New Cassane Diterpenoids from Caesalpinia sappan and their Antiplasmodial Activity
Abstract
:1. Introduction
2. Results and Discussion
2.1. Purification of Compounds 1–2
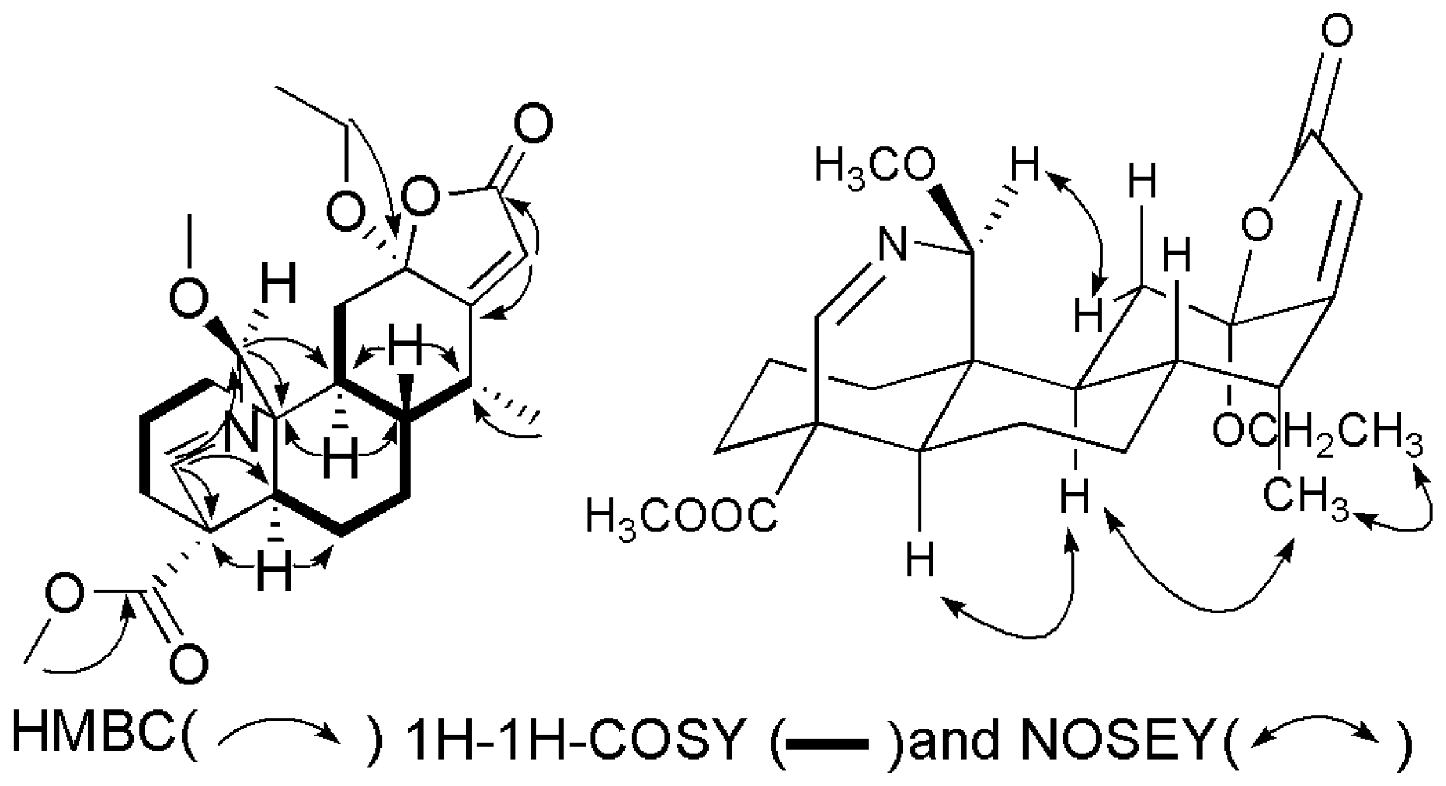
2.2. Structure Elucidation of Compounds 1–2
2.3. In Vitro Antiplasmodial and Larvicidal Activities of Compounds 1–2
3. Materials and Methods
3.1. General Experimental Procedures
3.2. Plant Material
3.3. Isolation and Purification of Compounds 1–2
3.4. Characterization of Compounds 1–2
3.5. Antiplasmodial Assays of Compounds 1–2
4. Conclusions
Acknowledgments
Author Contributions
Conflicts of Interest
References
- Consolacion, Y.; Ragasa, J.G.H.; John, A.R. New Furanoid Diterpenes from Caesalpinia pulcherrima. J. Nat. Prod. 2002, 65, 1107–1110. [Google Scholar]
- Ma, G.X.; Yuan, J.Q.; Wu, H.F.; Cao, L.; Zhang, X.P.; Xu, L.J.; Wei, H.; Wu, L.Z.; Zheng, Q.X.; Li, L.Y.; et al. Caesalpins A–H, Bioactive Cassane-Type Diterpenes from the Seeds of Caesalpinia minax. J. Nat. Prod. 2013, 76, 1025–1031. [Google Scholar] [CrossRef] [PubMed]
- Ma, G.X.; Wu, H.F.; Chen, D.L.; Zhu, N.L.; Zhu, Y.D.; Li, P.F.; Sun, Z.H.; Yang, J.S.; Xu, X.D. Antimalarial and Antiproliferative Cassane Diterpenes of Caesalpinia sappan. J. Nat. Prod. 2015, 78, 2364–2371. [Google Scholar] [CrossRef] [PubMed]
- Yodsaoue, O.; Cheenpracha, S.; Karalai, C.; Ponglimanont, C.; Chantrapromma, S.; Fun, H.K.; Kanjana, O.A. Phanginin A–K, diterpenoids from seeds of Caesalpinia sappan Linn. Phytochemistry 2008, 69, 1242–1249. [Google Scholar] [CrossRef] [PubMed]
- Pudhom, K.; Sommit, D.; Suwankitti, N.; Petsom, A. Cassane Furano-diterpenoids from the Seed Kernels of Caesalpinia bonduc from Thailand. J. Nat. Prod. 2007, 70, 1542–1544. [Google Scholar] [CrossRef] [PubMed]
- Dickson, R.A.; Houghton, P.J.; Hylands, P.J. Antibacterial and antioxidant cassanediterpenoids from Caesalpinia benthamiana. Phytochemistry 2007, 68, 1436–1441. [Google Scholar] [CrossRef] [PubMed]
- Cheenpracha, S.; Karalai, C.; Ponglimanont, C.; Chantrapromma, K.; Laphookhieo, S. Cassane-type diterpenes from the seeds of Caesalpinia crista. Helv. Chim. Acta 2006, 89, 1062–1066. [Google Scholar] [CrossRef]
