Murakami, K.; Watanabe, Y.; Higashiura, T.; Fukaya, T.; Wahyudiono; Kanda, H.; Goto, M. The E/Z isomer ratio of lycopene in foods and effect of heating with edible oils and fats on isomerization of (all-E)-lycopene. Eur. J. Lipid Sci. Technol. 2017, 119, 1600389. [Google Scholar] [CrossRef]
- Murakami, K.; Honda, M.; Takemura, R.; Fukaya, T.; Kubota, M.; Wahyudiono; Kanda, H.; Goto, M. The thermal Z-isomerization-induced change in solubility and physical properties of (all-E)-lycopene. Biochem. Biophys. Res. Commun. 2017, 491, 317–322. [Google Scholar] [CrossRef]
- Honda, M.; Kodama, T.; Kageyama, H.; Hibino, T.; Wahyudiono; Kanda, H.; Goto, M. Enhanced solubility and reduced crystallinity of carotenoids, β-carotene and astaxanthin, by Z-Isomerization. Eur. J. Lipid Sci. Technol. 2018, 120, 1800191. [Google Scholar] [CrossRef]
- Clarke, C.J.; Tu, W.C.; Levers, O.; Bröhl, A.; Hallett, J.P. Green and sustainable solvents in chemical processes. Chem. Rev. 2018, 118, 747–800. [Google Scholar] [CrossRef]
- Procopio, A.; Alcaro, S.; Nardi, M.; Oliverio, M.; Ortuso, F.; Sacchetta, P.; Pieragostino, D.; Sindona, G. Synthesis, biological evaluation, and molecular modeling of oleuropein and its semisynthetic derivatives as cyclooxygenase inhibitors. J. Agric. Food Chem. 2009, 57, 11161–11167. [Google Scholar] [CrossRef]
- Nardi, M.; Sindona, G.; Costanzo, P.; Oliverio, M.; Procopio, A. Eco-friendly stereoselective reduction of α,β-unsaturated carbonyl compounds by Er(OTf)3/NaBH4 in 2-MeTHF. Tetrahedron 2015, 71, 1132–1135. [Google Scholar] [CrossRef]
- Honda, M.; Watanabe, Y.; Murakami, K.; Hoang, N.N.; Wahyudiono; Kanda, H.; Goto, M. Enhanced lycopene extraction from gac (Momordica cochinchinensis Spreng.) by the Z-isomerization induced with microwave irradiation pre-treatment. Eur. J. Lipid Sci. Technol. 2018, 120, 1700293. [Google Scholar] [CrossRef]
- Honda, M.; Watanabe, Y.; Murakami, K.; Takemura, R.; Fukaya, T.; Wahyudiono; Kanda, H.; Goto, M. Thermal isomerization pre-treatment to improve lycopene extraction from tomato pulp. LWT-Food Sci. Technol. 2017, 86, 69–75. [Google Scholar] [CrossRef]
- Ono, M.; Honda, M.; Wahyudiono; Yasuda, K.; Kanda, H.; Goto, M. Production of β-carotene nanosuspensions using supercritical CO2 and improvement of its efficiency by Z-isomerization pre-treatment. J. Supercrit. Fluids 2018, 138, 124–131. [Google Scholar] [CrossRef]
- Watanabe, Y.; Honda, M.; Higashiura, T.; Fukaya, T.; Machmudah, S.; Wahyudiono; Kanda, H.; Goto, M. Rapid and selective concentration of lycopene Z-isomers from tomato pulp by supercritical CO2 with co-solvents. Solvent Extr. Res. Dev. 2018, 25, 47–57. [Google Scholar] [CrossRef]
- Cooperstone, J.L.; Ralston, R.A.; Riedl, K.M.; Haufe, T.C.; Schweiggert, R.M.; King, S.A.; Timmers, C.D.; Francis, D.M.; Lesinski, G.B.; Clinton, S.K.; et al. Enhanced bioavailability of lycopene when consumed as cis-isomers from tangerine compared to red tomato juice, a randomized, cross-over clinical trial. Mol. Nutr. Food Res. 2015, 59, 658–669. [Google Scholar] [CrossRef]
- Østerlie, M.; Bjerkeng, B.; Liaaen-Jensen, S. Plasma appearance and distribution of astaxanthin E/Z and R/S isomers in plasma lipoproteins of men after single dose administration of astaxanthin. J. Nutr. Biochem. 2000, 11, 482–490. [Google Scholar] [CrossRef]
- Müller, L.; Goupy, P.; Fröhlich, K.; Dangles, O.; Caris-Veyrat, C.; Böhm, V. Comparative study on antioxidant activity of lycopene (Z)-isomers in different assays. J. Agric. Food Chem. 2011, 59, 4504–4511. [Google Scholar] [CrossRef]
- Yang, C.; Zhang, H.; Liu, R.; Zhu, H.; Zhang, L.; Tsao, R. Bioaccessibility, cellular uptake, and transport of astaxanthin isomers and their antioxidative effects in human intestinal epithelial Caco-2 cells. J. Agric. Food Chem. 2017, 65, 10223–10232. [Google Scholar] [CrossRef]
