UPLC-QTOF/MS-Based Nontargeted Metabolomic Analysis of Mountain- and Garden-Cultivated Ginseng of Different Ages in Northeast China
Abstract
1. Introduction
2. Materials and Methods
2.1. Materials and Reagents
2.2. Sample Preparation and Extraction
2.3. UPLC/QTOF-MSE
2.4. Chemical Information Database for the Components of CG and MCG
2.5. The Screening Analysis Based on UNIFI Platform
2.6. The Metabolomics Analysis Based on Multivariate Statistical Analysis
3. Results and Discussion
3.1. Identification of Components from MCG and CG Based on UNIFI Platform
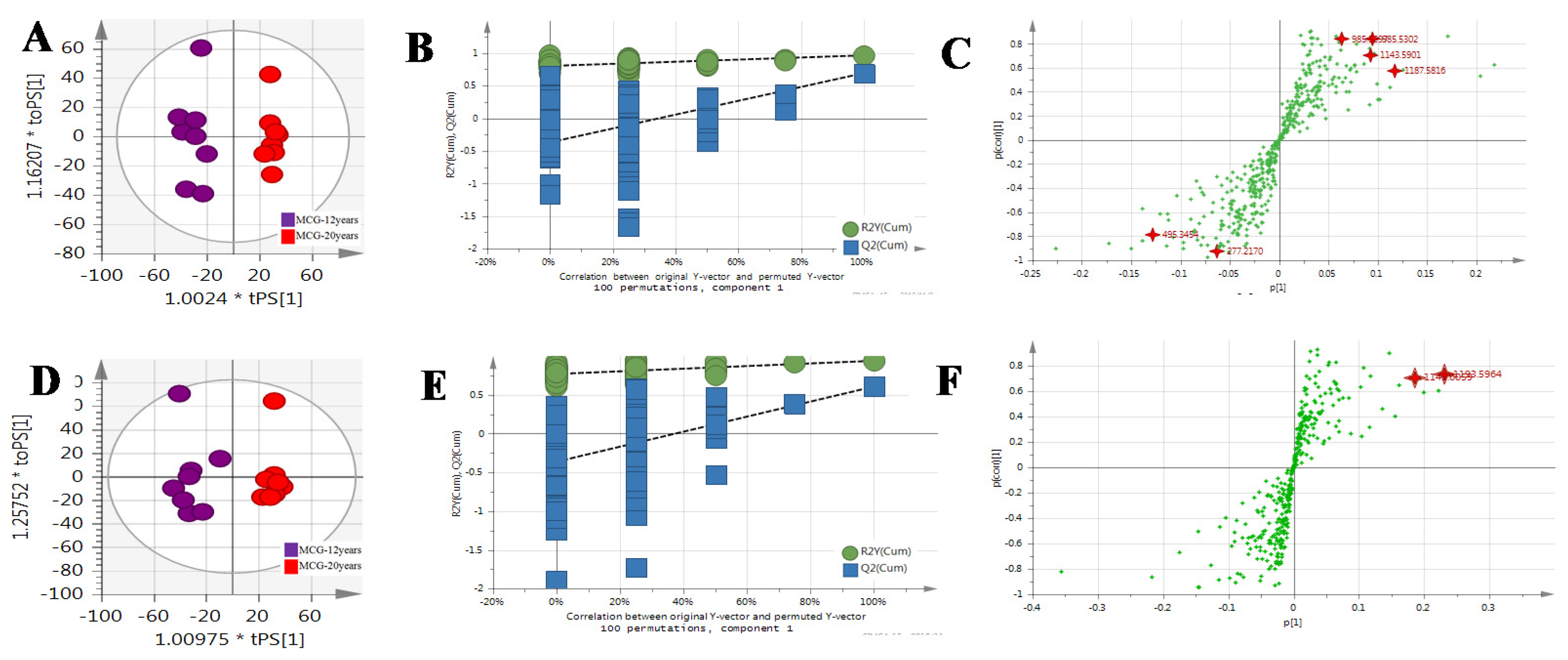
3.2. Biomarker Discovery for Distinguishing MCG and CG
4. Discussion
5. Conclusions
Author Contributions
Funding
Conflicts of Interest
References
- Liu, D.; Li, Y.G.; Xu, H.; Sun, S.Q.; Wang, Z.T. Differentiation of the root of Cultivated Ginseng, Mountain Cultivated Ginseng and Mountain Wild Ginseng using FT-IR and two-dimensional corre- lation IR spectroscopy. J. Mol. Struct. 2008, 883, 228–235. [Google Scholar] [CrossRef]
- Jung, C.H.; Seog, H.M.; Choi, I.W.; Cho, H.Y. Antioxidant activities of cultivated and wild Korean ginseng leaves. Food Chem. 2005, 92, 535–540. [Google Scholar] [CrossRef]
- Kim, S.J.; Shin, S.S.; Seo, B.I.; Jee, S.Y. Effect of mountain grown ginseng radix, mountain cultivated ginseng radix, and cultivated ginseng radix on apoptosis of HL-60 cells. J. Herb. 2004, 19, 19–41. [Google Scholar]
- Pan, H.Y.; Qu, Y.; Zhang, J.K.; Kang, T.G.; Dou, D.Q. Antioxidant activity of ginseng cultivated under mountainous forest with different growing years. J. Ginseng Res. 2013, 37, 355–360. [Google Scholar] [CrossRef] [PubMed]
- Xiao, D.; Yue, H.; Xiu, Y.; Sun, X.L.; Wang, Y.B.; Liu, S.Y. Accumulation characteristics and correlation analysis of five ginsenosides with different cultivation ages from different regions. J. Ginseng Res. 2015, 39, 338–344. [Google Scholar] [CrossRef] [PubMed]
- Xu, X.F.; Cheng, X.L.; Lin, Q.H.; Li, S.S.; Jia, Z.; Han, T.; Lin, R.C.; Wang, D.; Wei, F.; Li, X.R. Identification of mountain-cultivated ginseng and cultivated ginseng using UPLC/oa- TOF MSE with a multivariate statistical sample-profiling strategy. J. Ginseng Res. 2016, 40, 344–350. [Google Scholar] [CrossRef] [PubMed]
- Chang, X.W.; Zhang, J.J.; Li, D.K.; Zou, D.Z.; Zhang, Y.L.; Wang, J.C.; Hu, B.; Ju, A.C.; Ye, Z.L. Nontargeted metabolomics approach for the differentiation of cultivation ages of mountain cultivated ginseng leaves using UHPLC/QTOF-MS. J. Pharm. Biomed. Anal. 2017, 141, 108–122. [Google Scholar] [CrossRef] [PubMed]
- Corthout, J.; Naessens, T.; Apers, S.; Vlietinck, A.J. Quantitative determination of ginsenosides from Panax ginseng roots and ginseng preparations by thin layer chromatography-densitometry. J. Pharm. Biomed. Anal. 1999, 21, 187–192. [Google Scholar] [CrossRef]
- Wei, S.; Wang, Y.T.; Li, J.; Zhang, H.Q.; Ding, L. Investigation of ginsenosides in different parts and ages of Panax ginseng. Food Chem. 2007, 102, 664–668. [Google Scholar]
- Yong, E.C.; Yong, S.K.; Yi, M.J.; Park, W.G.; Yi, J.S.; Chun, S.R.; Han, S.S.; Lee, S.J. Physiological and chemical characteristics of field-and mountain-cultivated ginseng roots. J. Plant Biol. 2007, 50, 198–205. [Google Scholar]
- Wu, W.; Jiao, C.X.; Li, H.; Ma, Y.; Jiao, L.L.; Liu, S.Y. LC-MS based metabolic and metabonomic studies of Panax ginseng. Phytochem. Anal. 2018, 29, 331–340. [Google Scholar] [CrossRef] [PubMed]
- Qiu, S.; Yang, W.Z.; Yao, C.L.; Qiu, Z.D.; Shi, X.J.; Zhang, J.X.; Hou, J.J.; Wang, Q.R.; Wu, W.Y.; Guo, D.A. Nontargeted metabolomic analysis and “commercial-homophyletic” comparison-induced biomarkers verification for the systematic chemical differentiation of five different parts of Panax ginseng. J. Chromatogr. A 2016, 33, 78–87. [Google Scholar] [CrossRef] [PubMed]
- Pace, R.; Martinelli, E.M.; Sardone, N.; Combarieu, E.D.E. Metabolomic evaluation of ginsenosides distribution in Panax genus (Panax ginseng and Panax quinquefolius) using multivariate statistical analysis. Fitoterapia 2015, 101, 80–91. [Google Scholar] [CrossRef] [PubMed]
- Wang, H.P.; Liu, Y.; Chang, C.; Xiao, H.B. Screening Specific Biomarkers of Herbs Using a Metabolomics Approach: A Case Study of Panax ginseng. Sci. Rep. 2017, 7, 1–9. [Google Scholar] [CrossRef] [PubMed]
- Chang, X.W.; Li, D.K.; Wang, T.; Wu, Y.C.; Zhao, Y.; Zhou, D.Z.; Zhang, T.; Ye, Z.L. Application of metabolomics approach to study of different parts of Mountain Cultivated Ginseng using UHPLC-QTOF/MS. Acta Pharm. Sin. B 2016, 51, 1609–1615. [Google Scholar]
- In, G.; Seo, H.K.; Park, H.W.; Jang, K.H. A Metabolomic Approach for the Discrimination of Red Ginseng Root Parts and Targeted Validation. Molecules 2017, 22, 471. [Google Scholar] [CrossRef] [PubMed]
- Shin, J.S.; Park, H.W.; In, G.; Seo, H.K.; Won, T.H.; Jang, K.H.; Cho, B.G.; Han, C.K.; Shin, J.H. Metabolomic approach for discrimination of four- and six-year-old red ginseng (Panax ginseng) using UPLC-QToF-MS. Chem. Pharm. Bull. 2016, 64, 1298–1303. [Google Scholar] [CrossRef]
- Kim, N.; Kim, K.; Choi, B.Y.; Lee, D.H.; Shin, Y.S.; Bang, K.H.; Cha, S.W.; Lee, J.W.; Choi, H.K.; Jang, D.S.; et al. Metabolomic approach for age discrimination of Panax ginseng using UPLC-Q-TOF MS. J. Agric. Food Chem. 2011, 59, 10435–10441. [Google Scholar] [CrossRef]
- Zhang, F.X.; Li, M.; Qiao, L.R.; Yao, Z.H.; Li, C.; Shen, X.Y.; Wang, Y.; Yu, K.; Yao, X.S.; Dai, Y. Rapid characterization of Ziziphi Spinosae Semen by UPLC/Qtof MS with novel informatics platform and its application in evaluation of two seeds from Ziziphus species. J. Pharm. Biomed. Anal. 2016, 122, 59–80. [Google Scholar] [CrossRef]
- Wang, C.Z.; Zhang, N.Q.; Wang, Z.Z.; Qi, Z.; Zhu, H.L.; Zheng, B.Z.; Li, P.Y.; Liu, J.P. Nontargeted Metabolomic Analysis of Four Different Parts of Platycodon grandiflorum Grown in Northeast China. Molecules 2017, 22, 1280. [Google Scholar] [CrossRef]
- Wang, Y.R.; Wang, C.Z.; Lin, H.Q. Discovery of the Potential Biomarkers for Discrimination between Hedyotis diffusa and Hedyotis corymbosa by UPLC-QTOF/MS Metabolome Analysis. Molecules 2018, 23, 1525. [Google Scholar] [CrossRef] [PubMed]
- National Pharmacopoeia Commission. Pharmacopoeia of the People’s Republic of China, 2015 Version; China Medical Science and Technology Press: Beijing, China, 2015.
