Abstract
One new meroterpenoid, named 2-hydroacetoxydehydroaustin (1), together with nine known meroterpenoids, 11-acetoxyisoaustinone (2), isoaustinol (3), austin (4), austinol (5), acetoxydehydroaustin (6), dehydroaustin (7), dehydroaustinol (8), preaustinoid A2 (9), and 1,2-dihydro-acetoxydehydroaustin B (10), were isolated from the mangrove endophytic fungus, Aspergillus sp. 16-5c. These structures were characterized by spectroscopic analysis, further the absolute configurations of stereogenic carbons for Compounds 1, 3, 4, 6, 7, 8, 9, and 10 were determined by single crystal X-ray diffraction analysis using Cu Kα radiation. Moreover, the absolute configurations of stereogenic carbons for Known Compounds 3, 7, 8, and 9 are identified here for the first time. Compounds 3, 7, and 8 showed acetylcholinesterase (AchE) inhibitory activity with IC50 values of 2.50, 0.40, and 3.00 μM, respectively.
1. Introduction
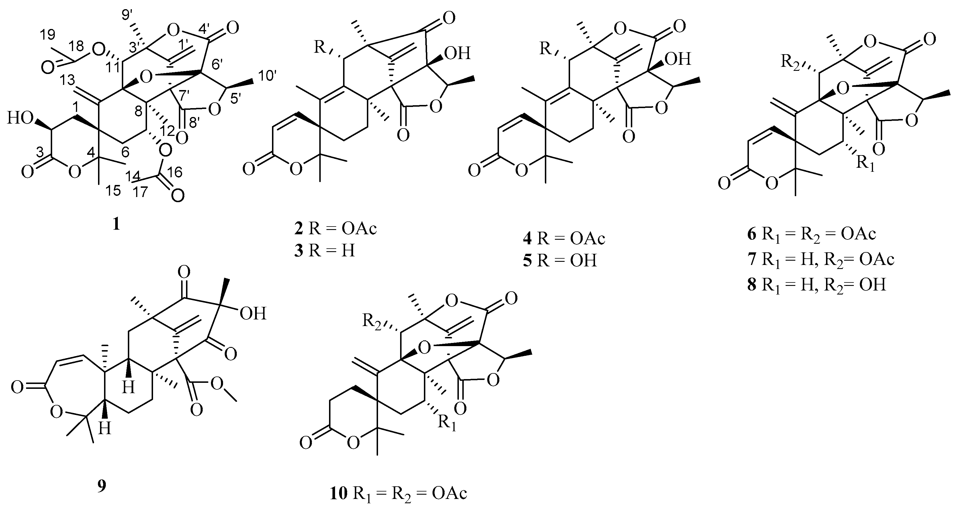
Meroterpenoids are natural products derived from terpenoids mixed biosynthetic origin [1]. Meroterpenoids display structural diversity with widespread biological activities including antimicrobial, antiviral, and antitumoral activities and enzyme inhibition. Despite the structural diversity, austin and austin analogues are mixed polyketide–terpenoid meroterpenoids derived from 3,5-dimethylorsellinic acid, which were most often isolated from fungi [2]. Austin was first isolated as a novel polyisoprenoid mycotoxin from Aspergillus ustus in 1976 [3]. Subsequently, some austin analogues from Aspergillus sp. and Penicillium sp. have been reported [2,3,4,5,6,7,8,9,10,11,12,13,14,15,16]. As part of our ongoing investigations on novel bioactive compounds from mangrove endophytic-derived fungi [17,18,19,20], ten meroterpenoids, including one new meroterpenoids named 2-hydro-acetoxydehydroaustin (1), together with nine known meroterpenoids, 11-acetoxyisoaustinone (2), isoaustinol (3), austin (4), austinol (5), acetoxydehydroaustin (6), dehydroaustin (7), dehydroaustinol (8), preaustinoid A2 (9), and 1,2-dihydro-acetoxydehydroaustin B (10), were isolated from the fungus Aspergillus 16-5c, which was isolated from the leaves of the mangrove plant Sonneratia apetala collected on the coastal saltmarsh of the South China Sea (Figure 1). Compound 10 was reported as a mixture previously [16], but it is reported as a single compound here. The absolute configurations of stereogenic carbons for Compounds 3, 7, 8, and 9 are determined here for the first time (Figure 2). Herein, we report the isolation, structural elucidation, acetylcholinesterase (AChE) inhibitory activity, and cytotoxicity of these meroterpenoids.
