Abstract
For the first time, compounds with lanthanum from the main family element Boron (LaBx) were investigated as an active layer for thin-film transistors (TFTs). Detailed studies showed that the room-temperature fabricated LaBx thin film was in the crystalline state with a relatively narrow optical band gap of 2.28 eV. The atom ration of La/B was related to the working pressure during the sputtering process and the atom ration of La/B increased with the increase of the working pressure, which will result in the freer electrons in the LaBx thin film. LaBx-TFT without any intentionally annealing steps exhibited a saturation mobility of 0.44 cm2·V−1·s−1, which is a subthreshold swing (SS) of 0.26 V/decade and a Ion/Ioff ratio larger than 104. The room-temperature process is attractive for its compatibility with almost all kinds of flexible substrates and the LaBx semiconductor may be a new choice for the channel materials in TFTs.
1. Introduction
The flexible active matrix organic light-emitting diode (AMOLED) displays have been attracting great attention because they have many outstanding advantages such as thin width, lightweight, and superior flexibility [1,2,3]. As the key part of the AMOLED, thin film transistors (TFTs) with a low temperature process become an inevitable trend in order to match flexible displays.
Over recent decades, amorphous silicon (a-Si) and polycrystalline silicon have been the main choice for channels in TFTs. However, a-Si TFTs has a low mobility of less than 1 cm2·V−1·s−1, which is too low to drive high resolution displays [4,5]. On the other hand, polycrystalline silicon TFTs possess poor uniformity due to the grain boundary, which limits its application in large-size displays [6,7]. Compared to silicon based TFTs, metal oxide TFTs (e.g., InGaZnO [8,9,10], InZnO [11,12,13], and ZnO [14,15,16]) have a great potential in flat panel displays because of their high mobility, visible-light transparency, satisfactory uniformity, and low temperature process [17,18]. However, TFTs based on metal oxides are meeting a great challenge of long-term stability. Actually, InGaZnO (IGZO) was the most representative among oxide material systems. Since Nomura et al. [19] reported the flexible TFTs based on IGZO, the IGZO has attracted extensive attention. Currently, with the efforts of many scientific researchers, AMOLEDs based on IGZO-TFTs have entered people’s life. However, Indium is a rare earth element and is becoming rarer. Therefore, the cost is very expensive. Furthermore, considering the cost and stability, it is necessary to develop some new materials to fabricate TFTs at a low temperature. To develop In-free materials, Alston et al. [20] reported TFTs with a GaSnZnO (GSZO) active layer fabricated below 150 °C. However, the mobility was only 0.14 cm2·V−1·s−1. Park et al. [21] reported solution-processed TFTs with an alkali metal doped ZnO active layer, but the ZnO surface was sensitive to the atmosphere and the device stability was poor. Kim et al. [22] reported TFTs with an Hf doped ZnO active layer, but the electrical performance was poor with a large subthreshold swing (SS) of 1.09 V/decade and a turn-on voltage (Von) of −7 V. Jiang et al. [23] reported TFTs with an Al doped ZnO active layer, but the mobility was only 0.17 cm2·V−1·s−1. It seems difficult to attain high-performance TFTs with a ZnO based active layer without the Indium element. Therefore, it is necessary to develop a new semiconductor material system suitable for an active layer in TFTs.
Lanthanum hexaboride (LaB6) is a known functional ceramic material in the photoelectric field due to its high melting temperature, excellent chemical stability, and high hardness [24,25,26,27]. Furthermore, La is relatively abundant in the earth’s crust with an annual output of 12,500 t compared to the In with an annual output of 75 t and Ga with an annual output of 30 t. In and Ga are limited resources and becoming rarer, so the relatively rich content in the earth’s crust means a lower price. Therefore, LaBx is cheaper than In2O3 based material for an active layer in TFTs. Considering the physical properties and cost, there is a great potential for LaB6 materials in the semiconductor field. Conventionally, LaB6 is widely used as cathode emission material [28,29]. So far, there is no report about its application in the TFTs field.