- Koh, L.H.; Lau, A.J.; Chan, C.Y. Hydrophilic interaction liquid chromatography with tandem mass spectrometry for the determination of underivatized dencichine (β-N-oxalyl-l-α,β-diaminopropionic acid) in Panax medicinal plant species. Rapid Commun. Mass Spectrom. 2005, 19, 1237–1244. [Google Scholar] [CrossRef] [PubMed]
- Tüting, W.; Adden, R.; Mischnick, P. Fragmentation pattern of regioselectively O-methylated maltooligosaccharides in electrospray ionisation-mass spectrometry/collision induced dissociation. Int. J. Mass Spectrom. 2004, 232, 107–115. [Google Scholar] [CrossRef]
- Wang, H.; Sun, H.; Zhang, A.; Li, Y.; Wang, L.; Shi, H.; Li Dizou, X.; Wang, X. Rapid identification and comparative analysis of the chemical constituents and metabolites of Phellodendri amurensis cortex and Zhibai dihuang pill by ultra-performance liquid chromatography with quadrupole TOF-MS. J. Sep. Sci. 2013, 36, 3874–3882. [Google Scholar] [PubMed]
- Chen, M.L.; Chang, W.Q.; Zhou, J.L.; Yin, Y.H.; Xia, W.R.; Liu, J.R.; Liu, L.F.; Xin, G.Z. Comparison of three officinal species of Callicarpa based on a biochemome profiling strategy with UHPLC-IT-MS and chemometrics analysis. J. Pharm. Biomed. Anal. 2017, 145, 666–674. [Google Scholar] [CrossRef]
- Fuhrer, T.; Heer, D.; Begemann, B.; Zamboni, N. High-throughput, accurate mass metabolome profiling of cellular extracts by flow injection-time-of-flight mass spectrometry. Anal. Chem. 2011, 83, 7074–7080. [Google Scholar] [CrossRef]
- Song, W.; Qiao, X.; Chen, K.; Wang, Y.; Ji, S.; Feng, J.; Li, K.; Lin, Y.; Ye, M. Biosynthesis-Based Quantitative Analysis of 151 Secondary Metabolites of Licorice to Differentiate Medicinal Glycyrrhiza Species and Their Hybrids. Anal. Chem. 2017, 89, 3146–3153. [Google Scholar] [CrossRef]
- Li, Y.; Li, C.; Yu, J.; Gao, Y.; Zhao, Y.; Xue, D.; Zhang, G.Q.; Chai, Y.F.; Ke, Y.; Zhang, H. Rapid separation and characterization of comprehensive ingredients in Yangxinshi tablet and rat plasma by ultrahigh-performance liquid chromatography–quadrupole time-of-flight mass spectrometry. J. Liq. Chromatogr. Relat. Technol. 2017, 59, 339–354. [Google Scholar] [CrossRef]
- Wang, H.Y.; Hua, H.Y.; Liu, X.Y.; Liu, J.H.; Yu, B.Y. In vitro biotransformation of red ginseng extract by human intestinal microflora: Metabolites identification and metabolic profile elucidation using LC-Q-TOF/MS. J. Pharm. Bio. Anal. 2014, 98, 296–306. [Google Scholar] [CrossRef]
- Yang, W.Z.; Ye, M.; Qiao, X.; Liu, C.F.; Miao, W.J.; Bo, T.; Tao, H.Y.; Guo, D.A. A strategy for efficient discovery of new natural compounds by integrating orthogonal column chromatography and liquid chromatography/mass spectrometry analysis: Its application in Panax ginseng, Panax quinquefolium and Panax notoginseng to characterize 437 potential new ginsenosides. Anal. Chim. Acta 2012, 739, 56–66. [Google Scholar]
- Jaiswal, Y.; Liang, Z.; Ho, A.; Chen, H.; Zhao, Z. A Comparative Tissue-specific Metabolite Analysis and Determination of Protodioscin Content in Asparagus Species used in Traditional Chinese Medicine and Ayurveda by use of Laser Microdissection, UHPLC–QTOF/MS and LC–MS/MS. Phytochem. Anal. Pca. 2014, 25, 514–528. [Google Scholar] [CrossRef] [PubMed]
- Li, H.; Yao, W.; Liu, Q.; Xu, J.; Bao, B.; Shsn, M.Q.; Cao, Y.D.; Cheng, F.F.; Ding, A.; Zhang, L. Application of UHPLC-ESI-Q-TOF-MS to Identify Multiple Constituents in Processed Products of the Herbal Medicine Ligustri Lucidi Fructus. Molecules 2017, 22, 689. [Google Scholar] [CrossRef]
- Wu, W.; Sun, L.; Zhang, Z.; Guo, Y.Y.; Liu, S.Y. Profiling and multivariate statistical analysis of Panax ginseng based on ultra-high-performance liquid chromatography coupled with quadrupole-time-of-flight mass spectrometry. J. Pharm. Bio. Anal. 2015, 107, 141–150. [Google Scholar] [CrossRef]
- Yang, L.; Ying, P.; Wang, M.Y.; Zhou, G.S.; Zhang, Y.L.; Li, X. Rapid screening and identification of the differences between metabolites of Cistanche deserticola, and C. tubulosa, water extract in rats by UPLC-Q-TOF-MS combined pattern recognition analysis. J. Pharm. Bio. Anal. 2016, 131, 364–372. [Google Scholar]
- Zhang, Y.; Cheng, Y.; Liu, Z.; Ding, L.Q.; Qiu, T.Y.; Chai, L.W.; Qiu, F.; Wang, Z.Z.; Xiao, W.; Zhao, L.S.; Chen, X.H. Systematic screening and characterization of multiple constituents in Guizhi Fuling capsule and metabolic profiling of bioactive components in rats using ultra-high-performance liquid chromatography/quadrupole-time-of-flight mass spectrometry. J. Chromatogr. B 2017, 1061, 474–486. [Google Scholar] [CrossRef]
- Tang, S.Y.; Liu, S.; Liu, Z.Q.; Song, F.R.; Liu, S.Y. Analysis and Identification of the Chemical Constituents of Ding-Zhi-Xiao-Wan Prescription by HPLC-IT-MSn and HPLC-Q-TOF-MS. Chinese J. Chem. 2015, 33, 451–462. [Google Scholar] [CrossRef]
- Chen, L.L.; Qi, J.; Chang, Y.X.; Zhu, D.N.; Yu, B.Y. Identification and determination of the major constituents in Traditional Chinese Medicinal formula Danggui-Shaoyao-San by HPLC-DAD-ESI-MS/MS. J. Pharm. Biomed. Anal. 2009, 50, 127–137. [Google Scholar] [CrossRef] [PubMed]
- Chen, Y.J.; Xu, L.; Zhao, Y.C.; Zhao, Z.Z.; Chen, H.B.; Yi, T.; Qin, M.J.; Liang, Z.T. Tissue-specific metabolite profiling and quantitative analysis of ginsenosides in Panax quinquefolium, using laser microdissection and liquid chromatography–quadrupole/time of flight-mass spectrometry. Chem. Cent. J. 2015, 9, 66–72. [Google Scholar] [CrossRef]
- Qiu, S.; Yang, W.Z.; Shi, X.J.; Yao, C.L.; Yang, M.; Liu, X.; Jiang, B.H.; Wu, W.Y.; Guo, D.A. A green protocol for efficient discovery of novel natural compounds: Characterization of new ginsenosides from the stems and leaves of Panax ginseng as a case study. Anal. Chim. Acta 2015, 893, 65–76. [Google Scholar] [CrossRef] [PubMed]