Figure 1.
Structures of Compounds 1–10.
Figure 2.
Perspective ORTEP drawings for 1, 3, 7, 8, and 9.
2. Results and Discussion
Compound 1 was obtained as colorless crystal, m.p. >300 °C. The HRESIMS result (m/z 575.2124 [M + H]+) suggested the molecular formula of Compound 1 as C29H34O12 with 13 degrees of unsaturation. The data of 1D-NMR (Table 1) combined with HSQC spectrum showed that 1 has seven methyl groups [δH 1.37, 1.43, 1.47, 1.58, 1.70, 2.05, 2.07 (each 3H, s)], two methylene groups, four oxygenated methines (δH 4.28/δC 64.8, δH 5.35/δC 67.8, δH 5.70/δC 74.3, and δH 5.26/δC 76.6), one terminal olefin moiety [δH 5.81, 5.85 (each 1H, J = 1.5 Hz) and δH 5.73, 6.14 (each 1H, s)], two acetyl groups (δH 2.05/δC 20.8, 170.6 and δH 2.07/δC 21.1, 168.9), and three others.
Table 1.
1H (400 MHz) and 13C (100 MHz) NMR data for 1 and 2 (CDCl3, in ppm).
The above spectroscopic features suggested that 1 belonged to the austin analogue [16], whose planar structure is similar to the 1,2-dihydro-acetoxydehydroaustin B. However, the carbon chemical shifts values of C-1 (δC 37.1) and C-2 (δC 64.8) were different from those of 1,2-dihydro-acetoxydehydroaustin B. The detailed comparison of the NMR data of 1 with those of 1,2-dihydro-acetoxydehydroaustin B clearly confirmed that 1 was a new structure (Figure 3). The absolute configurations of strereogenic carbons for 1 were determined by single-crystal X-ray diffraction using Cu Kα radiation [21]. Therefore, Compound 1 was named 2-hydroacetoxydehydroaustin. Its absolute configurations were 1S, 7R, 8S, 9R, 11S, 3′R, 5′R, 7′R.
Figure 3.
Selected 1H-1H COSY (bold line) and HMBC (arrow) correlations of Compound 1.
Compound 2 was obtained as a colorless powder. Its molecular formula was assigned to be C27H32O8 from the HRESIMS molecular ion peak at m/z 507.1988 [M + Na]+. Comparison of the NMR data revealed that the structure of 2 resembled that of 3 except for the presence of an acetyl group. A carbon signal at δC 74.1 (C-11) was observed in 2 compared to that of 3 [7]. It was deduced that the acetyl group was connected to C-11 via the hydroxyl group in 2 supported by the HMBC correlation from H-11 (δH 5.74, 1H, s) to 11-CH3CO (δC 171.5). The relative configuration was confirmed by the NOE correlations, and the correlation signals between 9-CH3 (δH 1.25), 11-OCOCH3 (δH 2.04), and 12-CH3 (δH 1.57) showed that the 11-acetoxyl, 12 and 9’-CH3 were oriented at the same side. Furthermore, the NOE correlations between 10’-CH3 (δH 1.30) and 6’-OH (δH 2.88) supported that the methyl and hydroxyl groups were at the same side. The NOE correlations of 2 were the same as 3, in addition to their positive optical rotation values. Finally, the absolute configurations of stereogenic carbons for 2 were assigned as 5R, 8S, 11S, 3′R, 5′R, 6′R, 7′R. These results confirmed that 2 was consistent with 11-acetoxylisoaustinone [22].
Austin was first isolated from Aspergillus ustus in 1976 before the Flack constant (the absolute configurations were determined) reported in 1983, and its absolute configuration was not definite. Herein, the absolute configurations of stereogenic carbons for Known Compounds 3, 7, 8, and 9 are identified for the first time by single crystal X-ray diffraction analysis using Cu Kα radiation. The absolute configurations were shown as follows: 3 is 5R, 8S, 3′R, 5′R, 6′R, 7′R, 7 is 5R, 8R, 11S, 3′S, 5′R, 6′R, 7′R, 8 is 5R, 8R, 11S, 3′S, 5′R, 6′R, 7′R, and 9 is 5S, 8S, 9S, 10S, 3′R, 5′S, 7′R (see the Supplementary Materials).
