Anti-Proliferation Effect of Theasaponin E1 on the ALDH-Positive Ovarian Cancer Stem-Like Cells
Abstract
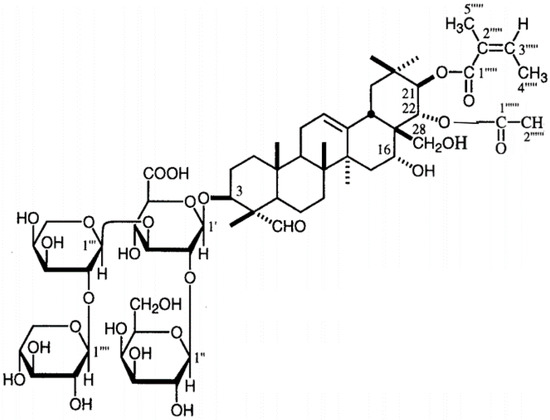
1. Introduction
2. Results
2.1. Expression of ALDH in Both Tumor and Sphere Cells
2.2. Sphere Cells Exhibits Stemness Properties
2.3. TSE1 Inhibits the Cell Growth of Sphere Cells
2.4. TSE1 Suppresses the Sphere Formation of Sphere Cells
3. Discussion
4. Materials and Methods
4.1. General Experimental Procedures
4.2. Cell Culture
4.3. Tumor Sphere Culture
4.4. ALDEFLUORTM Kit ALDH Analysis
4.5. Sphere Formation Assay
4.6. Western Blot Analysis
4.7. Transwell Migration and Invasion Assays
4.8. Cell Viability
4.9. Statistical Analysis
5. Conclusions
Author Contributions
Funding
Acknowledgments
Conflicts of Interest
Abbreviations
| ALDH | Aldehyde dehydrogenase |
| CSCs | Cancer stem cells |
| TSE1 | Theasaponins E1 |
References
- Zhang, R.; Zhang, P.; Wang, H.; Li, W.; Xiao, G.; Li, C. Inhibitory effects of metformin at low concentration on epithelial–mesenchymal transition of CD44+CD117+ ovarian cancer stem cells. Stem Cell Res. Ther. 2015, 6, 262. [Google Scholar] [CrossRef] [PubMed]
- Siegel, R.L.; Miller, K.D.; Jemal, A. Cancer statistics, 2016. CA Cancer J. Clin. 2016, 66, 7–30. [Google Scholar] [CrossRef] [PubMed]
- Baldwin, L.A.; Huang, B.; Miller, R.W.; Tucker, T.; Goodrich, S.T.; Podzielinski, I.; DeSimone, C.P.; Ueland, F.R.; van Nagell, J.R.; Seamon, L.G. Ten-year relative survival for epithelial ovarian cancer. Obstet. Gynecol. 2012, 120, 612–618. [Google Scholar] [CrossRef] [PubMed]
- Bapat, S.A. Human ovarian cancer stem cells. Reproduction 2010, 140, 33–41. [Google Scholar] [CrossRef] [PubMed]
- Pal, D.; Kolluru, V.; Chandrasekaran, B.; Baby, B.V.; Aman, M.; Suman, S.; Sirimulla, S.; Sanders, M.A.; Alatassi, H.; Ankem, M.K.; et al. Targeting aberrant expression of Notch-1 in ALDH (+) cancer stem cells in breast cancer. Mol. Carcinog. 2017, 56, 1127–1136. [Google Scholar] [CrossRef] [PubMed]
- Muinao, T.; Deka Boruah, H.P.; Pal, M. Diagnostic and Prognostic Biomarkers in ovarian cancer and the potential roles of cancer stem cells-An updated review. Exp. Cell Res. 2018, 362. [Google Scholar] [CrossRef] [PubMed]
- Li, C.; Heidt, D.G.; Dalerba, P.; Burant, C.F.; Zhang, L.; Adsay, V.; Wicha, M.; Clarke, M.F.; Simeone, D.M. Identification of pancreatic cancer stem cells. Cancer Res. 2007, 67, 1030–1037. [Google Scholar] [CrossRef] [PubMed]
- O’Brien, C.A.; Pollett, A.; Gallinger, S.; Dick, J.E. A human colon cancer cell capable of initiating tumour growth in immunodeficient mice. Nature 2007, 445, 106–110. [Google Scholar] [CrossRef] [PubMed]
- Bonnet, D.; Dick, J.E. Human acute myeloid leukemia is organized as a hierarchy that originates from a primitive hematopoietic cell. Nat. Med. 1997, 3, 730–737. [Google Scholar] [CrossRef] [PubMed]
- Hamburger, A.W.; Salmon, S.E. Primary bioassay of human tumor stem cells. Science 1977, 197, 461–463. [Google Scholar] [CrossRef] [PubMed]
- Ginestier, C.; Hur, M.H.; Charafejauffret, E.; Monville, F.; Dutcher, J.; Brown, M.; Jacquemier, J.; Viens, P.; Kleer, C.G.; Liu, S.; et al. ALDH1 is a marker of normal and malignant human mammary stem cells and a predictor of poor clinical outcome. Cell Stem Cell. 2007, 1, 555–567. [Google Scholar] [CrossRef] [PubMed]
- Ng, C.Y.J. To Investigate the Effect of Rhizoma Paridis Saponins on Lung Cancer Stem Cells. Master’s Thesis, Hong Kong Polytechnic University, Hong Kong, China, 2014. [Google Scholar]