- Xu, X.D.; Yang, J.Q.; Zhou, X.Y.; Li, W.P.; Zhu, N.L.; Wu, H.F.; Li, P.F.; Sun, Z.H.; Yang, J.S.; Ma, G.X. Cassane diterpenes with oxygen bridge from the seeds of Caesalpinia sappan. Fitoterapia 2016, 112, 205–210. [Google Scholar] [CrossRef] [PubMed]
- Wang, W.X.; Xiong, J.; Tang, Y.; Zhu, J.J.; Li, M.; Zhao, Y.; Yang, G.X.; Xia, G.; Hu, J.F. Rearranged abietane diterpenoids from the roots of Clerodendrum trichotomum and their cytotoxicities against human tumor cells. Phytochemistry 2013, 89, 89–95. [Google Scholar] [CrossRef] [PubMed]
- Rayanil, K.; Limpanawisut, S.; Tuntiwachwuttikul, P. Entpimarane and enttrachylobane diterpenoids from Mitrephora alba and their cytotoxicity against three human cancer cell lines. Phytochemistry 2013, 89, 125–130. [Google Scholar] [CrossRef] [PubMed]
- Nguyen, H.X.; Nguyen, N.T.; Dang, P.H.; Ho, P.T.; Nguyen, M.T.T.; Can, M.V.; Dibwe, D.F.; Ueda, J.Y.; Awale, S. Cassane ditrpenes from the seed kernels of Caesalpinia sappan. Phytochemistry 2016, 122, 286–293. [Google Scholar] [CrossRef] [PubMed]
- Zhang, J.Y.; Abdel-Mageed, W.M.; Liu, M.M. Caesanines A-D, New Cassane Diterpenes with Unprecedented N Bridge from Caesalpinia sappan. Org. Lett. 2013, 15, 4726–4729. [Google Scholar] [CrossRef] [PubMed]
- Desjardins, R.E.; Canfield, C.J.; Haynes, J.D.; Chulay, J.D. Quantitative assessment of antimalarial activity in vitro by a semiautomated microdilution technique. Antimicrob. Agents Chemother. 1979, 16, 710–718. [Google Scholar] [CrossRef] [PubMed]
- Trager, W.; Jensen, J.B. Human Malaria in Continuous Culture. Science 1976, 193, 673–675. [Google Scholar] [CrossRef] [PubMed]
- Vennerstrom, J.L.; Arbe-Barnes, S.; Brun, R.; Charman, S.A.; Chiu, F.C.K.; Chollet, J.; Dong, Y.; Dorn, A.; Hunziker, D.; Matile, H.; et al. Identification of an antimalarial synthetic trioxolane drug development candidate. Nature 2004, 430, 900–904. [Google Scholar] [CrossRef] [PubMed]