In our work, we report the fabrication and performance of TFTs that use compounds with lanthanum and the main family element Boron (LaBx) for the active layer. This is the first time to use LaBx thin film as the channel materials in TFTs. The LaBx-TFTs exhibited obvious field-effect characteristics. The structure and performance of LaBx thin films were investigated by X-ray photoelectron spectroscopy (XPS), X-ray diffraction (XRD), and UV-Visible spectrometer. Compared to the TFTs with ZnO-TFTs with the In element, the outstanding advantages of LaBx-TFTs include the following: the cost of LaB6 is relatively cheap due to the abundant content of La in the earth crust, which is helpful for reducing the manufacturing cost and the stable chemical properties of LaB6, which is beneficial for high-stability devices. Additionally, the LaB6 has a low coefficient of expansion close to zero, so the stress between LaB6 and adjacent films is low and it is easy to attain high-stability flexible devices. Therefore, it may provide a new choice for channel materials in TFTs.
2. Experimental
The LaBx-TFTs were fabricated with a top contact configuration (see Figure 1) by using a heavily doped n-type silicon wafer with a 300 nm thick layer of thermally oxidized SiO2 (11.4 nF/cm2), which serves as the gate electrode and gate insulator, respectively. The wafers were cleaned in an ultrasonic bath with acetone, de-ionized water, detergent, de-ionized water, and isopropanol for 10 min in sequence. The LaBx thin films with a thickness of 40 nm (optimized thickness) were deposited on the silicon wafer by DC magnetron sputtering with LaB6 target in a pure argon atmosphere with a flow of 25 sccm and patterned by a shadow mask with an area of 500 μm × 800 μm. For the source/drain electrodes, 380-nm-layer of ITO was sputtered through a shadow mask defining a channel width/length (W/L) of 300/300 μm. The whole preparation process was completed at room temperature. We compared the device A to device B and made a detailed investigation on the different electrical performances between device A and B. In this scenario, the only difference between device A and B is that the LaBx channel layer was prepared under different working pressure. For device A, the LaBx thin film was deposited in pure argon atmosphere with a flow rate of 25 sccm under a working pressure of 0.25 Pa. At the same time, the LaBx thin film was deposited under a working pressure of 3.8 Pa for device B.
Figure 1.
The schematic structure of LaBx-TFT.
3. Results and Discussion
3.1. Electrical Properties
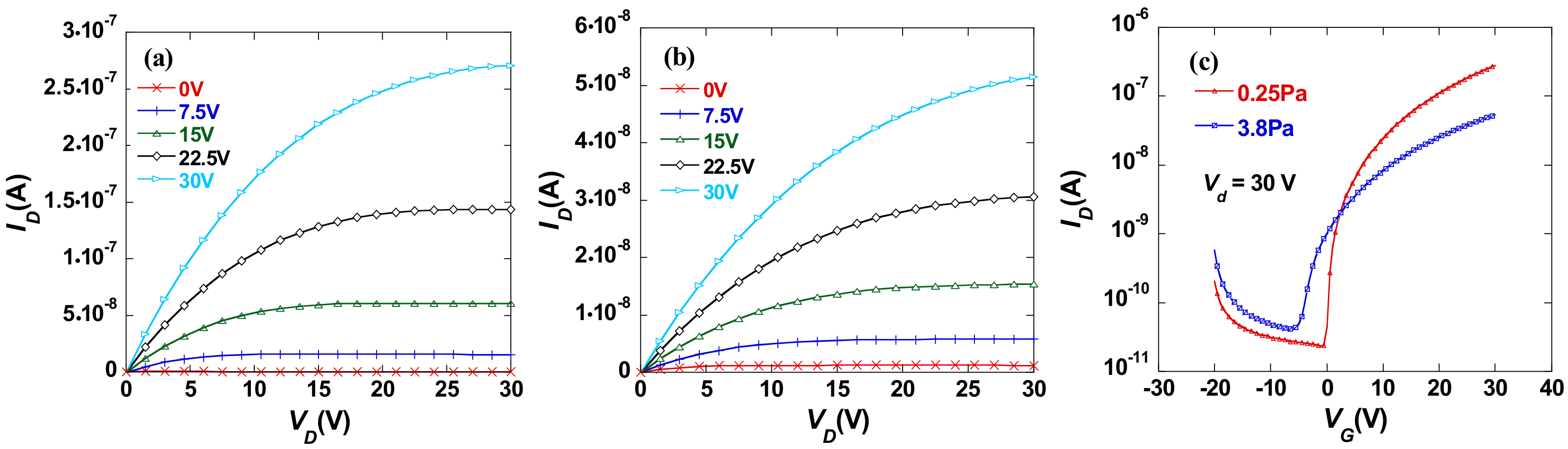
Figure 2a,b show the output curves for LaBx TFTs fabricated under the different working pressure of 0.25 Pa and 3.8 Pa, respectively. Both device A and B exhibited strongly-saturated output characteristics. Additionally, device A exhibited a larger output current than device B in a saturation region. The comparison between the transfer curves for device A and B is shown in Figure 2c, respectively. The corresponding properties were summarized in Table 1. Device B exhibited a poor electrical performance with a saturation mobility (μsat) of 0.13 cm2·V−1·s−1, a subthreshold swing (SS) of 0.89 V, a negative turn-on voltage (Von) of −5.31 V, a negative threshold voltage (VT) of −2.51 V, and a current on/off (Ion/Ioff) larger than 103. At the same time, device A exhibited a relative satisfactory electrical performance with a higher μsat of 0.44 cm2·V−1·s−1, a lower SS of 0.26 V/decade, a Von of −0.44 V, a VT of −2.27 V, and a Ion/Ioff ratio larger than 104.
