Abstract
In this paper, we developed a new method using 4-bromoacetophenone as the starting material, with tosylhydrazide and two arylboronic acids using Barluenga and Suzuki couplings in a four-component one-pot reaction to afford the target product 4-benzyl-1,1′-biphenyls. This system that we have developed enables the use of easily accessible starting materials and can be employed on a wide variety of substrates with good functional group tolerance. In particular, this protocol can be applied to the synthesis of 4-(1-([1,1′-biphenyl]-4-yl)ethyl)pyridine derivatives, a class of potential analogs of CPY17 inhibitors of prostate cancer.
1. Introduction
4-Benzyl-1,1′-biphenyl derivatives are important structural units in numerous thermal recording materials, electrophotographic photoreceptors and biologically active molecules, including a number of anticancer agents [1,2,3,4,5,6,7,8,9,10,11]. Typically, the Friedel-Crafts reaction (Scheme 1, Method 1) is employed for the synthesis of such compounds, which may be catalyzed by solid acid catalysts [12,13,14]. Particularly, patents have been reported on the synthesis of benzyl-1,1′-biphenyl derivatives starting from biphenyl and benzyl chloride using catalysts such as montmorillonite and zeolites [15,16]. Previously, the kinetics of the reaction between biphenyl and benzyl chloride over dealuminated HY zeolites has been reported [17]. In addition, the Suzuki–Miyaura reaction, which involves the coupling of an arylboronic acid derivative and an organohalide, proved to be an extremely useful synthetic tool for the construction of a biphenyl scaffold. Among others, some convenient features involved in the use of arylboronic acid precursors in these reactions are as follows: arylboronic acid derivatives demonstrate air and moisture stability, relatively low toxicity and high compatibility to various functional groups [18,19,20,21]. However, the synthesis of 4-benzyl-1,1′-biphenyl derivatives by the Suzuki-Miyaura reaction is more challenging (Scheme 1, Method 2). More often, this protocol suffers from poor selectivity in the first step, resulting in a mixture of mono- and bis-coupled products, thereby necessitating the purification of the intermediate. Chemoselectivity is crucial if sequential cross-coupling reactions are to be effective. It may be achieved using precursors containing activating groups of different reactivities, such as 1-bromo-4-(halomethyl)benzene [22,23]. Multicomponent reactions (MCRs) are ideal synthetic tools for generating complex molecules from readily available starting materials in a single synthetic operation; hence, they minimize waste generation, rendering green transformations [24,25,26,27]. The separation and purification of this step raises the cost and decrease the efficiency of this synthesis method. Therefore, it is desirable to develop a more efficient synthetic path.
Scheme 1.
Synthetic methods for 4-benzyl-1,1′-biphenyl derivatives.
Recently, N-tosylhydrazones as important intermediates have attracted extensive attention because of their various useful applications in organic synthesis [28,29,30,31,32,33,34,35]. Significant progress has been achieved in sequential transformations of N-tosylhydrazones through auto tandem catalysis [36,37,38]. In 2010, Wang et al. developed MCRs of N-tosylhydrazones with an arylhalide and a terminal alkyne [39]. In 2013, Hamze et al. reported a three-component one-pot reaction of hydrazones, dihaloarenes and amines [40,41]. On the basis of our previous work [42,43,44,45], we herein report a new multi-component reaction of aromatic carbonyl compounds, tosylhydrazide and aryl boronic acids for the synthesis of 4-benzyl-1,1′-biphenyl derivatives (Scheme 1).
2. Results and Discussion
First, from the structural analysis of the 4-(1-phenylethyl)-1,1′-biphenyl skeleton (Figure 1), Csp2–Csp2 bond and Csp2–Csp3 bonds were constructed for building such a molecular structure. The Csp2–Csp3 bond is well known to be obtained by the reductive coupling reaction of aryl hydrazone with an aryl boronic acid, and the Csp2–Csp2 bond is formed by the palladium-catalyzed Suzuki coupling of aryl halide with an arylboronic acid. One common factor between these two reactions is the use of a base, but the Suzuki coupling reaction usually requires the involvement of a palladium catalyst. Hence, if we use the 4′-halo-acetophenone as starting reactants, and optimize the reaction conditions, it is possible to easily achieve access to 4-benzyl-1,1′-biphenyl derivatives by a one-pot multi-step reaction. It is an ideal route to synthesis of the target compound by a simple and efficient way.
Figure 1.
Structure of 4-benzyl-1,1′-biphenyl derivatives.
Based on the above considerations, we decided to use cost-effective, readily available 4-bromoacetophenone as the starting material. N-tosylhydrazones were generated in situ using TsNHNH2, reacted with an arylboronic acid to afford a 4-bromo-diarylmethane intermediate by reductive coupling, leading to the formation of a Csp2–Csp3 bond. With treatment using a transition-metal palladium catalyst, without isolation, the intermediate product was treated with another arylboronic acid by Suzuki coupling to construct the Csp2–Csp2 bond, ultimately affording 4-benzyl-1,1′-biphenyl derivatives (Scheme 2).
Scheme 2.
One-pot, multi-step, multi-component reactions of 4-bromoacetophenone, tosylhydrazide, with two arylboronic acids.
On the basis of their study and our previous work [17], the reaction conditions of the third step were optimized, namely, the effects of ligand, base and temperature on the Suzuki coupling reaction were examined. Initially, the coupling reaction of 4-bromoacetophenone, TsNHNH2 and phenylboronic acid was selected as a model reaction to optimize the reaction conditions. Table 1 summarizes the results. The use of only Pd(OAc)2 as the catalyst and K2CO3 as the base in 1,4-dioxane at 110 °C produced the desired product 3a in only 15% yield (entry 1). The phosphine ligands were screened for this reaction, and PCy3·HBF4 was found to be the most effective one for forming coupling product 3a (entry 3). Among the various bases examined, organic bases (Et3N), and inorganic bases (K3PO4·H2O and NaOH) gave the desired product in moderate yields (63–72%, entries 4–6, respectively). Cs2CO3 was not effective, and corresponding product 3a was obtained in a low yield (entry 7). Gratifyingly, when the amounts of tosylhydrazide and phenylboronic acid were increased, the yield of the product dramatically increased to 89% (entry 8). In addition, when the amount of Pd(OAc)2 was increased to 2 mol %, the yield of product did not improve significantly (entry 9). When the temperature of the Suzuki coupling reaction was decreased to 80 °C, the product was isolated in only 52% yield (entry 10). Hence, the combination of 4-bromoacetophenone (0.5 mmol), tosylhydrazide (1.5 equiv.), phenylboronic acid (3.0 equiv.), Pd(OAc)2 (1 mol %), PCy3·HBF4 (4 mol %) and K2CO3 (3.0 equiv.) at T1 = 80 °C (t1 = 2 h), T2 = 110 °C (t2 = 5 h), and T3 = 110 °C (t3 = 12 h) in 1,4-dioxane (5 mL) were found to be the most suitable reaction conditions.
Table 1.
Optimization of one-pot, multi-step reaction conditions a.