- Kovendan, K.; Murugan, K.; Panneerselvam, C.; Aarthi, N.; Mahesh, P.K.; Subramaniam, J.; Amerasan, D.; Kalimuthu, K.; Vincent, S. Antimalarial activity of Carica papaya (Family: Caricaceae) leaf extract against Plasmodium falciparum. Asian Pac. J. Trop. Dis. 2012, 2, S306–S311. [Google Scholar] [CrossRef]
- Abbott, W.S. A method of computing the effectiveness of insecticides. J. Econ. Entomol. 1925, 265–267. [Google Scholar] [CrossRef]
- Finney, D.J. Probit Analysis; Cambridge University: London, UK, 1971; pp. 68–78. [Google Scholar]
Sample Availability: Samples of the compounds 1–2 are available from the authors. |


| No. | 1 | 2 | Caesalsappanin H | ||
|---|---|---|---|---|---|
| δC, Type | δH (J in Hz) | δC, Type | δH (J in Hz) | δC, Type | |
| 1 | 30.2 CH2 | 1.69–1.72 (m) | 37.7 CH2 | 1.28–1.30 (m) | 37.8 CH2 |
| 2.17–2.21 (m) | 2.07–2.09 (m) | ||||
| 2 | 19.3 CH2 | 1.38–1.41 (m) | 20.6 CH2 | 1.58–1.60 (m) | 20.6 CH2 |
| 2.59–2.63 (m) | 2.23–2.25 (m) | ||||
| 3 | 33.1 CH2 | 1.28–1.32 (m) | 28.5 CH2 | 1.82–1.83 (m) | 28.6 CH2 |
| 1.89–1.93 (m) | 2.25–2.30 (m) | ||||
| 4 | 44.1 C | 50.3 C | 50.4 C | ||
| 5 | 47.0 CH | 1.73 (m) | 47.2 CH | 1.68–1.71 (m) | 47.2 CH |
| 6 | 25.6 CH2 | 1.18–1.20 (m) | 24.2 CH2 | 1.19–1.21 (m) | 24.2 CH2 |
| 1.39–1.42 (m) | 2.00–2.02 (m) | ||||
| 7 | 29.1 CH2 | 1.69–1.72 (m) | 29.5 CH2 | 1.25–1.28(m) | 29.5 CH2 |
| 2.19–2.23 (m) | 1.60–1.62 (m) | ||||
| 8 | 43.4 CH | 1.49 (m) | 41.5 CH | 2.19–2.21 (m) | 41.1 CH |
| 9 | 42.2 CH | 1.78 (m) | 41.3 CH | 1.51–1.53 (m) | 41.3 CH |
| 10 | 49.8 C | 38.6 C | 38.7 C | ||
| 11 | 37.2 CH2 | 1.68–1.70 (m) | 38.0 CH2 | 1.36–1.38 (m) | 38.1 CH2 |
| 2.75 (dd, 12.0,2.4) | 2.51–2.53 (m) | ||||
| 12 | 107.4 C | 105.5 C | 105.9 C | ||
| 13 | 171.0 C | 173.4 C | 173.7 C | ||
| 14 | 37.0 CH | 2.99 (qd, 7.2, 2.4) | 37.1 CH | 2.91 (qd, 7.2, 2.4) | 37.1 CH |
| 15 | 115.9 CH | 5.86 (s) | 113.5 CH | 5.69 (s) | 113.8 CH |
| 16 | 169.9 C | 170.7 C | 170.7 C | ||
| 17 | 12.2 CH3 | 1.14 (d, 7.2) | 12.0 CH3 | 1.13 (d, 7.2) | 12.1 CH3 |
| 18 | 175.3 C | 175.6 C | 175.5 C | ||
| 19 | 162.6 CH | 7.53, s | 90.1 CH | 5.60 (s) | 90.1 CH |