- Dan, M.; Su, M.M.; Gao, X.F.; Zhao, T.; Zhao, A.H.; Xie, G.X.; Qiu, Y.P.; Zhou, M.M.; Liu, Z.; Jia, W. Metabolite profiling of Panax notoginseng using UPLC-ESI-MS. Phytochemistry 2008, 69, 2237–2244. [Google Scholar] [CrossRef]
- Wu, Q.L.; Wang, M.F.; Simon, J.E.; Yu, S.C.; Xiao, P.G.; Ho, C.T. Studies on the Chemical Constituents of Loquat Leaves (Eriobotrya japonica). ACS Sym. 2003, 28, 292–306. [Google Scholar]
- Wang, L.L.; Han, L.F.; Yu, H.S.; Sang, M.M.; Liu, E.W.; Zhang, Y.; Fang, S.M.; Wang, T.; Gao, X.M. Analysis of the Constituents in “Zhu She Yong Xue Shuan Tong” by Ultra High Performance Liquid Chromatography with Quadrupole Time-of-Flight Mass Spectrometry Combined with Preparative High Performance Liquid Chromatography. Molecules 2015, 20, 20518–20537. [Google Scholar] [CrossRef] [PubMed]
- Li, S.L.; Lai, S.F.; Song, J.Z.; Qiao, C.F.; Liu, X.; Zhou, Y.; Cai, H.; Cai, B.C.; Xu, H.X. Decocting-induced chemical transformations and global quality of Du-Shen-Tang, the decoction of ginseng evaluated by UPLC-Q-TOF-MS/MS based chemical profiling approach. J. Pharm. Biomed. Anal. 2010, 53, 946–957. [Google Scholar] [CrossRef] [PubMed]
- Liang, Z.T.; Chen, Y.J.; Liang, X.; Qin, M.J.; Yi, T.; Chen, H.B.; Zhao, Z.Z. Localization of ginsenosides in the rhizome and root of Panax ginseng, by laser microdissection and liquid chromatography–quadrupole/time of flight-mass spectrometry. J. Pharm. Biomed. Anal. 2015, 105, 121–133. [Google Scholar] [CrossRef]
- Peng, J.; Dou, S.S.; Liu, L.; Zhang, W.D.; Chen, Z.L.; Xu, R.L.; Ding, J.M. Identification of Multiple Constituents in the TCM-Formula Shexiang Baoxin Pill by LC Coupled with DAD-ESI-MS-MS. Chromatographia 2009, 70, 133–142. [Google Scholar]
- Murae, T.; Sugie, A.; Moriyama, Y.; Tsuyuki, T.; Takahashi, T. Mass spectra of the bitter principles fromPicrasma ailanthoides Planchon. J. Mass Spectrom. 1974, 8, 291–301. [Google Scholar] [CrossRef]
- Castro, O.N.; Benites, J.L.; Rodilla, J.; Santiago, J.; Simirgiotis, M.; Sepulveda, B.; Areche, C. Metabolomic Analysis of the Lichen Everniopsis trulla Using Ultra High Performance Liquid Chromatography-Quadrupole-Orbitrap Mass Spectrometry (UHPLC-Q-OT-MS). Chromatographia 2017, 80, 1–7. [Google Scholar] [CrossRef]
- Peng, L.; Yu, H.S.; Zhang, L.J.; Song, X.B.; Kang, L.P.; Liu, J.Y.; Zhang, J.; Cao, M.; Yu, K.; Kang, T.J.; Ma, B.P. A rapid method for chemical fingerprint analysis of Pan Panax notoginseng powders by ultra performance liquid chromatography coupled with quadrupole time-of-flight mass spectrometry. Chin. J. Nat. Med. 2015, 13, 471–480. [Google Scholar]
- Lai, C.M.; Li, S.P.; Yu, H.; Wan, K.W.; Wang, Y.T. A rapid HPLC-ESI-MS/MS for qualitative and quantitative analysis of saponins in "XUESETONG" injection. J. Pharm. Biomed. Anal. 2006, 40, 669–678. [Google Scholar] [CrossRef]
- Sun, J.H.; Chen, P. Differentiation of Panax quinquefolius, grown in the USA and China using LC/MS-based chromatographic fingerprinting and chemometric approaches. Anal. Bioanal. Chem. 2011, 399, 1877–1889. [Google Scholar] [CrossRef]
- Wan, J.Y.; Wang, C.Z.; Liu, Z.; Zhang, Q.H.; Musch, M.; Bissonnette, M.; Chang, E.B.; Li, P.; Qi, L.W.; Yuan, C.S. Determination of American ginseng saponins and their metabolites in human plasma, urine and feces samples by liquid chromatography coupled with quadrupole time-of-flight mass spectrometry. J. Chromatogr. B 2016, 62, 1015–1016. [Google Scholar] [CrossRef] [PubMed]
- Qi, L.W.; Wang, H.Y.; Zhang, H.; Wang, C.Z.; Li, P.; Yuan, C.S. Diagnostic ion filtering to characterize ginseng saponins by rapid liquid chromatography with time-of-flight mass spectrometry. J. Chromatogr. A 2012, 1230, 93–99. [Google Scholar] [CrossRef] [PubMed]
- Xu, G.H.; Choo, S.J.; Ryoo, I.J.; Kim, Y.H.; Paek, K.Y.; Yoo, I.D. Polyacetylenes from the tissue cultured adventitious roots of Panax ginseng C.A. meyer. Nat. Prod. Sci. 2008, 14, 177–181. [Google Scholar]
- Yang, H.; Liu, L.; Gao, W.; Liu, K.; Qi, L.W.; Li, P. Direct and comprehensive analysis of ginsenosides and diterpene alkaloids in Shenfu injection by combinatory liquid chromatography-mass spectrometric techniques. J. Pharm. Biomed. Anal. 2014, 92, 13–21. [Google Scholar] [CrossRef] [PubMed]
- Yan, L.; Guan, T.Y.; Zhou, Y.Y.; Liu, Y.N.; Xing, L.; Zheng, X.; Dai, C.; Du, P.; Rao, T.; Zhou, L.J.; Yu, X.Y.; Hao, K.; Xie, L.; Wang, G.J. Effect of mobile phase additives on qualitative and quantitative analysis of ginsenosides by liquid chromatography hybrid quadrupole-time of flight mass spectrometry. J. Chromatogr. A 2013, 1297, 29–36. [Google Scholar]
- Yang, X.H.; Cheng, X.L.; Qin, B.; Cai, Z.Y.; Cai, X.; Liu, S.; Wang, Q.; Qin, Y. Ultra-high performance liquid chromatography coupled with quadrupole/time of flight mass spectrometry based chemical profiling approach for the holistic quality control of complex Kang-Jing formula preparations. J. Pharm. Biomed. Anal. 2016, 124, 319–336. [Google Scholar] [CrossRef] [PubMed]
- Coqueiro, A.; Regasini, L.O.; Leme, G.M.; Polese, L.; Nogueira, C.T.; Cistia, M.D.; Graminha, M.A.S. Leishmanicidal activity of Brosimum glaziovii (Moraceae) and chemical composition of the bioactive fractions by using high-resolution gas chromatography and GC-MS. J. Braz. Chem. Soc. 2014, 25, 1839–1847. [Google Scholar]
- Wang, C.Z.; Zhang, N.Q.; Wang, Z.Z.; Qi, Z.; Zheng, B.Z.; Li, P.Y.; Liu, J.P. Rapid characterization of chemical constituents of Platycodon grandiflorum and its adulterant Adenophora stricta by UPLC-QTOF-MS/MS. J. Mass Spectrom. 2017, 52, 643–657. [Google Scholar] [CrossRef] [PubMed]
- Huang, B.F.; Zheng, F.F.; Fu, S.S.; Yao, J.H.; Tao, B.H.; Ren, Y.P. UPLC-ESI-MS/MS for determining trans-and cis-vitamin K1 in infant formulas: Method and applications. Eur. Food Res. Tech. 2012, 235, 873–879. [Google Scholar] [CrossRef]