Figure 2.
Output curves for device A (a) and device B (b). (c) Transfer curves for device A and device B. (Device A: LaBx active layer was prepared in pure argon atmosphere with a flow rate of 25 sccm under a working pressure of 0.25 Pa. Device B: LaBx active layer was prepared in pure argon atmosphere with a flow rate of 25 sccm under a working pressure of 3.8 Pa).
Table 1.
Comparison of device properties for device A and B.
The significant difference between device A and B was mainly ascribed to the different chemical structure and atom ratio for La/B under a different working pressure [30,31]. For LaBx film, the working pressure plays a very important role in the deposition process. Zhao et al. [32] pointed out that LaB6 thin films, which were deposited at 1.0 Pa, have a higher degree of crystalline structure and superior physical properties in comparison with the other films. Hu et al. [33] also reported that argon pressure strongly influenced the condensing particles’ kinetic energy clearly by affecting the scattering processes of sputtered energetic particles and LaB6 film deposited at 1.0 Pa showed a higher crystallinity degree. However, the optimal conditions are not applicable to LaBx films in this work, which can be used as an active layer for TFTs. It’s noted that the huge difference of atomic weight between La and B is extremely large. For the La atom, the atomic weight is 138.9 while, for the B atom, the atomic weight is only 10.8. This means that the scattering probability of those atoms in discharge space by Ar atoms is very different from each other. The scattering of La atoms is small and La atoms are relatively easy to place at the substrate. On the other hand, B atoms are likely to be scattered by Ar. Therefore, some of them will arrive at the substrate level but some will be deposited at the chamber wall or evacuated by the vacuum pump. This implies that the La/B stoichiometric ratio of LaBx film will be changed when deposited under different working pressures. The structure of LaB6 is similar to the that of CsCl, which exhibits a body centered cubic shape [34]. The difference is that the B6 octahedral clusters occupy the position of the Cl atom and the La atom occupies the position of the Cs atom. To keep the stability of the B6 octahedral network, two electrons are needed. So the La atom with three electrons in the outermost electron orbital will be electronically spared and the extra electron will be free to move around the La atom. In other words, the electrical properties of LaBx thin film will be largely dependent on the chemical structure and the ratio of La and B. It is reasonable to suppose that the free electrons will increase with the increase of the La/B stoichiometric ratios. However, the resistivity (carrier concentration or mobility) is nonlinear with the La/B stoichiometric ratios because it is also affected by the degree of crystallization and the grain boundary scattering in addition to the La/B stoichiometric ratios [33]. To explain the different properties for TFTs with the LaBx active layer prepared under different working pressures, the measurement of XPS, XRD, and UV-visible spectrometer were performed.