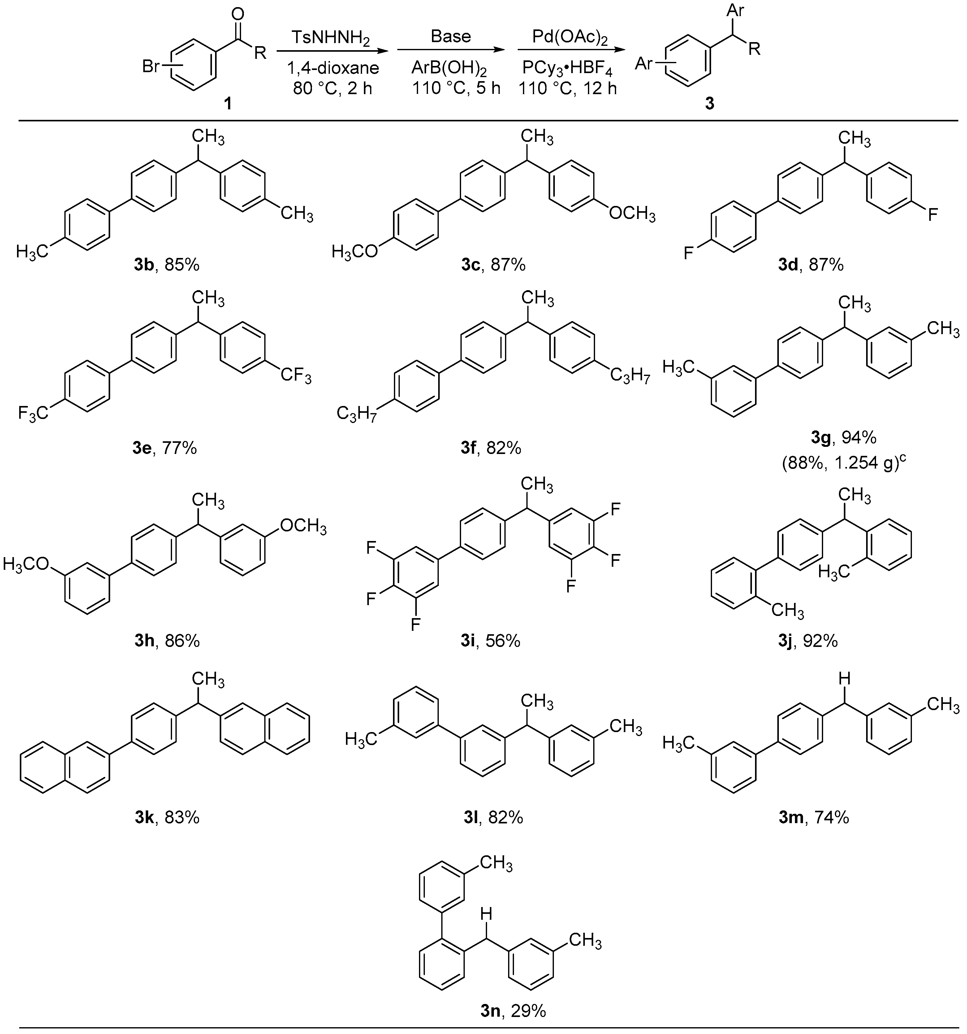
With the optimized conditions, we further investigated the substrate scope of this one-pot, three-step reductive coupling reaction process. As shown in Figure 2, the 4-substituted arylboronic acid substrates bearing electron-withdrawing or electron-donating groups effectively afforded desired products 3b–3f in good yields (77–87%). Moreover, m-tolylboronic acid, (3-methoxyphenyl)boronic acid and (3,4,5-trifluorophenyl)boronic acid were found to produce desired coupling products 3g–3i in 56–94% yields, respectively. Furthermore, the reductive coupling reactions involving ortho-substituted arylboronic acids were investigated. Both electronic properties and steric hindrance of the substrates affect the coupling reaction. For example, the coupling reaction of o-tolylboronic acid with 4-bromoacetophenone and TsNHNH2 afforded 3j in 92% yield. Naphthalene-2-ylboronic acid used as the coupling partner afforded 3k in 83% yield. Moreover, 3-bromoacetophenone and 4-bromobenzaldehyde also reacted with m-tolylboronic acid affording target products 3l and 3m in 82% and 74% yields. In contrast, 2-bromobenzaldehyde as the substrate reacted with m-tolylboronic acid affording the desired product 3n in only 29% yield. Notably, the gram-scale synthesis of 3g was performed to verify the practical application of this synthesis system. Fortunately, the reaction was performed using 5 mmol of 4-bromoacetophenone, 7.5 mmol TsNHNH2 and 15 mmol m-tolylboronic acid, affording product 3g in 88% yield (1.254 g).
Figure 2.
One-pot, four-component reactions of 4-bromophenyl aldehydes or ketones, TsNHNH2, with two same arylboronic acids a,b. a Reaction conditions: (i) 0.5 mmol carbonyl compound, 0.75 mmol tosylhydrazide, 4 mL 1,4-dioxane, 80 °C, 2 h; (ii) 1.5 mmol boronic acid, 1.5 equivalent K2CO3, 110 °C, 5 h. (iii) 1 mol % Pd(OAc)2, 4 mol % PCy3∙HBF4, 110 °C, 12 h. b Isolated yield. c Reaction conditions: (i) 5 mmol 4-bromoacetophenone, 7.5 mmol tosylhydrazide, 20 mL dioxane, 80 °C, 16 h; (ii) 3.0 equivalent m-tolylboronic acid, 1.5 equivalent K2CO3, 110 °C, 10 h; (iii) 1 mol % Pd(OAc)2, 4 mol % PCy3∙HBF4, 110 °C, 22 h.
For further ascertaining the applicable scope of this methodology, various arylboronic acids and carbonyl compounds were examined. As shown in Figure 3, arylboronic acids bearing 4-methoxy, 4-n-propyl, 4-fluoro, 4-trifluoromethyl and 2,4-difluoro groups were transformed into corresponding products 3o–3s in 50–80% yields. The substrate containing carbazolyl groups only afforded products 3t in 32% yield. In addition to 4-bromoacetophenone, 1-(3-bromophenyl)ethan-1-one and 4-bromobenzaldehyde or 2-bromobenzaldehyde also could be applied, affording products 3u–3w in 23–42% yields.
Figure 3.
One-pot, four-component reactions of 4-bromophenyl aldehydes or ketones, TsNHNH2, with two different arylboronic acids a,b. a Reaction conditions: (i) 0.5 mmol carbonyl compound, 0.5 mmol tosylhydrazide, 4 mL 1,4-dioxane, 80 °C, 2 h; (ii) 0.55 mmol Ar1B(OH)2, 1.5 equivalents K2CO3, 110 °C, 5 h. (iii) 1 mol % Pd(OAc)2, 4 mol % PCy3∙HBF4, 0.75 mmol Ar2B(OH)2, 110 °C, 12 h. b Isolated yield.
Next, we intend to apply this one-pot, multi-step reactions for preparing compound 3x, an analog of CPY17 inhibitors [10]. However, the reaction did not proceed smoothly in one-pot. Hence, we decided to adopt a step-wise approach for synthesizing 3x. First, 4-bromoacetophenone reacted with TsNHNH2 to afford the acylhydrazone. Then, it reduced coupling with 4-pyridine boronic acid afforded the intermediate product 4-(1-(4-bromophenyl)ethyl)pyridine with 41% isolated yield. Finally, the 4-(1-(4-bromophenyl)ethyl)pyridine was treated with phenylboronic acid, affording coupling product 3x in 61% yield, but the total yield was only 24.6% (Scheme 3).
Scheme 3.
Synthesis of 3x by three-step, four-component reactions.
In response to the challenges above, we also attempted to synthesize 3x by an alternative route (Scheme 4). Using 4-acetylpyridine as the starting material, first reacted with TsNHNH2, generates the corresponding hydrazine, then, to reductive coupling with 4-bromophenylboronic acid. In the third step, the second phenylboronic acid with a palladium catalyst were added to the above reaction solution, after the Suzuki coupling reaction, the ultimate product 3x formed with 60% yield directly without the need to isolate any of the reaction intermediates. Similarly, methoxy substituted product 3y was also obtained with 51% yield by this method.
Scheme 4.
Synthesis of 3x and 3y by one-pot, three-step, four-component reactions.
3. Materials and Methods
Chemicals were obtained commercially and used as received. NMR spectra were recorded on a Bruker DPX-400 spectrometer using TMS as the internal standard. EI-Mass spectra were measured on a LC/Q-TOF MS (Micromass, Wilmslow, UK) (see Supplementary Materials). All products were isolated by short chromatography on a silica gel (200–300 mesh) column using petroleumether (60–90 °C) as mobile phase, unless otherwise noted. 4-Bromoacetophenone derivatives, and arylboronic acids were of analytical grade quality, purchased from Adamas-beta Pharmaceuticals, Inc. (Shanghai, China).