- Hurtadofernández, E.; Pacchiarotta, T.; Gómezromero, M. Ultra high performance liquid chromatography-time of flight mass spectrometry for analysis of avocado fruit metabolites: Method evaluation and applicability to the analysis of ripening degrees. J. Chromatogr. A 2011, 1218, 7723–7738. [Google Scholar] [CrossRef]
- Doshi, G.M.; Nalawade, V.V.; Mukadam, A.S. Structural elucidation of chemical constituents from Benincasa hispidaseeds andCarissa congestaroots by gas chromatography: Mass spectroscopy. Pharmacognosy Res. 2015, 7, 282–293. [Google Scholar] [CrossRef] [PubMed]
- Montserrat, R.A.; Liliana, V.; Stefania, V.; Josep, M.G.; Elvira, L.T.; Susana, B. Characterisation of volatile composition of white salsify (Tragopogon porrifolius L.) by headspace solid-phase microextraction (HS-SPME) and simultaneous distillation-extraction (SDE) coupled to GC-MS. Food Chem. 2011, 129, 557–564. [Google Scholar]
- Mathela, C.S.; Singh, K.K.; Gupta, V.K. Synthesis and in vitro antibacterial activity of thymol and carvacrol derivatives. Acta Pol. Pharm. 2010, 67, 375–380. [Google Scholar] [PubMed]
- Wang, N.; Manabe, Y.K.; Sugawara, T.; Paul, N.A.; Zhao, J. Identification and biological activities of carotenoids from the freshwater alga Oedogonium intermedium. Food Chem. 2017, 20, 247–255. [Google Scholar] [CrossRef] [PubMed]
- Lee, M.J.; Chung, I.M.; Kim, H.J.; Jung, M.J. High resolution LC–ESI-TOF-mass spectrometry method for fast separation, identification, and quantification of 12 isoflavones in soybeans and soybean products. Food Chem. 2015, 176, 254–262. [Google Scholar] [CrossRef] [PubMed]
- Hwang, J.W.; Oh, J.H.; Yoo, H.S.; Lee, Y.W.; Cho, C.K.; Kwon, K.R.; Yoon, J.H.; Park, J.S.; Her, S.; Lee, Z.W. Mountain ginseng extract exhibits anti-lung cancer activity by inhibiting the nuclear translocation of NF-κB. Am. J. Chin. Med. 2012, 40, 187–202. [Google Scholar] [CrossRef] [PubMed]
- Carvalho, E.B.T.; Melo, I.L.P.; Mancini-Filho, J. Chemical and physiological aspects of isomers of conjugated fatty acids. Food Sci. Technol. 2010, 30, 295–307. [Google Scholar] [CrossRef]
- Harwood, J.L. Recent advances in the biosynthesis of plant fatty acids. Biochim. Biophysica. Acta 1996, 1301, 7–56. [Google Scholar] [CrossRef]
- Kim, H.S.; Lim, J.M.; Kim, J.Y.; Park, S.; Sohn, J. Panaxydol, a component of Panax ginseng, induces apoptosis in cancer cells through EGFR activation and ER stress and inhibits tumor growth in mouse models. Int. J. Cancer. 2016, 138, 1432–1441. [Google Scholar] [CrossRef]
- Nihat, K.; Elena, O.; Nicholas, S.; Huber, C.; Luis, M.; Bonfill, M. Biosynthesis of Panaxynol and Panaxydol in Panax ginseng. Molecules 2013, 18, 7686–7698. [Google Scholar]
- Liang, Y.; Zhao, S. Progress in understanding of ginsenoside biosynthesis. Plant Biol. 2010, 10, 415–421. [Google Scholar] [CrossRef] [PubMed]
- Kim, Y.J.; Zhang, D.; Yang, D.C. Biosynthesis and biotechnological production of ginsenosides. Biotechnol. Adv. 2015, 33, 717–735. [Google Scholar] [CrossRef] [PubMed]
- Leung, K.W.; Wong, A.S. Pharmacology of ginsenosides: A literature review. Chin. Med. 2010, 5, 20–27. [Google Scholar] [CrossRef] [PubMed]
- Velisek, J.; Cejpek, K. Biosynthesis of food constituents: Lipids. 1. Fatty acids and derived compounds—A review. Czech J. Food Sci. 2006, 24, 193–216. [Google Scholar] [CrossRef]
Sample Availability: Samples of the compounds are available from the authors. |








| Sample No. | Source | Collection Time |
|---|---|---|
| CG3years-1, CG3years-2; CG4years-1, CG4years-2; CG5years-1, CG5years-2; MCG12years-1, MCG12years-2; MCG20years-1, MCG20years-2 | Ji′an City, Jilin Province, China | 2017.09–2017.10 |
| CG3years-3, CG3years-4; CG4years-3, CG4years-4; CG5years-3, CG5years-4; MCG12years-3, MCG12years-4; MCG20years-3, MCG20years-4 | Fusong County, Jilin Province, China | 2017.09–2017.10 |
| CG3years-5, CG3years-6; CG4years-5, CG4years-6; CG5years-5, CG5years-6; MCG12years-5, MCG12years-6; MCG20years-5, MCG20years-6 | Tonghua City, Jilin Province, China | 2017.09–2017.10 |
| CG3years-7, CG3years-8; CG4years-7, CG4yeasr-8; CG5years-7, CG5years-8; MCG12years-7, MCG12years-8; MCG20years-7, MCG20years-8 | Jingyu Country, Jilin Province, China | 2017.09–2017.10 |
| No. | tR (min) | Formula | Calculated Mass (Da) | Theoretical Mass (Da) | Mass Error (ppm) | MSE Fragmentation | Identification | Sources | Ref. |
|---|---|---|---|---|---|---|---|---|---|
| 1 | 0.49 | C5H8N2O5 | 176.0431 | 176.0433 | −1.5 | 177.0503[M + H]+; 130.0495[M – 2 × OH − NH2]+ | Dencichine | CG, MCG12, MCG20 | [23] |
| 2 | 0.54 | C6H14N4O2 | 174.1115 | 174.1117 | −1.1 | 175.1188[M + H]+;158.0912[M − NH2]+; 116.0704[M − NH2 − CN2H2]+;114.1015[M − NH2 − CHO2]+ | Adipodihydrazide | CG, MCG12, MCG20 | a |
| 3 | 0.55 | C30H22O10 | 542.1257 | 542.1213 | 8.1 | 543.1330[M + H]+; 273.0833[M − C15H10O5]+; 242.1025[M − OH − C15H10O6]+; 127.0388[M − C24H17O7]+; 116.0703[M − 2 × OH − C21H12O8]+; 109.0284[M − C24H15O8]+ | Chamaejasmine | CG, MCG12, MCG20 | a |
| 4 | 0.59 | C12H22O11 | 342.1156 | 342.1162 | −1.6 | 365.1055[M + Na]+; 203.0550[M − OH − C4H8O4]+; 185.0444[M − 2 × OH − C4H8O4]+ | α-Maltose | CG, MCG12, MCG20 | [24] |
| 5 | 0.69 | C6H14N4O2 | 174.1115 | 174.1117 | −0.9 | 175.1188[M + H]+ | d-Arginin | CG, MCG12, MCG20 | s |
| 6 | 0.74 | C19H18O11 | 422.0842 | 422.0849 | −1.7 | 423.0915[M + H]+; 268.1040[M + H − C6H6O5]+; 119.0349[M − C15H10O7]+ | Isomangiferin | CG, MCG12, MCG20 | [25] |
| 7 | 0.75 | C5H5N5 | 135.0546 | 135.0545 | 0.5 | 136.0618[M + H]+; 119.0352[M − NH2]+ | Adenine | CG, MCG12, MCG20 | s |
| 8 | 0.76 | C10H13N5O4 | 267.0974 | 267.0968 | 2.4 | 268.1050[M + H]+; 136.0618[M − C5H9O4]+; 119.0352[M − C5H9O4 − NH2]+ | d-Adenosine | CG, MCG12, MCG20 | s |
| 9 | 0.80 | C20H15NO6 | 365.0876 | 365.0899 | −6.3 | 366.0949[M + H]+ | Integriamide | CG, MCG12, MCG20 | a |
| 10 | 0.81 | C25H30O12 | 538.1677 | 538.1686 | −1.7 | 561.1569[M + Na]+; 393.1138[M − C6H8O4]+; 381.0788[M − CH3 − C7H10O3]+; 366.0930[M − OH − C8H10O3]+; 366.0930[M − C19H21O8]+ | Linearoside | CG, MCG12, MCG20 | [26] |