3.2. XPS Measurement
In order to figure out the composition change of LaBx thin film deposited under different working pressures, the XPS measurement was performed. The 300-nm-thick LaBx thin film samples were prepared on silicon substrate by magnetron sputtering with a LaB6 ceramic target. The LaBx thin film samples measured for XRD were prepared under the same conditions. Sample A and sample B denoted for the 300-nm-thick LaBx film were prepared with a working pressure of 0.25 Pa and 3.8 Pa, respectively. In addition, the atomic percentage of each element for sample A and B were summarized in Table 2. As shown in Table 2, there are nearly identical atom percentages of La for sample A (14.0%) and B (15.3%) while a significant difference of atom percentage happened between sample A (49.58%) and sample B (36.9%). The atom ratio of La/B increased from 28.1% to 41.5% with the working pressure increased from 0.25 Pa to 3.8 Pa, which indicates that the relative content of La was increased. This resulted in more free electrons in LaBx thin film. Additionally, this is consistent with the transfer characteristics shown in Figure 2c where the LaBx TFT prepared under the working pressure of 3.8 Pa exhibited a more negative threshold voltage. In addition, the relatively small on-current may be ascribed to the carrier scattering with the increase in carrier concentration.
Table 2.
The atomic percentage of each element for the LaBx thin films deposited under different working pressure. (Sample A: a 300-nm LaBx was prepared on silicon substrate by magnetron sputtering with a working pressure of 0.25 Pa. Sample B: a 300-nm LaBx was prepared on silicon substrate by magnetron sputtering with a working pressure of 3.8 Pa).
3.3. XRD Patterns
The crystal structure of LaBx thin films deposited under different working pressures were investigated by using XRD, which is shown in Figure 3. It is easy to find that the LaBx thin films prepared under different working pressures exhibited obvious crystalline. However, it is noted that we could not match the acquired diffraction patterns to the standard diffraction patterns for LaB6. This difficulty can be accounted for by using the following two reasons [35]. First, there is a large thermal mismatch between the LaB6 thin film and the Si substrate. The thermal expansion coefficients are 6.0 × 10−6 K−1 for LaB6 versus 2.6 × 10−6 K−1 for Si and the difference can induce thermal stress in thin films and shift the patterns. Second, due to the Ar implantation, film deposited by sputtering usually has additional problems such as the deviation in the stoichiometric ratio, the defect state’s creation and structural change, which result in the mismatch between the acquired diffraction patterns and reference patterns.
Figure 3.
XRD patterns of LaBx thin films prepared under different working pressure. (300 nm on silicon substrate).
3.4. Optical Gap
To evaluate the optical bandgap energy (Eopt), the UV-Visible light absorption spectrum was measured. The 40-nm-thick LaBx thin film sample was prepared on quartz glass by magnetron sputtering under a working pressure of 0.25 Pa. The absorption spectrum for LaBx thin film was shown in Figure 4. The Tauc model [36,37] indicates the relationship between the photon energy (hν) and the optical-absorption coefficient (a). Additionally, the plot of (ahν)1/2 vs. photon energy was shown in the inset in Figure 4. The Eopt value can be obtained by extrapolating the linear portion to the photon energy axis in the plot of (ahν)1/2 vs. photon energy. The Eopt value is calculated to be about 2.28 eV. The relatively narrow band gap can lead to smaller activation energies and accumulates the thermally activated carries, which is consistent with the electrical characteristic for LaBx TFT annealed at 400 °C (not shown).
Figure 4.
Absorption spectrum of the 40-nm-thick LaBx thin film on quartz glass and the inset shows the plot of (ahν)1/2 vs. photon energy.
4. Conclusions
In conclusion, LaBx thin films prepared under different working pressures by DC magnetron sputtering were investigated as an active layer for TFTs. The element distribution and structural properties of LaBx thin films were analyzed by using XPS, XRD, and UV-visible spectrometers. The XPS results demonstrated that the atom ratio for La/B was related to the working pressure during the sputtering process and enhanced with the increase in the working pressure. The XRD results showed that the LaBx thin film was polycrystalline. According to the absorption spectrum, the Eopt value was calculated to be about 2.28 eV from the plot of (ahν)1/2 vs. photon energy. The room-temperature fabricated LaBx-TFT exhibited a μsat of 0.44 cm2·V−1·s−1, a SS of 0.26 V/decade, and an Ion/Ioff ratio larger than 104. The room-temperature processes without intentionally annealing steps show a great potential for the applications in the flexible displays. The LaBx may be a new choice for the channel materials in TFTs.