Although meroterpenoids have a wide range of biological activities [2,3,4,5,6,7,8,9,10,11,12,13,14,15,16], few biological activities have been reported for austin and austin analogues. In this work, Compounds 1–10 were evaluated for their acetylcholinesterase (AChE) inhibitory activity using Huperzine A as a control (Table 2). The results showed Compounds 3, 7, and 8 were potential AChE inhibitors with IC50 values of 2.50, 0.40, and 3.00 μM, respectively.
Table 2.
Acetylcholinesterase (AChE) inhibitory activity of Compounds 1–10 a.
In addition, four human cancer cell lines (human breast cancer cell lines MCF-7 and MDA-MB-435, human hepatoma cell line HepG2, and human prostatic cancer cell line PC-3) were used in the in vitro cytotoxicity bioassay. The results showed that Compounds 1–10 have no cytotoxicity (>50 μM) against human cancer cell lines.
3. Experimental Section
3.1. General
Melting points were determined on an X-4 micromelting point apparatus and are uncorrected. Optical rotations were measured on a Polartronic HHW5 digital polarimeter. IR spectra were measured on a Bruker Vector 22 spectrophotometer (Bruker, Billerica, MA, USA) using KBr pellets. The NMR spectra were recorded on a Bruker Avance 400 spectrometer at 400 MHz for 1H and 100 MHz for 13C in CDCl3. All chemical shifts (δ) are given in ppm with reference to the solvent signal (CDCl3, δH 7.26 for 1H, δC 77.23 for 13C; DMSO, δH 2.50 for 1H, δC 39.52 for 13C), and coupling constants (J) are given in Hz. HRESIMS spectra were recorded on a Finnigan LCQ-DECA mass spectrometer (Thermo Scientific, shanghai, China). ESIMS spectra were recorded on a Shimadzu LCMS-IT-TOF mass spectrometer (Shimadzu, Taiwan). Single-crystal data were measured on an Oxford Gemini S Ultra diffractometer (Oxford Instrument, Oxfordshire, UK). Column chromatography (CC) was performed on silica gel (200–300 mesh, Qingdao Marine Chemical Factory, Qingdao, China) and Sephadex LH-20 (Amersham Pharmacia, Piscataway, NJ, USA).
3.2. Fungal Material
The fungus used in this study was isolated from a mangrove, leaves of S. apetala, which were collected in Hainan Island, China. The fungus was identified as Aspergillus sp. by the ITS region (deposited in GenBank, accession number JX993829). A voucher strain was deposited in the China Center for Type Culture Collection under patent depository number CCTCC M 2012358.
3.3. Extraction and Isolation
The fungus Aspergillus sp. 16-5c was fermented on autoclaved rice solid-substrate medium for 28 days at room temperature. The mycelia and solid rice medium were extracted with MeOH. Then, the MeOH layer was dried in vacuo to yield 6.8 g of organic extract. The extract was separated by column chromatography (CC) over silica gel eluting with a gradient of CHCl3/MeOH from 1:0 to 1:45 to yield five fractions (Fractions 1–5). Fraction 3 (120 mg) was applied to Sephadex LH-20 CC, eluting with CHCl3/MeOH (1:1) to obtain Compound 1 (0.8 mg), 2 (1.8 mg), and 3 (2.0 mg). Fraction 4 (65 mg) was applied to Sephadex LH-20, eluting with CHCl3/MeOH (1:1) to obtain Compound 4 (1.2 mg), 5 (1.6 mg), and 6 (2.6 mg). Fraction 5 (30 mg) was applied to Sephadex LH-20 CC, eluting with CHCl3/MeOH (1:1) to obtain Compound 7 (1.4 mg), 8 (5.6 mg), 9 (2.4 mg), and 10 (4.6 mg).
2-Hydroacetoxydehydroaustin (1): colorless crystals (MeOH/CHCl3); m.p. >300 °C; [α = + 60 (c 0.01, MeOH); UV (MeOH): λmax 210, 236 nm; IR (KBr): νmax 3528, 2998, 1748, 1431, 1384, 1214 and 1040 cm−1; 1H-NMR(CDCl3, 400 MHz), 13C-NMR(CDCl3, 100 MHz), see Table 1; ESIMS 575[M + H]+; HRESIMS m/z = 575.2124, [M + H]+ (calcd for C27H32O8, 574.2050).