| 11 | 0.82 | C9H11NO2 | 165.0782 | 165.0790 | −0.5 | 166.0862[M + H]+; 120.0805[M − COOH]+; 103.0543[M − COOH − NH2]+ | Phenylpropionic acid | CG, MCG12, MCG20 | s |
| 12 | 0.91 | C6H9N3O2 | 155.0762 | 155.0695 | −3.5 | 156.0762[M + H]+ | Histidine | CG, MCG12, MCG20 | s |
| 13 | 1.05 | C11H12N2O2 | 204.0898 | 204.0899 | −0.5 | 205.0971[M + H]+; 188.0706[M − NH2]+; 143.0723[M − NH2 − COOH]+; 118.0649[M − NH2 − COOH − C2H3]+ | Tryptophan | CG, MCG12, MCG20 | s |
| 14 | 1.06 | C6H14N4O2 | 174.1117 | 174.1117 | 0.0 | 175.1190[M + H]+ | Argentine | CG, MCG12, MCG20 | [27] |
| 15 | 3.13 | C25H28O4 | 392.2009 | 392.1988 | 5.5 | 393.2082[M + H]+ | Glabrol | CG, MCG12, MCG20 | [28] |
| 16 | 3.27 | C25H24O5 | 404.1646 | 404.1624 | 5.1 | 405.1719[M + H]+ | Puerarol | CG, MCG12, MCG20 | [29] |
| 17 | 4.42 | C27H38O6 | 458.2716 | 458.2668 | 10.0 | 481.2609[M + Na]+; 436.2642[M − COOH]+ | Lucideric acid | CG, MCG12, MCG20 | a |
| 18 | 4.64 | C36H58O8 | 618.4107 | 618.4132 | −4.0 | 619.4180[M + H]+; 421.3446[M − Glc − OH]+ | β-d-Glcopyranosyl oleanolate | CG, MCG12, MCG20 | [30] |
| 19 | 4.89 | C48H82O19 | 962.5484 | 962.5450 | 3.3 | 985.5312[M + Na]+; 765.4795[M − Glc − OH]+; 541.2637[M − Glc − OH − C15H28O]+; 421.3463[M − Glc − Glc/Rha − 2 × OH]+ | Majoroside F6 | CG, MCG12, MCG20 | [31] |
| 20 | 5.21 | C31H46O8 | 546.3248 | 546.3193 | 9.7 | 569.3140[M + Na]+; 133.0859[M − C25H33O5]+ | Methyl ganoderate G | CG, MCG12, MCG20 | a |
| 21 | 5.53 | C35H48O9 | 612.3344 | 612.3298 | 7.4 | 613.3416[M + H]+; 582.3264[M − OCH3]+; 526.2986[M − C4H7O2]+ | Cinobufagin 3-hemisuberate methyl ester | CG, MCG12, MCG20 | a |
| 22 | 5.56 | C45H74O17 | 886.4877 | 886.4926 | −5.4 | 909.4769[M + Na]+; 745.4383[M − CH2OH − C6H10O2]+; 729.4136[M − OH − C8H14O2]+; 601.2768[M − 2 × OH − C16H26O4]+; 431.1870[M − Glc − C19H27O2]+ | Shatavarin IV | CG, MCG12, MCG20 | [32] |
| 23 | 5.64 | C25H32O13 | 540.1800 | 540.1843 | 3.0 | 541.1873[M + H]+; 347.0906[M − CH3O − C2H4 − C8H9O2]+; 195.1008[M − Glc − C2H4O2 − C6H5O2]+ | Oleuropein | CG, MCG12, MCG20 | [33] |
| 24 | 5.65 | C14H16O4 | 248.1025 | 248.1049 | −9.7 | 271.0917[M + Na]+; 195.1008[M − C2H4 − COH]+; 189.1348[M − OH − COOH]+ | Isohistiopterosin A | CG, MCG12, MCG20 | a |
| 25 | 5.79 | C45H74O17 | 886.4881 | 886.4926 | −5.0 | 909.4773[M + Na]+; 707.4360[M − Glc]+; 689.4262[M − Glc − OH]+; 657.3636[M − Glc − OH − 2 × CH3]+; 609.3646[M − Glc − C6H10O2]+; 523.3626[M − Glc/Glc − C3H6]+ | Malonylginsenoside Rf | CG, MCG12, ## MCG20 | [34] |
| 26 | 6.21 | C42H70O14 | 798.4778 | 798.4766 | 1.6 | 799.4851[M + H]+; 439.3563[M − Glc/Rha − 2 × OH]+; 421.3441[M − Glc/Rha − 3 × OH − H2O]+ | Ginsenoside Rg8 | CG, MCG12, MCG20 | [34] |
| 27 | 6.23 | C22H32O13 | 504.1840 | 504.1843 | −0.6 | 503.1767[M − H]−; 457.1715[M − OH − CH2OH]−; 293.0878[M − C2H4O − CH2OH − C8H9O2]− | Cistanoside H | CG, MCG12, MCG20 | [35] |
| 28 | 6.24 | C23H28O11 | 480.1594 | 480.1632 | −7.7 | 481.1667[M + H]+; 317.0803[M − C10H12O2]+ | Peoniflorin | CG, MCG12, MCG20 | a |
| 29 | 6.28 | C24H30O12 | 510.1702 | 510.1737 | −6.9 | 511.1775[M + H]+; 317.0803[M − C11H14O3]+ | Mudanpioside D | CG, MCG12, MCG20 | [36] |
| 30 | 6.39 | C54H92O24 | 1124.5943 | 1124.5978 | −3.1 | 1147.5835[M + Na]+; 585.2870[M − C25H47O12]+; 325.1130[M − C42H71O14]+ | Ginsenoside V | CG, MCG12, MCG20 | [31] |
| 31 | 6.49 | C48H82O19 | 962.5484 | 962.5450 | 3.3 | 985.5302[M + Na]+; 865.4789[M − C6H9O]+; 823.4787[M − C8H11O2]+; 805.4668[M − C8H13O3]+; 555.2763[M − C12H26O5]+; 423.3602[M − Glc − Glc/Glc − OH]+; 405.3507[M − Glc − Glc/Glc − 2 × OH]+ | Ginsenoside Re1 | CG, MCG12, ##,* MCG20 | [37] |
| 32 | 6.59 | C23H28O11 | 480.1587 | 480.1632 | −9.3 | 481.1660[M + H]+; 317.0810[M − C7H5O − C3H5O]+ | Mudanpioside I | CG, MCG12, MCG20 | [38] |
| 33 | 6.64 | C41H70O14 | 786.4762 | 786.4766 | −0.4 | 831.4744[M + HCOO]−; 653.4270[M − H − C5H8O4]−, 491.3710[M − H − C11H18O9]− | Notoginsenoside Rw2 | CG, MCG12, MCG20 | [39] |
| 34 | 6.67 | C47H80O18 | 932.5335 | 932.5345 | −1.0 | 977.5317[M + HCOO]−; 785.4693[M − Ara − CH3]−;653.4282[M − Glc − 2 × OH − C5H9]− | Quinquenoside F6 | CG, MCG12, MCG20 | [37] |
| 35 | 6.77 | C36H60O9 | 636.4217 | 636.4237 | −3.1 | 637.4290[M + H]+; 621.42740[M − OH]+; 423.3605[M − Glc − 2 × OH]+ | Ginsenoside Rh8 | CG, MCG12, MCG20 | [40] |
| 36 | 6.84 | C48H82O19 | 962.5469 | 962.5450 | 1.9 | 1007.5456[M + HCOO]−; 799.4848[M − Glc]−; 637.4317[M − Glc/Glc]−; 179.0545[Glc − H]− | 20-β-d-Glucopyranosyl-ginsenoside Rf | CG, MCG12, MCG20 | [41] |
| 37 | 6.80 | C42H70O13 | 782.4773 | 782.4816 | −5.4 | 805.4665[M + Na]+; 765.4734[M − OH]+; 677.4220[M − 2 × OH − C4H7O]+; 661.4265[M − 3 × OH − C4H7O]+; 439.3562[M − Glc − Man − OH]+ | Ginsenoside Rh14 | CG, MCG12, MCG20 | [40] |
| 38 | 6.82 | C17H24O8 | 356.1460 | 356.1472 | −3.1 | 379.1352[M + Na]+; 145.0495[M − OH − C11H13O3]+ | Erigeside II | CG, MCG12, MCG20 | [42] |
| 39 | 6.96 | C47H80O18 | 932.5410 | 932.5345 | 6.7 | 977.5392[M + HCOO]−; 799.4825[M − Xyl]−; 769.4724[M − H − Glc]−; 637.4291[M − (Glc/Xyl) ]−; 179.0539 [Glc − H]− | Notoginsenoside R1 | CG, MCG12, MCG20 | s |
| 40 | 6.99 | C28H44O12 | 572.2810 | 572.2833 | −3.9 | 573.2883[M + H]+; 555.2779[M − OH]+; 531.2860[M − C2H3O]+ | Picrasinoside G | CG, MCG12, MCG20 | a |
| 41 | 7.05 | C48H82O19 | 962.5425 | 962.5450 | −2.6 | 1007.5415[M + HCOO]−; 799.4822[M − Glc]−; 637.4333[M − (Glc/Glc) ]− | Notoginsenoside N | CG, MCG12, MCG20 | [43] |
| 42 | 7.20 | C48H82O19 | 962.5422 | 962.5450 | −2.9 | 985.5314[M + Na]+; 703.4371[M − Glc − 2 × OH − CH2OH]−; 439.3565[M − Glc − Glc/Glc − OH]− | Ginsenoside Re2 | CG, MCG12, ##,**MCG20 | [40] |
| 43 | 7.34 | C42H72O14 | 800.4934 | 800.4922 | 1.4 | 845.4916[M + HCOO]−; 637.4344[M − Glc]−; 475.3798[M − Glc − Glc]−; 179.0553[Glc − H]−; | Ginsenoside Rg1 | CG, MCG12, MCG20 | s |