- Aman, R.; Schieber, A.; Carle, R. Effects of heating and illumination on trans-cis isomerization and degradation of β-carotene and lutein in isolated spinach chloroplasts. J. Agric. Food Chem. 2005, 53, 9512–9518. [Google Scholar] [CrossRef]
- Honda, M.; Takahashi, N.; Kuwa, T.; Takehara, M.; Inoue, Y.; Kumagai, T. Spectral characterisation of Z-isomers of lycopene formed during heat treatment and solvent effects on the E/Z isomerisation process. Food Chem. 2015, 17, 323–329. [Google Scholar] [CrossRef]
- Yuan, J.P.; Chen, F. Isomerization of trans-astaxanthin to cis-isomers in organic solvents. J. Agric. Food Chem. 1999, 47, 3656–3660. [Google Scholar] [CrossRef]
- Honda, M.; Sato, H.; Takehara, M.; Inoue, Y.; Kitamura, C.; Takemura, R.; Fukaya, T.; Wahyudiono; Kanda, H.; Goto, M. Microwave-accelerated Z-isomerization of (all-E)-lycopene in tomato oleoresin and enhancement of the conversion by vegetable oils containing disulfide compounds. Eur. J. Lipid Sci. Technol. 2018, 120, 180060. [Google Scholar] [CrossRef]
- Kessy, H.N.; Zhang, L.; Zhang, H. Lycopene (Z)-isomers enrichment and separation. Int. J. Food Sci. Technol. 2013, 48, 2050–2056. [Google Scholar] [CrossRef]
- Zhao, L.; Zhao, G.; Chen, F.; Wang, Z.; Wu, J.; Hu, X. Different effects of microwave and ultrasound on the stability of (all-E)-astaxanthin. J. Agric. Food Chem. 2006, 54, 8346–8351. [Google Scholar] [CrossRef]
- Chen, B.H.; Chen, Y.Y. Stability of chlorophylls and carotenoids in sweet potato leaves during microwave cooking. J. Agric. Food Chem. 1993, 41, 1315–1320. [Google Scholar] [CrossRef]
- Murakami, K.; Honda, M.; Takemura, R.; Fukaya, T.; Wahyudiono; Kanda, H.; Goto, M. Effect of thermal treatment and light irradiation on the stability of lycopene with high Z-isomers content. Food Chem. 2018, 250, 253–258. [Google Scholar] [CrossRef]
- Kuki, M.; Koyama, Y.; Nagae, H. Triplet-sensitized and thermal isomerization of all-trans, 7-cis, 9-cis, 13-cis and 15-cis isomers of β-carotene: Configurational dependence of the quantum yield of isomerization via the T1 state. J. Phys. Chem. 1991, 95, 7171–7180. [Google Scholar] [CrossRef]
- Jensen, N.H.; Nielsen, A.B.; Wilbrandt, R. Chlorophyll a-sensitized trans-cis photoisomerization of all-trans-β-carotene. J. Am. Chem. Soc. 1982, 104, 6117–6119. [Google Scholar] [CrossRef]
- Honda, M.; Igami, H.; Kawana, T.; Hayashi, K.; Takehara, M.; Inoue, Y.; Kitamura, C. Photosensitized E/Z isomerization of (all-E)-lycopene aiming at practical applications. J. Agric. Food Chem. 2014, 62, 11353–11356. [Google Scholar] [CrossRef]
- Wei, C.C.; Gao, G.; Kispert, L.D. Selected cis/trans isomers of carotenoids formed by bulk electrolysis and iron(III) chloride oxidation. J. Chem. Soc. Perkin Trans. 1997, 2, 783–786. [Google Scholar] [CrossRef]
- Gao, G.; Wei, C.C.; Jeevarajan, A.S.; Kispert, L.D. Geometrical isomerization of carotenoids mediated by cation radical/dication formation. J. Phys. Chem. 1996, 100, 5362–5366. [Google Scholar] [CrossRef]
- Wyman, G.M. The cis-trans isomerization of conjugated compounds. Chem. Rev. 1955, 55, 625–657. [Google Scholar] [CrossRef]
- Zechmeister, L. Cis-trans isomerization and stereochemistry of carotenoids and diphenyl-polyenes. Chem. Rev. 1944, 34, 267–344. [Google Scholar] [CrossRef]
- Molnár, P. Research of the (E/Z)-isomerization of carotenoids in Pécs since the 1970s. Arch. Biochem. Biophys. 2009, 483, 156–164. [Google Scholar] [CrossRef]
- Honda, M.; Kageyama, H.; Hibino, T.; Takemura, R.; Goto, M.; Fukaya, T. Enhanced Z-isomerization of tomato lycopene through the optimal combination of food ingredients. Sci. Rep. 2019, 9, 7979. [Google Scholar] [CrossRef]