11-Acetoxyisoaustinone (2): colorless crystals (MeOH/CHCl3); m.p. >300 °C; [α +150 (c 0.1 MeOH); IR (KBr) νmax 3466, 3108, 2988, 2944, 2890, 1754, 1705, 1450, 1377, 1287, and 1226 cm−1; 1H-NMR (CDCl3, 400 MHz) and 13C-NMR (CDCl3, 100 MHz), see Table 1; ESIMS m/z 507 [M + Na]+; HRESIMS m/z 507.1988 [M + Na]+ (calcd for C27H32O8Na, 507.1994).
3.4. X-Ray Crystallographic Analysis of 1, 3, 4, 6, 7, 8, 9 and 10
All single crystal X-ray diffraction data were collected at 150(2) K on an Oxford Gemini S Ultra diffractometer with Cu Kα radiation (λ = 1.54178 Å). The structures were solved by direct methods (SHELXS-97) and refined using full-matrix least-squares difference Fourier techniques. Hydrogen atoms bonded to carbons were placed on the geometrically ideal positions by the “ride on” method. Hydrogen atoms bonded to oxygen were located by the difference Fourier method and were included in the calculation of structure factors with isotropic temperature factors. Crystallographic data for 1, 3, 4, 6–10 have been deposited with the Cambridge Crystallographic Data Centre. Copies of the data can be obtained, free of charge, on application to the Director, CCDC 1533328, 12 Union Road, Cambridge CB2 1EZ, UK (fax: t44-(0)1223-336033, or e-mail: deposit@ccdc.cam.ac.uk).
Crystal data of 1: C29H34O12, Mr = 574.56, Orthorhombic, a = 8.8330(2) Å, b = 12.2482(2) Å, c = 12.3432(2) Å, α = 90°, β = 97.342(2)°, γ = 90°, V =1324.44(4) Å3, space group P21, Z = 2, Dx = 1.363 mg/m3, μ (Cu Kα) = 0.850 mm−1, and F (000) = 1064. Crystal dimensions: 0.40 × 0.33 × 0.29 mm. Independent reflections: 4336 (Rint = 0.0392). The final R1 values were 0.0258, wR2 = 0.0659 (I > 2σ(I)). Flack parameter = 0.08 (8). CCDC number: 1533329.
Crystal data of 3: C25H30O6, Mr = 426.49, Monoclinic, a = 11.5899(2) Å, b = 7.4432(2) Å, c = 12.0804(2) Å, α = 90°, β = 92.060(2)°, γ = 90°, V = 1041.45(4) Å3, space group P21, Z = 2, Dx = 1.360 mg/m3, μ(Cu Kα) = 0.786 mm−1, and F (000) = 456. Crystal dimensions: 0.30 × 0.23 × 0.22 mm. Independent reflections: 3696 (Rint = 0.0549). The final R1 values were 0.0476, wR2 = 0.1215 (I > 2σ(I)). Flack parameter = 0.01 (2). CCDC number: 921711.
Crystal data of 4: C27H32O9, Mr = 500.53, Orthorhombic, a = 7.71560(10) Å, b = 14.9523(2) Å, c = 21.1376(3) Å, α = 90°, β = 90°, γ = 90°, V = 2438.56(6) Å3, space group P212121, Z = 4, Dx = 1.363 mg/m3, μ (Cu Kα) = 0.850 mm−1, and F (000) = 1064. Crystal dimensions: 0.40 mm × 0.33 mm × 0.29 mm. Independent reflections: 4336 (Rint = 0.0392). The final R1 values were 0.0258, wR2 = 0.0659 (I > 2σ(I)). Flack parameter = 0.08 (12). CCDC number: 921707.
Crystal data of 6: C29H32O11, Mr = 556.55, Monoclinic, a = 8.8841 (3) Å, b = 12.5166 (4) Å, c = 12.1254 (5) Å, α = 90°, β = 99.052 (4) °, γ = 90°, V = 1331.54 (8) Å3, space group P21, Z = 2, Dx = 1.388 mg/m3, μ (Cu Kα) = 0.897 mm−1, and F (000) = 588. Crystal dimensions: 0.44 mm × 0.35 mm × 0.21 mm. Independent reflections: 4474 (Rint = 0.0620). The final R1 values were 0.0326, wR2 = 0.0740 (I > 2σ (I)). Flack parameter = 0.01 (1). CCDC number: 921708.