| 44 | 7.36 | C48H82O18 | 946.5524 | 946.5501 | 2.3 | 991.5506[M + HCOO]−; 783.4912[M − Glc]−; 637.4344[M − (Glc/Rha)]−; 475.3798[M − Glc − (Glc/Rha)]− | Ginsenoside Re | CG, MCG12, MCG20 | s |
| 45 | 7.74 | C45H74O17 | 886.4925 | 886.4926 | −0.1 | 885.4853[M − H]−; 781.4740[M − HOCOCH2COOH]−; 619.4197[M − Glc(Mal)]−; 161.0438[Glc − H2O]− | Malonylginsenoside Rg1 | CG, MCG12, MCG20 | [39] |
| 46 | 7.93 | C48H76O19 | 956.4960 | 956.4981 | −2.2 | 979.4852[M + Na]+; 799.4161[M − CO2 − CH2OH − C6H12]+; 641.4008[M − Glc − C4H6O5]+;439.3562[M − Glc − Glc/Glc(mal)]+; 145.0493[Glc − OH]+ | Isomer of ginsenoside Ro | # CG, MCG12, MCG20 | [31] |
| 47 | 8.04 | C51H84O21 | 1032.5532 | 1032.5505 | 2.6 | 1031.5460[M − H]−; 987.5564[M − CO2]−; 927.5337[M − HOCOCH2COOH]−; 781.4759[M − Rha(Mal) ]−; 619.4222[M − (Rha(Mal)/Glc]− | Malonylginsenoside Re | CG, MCG12, MCG20 | [39] |
| 48 | 8.08 | C48H76O19 | 956.4950 | 956.4981 | −3.1 | 979.4842[M + Na]+; 817.4311[M − Glc]+; 439.3571[M − Glc/Glc − Glc − OH]+ | Isomer of ginsenoside Ro | CG, MCG12, MCG20 | [44] |
| 49 | 8.09 | C44H74O15 | 842.5032 | 842.5028 | 0.5 | 841.4959[M − H]−; 799.4861[M − CH2O]+; 781.4741[M − CH2O − OH]+; 637.4316[M − Xyl(mal)]+; 619.4228[M − Xyl(mal) − OH]+; 475.3798[M − Xyl(mal) − Glc]+; 179.0550[Glc − H]+; 161.0439[Glc − OH]+ | Yesanchinoside D | CG, MCG12, MCG20 | [45] |
| 50 | 8.10 | C45H74O17 | 886.4931 | 886.4926 | 0.6 | 885.4858[M − H]−; 781.4741[M − H − HOCOCH2COOH]−; 619.4228[M − H − Glc(Mal) ]−; 161.0439[Glc − H − H2O]− | Isomer of malonylginsenoside Rg1 | CG, MCG12, MCG20 | [39] |
| 51 | 8.49 | C41H70O13 | 770.4801 | 770.4816 | −1.5 | 815.4784[M + HCOO]−; 637.4321[M − Xyl]− | Notoginsenoside R2 | CG, MCG12, MCG20 | [39] |
| 52 | 8.50 | C56H94O24 | 1150.6124 | 1150.6135 | −1.1 | 1149.6051[M − H]−; 1119.5951[M − CH2OH − 2 × OH]−; 807.4861[M − Glc/Glc − OH]−; 605.4423[M − Glc/Glc − Glc(mal) ]−; 325.1119[Glc/Glc − OH]− | Quinquenoside R1 | CG, MCG12, ## MCG20 | [46] |
| 53 | 8.60 | C22H30O47 | 406.1957 | 406.1992 | −8.5 | 407.2030[M + H]+; 376.1859[M − OCH3]+ | Nigakilactone K | CG, MCG12, MCG20 | [47] |
| 54 | 8.87 | C48H82O19 | 962.5445 | 962.5450 | −0.5 | 1007.5427[M + HCOO]−; 797.4706[M − Glc]− | Ginsenoside Re3 | CG, MCG12, MCG20 | [37] |
| 55 | 8.96 | C56H92O25 | 1164.5929 | 1164.5928 | 0.1 | 1187.5821[M + Na]+; 1147.5803[M − OH]+; 805.4305[M − Ara/Glc − CH2OH − CH3]+; 443.3868[M − Ara/Glc − Glc/Glc(mal)]+ | Malonylginsenoside Rb2 | CG, MCG12, ##,* MCG20 | [44] |
| 56 | 9.41 | C59H100O27 | 1240.6488 | 1240.6452 | 2.8 | 1285.6740[M + HCOO]−; 945.5421[M − (Ara/Xyl) ]−; 913.5184[M − (Glc/Glc)]−; 783.4900[M − (Ara/Xyl) − Glc]− | Notoginsenoside R4 | CG, MCG12, MCG20 | s |
| 57 | 9.56 | C42H72O14 | 800.4921 | 800.4922 | −0.1 | 845.4903[M + HCOO]−; 637.4319[M − Glc]−; 475.3786[M − (Glc/Glc)]−; 1,3A2β221.0658; 161.0439[Glc – H − H2O]−;2,5A1β101.0235 | Ginsenoside Rf | CG, MCG12, MCG20 | s |
| 58 | 9.79 | C18H34O5 | 330.2398 | 330.2406 | −2.3 | 353.2290[M + Na]+; 213.1459[M + H – COOH – C5H11]+ | 12,13,15-Trihydroxy-9-octadecenoic acid | # CG, MCG12, MCG20 | [48] |
| 59 | 9.87 | C41H70O13 | 770.4809 | 770.4816 | −1.0 | 815.4791[M + HCOO]−; 475.3783[M − (Glc /Xyl)]−; 161.0437[Glc – H – H2O]− | Ginsenoside F5 | CG, MCG12, MCG20 | s |
| 60 | 9.89 | C60H102O28 | 1270.6635 | 1270.6558 | 5.9 | 1315.6617[M + HCOO]−; 841.4991[M − Glc/Glc – OH – C4H4]−; 769.4777[M − Glc/Glc/Glc – CH3]− | Ginsenoside Ra0 | CG, MCG12, MCG20 | [49] |
| 61 | 9.94 | C58H98O26 | 1210.6358 | 1210.6346 | 1.0 | 1255.6340[M + HCOO]−; 1077.5833[M – Xyl]−; 1047.5719[M – Glc]−; 955.4871[M – Glc – OH – C4H7]−; 783.4892[M – Glc/Xyl/Rha]− | Ginsenoside Ra2 | CG, MCG12, MCG20 | [50] |
| 62 | 10.00 | C22H22O10 | 446.1192 | 446.1213 | −4.5 | 469.1084[M + Na]+; 429.1154[M – OH]+; 385.0884[M – OH – CH3 – CH2OH]+; 341.0661[M – C4H8O3]+; 237.0746[M – C10H13O5]+; 193.0483[M – C12H16O6]+ | Glycitin | CG, MCG12, MCG20 | a |
| 63 | 10.01 | C59H100O27 | 1240.6462 | 1240.6452 | 0.8 | 1285.6444[M + HCOO]−; 1107.5964[M-Xyl]−; 945.5424[M – (Glc/Xyl)]−; 783.4912[M – Xyl – GlcGlc]− | Notoginsenoside Fa | CG, MCG12, MCG20 | [50] |
| 64 | 10.05 | C54H92O23 | 1108.6101 | 1108.6029 | 6.2 | 1153.6083[M + HCOO]−; 945.5437[M – Glc]−; 783.4888[M – (Glc/Glc)]−; 621.4382[M – (Glc/Glc) – Glc]−; 459.3835[M – (Glc/Glc) – (Glc/Glc)]−; 2,5A1β101.0235 | Ginsenoside Rb1 | CG, MCG12, MCG20 | s |
| 65 | 10.10 | C42H70O12 | 766.4863 | 766.4867 | −0.5 | 767.4936[M + H]+; 443.3866[M – Rha – Glc]+; 425.3762[M – Rha – Glc – OH]+ | Ginsenoside Rg4 | CG, MCG12, MCG20 | [34] |
| 66 | 10.20 | C57H94O26 | 1194.6087 | 1194.6033 | 4.5 | 1193.6015[M – H]−; 1149.6098[M – CO2]−; 783.4908[M – Glc/Glc)]−; 179.0545[Glc – H]− | Isomer of malonylginsenoside Rb1 | CG, MCG12, ##,** MCG20 | [39] |
| 67 | 10.22 | C42H72O13 | 784.4997 | 784.4973 | 2.9 | 829.4979[M + HCOO]−; 637.4336[M − Rha]−; 475.3809[M – (Glc/Rha)]−; 161.0449 [Rha – H]− | 20(R)-Ginsenoside Rg2 | CG, MCG12, MCG20 | s |
| 68 | 10.25 | C36H62O9 | 638.4407 | 638.4394 | 2.9 | 683.4389[M + HCOO]−; 161.0449[Glc − H − H2O]− | Ginsenoside Rh1 | CG, MCG12, MCG20 | s |
| 69 | 10.27 | C41H70O13 | 770.4779 | 770.4816 | −4.7 | 793.4672[M + Na]+; 587.4276[M − Ara(p) − 2 × OH]+; 423.3589[M − Ara(p)/Glc − 2 × OH]+ | Ginsenoside F3 | CG, ∆∆ MCG12, MCG20 | [34] |
| 70 | 10.29 | C36H60O8 | 620.4292 | 620.4288 | 0.7 | 621.4365[M + H]+; 390.2277[M − C17H26]+; 187.1473[M − OH − Glc − C16H24O]+ | Ginsenoside Rh4 | CG, MCG12, MCG20 | [40] |
| 71 | 10.32 | C53H90O22 | 1078.5939 | 1078.5924 | 1.3 | 1101.5805[M + Na]+; 939.5312[M − Glc]+; 929.5452[M − Ara(f)]+; 789.4784[M − Ara(f) − Glc]+ | Ginsenoside Rc | CG, MCG12, MCG20 | s |
| 72 | 10.34 | C58H98O26 | 1210.6356 | 1210.6346 | 0.7 | 1255.6338[M + HCOO]−; 1077.5851[M − Xly]−; 1047.5702[M − Glc]−; 945.5396[M − (Xly/ Ara(p))]−; 621.4323[M − (Xly/ Ara(p)/Glc − Glc]− | Ginsenoside Ra1 | CG, MCG12, MCG20 | [50] |