- Yu, J.; Gleize, B.; Zhang, L.; Caris-Veyrat, C.; Renard, C.M.G.C. Heating tomato puree in the presence of lipids and onion: The impact of onion on lycopene isomerization. Food Chem. 2019, 296, 9–16. [Google Scholar] [CrossRef]
- Honda, M.; Kawana, T.; Takehara, M.; Inoue, Y. Enhanced E/Z isomerization of (all-E)-lycopene by employing iron(III) chloride as a catalyst. J. Food Sci. 2015, 80, C1453–C1459. [Google Scholar] [CrossRef]
- Rajendran, V.; Chen, B.H. Isomerization of β-carotene by titanium tetrachloride catalyst. J. Chem. Sci. 2007, 119, 253–258. [Google Scholar] [CrossRef]
- Yang, C.; Zhang, L.; Zhang, H.; Sun, Q.; Liu, R.; Li, J.; Wu, L.; Tsao, R. Rapid and efficient conversion of all-E-astaxanthin to 9Z-and 13Z-isomers and assessment of their stability and antioxidant activities. J. Agric. Food Chem. 2017, 65, 818–826. [Google Scholar] [CrossRef]
- Hechelski, M.; Ghinet, A.; Louvel, B.; Dufrénoy, P.; Rigo, B.; Daïch, A.; Waterlot, C. From conventional Lewis acids to heterogeneous montmorillonite K10: Eco-friendly plant-based catalysts used as green Lewis acids. ChemSusChem 2018, 11, 1249–1277. [Google Scholar] [CrossRef]
- Nardi, M.; Bonacci, S.; Cariati, L.; Costanzo, P.; Oliverio, M.; Sindona, G.; Procopio, A. Synthesis and antioxidant evaluation of lipophilic oleuropein aglycone derivatives. Food Funct. 2017, 8, 4684–4692. [Google Scholar] [CrossRef]
- Oliverio, M.; Nardi, M.; Costanzo, P.; Di Gioia, M.; Procopio, A. Erbium salts as non-toxic catalysts compatible with alternative reaction media. Sustainability 2018, 10, 721. [Google Scholar] [CrossRef]
- Unlu, N.Z.; Bohn, T.; Francis, D.M.; Nagaraja, H.N.; Clinton, S.K.; Schwartz, S.J. Lycopene from heat-induced cis-isomer-rich tomato sauce is more bioavailable than from all-trans-rich tomato sauce in human subjects. Br. J. Nutr. 2007, 98, 140–146. [Google Scholar] [CrossRef]
- Boileau, A.C.; Merchen, N.R.; Wasson, K.; Atkinson, C.A.; Erdman, J.W., Jr. Cis-lycopene is more bioavailable than trans-lycopene in vitro and in vivo in lymph-cannulated ferrets. J. Nutr. 1999, 129, 1176–1181. [Google Scholar] [CrossRef]
- Failla, M.L.; Chitchumroonchokchai, C.; Ishida, B.K. In vitro micellarization and intestinal cell uptake of cis isomers of lycopene exceed those of all-trans lycopene. J. Nutr. 2008, 138, 482–486. [Google Scholar] [CrossRef]
- Sun, Q.; Yang, C.; Li, J.; Raza, H.; Zhang, L. Lycopene: Heterogeneous catalytic E/Z isomerization and in vitro bioaccessibility assessment using a diffusion model. J. Food Sci. 2016, 81, C2381–C2389. [Google Scholar] [CrossRef]
- Gaziano, J.M.; Johnson, E.J.; Russell, R.M.; Manson, J.E.; Stampfer, M.J.; Ridker, P.M.; Frei, B.; Hennekens, C.H.; Krinsky, N.I. Discrimination in absorption or transport of β-carotene isomers after oral supplementation with either all-trans- or 9-cis-β-carotene. Am. J. Clin. Nutr. 1995, 61, 1248–1252. [Google Scholar] [CrossRef]
- Johnson, E.J.; Krinsky, N.I.; Russell, R.M. Serum response of all-trans and 9-cis isomers of β-carotene in humans. J. Am. Coll. Nutr. 1996, 15, 620–624. [Google Scholar] [CrossRef]
- Stahl, W.; Schwarz, W.; von Laar, J.; Sies, H. All-trans β-carotene preferentially accumulates in human chylomicrons and very low density lipoproteins compared with the 9-cis geometrical isomer. J. Nutr. 1995, 125, 2128–2133. [Google Scholar] [CrossRef]
- Stahl, W.; Schwarz, W.; Sies, H. Human serum concentrations of all-trans β- and α-carotene but not 9-cis β-carotene increase upon ingestion of a natural isomer mixture obtained from Dunaliella salina (Betatene). J. Nutr. 1993, 123, 847–851. [Google Scholar] [CrossRef]