3.1. General Procedure for the One-Pot, Four-Component Reactions of 4-Bromoacetophenone, TsNHNH2, and Two Same Arylboronic Acids
A solution of 4-bromoacetophenone or 4-bromobenzaldehyde derivatives (0.5 mmol) and tosylhydrazide (0.75 mmol) in 4 mL of 1,4-dioxane was stirred at 80 °C for 2 h in a reaction tube. Second, potassium carbonate (1.5 mmol) and the appropriate arylboronic acid (1.1 mmol) were added to the reaction mixture. Third, the reaction system was refluxed at 110 °C for 5 h with stirring. Next, 2 mol % Pd(OAc)2, and 4mol % PCy3·HBF4 were added, and the reaction was continued for 12 h at 110 °C. Then, the reaction was completed, and the crude mixture was allowed to reach room temperature. Finally, dichloromethane and a saturated solution of NaHCO3 were added, and the layers were separated. The aqueous phase was extracted three times with dichloromethane, and the combined organic layers were washed with two portions of a saturated NaHCO3 solution and one portion of brine, and then dried over anhydrous MgSO4 and filtered. The solvent was removed under reduced pressure. The products were purified by silica gel chromatography.
3.2. General Procedure for the One-Pot, Four-Step, Four-Component Reactions of 4-Acetylbiphenylderivatives, TsNHNH2, and Two Different Arylboronic Acids
A solution of 4-bromoacetophenone derivatives (0.5 mmol) and tosylhydrazide (0.75 mmol) in 4 mL of 1,4-dioxane was stirred at 80 °C for 2 h in a reaction tube. Then, potassium carbonate (1.5 mmol) and the appropriate arylboronic acid (0.6 mmol) were added to the reaction mixture. The system was refluxed at 110 °C for 5 h with stirring. Third, 2 mol % Pd(OAc)2, 4 mol % PCy3·HBF4, and another arylboronic acid (0.75 mmol) were added, and the reaction was continued for 12 h at 110 °C. After the reaction was completed, the crude mixture was allowed to reach room temperature. Finally, dichloromethane and a saturated solution of NaHCO3 were added, and the layers were separated. The aqueous phase was extracted three times with dichloromethane, and the combined organic layers were washed with two portions of a saturated NaHCO3 solution and one portion of brine, and then dried over anhydrous MgSO4 and filtered. The solvent was removed under reduced pressure. The products were purified by silica gel chromatography.
3.3. General Procedure for the Synthesis of 3x and 3y
A solution of 4-acetylpyridine (0.5 mmol) and tosylhydrazide (0.75 mmol) in 4 mL of 1,4-dioxane was stirred at 80 °C for 3 h in a reaction tube. Then, potassium carbonate (1.5 mmol) and 4-bromophenylboronic acid (0.55 mmol) were added to the reaction mixture. The system was refluxed at 110 °C for 7 h with stirring. Third, 1 mol % Pd(OAc)2, 4 mol % PCy3·HBF4, and another arylboronic acid (0.75 mmol) were added, and the reaction was continued for 10 h at 110 °C. After the reaction was completed, the crude mixture was allowed to reach room temperature. Finally, dichloromethane and a saturated solution of NaHCO3 were added, and the layers were separated. The aqueous phase was extracted three times with dichloromethane, and the combined organic layers were washed with two portions of a saturated NaHCO3 solution and one portion of brine, and then dried over anhydrous MgSO4 and filtered. The solvent was removed under reduced pressure. The products were purified by silica gel chromatography.
4-(1-Phenylethyl)-1,1′-biphenyl (3a) [46]: White solid (121.43 mg, 94%). 60.8–62.0 °C. 1H NMR (400 MHz, CDCl3) (Figure S1) δ 7.55–7.48 (m, 4H), 7.39–7.35 (m, 2H), 7.29–7.24 (m, 7H), 7.19–7.14 (m, 1H), 4.16 (q, J = 7.2 Hz, 1H), 1.65 (d, J = 7.2 Hz, 3H). 13C NMR (101 MHz, CDCl3) (Figure S2) δ 146.4, 145.6, 141.1, 139.1, 128.9, 128.6, 128.2, 127.8, 127.3, 127.2, 127.1, 126.3, 44.6(CH), 22.0(CH3). IR (neat, cm−1): 3016, 2960, 2918, 2875, 1508, 806.
4-Methyl-4′-(1-(p-tolyl)ethyl)-1,1′-biphenyl (3b): White solid (121.72 mg, 85%), m.p. 48.0–49.0 °C. 1H NMR (400 MHz, CDCl3) (Figure S3) δ 7.47 (dd, J = 10.8, 8.4 Hz, 4H), 7.28–7.21 (m, 5H), 7.13 (dd, J = 18.1, 8.1 Hz, 3H), 4.15 (dd, J = 14.4, 7.2 Hz, 1H), 2.34 (d, J = 25.7 Hz, 6H), 1.65 (d, J = 7.2 Hz, 3H). 13C NMR (101 MHz, CDCl3) (Figure S4) δ 145.6, 143.5, 139.0, 138.3, 136.9, 135.7, 129.6, 129.2, 128.0, 127.6, 127.0, 44.2(CH3), 22.1(CH), 21.2(CHCH3). HRMS (EI) (Figure S5): m/z calcd. for C22H22 [M]: 286.1722, found [M]: 286.1718. IR (neat, cm−1): 3016, 2960, 2918, 2875, 1508, 806.
4-Methoxy-4′-(1-(4-methoxyphenyl)ethyl)-1,1′-biphenyl (3c): White solid (138.51 mg, 87%), m.p. 76.0–77.1 °C. 1H NMR (400 MHz, CDCl3) (Figure S6) δ 7.47 (d, J = 8.8 Hz, 4H), 7.16 (d, J = 8.0 Hz, 4H), 6.89 (d, J = 8.8 Hz, 4H), 4.13 (q, J = 7.2 Hz, 1H), 3.80 (s, 6H), 1.63 (d, J = 7.2 Hz, 3H). 13C NMR (101 MHz, CDCl3) (Figure S7) δ 159.1, 158.0, 145.4, 138.6, 133.7, 128.6, 128.1, 128.0, 126.8, 114.3, 113.9, 55.4(OCH3), 43.7(CH), 22.2(CH3). HRMS (EI) (Figure S8): m/z calcd. for C22H22O2 [M] 318.1620, found [M]: 318.1620. IR (neat, cm−1): 3003, 2968, 2928, 2831, 1603, 1508, 1248, 816.
4-Fluoro-4′-(1-(4-fluorophenyl)ethyl)-1,1′-biphenyl (3d): White solid (128.04 mg, 87%), m.p. 72.1–73.6 °C. 1H NMR (400 MHz, CDCl3) (Figure S9) δ 7.52–7.44 (m, 4H), 7.26–7.18 (m, 4H), 7.10 (t, J = 8.4 Hz, 2H), 6.98 (t, J = 8.4Hz, 2H), 4.17 (q, J = 7.2 Hz, 1H), 1.65 (d, J = 7.2 Hz, 3H). 13C NMR (101 MHz, CDCl3) (Figure S10) δ 163.7, 162.7, 161.3, 160.2, 145.5, 142.0, 138.3, 137.1, 129.1, 128.7, 128.1, 127.2, 115.5, 43.9(CH), 22.2(CH3). HRMS (EI) (Figure S11): m/z calcd. for C20H16F2 [M]: 294.1220, found [M]: 294.1222. IR (neat, cm−1): 3043, 2968, 2876, 1888, 1607, 1508, 1217, 1169, 822.