Crystal data of 7: C29H33NO9, Mr = 539.56, Hexagonal, a = 11.20730 (10) Å, b = 11.20730 (10) Å, c = 36.3299(5) Å, α = 90°, β = 90°, γ = 120°, V = 3951.82(7) Å3, space group P65, Z = 6, Dx = 1.360 mg/m3, μ(Cu Kα) = 0.841 mm−1, and F (000) = 1716. Crystal dimensions: 0.44 mm × 0.35 mm × 0.32 mm. Independent reflections: 4596 (Rint = 0.0815). The final R1 values were 0.0597, wR2 = 0.1612 (I > 2σ(I)). Flack parameter = 0.01 (1). CCDC number: 921709.
Crystal data of 8: C25H28O8, Mr = 456.47, Orthorhombic, a = 7.8409(2) Å, b = 11.6017(2) Å, c = 23.9529(4) Å, α = 90°, β = 90°, γ = 90°, V = 2178.94(8) Å3, space group P212121, Z = 4, Dx = 1.391 mg/m3, μ (Cu Kα) = 0.862 mm−1, and F (000) = 968. Crystal dimensions: 0.37 mm × 0.31 mm × 0.22 mm. Independent reflections: 3880 (Rint = 0.0455). The final R1 values were 0.0277, wR2 = 0.0684 (I > 2σ(I)). Flack parameter = 0.01 (2). CCDC number: 921710.
Crystal data of 9: C26H34O7, Mr = 458.53, Orthorhombic, a = 8.29600(10) Å, b = 13.9817(2) Å, c = 19.5230(2) Å, α = 90°, β = 90°, γ = 90°, V = 2264.52(5) Å3, space group P212121, Z = 4, Dx = 1.345 mg/m3, μ (Cu Kα) = 0.793 mm−1, and F (000) = 984. Crystal dimensions: 0.33 mm × 0.30 mm × 0.25 mm. Independent reflections: 4027 (Rint = 0.0434). The final R1 values were 0.0280, wR2 = 0.0728 (I > 2σ (I)). Flack parameter = 0.08 (12). CCDC number: 921712.
Crystal data of 10: C29H34O11, Mr = 558.56, Orthorhombic, a = 8.29600(10) Å, b = 13.9817(2) Å, c = 19.5230(2) Å, α = 90°, β = 98.7090(10)°, γ = 90°, V = 2264.52(5) Å3, space group P21, Z = 2, Dx = 1.345 mg/m3, μ (Cu Kα) = 0.793 mm−1, and F (000) = 984. Crystal dimensions: 0.33 mm × 0.30 mm × 0.25 mm. Independent reflections: 4027 (Rint = 0.0434). The final R1 values were 0.0280, wR2 = 0.0728 (I > 2σ (I)). Flack parameter = 0.04 (11). CCDC number: 1533328.
3.5. Assays for Enzyme Inhibiting Activities and Cytotoxic Activities
These two experiments were conducted according to reference procedures [14,23].
4. Conclusions
One new and nine known meroterpenoids (1–10) were isolated and identified from the culture of the endophytic fungus Aspergillus sp. 16-5c. The absolute configurations of Known Compounds 3, 7, 8, and 9 were first identified. Compounds 3, 7, and 8 showed acetylcholinesterase (AchE) inhibitory activity with IC50 values of 2.50, 0.40, and 3.00 μM, respectively.
Supplementary Materials
The following are available online, Figure S1: The NMR spectrum of compounds 1–10, and the perspective ORTEP drawings for compounds 1, 3, 4, 6, 7, 8, 9 and 10.
Acknowledgments
We thank the National Natural Sciensuppce Foundation of China (41376149, 41406134), the Science & Technology Plan Project of Guangdong Province of China (2013B021100011), the Key Project of Natural Science Foundation of Guangdong Province (2016A040403091), the Special Financial Fund of Innovative Development of Marine Economic Demonstration Project (GD2012-D01-001), and the Fundamental Research Funds for the Central Universities (141gjc16) for generous support.