- Tamai, H.; Morinobu, T.; Murata, T.; Manago, M.; Mino, M. 9-cis β-Carotene in human plasma and blood cells after ingestion of β-carotene. Lipids 1995, 30, 493–498. [Google Scholar] [CrossRef]
- Erdman Jr, J.W.; Thatcher, A.J.; Hofmann, N.E.; Lederman, J.D.; Block, S.S.; Lee, C.M.; Mokady, S. All-trans β-carotene is absorbed preferentially to 9-cis β-carotene, but the latter accumulates in the tissues of domestic ferrets (Mustela putorius puro). J. Nutr. 1998, 128, 2009–2013. [Google Scholar] [CrossRef]
- Deming, D.M.; Teixeira, S.R.; Erdman Jr, J.W. All-trans β-carotene appears to be more bioavailable than 9-cis or 13-cis β-carotene in gerbils given single oral doses of each isomer. J. Nutr. 2002, 132, 2700–2708. [Google Scholar] [CrossRef]
- During, A.; Hussain, M.M.; Morel, D.W.; Harrison, E.H. Carotenoid uptake and secretion by CaCo-2 cells: β-carotene isomer selectivity and carotenoid interactions. J. Lipid Res. 2002, 43, 1086–1095. [Google Scholar] [CrossRef] [PubMed]
- Yang, C.; Fischer, M.; Kirby, C.; Liu, R.; Zhu, H.; Zhang, H.; Chen, Y.; Sun, Y.; Zhang, L.; Tsao, R. Bioaccessibility, cellular uptake and transport of luteins and assessment of their antioxidant activities. Food Chem. 2018, 249, 66–76. [Google Scholar] [CrossRef]
- Kopec, R.E.; Failla, M.L. Recent advances in the bioaccessibility and bioavailability of carotenoids and effects of other dietary lipophiles. J. Food Compos. Anal. 2018, 68, 16–30. [Google Scholar] [CrossRef]
- Böhm, V.; Puspitasari-Nienaber, N.L.; Ferruzzi, M.G.; Schwartz, S.J. Trolox equivalent antioxidant capacity of different geometrical isomers of α-carotene, β-carotene, lycopene, and zeaxanthin. J. Agric. Food Chem. 2002, 50, 221–226. [Google Scholar] [CrossRef] [PubMed]
- Levin, G.; Yeshurun, M.; Mokady, S. In vivo antiperoxidative effect of 9-cis β-carotene compared with that of the all-trans isomer. Nutr. Cancer 1997, 27, 293–297. [Google Scholar] [CrossRef] [PubMed]
- Mueller, L.; Boehm, V. Antioxidant activity of β-carotene compounds in different in vitro assays. Molecules 2011, 16, 1055–1069. [Google Scholar] [CrossRef] [PubMed]
- Liu, X.; Osawa, T. Cis astaxanthin and especially 9-cis astaxanthin exhibits a higher antioxidant activity in vitro compared to the all-trans isomer. Biochem. Biophys. Res. Commun. 2007, 357, 187–193. [Google Scholar] [CrossRef] [PubMed]
- Venugopalan, V.; Tripathi, S.K.; Nahar, P.; Saradhi, P.P.; Das, R.H.; Gautam, H.K. Characterization of canthaxanthin isomers isolated from a new soil Dietzia sp. and their antioxidant activities. J. Microbiol. Biotechnol. 2013, 23, 237–245. [Google Scholar] [CrossRef] [PubMed]
- Kawee-ai, A.; Kuntiya, A.; Kim, S.M. Anticholinesterase and antioxidant activities of fucoxanthin purified from the microalga Phaeodactylum tricornutum. Nat. Prod. Commun. 2013, 8, 1381–1386. [Google Scholar] [CrossRef]
- Zhang, Y.; Fang, H.; Xie, Q.; Sun, J.; Liu, R.; Hong, Z.; Yi, R.; Wu, H. Comparative evaluation of the radical-scavenging activities of fucoxanthin and its stereoisomers. Molecules 2014, 19, 2100–2113. [Google Scholar] [CrossRef]
- Harari, A.; Harats, D.; Marko, D.; Cohen, H.; Barshack, I.; Kamari, Y.; Gonen, A.; Gerber, Y.; Ben-Amotz, A.; Shaish, A. A 9-cis β-carotene–enriched diet inhibits atherogenesis and fatty liver formation in LDL receptor knockout mice. J. Nutr. 2008, 138, 1923–1930. [Google Scholar] [CrossRef] [PubMed]
- Harari, A.; Abecassis, R.; Relevi, N.; Levi, Z.; Ben-Amotz, A.; Kamari, Y.; Harats, A.; Shaish, A. Prevention of atherosclerosis progression by 9-cis-β-carotene rich alga Dunaliella in apoE-deficient mice. Biomed. Res. Int. 2013, 2013, 169517. [Google Scholar] [CrossRef] [PubMed]