4-(Trifluoromethyl)-4′-(1-(trifluoromethyl)phenyl)ethyl)-1,1′-biphenyl (3e): White solid (151.73 mg, 77%), m.p. 60.0–61.2 °C. 1H NMR (400 MHz, CDCl3) (Figure S12) δ 7.67 (s, 4H), 7.57–7.52 (m, 4H), 7.3–7.30 (m, 4H) 4.27 (q, J = 7.2 Hz, 1H), 1.70 (d, J = 7.2 Hz,3H). 13C NMR (101 MHz, CDCl3) (Figure S13) δ 150.2 (d, J = 1.4 Hz), 145.6, 144.4, 138.0, 129.6, 129.3, 128.9, 128.4, 128.1, 127.5, 125.7, 123.1, 44.5(CH), 21.7(CH3). HRMS (EI) (Figure S14): m/z calcd. for C22H16F6 [M]: 394.1156, found [M]: 394.1160. IR (neat, cm−1): 3026, 2976, 2930, 1618, 1325, 1106, 828.
4-Propyl-4′-(1-(4-propylphenyl)ethyl)-1,1′-biphenyl (3f): Colorless oil (140.43 mg, 82%). 1H NMR (400 MHz, CDCl3) (Figure S15) δ 7.48–7.45 (m, 4H), 7.25 (d, J = 8.0 Hz, 2H), 7.19 (d, J = 8.0 Hz, 2H), 7.14 (d, J = 8.0 Hz, 2H), 7.08 (d, J = 8.0 Hz, 2H), 4.12 (q, J = 7.2 Hz, 1H), 2.60–2.51 (m, 4H), 1.68–1.58 (m, 7H), 0.96–0.90 (m, 6H). 13C NMR (101 MHz, CDCl3) (Figure S16) δ 145.5, 143.7, 141.6, 140.4, 139.0, 138.5, 129.5, 128.6, 128.1, 127.6, 127.0, 44.3(CHCH3), 37.8(CH2CH2CH3), 24.7 (CH2CH2CH3), 22.1(CHCH3), 14.1(CH2CH2CH3). HRMS (EI) (Figure S17): m/z calcd. for C26H30 [M]: 342.2348, found [M]: 342.2345. IR (film): 3018, 2965, 2926, 2868, 1500, 1452, 810.
3-Methyl-4′-(1-(m-tolyl)ethyl)-1,1′-biphenyl (3g): Colorless oil (134.61 mg, 94%). 1H NMR (400 MHz, CDCl3) (Figure S18) δ 7.49–7.47 (m, 2H), 7.35 (d, J = 8.4 Hz, 2H), 7.27 (t, J = 8.4 Hz, 3H), 7.19–6.98 (m, 5H), 4.13 (q, J = 7.2 Hz, 1H), 2.38 (s, 3H), 2.30 (s, 3H), 1.64 (d, J = 7.2Hz, 3H). 13C NMR (101 MHz, CDCl3) (Figure S19) δ 146.4, 145.6, 141.2, 139.1, 138.3, 138.0, 128.7, 128.6, 128.4, 128.1, 128.0, 127.9, 127.2, 127.0, 124.8, 124.3, 44.6(CHCH3), 22.0(CHCH3), 21.7(CH3). HRMS (EI) (Figure S20): m/z calcd. for C22H22 [M]: 286.1722, found [M]: 286.1721. IR (film): 3024, 2972, 2922, 2870, 1604, 1479, 835, 783, 700.
3-Methoxy-4′-(1-(3-methoxyphenyl)-1,1′-biphenyl (3h): Colorless oil (136.92 mg, 86%). 1H NMR (400 MHz, CDCl3) (Figure S21) δ 7.49 (dt, J = 4 Hz, 2Hz, 2H), 7.33–7.27 (m, 3H), 7.22–7.05 (m, 4H), 6.85 (dd, J = 7.4, 2.8 Hz, 2H), 6.81–6.80 (m, 1H), 4.14 (q, J = 7.2 Hz, 1H), 3.81 (s, 3H), 3.75 (s, 3H), 1.65 (d, J = 7.2 Hz, 3H). 13C NMR (101 MHz, CDCl3) (Figure S22) δ 160.0, 159.8, 148.0, 145.6, 142.6, 139.0, 131.5, 129.80, 129.5, 128.0, 127.3, 120.2, 119.7, 113.9, 112.9, 112.6, 111.1, 55.3(OCH3), 44.6(CH), 21.9(CH3). HRMS (EI) (Figure S23): m/z calcd. for C22H22O2 [M]: 318.1620, found [M]: 318.1616. IR (film): 2999, 2962, 2935, 2835, 1601, 1485, 1261, 1157, 835.
3,4,5-Trifluoro-4′-(1-(3,4,5-trifluorophenyl)ethyl)-1,1′biphenyl (3i): Colorless oil (102.56 mg, 56%). 1H NMR (400 MHz, CDCl3) (Figure S24) δ 7.45–7.42 (m, 2H), 7.25–7.14 (m, 4H), 6.87–6.79 (m, 2H), 4.12 (q, J = 7.2 Hz, 1H), 1.63 (d, J = 7.2 Hz, 3H). 13C NMR (101 MHz, CDCl3) (Figure S25) δ 152.6, 150.2, 145.2, 142.4, 140.6, 139.6, 138.1, 137.0, 128.3, 127.3, 111.6, 111.0, 44.0(CH), 21.6(CH3). HRMS (EI) (Figure S26): m/z calcd. for C20H12F6 [M]: 366.0843, found [M]: 366.0844. IR (film): 3042, 2968, 2926, 1618, 1537, 1445, 1348, 1244, 1041, 831.
2-Methyl-4′-(1-(o-tolyl)ethyl)-1,1′-biphenyl (3j): Colorless oil (131.75 mg, 92%). 1H NMR (400 MHz, CDCl3) (Figure S27) δ 7.31 (d, J = 7.6 Hz, 1H), 7.23–7.19 (m, 9H), 7.15–7.13 (m, 2H), 4.36 (q, J = 7.2 Hz, 1H), 2.26 (d, J = 10.8 Hz, 6H), 1.65 (d, J = 7.2 Hz, 3H). 13C NMR (101 MHz, CDCl3) (Figure S28) δ 144.8, 144.1, 141.9, 139.5, 136.2, 135.5, 130.5, 130.0, 129.2, 127.4, 127.2, 126.9, 126.2, 125.8, 40.8(CHCH3), 22.2(CHCH3), 20.7(CH3), 20.0(CH3). HRMS (EI) (Figure S29): m/z calcd. for C22H22 [M]: 286.1722, found [M]: 286.1724. IR (film): 3017, 2968, 2926, 2866, 1601, 1481, 835, 756.
2-(4-(1-(Naphthalene-2-yl)ethyl)phenyl)naphthalene (3k): White solid (148.77 mg, 83%), m.p. 110.9–111.5 °C. 1H NMR (400 MHz, CDCl3) (Figure S30) δ 8.03 (d, J = 16.8 Hz, 1H), 7.90–7.73 (m, 8H), 7.71–7.64 (m, 2H), 7.50–7.44 (m, 4H), 7.41–7.36 (m, 3H), 4.38 (dd, J = 13.9, 6.8 Hz, 1H), 1.80 (dd, J = 12.5, 7.0 Hz, 3H). 13C NMR (101 MHz, d6-DMSO) (Figure S31) δ 145.6, 143.7, 137.7, 137.3, 133.3, 133.1, 132.1, 131.7, 128.4, 128.1, 127.9, 127.6, 127.5, 127.4, 127.0, 126.6, 126.3, 126.1, 126.0, 125.5, 125.0, 124.9, 43.8(CH), 21.3(CH3). HRMS (EI) (Figure S32): m/z calcd. for C28H22 [M]: 358.1722, found [M]: 358.1718. IR (neat, cm−1): 3053, 2960, 2870, 1601, 1501, 1448, 860,817.