Author Contributions
Conceived and designed the experiments: Xishan Huang, Zhigang She, and Yuhua Long. Performed the experiments: Ze’en Xiao, Yuhua Long, Hui Cui, Xinglie Liu, Shitong Wen Analyzed the data: Zhigang She, Xishan Huang, Ze’en Xiao, and Yuhua Long. Contributed reagents/materials/analysis tools: Xishan Huang, Yuhua Long. Wrote the paper: Xishan Huang, Yuhua Long. Read and approved the final manuscript: Xishan Huang, Yuhua Long, Zhigang She.
Conflicts of Interest
The authors declare no conflict of interest.
References
- Cornforth, J.W. Terpenoid biosynthesis. Chem. Br. 1968, 4, 102–106. [Google Scholar] [PubMed]
- Geris, R.; Simpson, T. Meroterpenoids produced by fungi. Nat. Prod. Rep. 2009, 26, 1063–1094. [Google Scholar] [CrossRef] [PubMed]
- Chexal, K.; Springer, J.; Clardy, J.; Cole, R.; Kirksey, J.; Dorner, J.; Cutler, H.; Strawter, B. Austin, a novel polyisoprenoid mycotoxin from Aspergillus ustus. J. Am. Chem. Soc. 1976, 98, 6748–6750. [Google Scholar] [CrossRef] [PubMed]
- Ahmed, S.A.; Scott, F.E.; Stenzel, D.J.; Simpson, T.J.; Moore, R.W.; Trimble, L.A.; Arai, K.; Vederas, J.C. Studies on the biosynthesis of the mycotoxin austin, a meroterpenoid metabolite of Aspergillus ustus. J. Chem. Soc. Perkin Trans. I. 1989, 807–816. [Google Scholar]
- Chen, J.-W.; Luo, Y.-L.; Hwang, M.-J.; Peng, F.-C.; Ling, K.-H. Territrem B, a tremorgenic mycotoxin that inhibits acetylcholinesterase with a noncovalent yet irreversible binding mechanism. J. Biol. Chem. 1999, 274, 34916–34923. [Google Scholar] [CrossRef] [PubMed]
- Lo, H.; Entwistle, R.; Guo, C.; Ahuja, M.; Szewczyk, E.; Hung, J.; Chiang, Y.; Oakley, B.; Wang, C. Two separate gene clusters encode the biosynthetic pathway for the meroterpenoids austinol and dehydroaustinol in Aspergillus nidulans. J. Am. Chem. Soc. 2012, 134, 4709–4720. [Google Scholar] [CrossRef] [PubMed]
- Fill, T.P.; Pereira, G.K.; Geris dos Santos, R.M.; Rodrigues-Fo, E. Four additional meroterpenes produced by Penicillium sp. found in association with Melia azedarach. Possible biosynthetic intermediates to austin. Z. Naturforsch. 2007, 62b, 1035–1044. [Google Scholar]
- Geris dos Santos, R.M.; Rodrigues-Fo, E. Meroterpenes from Penicillium sp. found in association with Melia azedarach. Phytochemistry 2002, 61, 907–912. [Google Scholar] [CrossRef]
- Dos Santos, R.M.G.; Rodrigues-Fo, E. Structures of meroterpenes produced by Penicillium sp., an endophytic fungus found associated with Melia azedarach. J. Braz. Chem. Soc. 2003, 14, 722–727. [Google Scholar] [CrossRef]
- Geris dos Santos, R.M.; Rodrigues-Fo, E. Further meroterpenes produced by Penicillium sp., an endophyte obtained from Melia azedarach. Z. Naturforsch. 2003, 58c, 663–669. [Google Scholar]
- Fukuyama, K.; Katsube, Y.; Ishido, H.; Yamazaki, M.; Maebayashi, Y. The absolute configuration of desacetylaustin isolated from Emericella nidulans var. dentate. Chem. Pharm. Bull. 1980, 28, 2270–2271. [Google Scholar] [CrossRef]
- Hayashi, H.; Mukaihara, M.; Murao, S.; Arai, M.; Lee, A.; Clardy, J. Acetoxydehydroaustin, a new bioactive compound, and related compound neoaustin from Penicillium sp. MG-11. J. Biosci. Biotechnol. Biochem. 1994, 58, 334–338. [Google Scholar] [CrossRef]