- Relevy, N.Z.; Rühl, R.; Harari, A.; Grosskopf, I.; Barshack, I.; Ben-Amotz, A.; Nir, U.; Gottlieb, H.; Kamari, Y.; Harats, D.; et al. 9-cis β-Carotene inhibits atherosclerosis development in female LDLR-/- mice. Funct. Foods Health Dis. 2015, 5, 67–79. [Google Scholar]
- Venugopalan, V.; Verma, N.; Gautam, H.K.; Saradhi, P.P.; Das, R.H. 9-cis-Canthaxanthin exhibits higher pro-apoptotic activity than all-trans-canthaxanthin isomer in THP-1 macrophage cells. Free Radic. Res. 2009, 43, 100–105. [Google Scholar] [CrossRef] [PubMed]
- Nakazawa, Y.; Sashima, T.; Hosokawa, M.; Miyashita, K. Comparative evaluation of growth inhibitory effect of stereoisomers of fucoxanthin in human cancer cell lines. J Funct. Foods 2009, 1, 88–97. [Google Scholar] [CrossRef]
- Yang, C.; Hassan, Y.I.; Liu, R.; Zhang, H.; Chen, Y.; Zhang, L.; Tsao, R. Anti-inflammatory effects of different astaxanthin isomers and the roles of lipid transporters in the cellular transport of astaxanthin isomers in Caco-2 cell monolayers. J. Agric. Food Chem. 2019, 67, 6222–6231. [Google Scholar] [CrossRef]
- Nagao, A.; Olson, J.A. Enzymatic formation of 9-cis, 13-cis, and all-trans retinals from isomers of β-carotene. FASEB J. 1994, 8, 968–973. [Google Scholar] [CrossRef]
- Schieber, A.; Carle, R. Occurrence of carotenoid cis-isomers in food: Technological, analytical, and nutritional implications. Trends Food Sci. Technol. 2005, 16, 416–422. [Google Scholar] [CrossRef]
- Liu, X.; Chen, X.; Liu, H.; Cao, Y. Antioxidation and anti-aging activities of astaxanthin geometrical isomers and molecular mechanism involved in Caenorhabditis elegans. J. Funct. Foods 2018, 44, 127–136. [Google Scholar] [CrossRef]
- Fenni, S.; Astier, J.; Bonnet, L.; Karkeni, E.; Gouranton, E.; Mounien, L.; Couturier, C.; Tourniaire, F.; Böhm, V.; Hammou, H.; et al. (all-E)-and (5Z)-Lycopene display similar biological effects on adipocytes. Mol. Nutr. Food Res. 2019, 63, 1800788. [Google Scholar] [CrossRef]
- Ferruzzi, M.G.; Lumpkin, J.L.; Schwartz, S.J.; Failla, M. Digestive stability, micellarization, and uptake of β-carotene isomers by Caco-2 human intestinal cells. J. Agric. Food Chem. 2006, 54, 2780–2785. [Google Scholar] [CrossRef] [PubMed]
- Honda, M.; Kudo, T.; Kuwa, T.; Higashiura, T.; Fukaya, T.; Inoue, Y.; Kitamura, C.; Takehara, M. Isolation and spectral characterization of thermally generated multi-Z-isomers of lycopene and the theoretically preferred pathway to di-Z-isomers. Biosci. Biotechnol. Biochem. 2017, 81, 365–371. [Google Scholar] [CrossRef] [PubMed]
- Jing, C.; Qun, X.; Rohrer, J. HPLC separation of all-trans-β-carotene and its iodine-induced isomers using a C30 column. Thermo Sci. 2012, 187, 1–5. [Google Scholar]
- Gamlieli-Bonshtein, I.; Korin, E.; Cohen, S. Selective separation of cis-trans geometrical isomers of β-carotene via CO2 supercritical fluid extraction. Biotechnol. Bioeng. 2002, 80, 169–174. [Google Scholar] [CrossRef] [PubMed]
- Murakami, K.; Honda, M.; Wahyudiono; Kanda, H.; Goto, M. Thermal isomerization of (all-E)-lycopene and separation of the Z-isomers by using a low boiling solvent: Dimethyl ether. Sep. Sci. Technol. 2017, 52, 2573–2582. [Google Scholar] [CrossRef]
- Desmarchelier, C.; Borel, P. Overview of carotenoid bioavailability determinants: From dietary factors to host genetic variations. Trends Food Sci. Technol. 2017, 69, 270–280. [Google Scholar] [CrossRef]
- Boileau, T.W.M.; Boileau, A.C.; Erdman, J.W., Jr. Bioavailability of all-trans and cis-isomers of lycopene. Exp. Biol. Med. 2002, 227, 914–919. [Google Scholar] [CrossRef]
- Hempel, J.; Schädle, C.N.; Leptihn, S.; Carle, R.; Schweiggert, R.M. Structure related aggregation behavior of carotenoids and carotenoid esters. J. Photochem. Photobiol. A Chem. 2016, 317, 161–174. [Google Scholar] [CrossRef]