- Zhou, J.R.; Gong, Y. Tea bioactive compounds inhibit prostate cancer stem cells via downregulation of Bmi1. FASEB J. 2013, 639, 10. [Google Scholar]
- Kitagawa, I.; Hori, K.; Motozawa, T.; Murakami, T.; Yoshikawa, M. Structures of new acylated oleanene-type triterpene oligoglycosides, theasaponins E1 and E2, from the seeds of tea plant, Camellia sinensis (L.) O. Kuntze. Chem. Pharm. Bull. (Tokyo) 1998, 46, 1901–1906. [Google Scholar] [CrossRef] [PubMed]
- Tomita, M.; Yamamoto, S.; Yamaguchi, K.; Ohigashi, H.; Yagi, T.; Kohata, K.; Berden, J.A. Theasaponin E1 destroys the salt tolerance of yeasts. J. Biosci. Bioeng. 2000, 90, 637–642. [Google Scholar] [CrossRef]
- Yoshikawa, M.; Morikawa, T.; Li, N.; Nagatomo, A.; Li, X.; Matsuda, H. Bioactive saponins and glycosides. xxiii. triterpene saponins with gastroprotective effect from the seeds of camellia sinensis–theasaponins E3, E4, E5, E6, and E7. Chem. Pharm. Bull. (Tokyo) 2005, 53, 1559–1564. [Google Scholar] [CrossRef] [PubMed]
- Kim, J.D.; Chaudhary, N.; Seo, H.J.; Kim, M.Y.; Shin, T.S. Theasaponin E1 as an effective ingredient for anti-angiogenesis and anti-obesity effects. Biosci. Biotechnol. Biochem. 2014, 78, 279–287. [Google Scholar] [CrossRef] [PubMed]
- Li, N.; Ma, Z.J.; Chu, Y.; Wang, Y.; Li, X. Phytochemical analysis of the triterpenoids with cytotoxicity and QR inducing properties from the total tea seed saponin of camellia sinensis. Fitoterapia 2013, 84, 321–325. [Google Scholar] [CrossRef] [PubMed]
- Jia, L.Y.; Wu, X.J.; Gao, Y.; Rankin, G.O.; Pigliacampi, A.; Bucur, H.; Li, B.; Tu, Y.Y.; Chen, Y.C. Inhibitory effects of total triterpenoid saponins isolated from the seeds of the tea plant (Camellia sinensis) on human ovarian cancer cells. Molecules 2017, 22, 1649. [Google Scholar] [CrossRef] [PubMed]
- Pals, S.T.; Horst, E.; Ossekoppele, G.J.; Figdor, C.G.; Scheper, R.J.; Meijer, C.J. Expression of lymphocyte homing receptor as a mechanism of dissemination in non-hodgkin’s lymphoma. Blood 1989, 73, 885–888. [Google Scholar] [PubMed]
- Sy, M.S.; Guo, Y.J.; Stamenkovic, I. Distinct effects of two CD44 isoforms on tumor growth in vivo. J. Exp. Med. 1991, 174, 859–866. [Google Scholar] [CrossRef] [PubMed]
- Bhattacharya, R.; Mitra, T.; Chaudhuri, S.R.; Roy, S.S. Mesenchymal splice isoform of CD44 (CD44s) promotes EMT/invasion and imparts stemlike properties to ovarian cancer cells. J. Cell. Biochem. 2017. [Google Scholar] [CrossRef]
- Pesce, M.; Wang, X.; Wolgemuth, D.J.; Schöler, H. Differential expression of the Oct-4 transcription factor during mouse germ cell differentiation. Mech. Dev. 1998, 71, 89–98. [Google Scholar] [CrossRef]
- Chambers, I.; Colby, D.; Robertson, M.; Nichols, J.; Lee, S.; Tweedie, S.; Smith, A. Functional expression cloning of Nanog, a pluripotency sustaining factor in embryonic stem cells. Cell 2003, 113, 643–655. [Google Scholar] [CrossRef]
- Czabotar, P.E.; Lessene, G.; Strasser, A.; Adams, J.M. Control of apoptosis by the bcl-2 protein family: Implications for physiology and therapy. Nat. Rev. Mol. Cell Biol. 2014, 15, 49–63. [Google Scholar] [CrossRef] [PubMed]
- Zhang, Q.H.; Dou, H.T.; Xu, P.; Liu, P.S. Tumor recurrence and drug resistance properties of side population cells in high grade ovary cancer. Drug Res. (Stuttg.) 2015, 65, 153–157. [Google Scholar] [CrossRef] [PubMed]
- Chen, Y.; Jiang, T.; Mao, A.; Xu, J. Esophageal cancer stem cells express plgf to increase cancer invasion through mmp9 activation. Tumour Biol. 2014, 35, 12749–12755. [Google Scholar] [CrossRef] [PubMed]