- Scott, F.; Simpson, T.; Trimble, L.; Vederas, J. Biosynthesis of the meroterpenoid austin, by Aspergillus ustus: synthesis and incorporation of carbon-13, oxygen-18-labeled ethyl 3,5-dimethylorsellinate. J. Chem. Soc. Chem. Commun. 1986, 3, 214–215. [Google Scholar] [CrossRef]
- Scudiero, D.; Shoemaker, R.; Paull, K.; Monks, A.; Tierney, S.; Nofziger, T.; Currens, M.; Seniff, D.; Boyd, M. Evaluation of a soluble tetrazolium/formazan assay for cell growth and drug sensitivity in culture using human and other tumor cell lines. Cancer Res. 1988, 48, 4827–4833. [Google Scholar] [PubMed]
- Simpson, T.; Ahmed, S.; McIntyre, C.; Scott, F.; Sadler, I. Biosynthesis of polyketide-terpenoid (meroterpenoid) metabolites andibenin B and andilesin A in Aspergillus variecolor. Tetrahedron 1997, 53, 4013–4034. [Google Scholar] [CrossRef]
- Song, Y.-X.; Qiao, L.-T.; Wang, J.-J.; Zeng, H.-M.; She, Z.-G.; Miao, C.-D.; Hong, K.; Gu, Y.-C.; Liu, L.; Lin, Y.-C. Two new meroterpenes from the mangrove endophytic fungus Aspergillus sp. 085241B. Helv. Chim. Acta. 2011, 94, 1875–1879. [Google Scholar] [CrossRef]
- Huang, H.; Feng, X.; Xiao, Z.; Liu, L.; Li, H.; Ma, L.; Lu, Y.; Ju, J.; She, Z.; Lin, Y. Azaphilones and p-terphenyls from the mangrove endophytic fungus Penicillium chermesinum (ZH4-E2) isolated from the South China Sea. J. Nat. Prod. 2011, 74, 997–1002. [Google Scholar] [CrossRef] [PubMed]
- Huang, X.; Huang, H.; Li, H.; Sun, X.; Huang, H.; Lu, Y.; Lin, Y.; Long, Y.; She, Z. Asperterpenoid A, a new sesterterpenoid as an inhibitor of mycobacterium tuberculosis protein tyrosine phosphatase B from the culture of Aspergillus sp. 16-5c. Org. Lett. 2013, 15, 721–723. [Google Scholar] [CrossRef]
- Li, H.; Huang, H.; Shao, C.; Huang, H.; Jiang, J.; Zhu, X.; Liu, Y.; Liu, L.; Lu, Y.; Li, M.; et al. Cytotoxic norsesquiterpene peroxides from the endophytic fungus Talaromyces flavus isolated from the mangrove plant Sonneratia apetala. J. Nat. Prod. 2011, 74, 1230–1235. [Google Scholar] [CrossRef] [PubMed]
- Wen, L.; Cai, X.; Xu, F.; She, Z.; Chan, W.; Vrijmoed, L.L.P.; Jones, E.B.G.; Lin, Y. Three metabolites from the mangrove endophytic fungus Sporothrix sp. (#4335) from the South China Sea. J. Org. Chem. 2009, 74, 1093–1098. [Google Scholar]
- Flack, H.D. On enantiomorph-polarity estimation. Acta Crystallogr. Sect. A. 1983, 39, 876–881. [Google Scholar] [CrossRef]
- Arunpanichlert, J.; Rukachaisirikul, V.; Phongpaichit, S.; Supaphon, O.; Sakayaroj, J. Meroterpenoid, isocoumarin, and phenol derivatives from these agrass-derived fungus Pestalotiopsis sp. PSU-ES194. Tetrahedron 2015, 71, 882–888. [Google Scholar] [CrossRef]
- Tang, H.; Wei, Y.B.; Zhang, C.; Ning, F.X.; Qiao, W.; Huang, S.L.; Ma, L.; Huang, Z.S.; Gu, L.Q. Synthesis, biological evaluation and molecular modeling of oxoisoaporphine and oxoaporphine derivatives as new dual inhibitors of acetylcholinesterase/ butyrylcholinesterase. Eur. J. Med. Chem. 2009, 44, 2523–2532. [Google Scholar] [CrossRef] [PubMed]
Sample Availability: Samples of Compounds 1, 2, 3, 4, 5, 6, 7, 8, 9 and 10 are available from the authors. |
© 2017 by the authors. Licensee MDPI, Basel, Switzerland. This article is an open access article distributed under the terms and conditions of the Creative Commons Attribution (CC BY) license (http://creativecommons.org/licenses/by/4.0/).