- Hempel, J.; Amrehn, E.; Quesada, S.; Esquivel, P.; Jiménez, V.M.; Heller, A.; Carle, R.; Schweiggert, R.M. Lipid-dissolved γ-carotene, β-carotene, and lycopene in globular chromoplasts of peach palm (Bactris gasipaes Kunth) fruits. Planta 2014, 240, 1037–1050. [Google Scholar] [CrossRef]
- Ben-Amotz, A.; Lers, A.; Avron, M. Stereoisomers of β-carotene and phytoene in the alga Dunaliella bardawil. Plant Physiol. 1988, 86, 1286–1291. [Google Scholar] [CrossRef]
- Takehara, M.; Nishimura, M.; Kuwa, T.; Inoue, Y.; Kitamura, C.; Kumagai, T.; Honda, M. Characterization and thermal isomerization of (all-E)-lycopene. J. Agric. Food Chem. 2014, 62, 264–269. [Google Scholar] [CrossRef] [PubMed]
- Chasse, G.A.; Mak, M.L.; Deretey, E.; Farkas, I.; Torday, L.L.; Papp, J.G.; Sarma, D.S.R.; Agarwal, A.; Chakravarthi, S.; Agarwal, S.; et al. An ab initio computational study on selected lycopene isomers. J. Mol. Struct. THEOCHEM 2001, 571, 27–37. [Google Scholar] [CrossRef]
- Takehara, M.; Kuwa, T.; Inoue, Y.; Kitamura, C.; Honda, M. Isolation and characterization of (15Z)-lycopene thermally generated from a natural source. Biochem. Biophys. Res. Commun. 2015, 467, 58–62. [Google Scholar] [CrossRef] [PubMed]
- Guo, W.H.; Tu, C.Y.; Hu, C.H. Cis-trans isomerizations of β-carotene and lycopene: A theoretical study. J. Phys. Chem. B 2008, 112, 12158–12167. [Google Scholar] [CrossRef] [PubMed]
- Richelle, M.; Lambelet, P.; Rytz, A.; Tavazzi, I.; Mermoud, A.F.; Juhel, C.; Borel, P.; Bortlik, K. The proportion of lycopene isomers in human plasma is modulated by lycopene isomer profile in the meal but not by lycopene preparation. Br. J. Nutr. 2012, 107, 1482–1488. [Google Scholar] [CrossRef] [PubMed]
- Mohan, S.; Rao, P.R.; Hemachandran, H.; Pullela, P.K.; Tayubi, I.A.; Subramanian, B.; Gothandam, K.M.; Singh, P.; Ramamoorthy, S. Prospects and progress in the production of valuable carotenoids: Insights from metabolic engineering, synthetic biology, and computational approaches. J. Biotechnol. 2018, 266, 89–101. [Google Scholar]
- Mussagy, C.U.; Winterburn, J.; Santos-Ebinuma, V.C.; Pereira, J.F.B. Production and extraction of carotenoids produced by microorganisms. Appl. Microbiol. Biotechnol. 2019, 103, 1095–1114. [Google Scholar] [CrossRef]
- Rammuni, M.N.; Ariyadasa, T.U.; Nimarshana, P.H.V.; Attalage, R.A. Comparative assessment on the extraction of carotenoids from microalgal sources: Astaxanthin from H. pluvialis and β-carotene from D. salina. Food Chem. 2019, 277, 128–134. [Google Scholar] [CrossRef]
- Sathasivam, R.; Ki, J.S. A review of the biological activities of microalgal carotenoids and their potential use in healthcare and cosmetic industries. Mar. Drugs 2018, 16, 26. [Google Scholar] [CrossRef]
- Chuyen, H.V.; Nguyen, M.H.; Roach, P.D.; Golding, J.B.; Parks, S.E. Gac fruit (Momordica cochinchinensis Spreng.): A rich source of bioactive compounds and its potential health benefits. Int. J. Food Sci. Technol. 2015, 50, 567–577. [Google Scholar] [CrossRef]
- Vuong, L.T.; Franke, A.A.; Custer, L.J.; Murphy, S.P. Momordica cochinchinensis Spreng. (gac) fruit carotenoids reevaluated. J. Food Compos. Anal. 2006, 19, 664–668. [Google Scholar] [CrossRef]
- Kha, T.C.; Nguyen, M.H.; Roach, P.D.; Stathopoulos, C.E. Effects of Gac aril microwave processing conditions on oil extraction efficiency, and β-carotene and lycopene contents. J. Food Eng. 2013, 117, 486–491. [Google Scholar] [CrossRef]
- Martins, N.; Ferreira, I.C. Wastes and by-products: Upcoming sources of carotenoids for biotechnological purposes and health-related applications. Trends Food Sci. Technol. 2017, 62, 33–48. [Google Scholar] [CrossRef]