| 73 | 10.38 | C42H70O12 | 766.4872 | 766.4867 | 0.6 | 767.4945[M + H]+;605.4423[M − Glc]+;443.3870[M − Glc/Xyl]+;407.3660[M − Glc − 2 × OH]+; 163.0591[Glc − OH]+;145.04901[Glc − OH − H2O]+ | Ginsenoside Rg5 | CG, MCG12, MCG20 | s |
| 74 | 10.47 | C56H92O25 | 1164.5947 | 1164.5928 | 1.6 | 1163.5874[M − H]−; 1119.5961[M − CO2]−; 927.5320[M − Ara(f) − HOCOCH2COOH]− | Malonylginsenoside Rc | CG, MCG12, MCG20 | [44] |
| 75 | 10.51 | C48H76O19 | 956.5001 | 956.4981 | 2.1 | 955.4928[M − H]−; 793.4399[M − Glc]−; 613.3739[M − Glc − Glc − OH]− | Ginsenoside Ro | # CG, MCG12, MCG20 | s |
| 76 | 10.57 | C57H94O26 | 1194.6059 | 1194.6033 | 2.2 | 1193.5986[M − H]−; 1149.6062[M − CO2]−; 1089.5851[M − HOCOCH2COOH]−; 945.5428[M − Glc(Mal)]−; 783.4926[M − (Glc/Glc)]− | Malonylginsenoside Rb1 | CG, MCG12, MCG20 | [39] |
| 77 | 10.63 | C53H90O22 | 1078.5979 | 1078.5924 | 4.9 | 1123.5961[M + HCOO]−; 945.5448[M − Ara(p)]−; 783.4896[M − (Ara/Glc)]−; 149.0443[Ara(p) − H]− | Ginsenoside Rb2/Rb3 | CG, MCG12, MCG20 | s |
| 78 | 10.77 | C56H92O25 | 1164.5986 | 1164.5928 | 5.0 | 1163.5913[M − H]−; 1101.5822[M − CO2]−; 765.4782[M − H − Glc(Mal) − Ara(p) − OH]− | Malonylginsenoside Rb2 | CG, MCG12, MCG20 | [44] |
| 79 | 11.06 | C36H62O9 | 638.4391 | 638.4394 | −0.4 | 683.4373[M + HCOO]− | 20(R)-Ginsenoside Rh1 | CG, MCG12, MCG20 | s |
| 80 | 11.14 | C36H62O9 | 638.4399 | 638.4394 | 0.7 | 661.4291[M + Na]+; 376.2462[M − C17H24O2]+ | Ginsenoside F1 | CG, MCG12, MCG20 | s |
| 81 | 11.15 | C56H92O25 | 1164.5971 | 1164.5928 | 3.7 | 1163.5898[M − H]−; 1119.6000[M − CO2]−; 1059.5772[M − H − C3H4O4]−; | Malonylginsenoside Rb3 | CG, MCG12, MCG20 | [39] |
| 82 | 11.27 | C48H82O18 | 946.5482 | 946.5501 | −1.9 | 991.5464[M + HCOO]−; 783.4878[M − Glc]−; 621.4350[M − (Glc/Glc)]−; 161.0435[Glc − H]− | Ginsenoside Rd | CG, MCG12, MCG20 | s |
| 83 | 11.31 | C55H92O23 | 1120.6049 | 1120.6029 | 1.7 | 1143.5941[M + Na]+; 831.4874[M − Glc(mal)]− | Ginsenoside Rs1 | CG, MCG12, ##,* MCG20 | s |
| 84 | 11.36 | C42H70O12 | 766.4875 | 766.4867 | 1.0 | 767.4947[M + H]+; 605.4423[M − Rha]+; 587.4300[M − Rha − OH]+; 569.4211[M − Rha − 2 × OH]+; 443.3866[M − Rha/Glc]+; 425.3769[M − Rha/Glc − OH]+; 145.0491[Rha − H − H2O]+ | Ginsenoside Rg6 | CG, MCG12, MCG20 | [44] |
| 85 | 11.42 | C51H84O21 | 1032.5515 | 1032.5505 | 0.9 | 1131.5442[M − H]−; 765.4785[M − Glc(mal) − OH]−; 621.4372[M − (Glc/Glc(mal)]− | Malonylginsenoside Rd | CG, MCG12, MCG20 | [45] |
| 86 | 11.53 | C55H92O23 | 1120.6065 | 1120.6029 | 3.0 | 1165.6047[M + HCOO]−; 1077.5851[M − Ac]−; 1059.5745[M − Ac − OH]− | Ginsenoside Rs2 | CG, MCG12, MCG20 | s |
| 87 | 11.69 | C42H70O13 | 782.4738 | 782.4816 | −9.7 | 805.4631[M + Na]+; 621.4354[M − Glc]+; 311.0902[Glc/Glc − CH2OH]+ | Ginsenoside Rg10 | CG, MCG12, MCG20 | a |
| 88 | 11.79 | C48H82O18 | 946.5494 | 946.5501 | −0.7 | 991.5476[M + HCOO]−; 927.5308[M − OH]−; 783.4926[M − Glc]−; 621.4412[M − (Glc/Glc) ]− | Gypenoside XVII | CG, MCG12, MCG20 | s |
| 89 | 11.81 | C51H84O21 | 1032.5504 | 1032.5505 | −0.1 | 1031.5431[M − H]−; 987.5535[M − CO2]−; 621.4412[M − (Glc/Glc(mal))]−; 179.0546[Glc − H]− | Isomer of malonylginsenoside Rd | CG, MCG12, MCG20 | [49] |
| 90 | 11.88 | C48H82O18 | 946.5476 | 946.55021 | −2.6 | 969.5368[M + Na]+; 605.4394[M − Glc/Glc]+; 587.4312[M − Glc/Glc − OH]+; 425.3744[M − Glc/Glc − Glc]+; 407.3661[M − Glc/Glc − OH − Glc]+ | Chikusetsusaponin FK1 | CG, MCG12, MCG20 | [40] |
| 91 | 12.18 | C47H80O17 | 916.5398 | 916.5396 | 0.2 | 961.5380[M + HCOO]−; 783.4870[M − Xyl]−; 621.4388[M − (Xyl/glc)]− | Notoginsenoside Fe | CG, MCG12, MCG20 | s |
| 92 | 12.39 | C50H84O19 | 988.5565 | 988.5607 | −4.1 | 1011.5458[M + Na]+; 831.4819[M − Glc]+; 425.3763[M − Glc/Glc(ace) − Glc]+ | Quinquenoside III | CG, MCG12, MCG20 | [51] |
| 93 | 12.45 | C47H80O17 | 916.5376 | 916.5396 | −2.1 | 939.5268[M + Na]+; 789.4754[M − 2 × OH − CH6O3]+ | Vinaginsenoside R16 | CG, MCG12, MCG20 | [40] |
| 94 | 12.59 | C47H80O17 | 916.5361 | 916.5396 | −3.7 | 939.5253[M + Na]+; 407.3672[M − Glc − (Glc/Xyl) − OH]+ | Gypenoside IX | CG, MCG12, MCG20 | [52] |
| 95 | 12.91 | C50H84O19 | 988.5569 | 988.5607 | −3.8 | 1011.5461[M + Na]+; 789.4784[M − Glc − 2 × OH]+ | Quinquenoside III isomer | CG, MCG12, MCG20 | [51] |
| 96 | 13.29 | C52H86O19 | 1014.5753 | 1014.5763 | −1.0 | 1037.5645[M + Na]+; 857.5032[M − C4H8O4 − 2 × OH]+; 393.1376[Glc/Glc(ace) − OH]+ | Quinquenoside I | CG, MCG12, MCG20 | [53] |
| 97 | 13.34 | C42H72O13 | 784.4984 | 784.4973 | 1.4 | 829.4966[M + HCOO]−; 621.4373[M − Glc]−; 161.0437[Glc − H − H2O]− | Ginsenoside F2 | CG, MCG12, MCG20 | s |
| 98 | 13.55 | C42H72O13 | 784.4977 | 784.4973 | 0.5 | 807.4869[M + Na]+; 605.4402[M − Glc]+; 587.4286[M − Glc − OH]+; 425.3765[M − Glc/Glc − OH]+; 407.3659[M − Glc/Glc − 2 × OH]+ | 20(R)-Ginsenoside Rg3 | CG, MCG12, MCG20 | s |
| 99 | 13.57 | C17H24O2 | 260.1774 | 260.1776 | −0.8 | 261.1847[M + H]+ | Panaxydol | ∆∆,## CG, MCG12, MCG20 | [54] |
| 100 | 13.77 | C42H66O14 | 794.4464 | 794.4453 | 1.4 | 793.4391[M − H]−; 731.4375[M − CO2 − OH]−; 613.3746[M − Glc]− | Chikusetsusaponin Iva | CG, MCG12, MCG20 | [51] |
| 101 | 14.02 | C52H86O19 | 1014.5750 | 1014.5763 | −1.3 | 1037.5642[M + Na]+; 789.4732[M − Glc − C2H4O2]+ | Isomer of Quinquenoside I | CG, MCG12, MCG20 | [51] |
| 102 | 14.38 | C17H26O3 | 278.1879 | 278.1882 | −1.1 | 279.1952[M + H]+ | Panaxtriol | CG, MCG12, MCG20 | [55] |
| 103 | 14.46 | C42H72O13 | 784.4970 | 784.4973 | −0.3 | 829.4966[M + HCOO]−; 621.4373[M − Glc]−; 407.3672[M − Glc/Glc − 2 × OH]+ | 20(S)-Ginsenoside Rg3 | CG, MCG12, MCG20 | s |
| 104 | 15.05 | C18H34O4 | 314.2444 | 314.2457 | −3.8 | 337.2336[M + Na]+ | Dibutyl sebacate | CG, MCG12, MCG20 | a |
| 105 | 17.90 | C16H22O4 | 278.1516 | 278.1518 | −0.7 | 301.1408[M + Na]+; 149.0230[M − C4H9 − C4H9O]+ | n-Butyl isobutyl phthalate | CG, MCG12, MCG20 | a |