3-Methyl-3-(1-(m-tolyl)ethyl-1,1-biphenyl (3l): Colorless oil (117.42 mg, 82%). 1H NMR (400 MHz, CDCl3) (Figure S33) δ 7.45 (t, J = 1.7 Hz, 1H), 7.40–7.27 (m, 5H), 7.19–7.12 (m, 3H), 7.06–6.97 (m, 3H), 4.16 (q, J = 7.2 Hz, 1H), 2.34 (d, J = 37.8 Hz, 6H), 1.66 (d, J = 7.2 Hz, 3H). 13C NMR (101 MHz, CDCl3) (Figure S34) δ 147.0, 146.4, 141.6, 141.5, 138.4, 138.0, 128.8, 128.7, 128.6, 128.4, 128.1, 127.0, 126.7, 126.6, 125.1, 124.7, 124.5, 45.0(CH), 22.1(CHCH3), 21.7(CH3), 21.6(CH3). HRMS (EI) (Figure S35): m/z calcd. for C22H22 [M]: 286.1722, found [M]: 286.1724. IR (film): 3036, 2961, 2913, 2879, 1591, 1475, 791, 700.
3-Methyl-4′-(3-methylbenzyl)-1,1′-biphenyl (3m) [47]: Colorless oil (100.78 mg,74%). 1H NMR (400 MHz, CDCl3) (Figure S36) δ 7.50 (dt, J = 4.0, 2.0 Hz, 2H), 7.37–7.25 (m, 4H), 7.23–7.12 (m, 3H), 7.02 (d, J = 7.7 Hz, 3H), 3.97 (s, 2H), 2.40 (s, 3H), 2.32 (s, 3H). 13C NMR (101 MHz, CDCl3) (Figure S37) δ 141.1, 140.4, 139.2, 138.4, 138.2, 129.8, 129.4, 128.8, 128.5, 127.95, 127.3, 127.0, 126.1, 124.2, 41.7(CH), 21.7(CHCH3), 21.6(CH3). HRMS (EI) (Figure S38): m/z calcd. for C21H20 [M]: 272.1565, found [M]: 272.1560. IR (film): 3030, 2916, 2858, 1606, 1479, 783.
3′-Methyl-3-(2-methylbenzyl)-1,1′-biphenyl (3n) [47]: Colorless oil (39.50 mg, 29%). 1H NMR (400 MHz, CDCl3) (Figure S39) δ 7.28–7.19 (m, 5H), 7.14–7.04 (m, 4H), 6.95 (d, J = 7.0 Hz, 1H), 6.79 (d, J = 5.6 Hz, 2H), 3.90 (s, 2H), 2.34 (s, 3H), 2.25 (s, 3H). 13C NMR (101 MHz, CDCl3) (Figure S40) δ 142.5, 141.7, 141.6, 138.5, 137.8, 137.6, 130.3, 130.1, 129.8, 128.2, 128.0, 127.7, 127.5, 126.6, 126.5, 126.2, 126.1, 39.2(CH), 21.5(CH3). HRMS (EI) (Figure S41): m/z calcd. for C21H20 [M]: 272.1565, found [M]: 272.1566. IR (film): 3022, 2914, 2858, 1597, 1485, 762, 698.
4-Methoxy-4′-(1-(p-tolyl)ethyl)-1,1′-biphenyl (3o): White solid (120.96 mg, 80%), m.p. 99.2–100.7 °C. 1H NMR (400 MHz, CDCl3) (Figure S42) δ 7.47 (dd, J = 13.7, 8.5 Hz, 4H), 7.27–7.24 (m, 2H), 7.13 (q, J = 8.2 Hz, 4H), 6.97–6.92 (m, 2H), 4.14 (q, J = 7.2 Hz, 1H), 3.83 (s, 3H), 2.31 (s, 3H), 1.65 (d, J = 7.2 Hz, 3H). 13C NMR (101 MHz, CDCl3) (Figure S43) δ 159.1, 145.2, 143.5, 138.6, 135.7, 133.8, 129.2, 128.1, 127.6, 126.8, 114.3, 55.5(OCH3), 44.2(CH), 22.1(CHCH3), 21.1(CH3). HRMS (EI) (Figure S44): m/z calcd. for C22H22O [M]: 302.1671, found [M]: 302.1666. IR (neat, cm−1): 3034, 2968, 2905, 1606, 1501, 1454, 1248, 1035, 820.
4-Propyl-4′-(1-(p-tolyl)ethyl)-1,1′-biphenyl (3p): Colorless oil (136.92 mg, 86%). 1H NMR (400 MHz, CDCl3) (Figure S45) δ 7.48–7.44 (m, 4H), 7.25–7.23 (m, 2H), 7.20–7.18 (m, 2H), 7.14–7.11 (m, 2H), 7.07 (dd, J = 8.0, 2.3 Hz, 2H), 4.15–4.09 (m, 1H), 2.65–2.51 (m, 2H), 2.28 (d, J = 2.4 Hz, 3H), 1.64–1.61 (m, 5H), 0.96–0.92(m, 3H). 13C NMR (101 MHz, CDCl3) (Figure S46) δ 145.5, 143.5, 141.7, 139.0, 138.5, 135.6, 129.2, 128.9, 128.0, 127.6, 127.0, 126.9, 44.2(CH), 37.8(CH3), 24.7(CH2CH2CH3), 22.1(CHCH3), 21.1(CH2CH2CH3), 14.0(CH2CH2CH3). HRMS (EI) (Figure S47): m/z calcd. for C24H26 [M]: 314.2035, found [M]: 314.2029. IR (film): 3024, 2960, 2928, 2866, 1502, 808.
4-Flouro-4′-(1-(p-toly)etyl)-1,1′-biphenyl (3q): White solid (98.73 mg, 68%), m.p. 85.2–86.0 °C. 1H NMR (400 MHz, CDCl3) (Figure S48) δ 7.52–7.48 (m, 2H), 7.44 (d, J = 8.4 Hz, 2H), 7.28–7.24 (m, 2H), 7.15–7.07 (m, 6H), 4.15 (q, J = 7.2 Hz, 1H), 2.31 (s, 3H), 1.65 (d, J = 7.2 Hz, 3H). 13C NMR (101 MHz, CDCl3) (Figure S49) δ 162.5, 160.1, 144.7, 142.2, 136.8, 136.1, 134.6, 128.1, 127.5, 127.0, 126.4, 125.9, 114.6, 114.4, 43.0(CH), 20.9(CHCH3), 20.0(CH3). HRMS (EI) (Figure S50): m/z calcd. for C21H19F [M]: 290.1471, found [M]: 290.1472. IR (neat, cm−1): 3032, 2966, 2924, 2870, 1597, 1500, 1240, 820.
4-(1-(p-Tolyl)ethyl)-4′-(trifluoromethyl)-1,1′-biphenyl (3r): Colorless oil (85.10 mg, 50%). 1H NMR (400 MHz, CDCl3) (Figure S51) δ 7.65 (s, 4H), 7.50 (dt, J = 4.0, 2.0 Hz, 2H), 7.31 (d, J = 8.0 Hz, 2H), 7.16–7.07 (m, 4H), 4.16 (q, J = 7.2 Hz, 1H), 2.31 (s, 3H), 1.66 (d, J = 7.2 Hz, 3H). 13C NMR (101 MHz, CDCl3) (Figure S52) δ 146.9, 144.5 (d, J = 1.6 Hz), 143.0, 137.4, 135.7, 131.4, 129.2, 128.2, 127.4, 127.2, 125.6, 123.0(CF3), 44.1(CH), 21.9(CH3), 21.0(CHCH3). HRMS (EI) (Figure S53): m/z calcd. for C22H19F3 [M]: 340.1439, found [M]: 340.1441. IR (film): 3021, 2966, 2926, 2882, 1618, 1504, 1325, 1169, 1121, 829.