- Saini, R.K.; Keum, Y.S. Carotenoid extraction methods: A review of recent developments. Food Chem. 2018, 240, 90–103. [Google Scholar] [CrossRef] [PubMed]
- Luengo, E.; Álvarez, I.; Raso, J. Improving carotenoid extraction from tomato waste by pulsed electric fields. Front. Nutr. 2014, 1, 12. [Google Scholar] [CrossRef] [PubMed]
- Jaeschke, D.P.; Menegol, T.; Rech, R.; Mercali, G.D.; Marczak, L.D.F. Carotenoid and lipid extraction from Heterochlorella luteoviridis using moderate electric field and ethanol. Proc. Biochem. 2016, 51, 1636–1643. [Google Scholar] [CrossRef]
- Altemimi, A.; Lakhssassi, N.; Baharlouei, A.; Watson, D.; Lightfoot, D. Phytochemicals: Extraction, isolation, and identification of bioactive compounds from plant extracts. Plants 2017, 6, 42. [Google Scholar] [CrossRef] [PubMed]
- Chuyen, H.V.; Nguyen, M.H.; Roach, P.D.; Golding, J.B.; Parks, S.E. Microwave-assisted extraction and ultrasound-assisted extraction for recovering carotenoids from Gac peel and their effects on antioxidant capacity of the extracts. Food Sci. Nutr. 2018, 6, 189–196. [Google Scholar] [CrossRef] [PubMed]
- Song, J.; Yang, Q.; Huang, W.; Xiao, Y.; Li, D.; Liu, C. Optimization of trans lutein from pumpkin (Cucurbita moschata) peel by ultrasound-assisted extraction. Food Bioprod. Proc. 2018, 107, 104–112. [Google Scholar] [CrossRef]
- Affandi, M.M.M.; Julianto, T.; Majeed, A.B.A. Enhanced oral bioavailability of astaxanthin with droplet size reduction. Food Sci. Technol. Res. 2012, 18, 549–554. [Google Scholar] [CrossRef]
- Vishwanathan, R.; Wilson, T.A.; Nicolosi, R.J. Bioavailability of a nanoemulsion of lutein is greater than a lutein supplement. Nano Biomed. Eng. 2009, 1, 57–73. [Google Scholar] [CrossRef]
- Karam, M.C.; Petit, J.; Zimmer, D.; Djantou, E.B.; Scher, J. Effects of drying and grinding in production of fruit and vegetable powders: A review. J. Food Eng. 2016, 188, 32–49. [Google Scholar] [CrossRef]
- De Paz, E.; Martín, Á.; Estrella, A.; Rodríguez-Rojo, S.; Matias, A.A.; Duarte, C.M.; Cocero, M.J. Formulation of β-carotene by precipitation from pressurized ethyl acetate-on-water emulsions for application as natural colorant. Food Hydrocoll. 2012, 26, 17–27. [Google Scholar] [CrossRef]
- An, Y.; Sun, Y.; Zhang, M.; Adhikari, B.; Li, Z. Effect of ball milling time on physicochemical properties of Cordyceps militaris ultrafine particles. J. Food Proc. Eng. 2019, e13065. [Google Scholar] [CrossRef]
- Sahena, F.; Zaidul, I.S.M.; Jinap, S.; Karim, A.A.; Abbas, K.A.; Norulaini, N.A.N.; Omar, A.K.M. Application of supercritical CO2 in lipid extraction—A review. J. Food Eng. 2009, 95, 240–253. [Google Scholar] [CrossRef]
- Zuknik, M.H.; Norulaini, N.N.; Omar, A.M. Supercritical carbon dioxide extraction of lycopene: A review. J. Food Eng. 2012, 112, 253–262. [Google Scholar] [CrossRef]
- Kodama, T.; Honda, M.; Takemura, R.; Fukaya, T.; Uemori, C.; Wahyudiono; Kanda, H.; Goto, M. Effect of the Z-isomer content on nanoparticle production of lycopene using solution-enhanced dispersion by supercritical fluids (SEDS). J. Supercrit. Fluids 2018, 133, 291–296. [Google Scholar] [CrossRef]
- Martín, A.; Cocero, M.J. Micronization processes with supercritical fluids: Fundamentals and mechanisms. Adv. Drug Del. Rev. 2008, 60, 339–350. [Google Scholar]
- Mattea, F.; Martín, Á.; Cocero, M.J. Carotenoid processing with supercritical fluids. J. Food Eng. 2009, 93, 255–265. [Google Scholar] [CrossRef]
- Kodama, T.; Honda, M.; Machmudah, S.; Wahyudiono; Kanda, H.; Goto, M. Crystallization of all trans-β-carotene by supercritical carbon dioxide antisolvent via co-axial nozzle. Eng. J. 2018, 22, 25–38. [Google Scholar] [CrossRef]