- Huang, J.S.; Yao, C.J.; Shuang-En, C.; Chi-Tai, Y.; Liang-Ming, L.; Chen, R.M.; Chao, W.J.; Whang-Peng, J.; Lai, G.M. Honokiol inhibits sphere formation and xenograft growth of oral cancer side population cells accompanied with JAK/STAT signaling pathway suppression and apoptosis induction. BMC Cancer 2016, 16, 245. [Google Scholar] [CrossRef] [PubMed]
- Jiang, X.; Feng, K.; Yang, X. In vitro antifungal activity and mechanism of action of tea polyphenols and tea saponin against rhizopus stolonifer. J. Mol. Microbiol. Biotechnol. 2015, 25, 269–276. [Google Scholar] [CrossRef] [PubMed]
- Hayashi, K.; Sagesaka, Y.M.; Suzuki, T.; Suzuki, Y. Inactivation of human type a and b influenza viruses by tea-seed saponins. Biosci. Biotechnol. Biochem. 2000, 64, 184–186. [Google Scholar] [CrossRef] [PubMed]
- Yang, W.S.; Ko, J.; Kim, E.; Kim, J.H.; Park, J.G.; Sung, N.Y.; Kim, H.G.; Yang, S.; Rho, H.S.; Hong, Y.D.; et al. 21-O-Angeloyltheasapogenol E3, a novel triterpenoid saponin from the seeds of tea plants, inhibits macrophage-mediated inflammatory responses in a NF-κB-dependent manner. Mediators Inflamm. 2014, 2014, 658351. [Google Scholar] [CrossRef] [PubMed]
- Matsuda, H.; Hamao, M.; Nakamura, S.; Kon’I, H.; Murata, M.; Yoshikawa, M. Medicinal flowers. XXXIII. Anti-hyperlipidemic and anti-hyperglycemic effects of chakasaponinsI-III and structure of chakasaponin IV from flower buds of Chinese tea plant (Camellia sinensis). Chem. Pharm. Bull. (Tokyo) 2012, 60, 674–680. [Google Scholar] [CrossRef] [PubMed]
- Bhardwaj, J.; Chaudhary, N.; Seo, H.J.; Kim, M.Y.; Shin, T.S.; Kim, J.D. Immunomodulatory effect of tea saponin in immune T-cells and T-lymphoma cells viaregulation of Th1, Th2 immune response and MAPK/ERK2 signaling pathway. Immunopharmacol. Immunotoxicol. 2014, 36, 202–210. [Google Scholar] [CrossRef] [PubMed]
- Joshi, R.; Sood, S.; Dogra, P.; Mahendru, M.; Kumar, D.; Bhangalia, S.; Pal, C.H.; Kumar, N.; Bhushan, S.; Gulati, A.; et al. In vitro cytotoxicity, antimicrobial, and metal-chelating activity of triterpene saponins from tea seed grown in kangra valley, india. Med. Chem. Res. 2013, 22, 4030–4038. [Google Scholar] [CrossRef]
Sample Availability: Not available. |







© 2018 by the authors. Licensee MDPI, Basel, Switzerland. This article is an open access article distributed under the terms and conditions of the Creative Commons Attribution (CC BY) license (http://creativecommons.org/licenses/by/4.0/).
Share and Cite
Jia, L.-Y.; Xia, H.-L.; Chen, Z.-D.; Compton, C.; Bucur, H.; Sawant, D.A.; Rankin, G.O.; Li, B.; Tu, Y.-Y.; Chen, Y.C. Anti-Proliferation Effect of Theasaponin E1 on the ALDH-Positive Ovarian Cancer Stem-Like Cells. Molecules 2018, 23, 1469. https://doi.org/10.3390/molecules23061469
Jia L-Y, Xia H-L, Chen Z-D, Compton C, Bucur H, Sawant DA, Rankin GO, Li B, Tu Y-Y, Chen YC. Anti-Proliferation Effect of Theasaponin E1 on the ALDH-Positive Ovarian Cancer Stem-Like Cells. Molecules. 2018; 23(6):1469. https://doi.org/10.3390/molecules23061469
Chicago/Turabian StyleJia, Ling-Yan, Hui-Long Xia, Zhi-Da Chen, Casey Compton, Heather Bucur, Devendra A. Sawant, Gary O. Rankin, Bo Li, You-Ying Tu, and Yi Charlie Chen. 2018. "Anti-Proliferation Effect of Theasaponin E1 on the ALDH-Positive Ovarian Cancer Stem-Like Cells" Molecules 23, no. 6: 1469. https://doi.org/10.3390/molecules23061469
APA StyleJia, L.-Y., Xia, H.-L., Chen, Z.-D., Compton, C., Bucur, H., Sawant, D. A., Rankin, G. O., Li, B., Tu, Y.-Y., & Chen, Y. C. (2018). Anti-Proliferation Effect of Theasaponin E1 on the ALDH-Positive Ovarian Cancer Stem-Like Cells. Molecules, 23(6), 1469. https://doi.org/10.3390/molecules23061469