Author Contributions
P.X., J.Y., and B.L. conceived the idea. P.X. and J.H. performed the TFT fabrication and test. P.X., T.D., J.H., and B.L. wrote the manuscript. J.X., D.L., J.Y., and B.L. revised the manuscript. All authors discussed the results and reviewed the manuscript.
Funding
This research was funded by the financial support from the Scientific Research Starting Foundation of Foshan University (Grant No. Gg040926, 040973), the Foshan Science and Technology Innovation Special Funds (Grant No. 2017EZ100111), the National Natural Science Foundation of China (Grant Nos. 61575041, 61704034), the key Platforms and Research Projects of Department of Education of Guangdong Province (Grant No. 2016KTSCX034), and the Science and Technology Planning Project of Guangdong Province (2016B010113004).
Conflicts of Interest
The authors declare no conflict of interest.
References
- Mativenga, M.; Geng, D.; Kim, B.; Jang, J. Fully transparent and rollable electronics. ACS Appl. Mater. Interfaces 2015, 7, 1578–1585. [Google Scholar] [CrossRef] [PubMed]
- Xu, L.H.; Ou, Q.D.; Li, Y.Q.; Zhang, Y.B.; Zhao, X.D.; Xiang, H.Y.; Chen, J.D.; Zhou, L.; Lee, S.T.; Tang, J.X. Microcavity-free broadband light outcoupling enhancement in flexible organic light-emitting diodes with nanostructured transparent metal–dielectric composite electrodes. ACS Nano 2015, 10, 1625. [Google Scholar] [CrossRef] [PubMed]
- Zheng, Z.; Zeng, Y.; Yao, R.; Fang, Z.; Zhang, H.; Hu, S.; Li, X.; Ning, H.; Peng, J.; Xie, W.; et al. All-sputtered, flexible, bottom-gate IGZO/Al2O3 bi-layer thin film transistors on PEN fabricated by a fully room temperature process. J. Mater. Chem. C 2017, 5, 7043–7050. [Google Scholar] [CrossRef]
- Gleskova, H.; Wagner, S.; Soboyejo, W.; Suo, Z. Electrical response of amorphous silicon thin-film transistors under mechanical strain. J. Appl. Phys. 2002, 92, 6224–6229. [Google Scholar] [CrossRef]
- Ryu, J.I.; Choi, Y.J.; Woo, I.K.; Lim, B.C.; Jin, J. High performance a-Si TFT with ITO/n+ ohmic layer using a Ni-silicide. J. Non-Cryst. Solids 2000, 266, 1310–1314. [Google Scholar] [CrossRef]
- Gao, X.; Lin, L.; Liu, Y.; Huang, X. LTPS TFT process on polyimide substrate for flexible AMOLED. J. Disp. Technol. 2015, 11, 666–669. [Google Scholar] [CrossRef]
- Lin, C.L.; Chang, W.Y.; Hung, C.C.; Tu, C.D. LTPS-TFT Pixel Circuit to Compensate for OLED Luminance Degradation in Three-Dimensional AMOLED Display. IEEE Electron Device Lett. 2012, 33, 700–702. [Google Scholar] [CrossRef]
- Kamiya, T.; Nomura, K.; Hosono, H. Present status of amorphous In–Ga–Zn–O thin-film transistors. Sci. Technol. Adv. Mater. 2010, 11, 044305. [Google Scholar] [CrossRef] [PubMed]
- Benwadih, M.; Coppard, R.; Bonrad, K.; Klyszcz, A.; Vuillaume, D. High Mobility Flexible Amorphous IGZO Thin-Film Transistors with a Low Thermal Budget Ultra-Violet Pulsed Light Process. ACS Appl. Mater. Interfaces 2016, 8, 34513–34519. [Google Scholar] [CrossRef] [PubMed]
- Hsu, H.; Chang, C.; Cheng, C.; Yu, S.; Su, C.; Su, C. Fully room-temperature IGZO thin film transistors adopting stacked gate dielectrics on flexible polycarbonate substrate. Solid State Electron. 2013, 89, 194–197. [Google Scholar] [CrossRef]