2,4-Difluoro-4′-(1-(p-tolyl)ethyl)-1,1′-biphenyl (3s): Colorless oil (112.47 mg, 73%). 1H NMR (400 MHz, CDCl3) (Figure S54) δ 7.40 (dd, J = 8.2, 1.7 Hz, 2H), 7.35–7.27 (m, 3H), 7.12 (q, J = 8.3 Hz, 4H), 6.93–6.84 (m, 2H), 4.15 (q, J = 7.2 Hz, 1H), 2.31 (s, 3H), 1.64 (d, J = 7.2 Hz, 3H). 13C NMR (101 MHz, CDCl3) (Figure S55) δ 163.4, 161.0, 158.6, 146.3, 143.1, 135.7, 132.6, 131.3, 129.2, 127.7, 127.5, 125.2, 111.5, 104.3, 44.2(CH), 21.9(CHCH3), 21.0(CH3). HRMS (EI) (Figure S56): m/z calcd. for C21H18F2 [M]: 308.1377, found [M]: 308.1371. IR (film): 3024, 2965, 2924, 2868, 1607, 1495, 1139, 848, 812.
9-(4-(1-([1,1'-Biphenyl]-4-yl)ethyl)phenyl)-9H-carbazole (3t): White solid (67.77 mg, 32%), m.p. 141.2–143.0 °C. 1H NMR (400 MHz, CDCl3) (Figure S57) δ 8.17 (dt, J = 7.8, 1.1 Hz, 2H), 7.67–7.60 (m, 4H), 7.57–7.34 (m, 13H), 7.34–7.28 (m, 2H), 4.36 (q, J = 7.2 Hz, 1H), 1.81 (d, J = 7.2 Hz, 3H). 13C NMR (101 MHz, CDCl3) (Figure S58) δ 145.6, 145.0, 140.9, 139.3, 135.6, 129.0, 128.8, 128.1, 127.1, 125.9, 123.3, 120.3, 119.8, 109.9, 44.3(CH), 22.0(CH3). HRMS (EI) (Figure S59): m/z calcd. for C32H25N [M]+: 423.1987, found [M]+:423.1982. IR (neat, cm-1): 3051, 2963, 2876, 1595, 1510, 1232, 835, 812.
4′-Methoxy-3-(1-(p-tolyl)ethyl)-1,1′-biphenyl (3u): Colorless oil (63.51 mg, 42%). 1H NMR (400 MHz, CDCl3) (Figure S60) δ 7.51–7.47 (m, 2H), 7.40 (t, J = 1.8 Hz, 1H), 7.36 (dt, J = 7.7, 1.5 Hz, 1H), 7.31 (t, J = 7.6 Hz, 1H), 7.12 (dd, J = 23.2, 8.4 Hz, 5H), 6.97–6.93 (m, 2H), 4.16 (q, J = 7.2 Hz, 1H), 3.83 (s, 3H), 2.30 (s, 3H), 1.66 (d, J = 7.2 Hz, 3H). 13C NMR (101 MHz, CDCl3) (Figure S61) δ 159.2, 147.2, 143.4, 141.0, 135.6, 134.1, 129.2, 128.8, 128.3, 127.6, 126.3, 126.1, 124.6, 114.3, 55.5(OCH3), 44.6(CH), 22.1(CHCH3), 21.1(CH3). HRMS (EI) (Figure S62): m/z calcd. for C22H22O [M]: 302.1671, found [M]: 302.1665. IR (film): 3003, 2930, 2682, 1612, 1520, 1244, 818.
4-Methoxy-4′-(4-methylbenzyl)-1,1′-biphenyl (3v): White solid (33.16 mg, 23%), m.p. 94.7–96.6 °C. 1H NMR (400 MHz, CDCl3) (Figure S63) δ 7.47 (dd, J = 14.7, 8.5 Hz, 4H), 7.22 (d, J = 8.3 Hz, 2H), 7.11 (s, 4H), 6.95 (d, J = 8.8 Hz, 2H), 3.97 (s, 2H), 3.84 (s, 3H), 2.32 (s, 3H). 13C NMR (101 MHz, CDCl3) (Figure S64) δ 159.0, 139.9, 138.6, 138.0, 135.6, 133.6, 129.19, 128.8, 128.0, 126.8, 114.1, 55.3(OCH3), 41.1(CH2), 21.0(CH3). HRMS (EI) (Figure S65): m/z calcd. for C21H20O [M]: 288.1514, found [M]: 288.1513. IR (neat, cm−1): 2957, 2912, 2837, 1607, 1504, 1248, 800.
4′-Methoxy-2-(4-methylbenzyl)-1,1′-biphenyl (3w) [48]: Colorless oil (36.05 mg, 25%). 1H NMR (400 MHz, CDCl3) (Figure S66) δ 7.25–7.23 (m, 3H), 7.20–7.17 (m, 3H), 7.02 (d, J = 7.9 Hz, 2H), 6.92–6.88 (m, 4H), 3.91 (s, 2H), 3.83 (s, 3H), 2.29 (s, 3H). 13C NMR (101 MHz, CDCl3) (Figure S67) δ 158.7, 141.9, 138.7, 138.6, 135.3, 134.2,130.5, 130.4, 129.1, 128.9, 127.3, 126.2, 113.6, 55.4(OCH3), 38.7(CH2), 21.1(CH3). HRMS (EI) (Figure S68): m/z calcd. for C21H20O [M]: 288.1514, found [M]: 288.1519. IR (film): 3018, 2924, 2849, 1609, 1246, 764.
4-(1-([1,1′-Biphenyl]-4-yl)ethyl)pyridine (3x): White solid (77.80 mg, 60%), m.p. 55.8–56.5 °C. 1H NMR (400 MHz, CDCl3) (Figure S69) δ 8.53 (d, J = 5.6 Hz, 2H), 7.58–7.53 (m, 4H), 7.42 (t, J = 7.5 Hz, 2H), 7.33 (d, J = 7.3, 1H), 7.27–7.24 (m, 2H), 7.19 (dd, J = 4.8, 1.2 Hz, 2H), 4.17 (q, J = 7.2 Hz, 1H), 1.68 (d, J = 7.2 Hz, 3H). 13C NMR (101 MHz, CDCl3) (Figure S70) δ 155.7, 149.5, 143.4, 140.8, 139.8, 128.9, 128.1, 127.5, 127.4, 127.1, 123.3, 44.1(CH), 21.2(CH3). HRMS (ESI) (Figure S71): m/z calcd. for C19H18N [M + H]+: 260.1439, found [M + H]+: 260.1432. IR (neat, cm−1): 3352, 2885, 1591, 1404, 839.
4-(1-(4′-Methoxy-[1,1′-biphenyl]-4-yl)ethyl)pyridine (3y): Light yellow solid (73.80 mg, 51%), m.p. 55.8–56.5 °C. 1H NMR (400 MHz, CDCl3) (Figure S72) δ 8.51 (d, J = 6.0 Hz, 2H), 7.49 (m, 4H), 7.19 (m, 4H), 6.95 (d, J = 8.8 Hz, 2H), 4.13 (q, J = 7.2 Hz, 1H), 3.81 (s, 3H), 1.65 (d, J = 7.2 Hz, 3H). 13C NMR (101 MHz, CDCl3) (Figure S73) δ 159.2, 155.6, 149.5, 142.7, 139.3, 133.3, 128.1, 127.0, 123.2, 114.3, 55.4(OCH3), 44.0(CH), 21.1(CH3). HRMS (ESI) (Figure S74): m/z calcd. for C20H20NO [M + H]+: 290.1545, found [M + H]+: 290.1534. IR (neat, cm−1): 3035, 2970, 2843, 1604, 1497, 1248, 1028, 814.