| 20 | 91.2 CH | 5.07 (d, 2.4) | 104.2 CH | 4.49 (s) | 105.4 CH |
| 59.3, CH2 | 3.30 (m) | ||||
| 3.58 (m) | |||||
| OCH2CH3-12 | 15.0, CH3 | 1.21 (t, 7.2) | |||
| OCH3-18 | 52.2 | 3.74 (s) | 52.0 | 3.71 (s) | 51.7 |
| OCH3-20 | 57.1 | 3.72 (s) | 55.7 | ||
| OCH2CH2CH2CH3-20 | 67.8 | 3.22 (ddd, 9.6, 6.0, 3.0) 3.80 (ddd, 9.6, 6.0, 3.0) | |||
| OCH2CH2CH2CH3-20 | 31.9 | 1.32 (m) | |||
| 1.47 (m) | |||||
| OCH2CH2CH2CH3-20 | 20.0 | 1.28 (m) | |||
| 1.43 (m) | |||||
| OCH2CH2CH2CH3-20 | 13.7 | 1.87 (t, 7.2) | |||
| Compounds | IC50 (μM) a | LC50 (μM) b |
|---|---|---|
| 1 | 3.60 ± 1.2 | 60.2 ± 2.3 |
| 2 | 25.1 ± 1.3 | 262.0 ± 8.7 |
| Chloroquine c | 0.19 ± 0.05 | 38.6 ± 2.1 |
© 2017 by the authors. Licensee MDPI, Basel, Switzerland. This article is an open access article distributed under the terms and conditions of the Creative Commons Attribution (CC BY) license (http://creativecommons.org/licenses/by/4.0/).
Share and Cite
Zhu, N.-L.; Sun, Z.-H.; Hu, M.-G.; Wu, T.-Y.; Yuan, J.-Q.; Wu, H.-F.; Tian, Y.; Li, P.-F.; Yang, J.-S.; Ma, G.-X.; et al. New Cassane Diterpenoids from Caesalpinia sappan and their Antiplasmodial Activity. Molecules 2017, 22, 1751. https://doi.org/10.3390/molecules22101751
Zhu N-L, Sun Z-H, Hu M-G, Wu T-Y, Yuan J-Q, Wu H-F, Tian Y, Li P-F, Yang J-S, Ma G-X, et al. New Cassane Diterpenoids from Caesalpinia sappan and their Antiplasmodial Activity. Molecules. 2017; 22(10):1751. https://doi.org/10.3390/molecules22101751
Chicago/Turabian StyleZhu, Nai-Liang, Zhong-Hao Sun, Mei-Geng Hu, Tong-Yu Wu, Jing-Quan Yuan, Hai-Feng Wu, Yu Tian, Peng-Fei Li, Jun-Shan Yang, Guo-Xu Ma, and et al. 2017. "New Cassane Diterpenoids from Caesalpinia sappan and their Antiplasmodial Activity" Molecules 22, no. 10: 1751. https://doi.org/10.3390/molecules22101751
APA StyleZhu, N.-L., Sun, Z.-H., Hu, M.-G., Wu, T.-Y., Yuan, J.-Q., Wu, H.-F., Tian, Y., Li, P.-F., Yang, J.-S., Ma, G.-X., & Xu, X.-D. (2017). New Cassane Diterpenoids from Caesalpinia sappan and their Antiplasmodial Activity. Molecules, 22(10), 1751. https://doi.org/10.3390/molecules22101751