- Huang, C.X.; Li, J.; Zhu, W.Q.; Zhang, J.; Jiang, X.; Zhang, Z. A comparison of density of states between InGaZnO based TFTs and InZnO based TFTs. Mol. Cryst. Liq. Cryst. 2017, 651, 221–227. [Google Scholar] [CrossRef]
- Xu, H.; Lan, L.; Xu, M.; Zou, J.; Wang, L.; Wang, D.; Peng, J. High performance indium-zinc-oxide thin-film transistors fabricated with a back-channel-etch-technique. Appl. Phys. Lett. 2011, 99, 1117. [Google Scholar] [CrossRef]
- Li, M.; Lan, L.; Xu, M.; Xu, H.; Luo, D.; Xiao, P.; Peng, J. Performance improvement of oxide thin-film transistors with a two-step-annealing method. Solid State Electron. 2014, 91, 9–12. [Google Scholar] [CrossRef]
- Park, J.S.; Kyeong Jeong, J.; Mo, Y.G.; Kim, H.D.; Kim, C.J. Control of threshold voltage in ZnO-based oxide thin film transistors. Appl. Phys. Lett. 2008, 93, 488–504. [Google Scholar] [CrossRef]
- Zhang, L.; Li, J.; Zhang, X.W.; Jiang, X.Y.; Zhang, Z.L. High performance ZnO-thin-film transistor with Ta2O5 dielectrics fabricated at room temperature. Appl. Phys. Lett. 2009, 95, 072112. [Google Scholar] [CrossRef]
- Reyes, P.I.; Ku, C.J.; Duan, Z.; Lu, Y. ZnO thin film transistor immunosensor with high sensitivity and selectivity. Appl. Phys. Lett. 2011, 98, 173702. [Google Scholar] [CrossRef]
- Xiao, P.; Lan, L.; Dong, T.; Lin, Z.; Shi, W.; Yao, R.; Zhu, X.; Peng, J. InGaZnO thin-film transistors with back channel modification by organic self-assembled monolayers. Appl. Phys. Lett. 2014, 104, 051607. [Google Scholar] [CrossRef]
- Xiao, P.; Lan, L.; Dong, T.; Lin, Z.; Sun, S.; Song, W.; Peng, J. InGaZnO Thin-Film Transistors Modified by Self-Assembled Monolayer with Different Alkyl Chain Length. IEEE Electron Device Lett. 2015, 36, 687–689. [Google Scholar] [CrossRef]
- Nomura, K.; Ohta, H.; Takagi, A.; Kamiya, T.; Hirano, M.; Hosono, H. Room-temperature fabrication of transparent flexible thin-film transistors using amorphous oxide semiconductors. Nature 2004, 432, 488–492. [Google Scholar] [CrossRef] [PubMed]
- Alston, R.; Iyer, S.; Lewis, J.; Forsythe, E. Investigation of the effects of deposition parameters on indium-free transparent amorphous oxide semiconductor thin-film transistors fabricated at low temperatures for flexible electronic applications. Proc. SPIE Int. Soc. Opt. Eng. 2014, 9005, 126–128. [Google Scholar]
- Park, S.Y.; Kim, B.J.; Kim, K.; Kang, M.S.; Lim, K.H.; Myoung, J.M.; Baik, H.K.; Cho, J.H.; Kim, Y.S. Low-Temperature, solution-processed and alkali metal doped ZnO for high-performance thin-film transistors. Adv. Mater. 2012, 24, 834–838. [Google Scholar] [CrossRef] [PubMed]
- Kim, W.S.; Moon, Y.K.; Kim, K.T.; Shin, S.Y.; Ahn, B.D.; Lee, J.H.; Park, J.W. Improvement in the negative bias temperature stability of ZnO based thin film transistors by Hf and Sn doping. Thin Solid Films 2011, 519, 6849–6852. [Google Scholar] [CrossRef]
- Jang, K.; Park, H.; Jung, S.; Duy, N.V.; Kim, Y.; Cho, J.; Choi, H.; Kwon, T.; Lee, W.; Gong, D.; et al. Optical and electrical properties of 2 wt. % Al2O3-doped ZnO films and characteristics of Al-doped ZnO thin-film transistors with ultra-thin gate insulators. Thin Solid Films 2010, 518, 2808–2811. [Google Scholar] [CrossRef]