4. Conclusions
In summary, we developed an operationally simple, efficient general procedures for synthesizing 4-benzyl-1,1′-biphenyl derivatives, via a four-component one-pot reaction of 4-bromoacetophenone, tosylhydrazide and two arylboronic acids as the starting materials, involving Barluenga and Suzuki couplings. This method can be processed in one-pot with multiple steps; indeed it is a simpler and more efficient way to synthesis 4-benzyl-1,1′-biphenyl compounds. Also, we demonstrated the utility of this method from commercially available starting materials to afford the corresponding products in moderate to excellent yields with good functional group tolerance. Notably, this protocol also proves to be suitable for synthesizing 4-pyridyl biphenylmethane-type compounds, which are analogs of CPY17 inhibitors.
Supplementary Materials
Supplementary materials are available online. the charts of 1H-, 13C-NMR and HRMS of products.
Acknowledgments
We gratefully acknowledge financial support of this work by the National Natural Science Foundation of China (No. 21563025), and the Program for Changjiang Scholars and Innovative Research Team in University (No. IRT_15R46), and Yangtze River Scholar Research Project of Shihezi University (No. CJXZ201601).
Author Contributions
P. Liu and Y. Liu conceived and designed the experiments; N. Gu performed the experiments; B. Dai contributed reagents/materials/analysis tools; Y. Wei wrote the paper.
Conflicts of Interest
The authors declare no conflict of interest.
References
- Tanabe, K.; Hölderich, W.F. Industrial application of solid acid-base catalysts. Appl. Catal. A 1999, 181, 399–434. [Google Scholar] [CrossRef]
- Beltrame, P.; Zuretti, G.; Demartin, F. Benzylation of biphenyl with benzyl chloride over crystalline, amorphous, and MCM-41 solid acid catalysts. Ind. Eng. Chem. Res. 2000, 39, 1209–1214. [Google Scholar] [CrossRef]
- Hino, M.; Arata, K. The synthesis of thermally stable oils by the benzylation of biphenyl with benzyl chloride catalyzed by Iron(III) oxide. Bull. Chem. Soc. Jpn. 1981, 54, 311–312. [Google Scholar] [CrossRef]
- Huhtaniemi, I.; Nikula, H.; Parvinen, M.; Rannikko, S. Histological and functional changes of the testis tissue during GnRH agonist treatment of prostatic cancer. Am. J. Clin. Oncol. 1988, 11, S11–S15. [Google Scholar] [CrossRef] [PubMed]
- Titus, M.A.; Schell, M.J.; Lih, F.B.; Tomer, K.B.; Mohler, J.L. Testosterone and dihydrotestosterone tissue levels in recurrent prostate cancer. Clin. Cancer Res. 2005, 11, 4653–4657. [Google Scholar] [CrossRef] [PubMed]
- Stanbrough, M.; Bubley, G.J.; Ross, K.; Golub, T.R.; Rubin, M.A.; Penning, T.M.; Febbo, P.G.; Balk, S.P. Increased expression of genes converting adrenal androgens to testosterone in androgen-independent prostate cancer. Cancer Res. 2006, 66, 2815–2825. [Google Scholar] [CrossRef] [PubMed]
- Montgomery, R.B.; Mostaghel, E.A.; Vessella, R.; Hess, D.L.; Kalhorn, T.F.; Higano, C.S.; True, L.D.; Nelson, P.S. Maintenance of intratumoral androgens in metastatic prostate cancer: A mechanism for castration-resistant tumor growth. Cancer Res. 2008, 68, 4447–4454. [Google Scholar] [CrossRef] [PubMed]
- Holzbeierlein, J.; Lal, P.; La Tulippe, E.; Smith, A.; Satagopan, J.; Zhang, L.; Ryan, C.; Smith, S.; Scher, H.; Scardino, P.; et al. Gene expression analysis of human prostate carcinoma during hormonal therapy identifies androgen-responsive genes and mechanisms of therapy resistance. Am. J. Pathol. 2004, 164, 217–227. [Google Scholar] [CrossRef]
- Labrie, F.; Dupont, A.; Belanger, A.; Cusan, L.; Lacourciere, Y.; Monfette, G.; Laberge, J.G.; Emond, J.P.; Fazekas, A.T.; Raynaud, J.P.; et al. New hormonal therapy in prostatic carcinoma: Combined treatment with an LHRH agonist and an antiandrogen. Clin. Investig. Med. 1982, 5, 267–275. [Google Scholar]
- Hu, Q.Z.; Yin, L.; Jagusch, C.; Hille, U.E.; Hartmann, R.W. Isopropylidene substitution increases activity and selectivity of biphenylmethylene 4-pyridine type CYP17 inhibitors. J. Med. Chem. 2010, 53, 5049–5053. [Google Scholar] [CrossRef] [PubMed]
- Hu, Q.Z.; Jagusch, C.; Hille, U.E.; Haupenthal, J.; Hartmann, R.W. Replacement of imidazolyl by pyridyl in biphenylmethylenes results in selective CYP17 and dual CYP17/CYP11B1 inhibitors for the treatment of prostate cancer. J. Med. Chem. 2010, 53, 5749–5758. [Google Scholar] [CrossRef] [PubMed]
- Yadav, G.D.; George, G. Monoalkylation of biphenyl over modified heteropoly acids: Novelty of cesium substituted dodecatungstophosphoric acid supported on hexagonal mesoporous silica. Catal. Today 2009, 141, 130–137. [Google Scholar] [CrossRef]
- Beltrame, P.; Demartin, F.; Zuretti, G. An improved kinetic model for the reaction of biphenyl with benzyl chloride over an MCM-41 solid acid catalyst. Appl. Catal. A Gen. 2001, 218, 61–67. [Google Scholar] [CrossRef]
- Jana, S.K. Recent developments of heterogeneous solid catalysts for liquid-phase Friedel-Crafts type benzylation reaction. Catal. Surv. Asia 2005, 9, 25–34. [Google Scholar] [CrossRef]
- Haase, J.; Hillner, K.; Brueggemann, W.; Momm, G. p-Benzylbiphenyl. Eur. Pat. Appl. Eur. Patent 431,265, 12 June 1991. [Google Scholar]
- Sakura, K.; Takeuchi, H.; Furumoto, M. Manufacture of Benzylbiphenyls. Jpn. Kokai Tokkyo Koho JP 03,170,442, 24 July 1991. [Google Scholar]
- Beltrame, P.; Zuretti, G. Benzylation of biphenyl with benzyl chloride over HY zeolites: A kinetic model for reaction and catalyst deactivation. Ind. Eng. Chem. Res. 1997, 36, 3427–3432. [Google Scholar] [CrossRef]
- Miyaura, N.; Yanagi, T.; Suzuki, A. The palladium-catalyzed cross-coupling reaction of phenylboronic acid with haloarenes in the presence of bases. Synth. Commun. 1981, 11, 513–519. [Google Scholar] [CrossRef]
- Miyaura, N.; Suzuki, A. Palladium-catalyzed cross-coupling reactions of organoboron compounds. Chem. Rev. 1995, 95, 2457–2483. [Google Scholar] [CrossRef]
- Suzuki, A. Recent advances in the cross-coupling reactions of organoboron derivatives with organic electrophiles, 1995–1998. J. Organomet. Chem. 1999, 576, 147–168. [Google Scholar] [CrossRef]
- Suzuki, A. Cross-coupling reactions via organoboranes. J. Organomet. Chem. 2002, 653, 83–90. [Google Scholar] [CrossRef]