| 106 | 17.93 | C30H52O4 | 476.3856 | 476.3866 | −2.2 | 499.3747[M + Na]+; 441.3728[M − 2 × OH]+; 423.3590[M − 3 × OH]+; 317.2049[M − 2 × CH3 − C8H15O]+ | 20(R)-Protopanaxatriol | CG, MCG12, MCG20 | [56] |
| 107 | 17.95 | C16H30O2 | 254.2246 | 254.2268 | 8.2 | 277.2161[M + Na]+ | Palmitoleic acid | CG, ∆,** MCG12, MCG20 | s |
| 108 | 18.07 | C19H18O3 | 294.1258 | 294.1256 | 0.5 | 317.1150[M + Na]+ | Tashinone IIA | CG, MCG12, MCG20 | [57] |
| 109 | 18.08 | C30H48O4 | 472.3546 | 472.3553 | −1.4 | 495.3438[M + Na]+ | β-Amyrone | CG, MCG12, MCG20 | [58] |
| 110 | 18.08 | C6H6O3 | 126.0331 | 126.0317 | 9.4 | 149.0223[M + Na]+ | Pyrogallol | CG, MCG12, MCG20 | a |
| 111 | 18.09 | C30H48O4 | 472.3546 | 472.3553 | −1.8 | 495.3438[M + Na]+ | 24-Hydroxyoleanolic acid | CG, ∆∆,** MCG12, MCG20 | [59] |
| 112 | 18.09 | C24H38O5 | 406.2720 | 406.2719 | 0.3 | 429.2613[M + Na]+; 319.1950[M − CH3 − C4H7O]+; 261.2213[M − 2 × C2H4O2 − C2H3]+; | Vitetrifolin | CG, MCG12, MCG20 | a |
| 113 | 20.14 | C31H46O2 | 450.3535 | 450.3498 | 8.0 | 473.3428[M + Na]+; 430.2889[M − C3H7]+ | Vitamin K1 | CG, MCG12, MCG20 | [60] |
| 114 | 20.97 | C18H30O2 | 278.2224 | 278.2252 | −7.9 | 277.2151[M − H]−; 232.2172[M − COOH]− | α-Linolenic acid | ∆∆,## CG, MCG12, MCG20 | [61] |
| 115 | 21.18 | C21H38O4 | 354.2758 | 354.2770 | −3.1 | 377.2650[M + Na]+ | β-Monolinolein | CG, MCG12, MCG20 | [62] |
| 116 | 22.11 | C18H32O | 264.2452 | 264.2453 | −0.5 | 265.2525[M + H]+; 149.1320[M − CH2 − C6H12O]+; 135.1166[M − CH2 − C7H13O]+; 121.1008[M − CH2 − C8H15O]+; 109.1010[M − C8H15O − C2H3]+ | (Z)-9,17-Octadecadienal | CG, MCG12, MCG20 | [63] |
| 117 | 22.49 | C18H32O2 | 280.2386 | 280.2402 | −5.9 | 279.2313[M − H]−; 234.2325[M − COOH]− | Linoleic acid | ∆∆,## CG, MCG12, MCG20 | s |
| 118 | 23.85 | C14H20O2 | 220.1478 | 220.1463 | 5.6 | 265.1460[M + HCOO]− | Thymyl isobutyrate | CG, MCG12, MCG20 | [64] |
| 119 | 24.25 | C18H34O2 | 282.2541 | 282.2559 | −6.3 | 281.2468[M − H]−; 236.2481[M − COOH]− | 9-Octadecenoic acid | ∆∆,## CG, MCG12, MCG20 | a |
| 120 | 24.40 | C36H62O8 | 622.4454 | 622.4445 | 1.6 | 623.4527[M + H]+; 316.2842[M − OH − Glc − C8H14]+; | Compound K | CG, MCG12, MCG20 | [40] |
| 121 | 24.89 | C40H56O4 | 600.4219 | 600.4179 | 6.7 | 601.4292[M + H]+; 557.4021[M − C2H4]+ | Violaxanthin | CG, MCG12, MCG20 | [65] |
| 122 | 25.31 | C20H38O2 | 310.2862 | 310.2872 | −3.2 | 311.2935[M + H]+; 277.1995[M − C6H13]+ | Ethyloleate | CG, MCG12, MCG20 | a |
| 123 | 25.35 | C40H56O4 | 600.4212 | 600.4179 | 5.6 | 601.4285[M + H]+; 497.3800[M − OH − C4H8O2]+ | Neoxanthine | CG, MCG12, MCG20 | [65] |
| 124 | 26.38 | C24H38O4 | 390.2758 | 390.2770 | −2.8 | 413.2653[M + Na]+; 301.1406[M − 3 × C2H5]+; 189.0153[M − C2H5 − C4H9 − C8H17]+; 167.0327[M − 2 × C2H17]+ | Bis(2-ethylhexyl) phthalate | CG, MCG12, MCG20 | a |
| 125 | 28.01 | C30H46O5 | 486.3334 | 486.3345 | −2.2 | 509.3226[M + Na]+ | Quillaic acid | CG, MCG12, MCG20 | s |
| 126 | 29.04 | C5H8O2 | 100.0512 | 100.0524 | −10.0 | 123.0404[M + Na]+ | Pentanedial | CG, MCG12, MCG20 | [66] |
| Groups for Comparison | Marker’ Name | VIP Value | p Value | |
|---|---|---|---|---|
| CG4–6 years vs. MCG12 years | CG4–6 years | α-linolenic acid | 1.23 | <0.001 |
| 9-octadecenoic acid | 2.17 | <0.001 | ||
| linoleic acid | 2.57 | <0.001 | ||
| panaxydol | 1.49 | <0.001 | ||
| MCG12 years | 24-hydroxyoleanolic acid | 4.13 | <0.001 | |
| ginsenoside F3 | 2.15 | <0.001 | ||
| palmitoleic acid | 1.54 | 0.037 | ||
| CG4–6 years vs. MCG20 years | MCG20 years | ginsenoside Re1 | 1.60 | <0.001 |
| ginsenoside Re2 | 1.75 | <0.001 | ||
| ginsenoside Rs1 | 1.59 | <0.001 | ||
| malonylginsenoside Rb2 | 4.10 | <0.001 | ||
| ginsenoside Rf | 1.83 | <0.001 | ||
| isomer of malonylginsenoside Rb1 | 2.30 | <0.001 | ||
| quinquenoside R1 | 1.21 | <0.001 | ||
| CG4-6 years | ginsenoside Ro | 1.39 | 0.017 | |
| isomer of ginsenoside Ro | 2.31 | 0.022 | ||
| 12,13,15-trihydroxy-9-octadecenoic acid | 1.25 | 0.003 | ||
| linoleic acid | 7.08 | <0.001 | ||
| 9-octadecenoic acid | 3.45 | <0.001 | ||
| α-linolenic acid | 1.86 | <0.001 | ||
| panaxydol | 1.12 | <0.001 | ||
| MCG12 years vs. MCG20 years | MCG12 years | palmitoleic acid | 2.07 | <0.001 |
| 24-hydroxyoleanolic acid | 3.26 | <0.001 | ||
| MCG20 years | ginsenoside Re1 | 1.16 | 0.002 | |
| ginsenoside Rs1 | 1.89 | 0.024 | ||
| malonylginsenoside Rb2 | 2.76 | 0.026 | ||
| ginsenoside Re2 | 1.60 | <0.001 | ||
| isomer of malonylginsenoside-Rb1 | 3.87 | <0.001 | ||
© 2018 by the authors. Licensee MDPI, Basel, Switzerland. This article is an open access article distributed under the terms and conditions of the Creative Commons Attribution (CC BY) license (http://creativecommons.org/licenses/by/4.0/).
Share and Cite
Zhu, H.; Lin, H.; Tan, J.; Wang, C.; Wang, H.; Wu, F.; Dong, Q.; Liu, Y.; Li, P.; Liu, J. UPLC-QTOF/MS-Based Nontargeted Metabolomic Analysis of Mountain- and Garden-Cultivated Ginseng of Different Ages in Northeast China. Molecules 2019, 24, 33. https://doi.org/10.3390/molecules24010033
Zhu H, Lin H, Tan J, Wang C, Wang H, Wu F, Dong Q, Liu Y, Li P, Liu J. UPLC-QTOF/MS-Based Nontargeted Metabolomic Analysis of Mountain- and Garden-Cultivated Ginseng of Different Ages in Northeast China. Molecules. 2019; 24(1):33. https://doi.org/10.3390/molecules24010033
Chicago/Turabian StyleZhu, Hailin, Hongqiang Lin, Jing Tan, Cuizhu Wang, Han Wang, Fulin Wu, Qinghai Dong, Yunhe Liu, Pingya Li, and Jinping Liu. 2019. "UPLC-QTOF/MS-Based Nontargeted Metabolomic Analysis of Mountain- and Garden-Cultivated Ginseng of Different Ages in Northeast China" Molecules 24, no. 1: 33. https://doi.org/10.3390/molecules24010033
APA StyleZhu, H., Lin, H., Tan, J., Wang, C., Wang, H., Wu, F., Dong, Q., Liu, Y., Li, P., & Liu, J. (2019). UPLC-QTOF/MS-Based Nontargeted Metabolomic Analysis of Mountain- and Garden-Cultivated Ginseng of Different Ages in Northeast China. Molecules, 24(1), 33. https://doi.org/10.3390/molecules24010033