- Otani, S.; Nakagawa, H.; Nishi, Y.; Kieda, N. Floating zone growth and high temperature hardness of rare-earth hexaboride crystals: LaB6, CeB6, PrB6, NdB6, and SmB6. J. Solid State Chem. 2000, 154, 238–241. [Google Scholar] [CrossRef]
- Zhang, L.; He, W.J.; Tolochko, O.; Polzik, L.; Min, G.H. Morphology characterization and optical properties analysis for nanostructured lanthanum hexaboride powders. Adv. Mater. Res. 2009, 79–82, 107–110. [Google Scholar] [CrossRef]
- Gao, R.L.; Min, G.H.; Yu, H.S.; Zheng, S.Q.; Lu, Q.L.; Han, J.D.; Wang, W.T. Fabrication and oxidation behavior of LaB6–ZrB2 composites. Ceram. Int. 2005, 31, 15–19. [Google Scholar] [CrossRef]
- Xu, J.; Min, G.; Hu, L.; Zhao, X.; Yu, H. Dependence of characteristics of LaB6 films on DC magnetron sputtering power. Trans. Nonferr. Met. Soc. China 2009, 19, 952–955. [Google Scholar] [CrossRef]
- Dan, M.G.; Watkins, R.M. Compact lanthanum hexaboride hollow cathode. Rev. Sci. Instrum. 2010, 81, 299. [Google Scholar]
- Dan, M.G.; Watkins, R.M.; Jameson, K.K. LaB6 Hollow Cathodes for Ion and Hall Thrusters. J. Propul. Power 2007, 23, 552–558. [Google Scholar]
- Kinbara, A.; Nakano, T.; Kobayashi, A.; Baba, S.; Kajiwara, T. LaBx thin films prepared by magnetron sputtering. Appl. Surf. Sci. 1993, 70–71, 742–745. [Google Scholar] [CrossRef]
- Oks, E.M.; Anders, A. Boron-rich plasma by high power impulse magnetron sputtering of lanthanum hexaboride. J. Appl. Phys. 2012, 112, 35. [Google Scholar] [CrossRef]
- Zhao, X.H.; Min, G.H.; Xu, J.; Lin, J. The influence of argon pressure on the structural and physical properties of LaB6 Films. Appl. Mech. Mater. 2011, 55–57, 1436–1440. [Google Scholar] [CrossRef]
- Hu, L.J.; Zhang, L.; Zhao, G.Q.; Lin, J.; Min, G.H. Effect of argon pressure on the structure and resistivity of DC magnetron sputtered LaB6 films. Appl. Mech. Mater. 2013, 303–306, 2519–2523. [Google Scholar] [CrossRef]
- Storms, E.K.; Mueller, B.A. A study of surface stoichiometry and thermionic emission using LaB6. J. Appl. Phys. 1979, 50, 3691–3698. [Google Scholar] [CrossRef]
- Craciun, V.; Craciun, D. Pulsed laser deposition of crystalline LaB6 thin films. Appl. Surf. Sci. 2005, 247, 384–389. [Google Scholar] [CrossRef]
- Tan, S.T.; Chen, B.J.; Sun, X.W.; Fan, W.J.; Kwok, H.S.; Zhang, X.H.; Chua, S.J. Blueshift of optical band gap in ZnO thin films grown by metal-organic chemical-vapor deposition. J. Appl. Phys. 2005, 98, 1897. [Google Scholar] [CrossRef]
- Xiao, P.; Dong, T.; Lan, L.; Lin, Z.; Song, W.; Luo, D.; Xu, M.; Peng, J. High-mobility ZrInO thin-film transistor prepared by an all-DC-sputtering method at room temperature. Sci. Rep. 2016, 6, 25000. [Google Scholar] [CrossRef] [PubMed]
Sample Availability: Samples of the compounds (LaB6 targets) are available from the authors. |
© 2018 by the authors. Licensee MDPI, Basel, Switzerland. This article is an open access article distributed under the terms and conditions of the Creative Commons Attribution (CC BY) license (http://creativecommons.org/licenses/by/4.0/).