- Kaga, K.; Honda, M.; Adachi, T.; Honjo, M.; Wahyudiono; Kanda, H.; Goto, M. Nanoparticle formation of PVP/astaxanthin inclusion complex by solution-enhanced dispersion by supercritical fluids (SEDS): Effect of PVP and astaxanthin Z-isomer content. J. Supercrit. Fluids 2018, 136, 44–51. [Google Scholar] [CrossRef]
- Nerome, H.; Machmudah, S.; Wahyudiono; Fukuzato, R.; Higashiura, T.; Youn, Y.S.; Lee, Y.W.; Goto, M. Nanoparticle formation of lycopene/β-cyclodextrin inclusion complex using supercritical antisolvent precipitation. J. Supercrit. Fluids 2013, 83, 97–103. [Google Scholar] [CrossRef]
- Boonnoun, P.; Nerome, H.; Machmudah, S.; Goto, M.; Shotipruk, A. Supercritical anti-solvent micronization of chromatography purified marigold lutein using hexane and ethyl acetate solvent mixture. J. Supercrit. Fluids 2013, 80, 15–22. [Google Scholar] [CrossRef]
- Miguel, F.; Martin, A.; Gamse, T.; Cocero, M.J. Supercritical anti solvent precipitation of lycopene: Effect of the operating parameters. J. Supercrit. Fluids 2006, 36, 225–235. [Google Scholar] [CrossRef]
- Tavares-Cardoso, M.A.; Antunes, S.; van Keulen, F.; Ferreira, B.S.; Geraldes, A.; Cabral, J.; Palavra, A.M. Supercritical antisolvent micronisation of synthetic all-trans-β-carotene with tetrahydrofuran as solvent and carbon dioxide as antisolvent. J. Chem. Technol. Biotechnol. 2009, 84, 215–222. [Google Scholar] [CrossRef]
- Leong, H.Y.; Show, P.L.; Lim, M.H.; Ooi, C.W.; Ling, T.C. Natural red pigments from plants and their health benefits: A review. Food Rev. Int. 2018, 34, 463–482. [Google Scholar] [CrossRef]
- Coultate, T.; Blackburn, R.S. Food colorants: Their past, present and future. Color. Technol. 2018, 134, 165–186. [Google Scholar] [CrossRef]
- Anarjan, N.; Tan, C.P. Effects of selected polysorbate and sucrose ester emulsifiers on the physicochemical properties of astaxanthin nanodispersions. Molecules 2013, 18, 768–777. [Google Scholar] [CrossRef]
- Spernath, A.; Aserin, A. Microemulsions as carriers for drugs and nutraceuticals. Adv. Colloid Interface Sci. 2006, 128, 47–64. [Google Scholar] [CrossRef]
- Salvia-Trujillo, L.; Qian, C.; Martín-Belloso, O.; McClements, D.J. Influence of particle size on lipid digestion and β-carotene bioaccessibility in emulsions and nanoemulsions. Food Chem. 2013, 141, 1472–1480. [Google Scholar] [CrossRef]
- Chu, B.S.; Ichikawa, S.; Kanafusa, S.; Nakajima, M. Preparation of protein-stabilized β-carotene nanodispersions by emulsification–evaporation method. J. Am. Oil Chem. Soc. 2007, 84, 1053–1062. [Google Scholar] [CrossRef]
- De Paz, E.; Martín, Á.; Mateos, E.; Cocero, M.J. Production of water-soluble β-carotene micellar formulations by novel emulsion techniques. Chem. Eng. Process. Process Intensif. 2013, 74, 90–96. [Google Scholar] [CrossRef]
- Tan, C.P.; Nakajima, M. β-Carotene nanodispersions: Preparation, characterization and stability evaluation. Food Chem. 2005, 92, 661–671. [Google Scholar] [CrossRef]
- Lakshmi, P.; Kumar, G.A. Nanosuspension technology: A review. Int. J. Pharm. Sci 2010, 2, 35–40. [Google Scholar]
- Ezhilarasi, P.N.; Karthik, P.; Chhanwal, N.; Anandharamakrishnan, C. Nanoencapsulation techniques for food bioactive components: A review. Food Bioprocess. Technol. 2013, 6, 628–647. [Google Scholar] [CrossRef]
- Silva, H.D.; Cerqueira, M.A.; Souza, B.W.S.; Ribeiro, C.; Avides, M.C.; Quintas, M.A.C.; Coimbra, J.S.R.; Carneiro-da-Cunha, M.G.; Vicente, A.A. Nanoemulsions of β-carotene using a high-energy emulsification–evaporation technique. J. Food Eng. 2011, 102, 130–135. [Google Scholar] [CrossRef]
© 2019 by the authors. Licensee MDPI, Basel, Switzerland. This article is an open access article distributed under the terms and conditions of the Creative Commons Attribution (CC BY) license (http://creativecommons.org/licenses/by/4.0/).