- Langle, S.; Abarbri, M.; Duchêne, A. Selective double Suzuki cross-coupling reactions. Synthesis of unsymmetrical diaryl (or heteroaryl) methanes. Tetrahedron Lett. 2003, 44, 9255–9258. [Google Scholar] [CrossRef]
- Henry, N.; Enguehard-Gueiffier, C.; Thery, I.; Gueiffier, A. One-pot dual substitutions of bromobenzyl chloride, 2-chloromethyl-6-halogenoimidazo [1,2-a] pyridine and-[1,2-b]pyridazine by Suzuki-Miyaura cross-coupling reactions. Eur. J. Org. Chem. 2008, 2008, 4824–4827. [Google Scholar] [CrossRef]
- Zhu, J.; Bienaym, H. (Eds.) Multicomponent Reactions; Wiley-VCH: Weinheim, Germany, 2005. [Google Scholar]
- Dömling, A. Recent developments in isocyanide based multicomponent reactions in applied chemistry. Chem. Rev. 2006, 106, 17–89. [Google Scholar] [CrossRef] [PubMed]
- Gu, Y.L. Multicomponent reactions in unconventional solvents: State of the art. Green Chem. 2012, 14, 2091–2128. [Google Scholar] [CrossRef]
- Yang, T.; Cui, H.; Zhang, C.H.; Zhang, L.; Su, C.Y. From homogeneous to heterogeneous catalysis of the three-component coupling of oxysulfonyl azides, alkynes, and amines. ChemCatChem 2013, 5, 3131–3138. [Google Scholar] [CrossRef]
- Fulton, J.R.; Aggarwal, V.K.; de Vicente, J. The use of tosylhydrazone salts as a safe alternative for handling diazo compounds and their applications in organic synthesis. Eur. J. Org. Chem. 2005, 1479–1492. [Google Scholar] [CrossRef]
- Barluenga, J.; Valdés, C. Tosylhydrazones: New uses for classic reagents in palladium-catalyzed cross-coupling and metal-free reactions. Angew. Chem. Int. Ed. 2011, 50, 7486–7500. [Google Scholar] [CrossRef] [PubMed]
- Shao, Z.; Zhang, H. N-tosylhydrazones: Versatile reagents for metal-catalyzed and metal-free cross-coupling reactions. Chem. Soc. Rev. 2012, 41, 560–572. [Google Scholar] [CrossRef] [PubMed]
- Kai, X.; Chong, S.; Shang, S. Progress of cross-coupling reaction with N-tosylhydrazones. Chin. J. Org. Chem. 2015, 35, 294–308. [Google Scholar] [CrossRef]
- Liu, Z.; Zhang, Y.; Wang, J. Transition-metal-catalyzed cross-coupling reaction with N-tosylhydrazones. Chin. J. Org. Chem. 2013, 33, 687–692. [Google Scholar] [CrossRef]
- Xiao, Q.; Zhang, Y.; Wang, J. Diazo compounds and N-tosylhydrazones: Novel cross-coupling partners in transition-metal-catalyzed reactions. Acc. Chem. Res. 2013, 46, 236–247. [Google Scholar] [CrossRef] [PubMed]
- Jadhav, A.P.; Ray, D.; BhaskaraRao, V.U.; Singh, R.P. Copper-catalyzed direct cross-coupling of compounds containing activated C–H/heteroatom–H bonds with N-tosylhydrazones. Eur. J. Org. Chem. 2016, 2369–2382. [Google Scholar] [CrossRef]
- Barluenga, J.; Tomás-Gamasa, M.; Aznar, F.; Valdés, C. Metal-free carbon–carbon bond-forming reductive coupling between boronic acids and tosylhydrazones. Nat. Chem. 2009, 1, 494–499. [Google Scholar] [CrossRef] [PubMed]
- Zhou, L.; Shi, Y.; Xiao, Q.; Liu, Y.; Ye, F.; Zhang, Y.; Wang, J. CuBr-Catalyzed coupling of N-tosylhydrazones and terminal alkynes: Synthesis of benzofurans and indoles. Org. Lett. 2011, 13, 968–971. [Google Scholar] [CrossRef] [PubMed]
- Ye, F.; Shi, Y.; Zhou, L.; Xiao, Q.; Zhang, Y.; Wang, J. Expeditious synthesis of phenanthrenes via CuBr2-catalyzed coupling of terminal alkynes and N-tosylhydrazones derived from O-formyl biphenyls. Org. Lett. 2011, 13, 5020–5023. [Google Scholar] [CrossRef] [PubMed]
- Zhou, L.; Xiao, T.; Dong, X. Benzofuran and indole synthesis via Cu(I)-catalyzed coupling of N-tosylhydrazone and o-hydroxy or o-amino phenylacetylene. Org. Biomol. Chem. 2013, 11, 1490–1497. [Google Scholar]
- Zhou, L.; Ye, F.; Zhang, Y.; Wang, J. Pd-catalyzed three-component coupling of N-tosylhydrazone, terminal alkyne, and aryl halide. J. Am. Chem. Soc. 2010, 132, 13590–13591. [Google Scholar] [CrossRef] [PubMed]
- Roche, M.; Hamze, A.; Brion, J.-D.; Alami, M. Catalytic three-component one-pot reaction of hydrazones, dihaloarenes, and amines. Org. Lett. 2013, 15, 148–151. [Google Scholar] [CrossRef] [PubMed]
- Naret, T.; Retailleau, P.; Bignon, J.; Brion, J.-D.; Alami, M.; Hamze, A. Palladium-catalyzed one-pot synthesis of 5-(1-arylvinyl)-1H-benzimidazoles: Overcoming the limitation of acetamide partners. Adv. Synth. Catal. 2016, 358, 1833–1847. [Google Scholar] [CrossRef]
- Shen, X.; Gu, N.; Liu, P.; Ma, X.; Xie, J.; Liu, Y.; He, L.; Dai, B. A simple and efficient synthesis of 9-arylfluorenes via metal-free reductive coupling of arylboronic acids and N-tosylhydrazones in situ. RSC Adv. 2015, 5, 63726–63731. [Google Scholar] [CrossRef]
- Shen, X.; Gu, N.; Liu, P.; Ma, X.; Xie, J.; Liu, Y.; Dai, B. One-pot synthesis of triarylmethanes via metal-free reductive coupling of diaryl ketones, tosylhydrazide, and arylboronic acids. Chin. J. Chem. 2016, 34, 1033–1038. [Google Scholar] [CrossRef]
- Shen, X.; Liu, P.; Liu, Y.; Liu, Y.; Dai, B. One-pot reductive coupling reactions of acetyl naphthalene derivatives, tosylhydrazide, with arylboronic acids. Tetrahedron 2017, 73, 785–793. [Google Scholar] [CrossRef]
- Liu, Y.; Liu, P.; Liu, Y.; Wei, Y. Pd(0)-catalyzed tandem one-pot reaction of biphenyl ketones/aldehydes to the corresponding di-substituted aryl olefins. Chin. J. Chem. 2017, 35, 1141–1148. [Google Scholar] [CrossRef]
- López-Pérez, A.; Adrio, J.; Carretero, J.C. Palladium-catalyzed cross-coupling reaction of secondary benzylic bromides with Grignard reagents. Org. Lett. 2009, 11, 5514–5517. [Google Scholar] [CrossRef] [PubMed]
- Zhang, Y.; Feng, M.T.; Lu, J.M. N-Heterocyclic carbine-palladium (ii)-1-methylimidazole complex catalyzed Suzuki-Miyaura coupling of benzylic chlorides with arylboronic acids or potassium phenyltrifluoroborate in neat water. Org. Biomol. Chem. 2013, 11, 2266–2272. [Google Scholar] [CrossRef] [PubMed]
- Anselmi, S.E.; Abarbri, M.; Duchêne, A.; Langle-Lamande, S.; Thibonnet, J. Efficient synthesis of substituted styrenes and biaryls (or heteroaryls) with regioselective reactions of ortho-, meta-, and para-bromobenzyl bromide. Synthesis 2012, 44, 2023–2040. [Google Scholar] [CrossRef]
Sample Availability: Samples of the compounds are not available from the authors. |
© 2017 by the authors. Licensee MDPI, Basel, Switzerland. This article is an open access article distributed under the terms and conditions of the Creative Commons Attribution (CC BY) license (http://creativecommons.org/licenses/by/4.0/).







