Abstract
The CuI- or Ag2CO3-catalyzed [3+2] cycloaddition of propargyl-substituted dihydroisoindolin-1-one (3) with arylnitrile oxides 1a–d (Ar = Ph, p-MeC6H4, p-MeOC6H4, p-ClC6H4) produces in good yields novel 3,5-disubstituted isoxazoles 4 of the ethyl-2-benzyl-3-oxo-1-((3-arylisoxazol-5yl)methyl)-2,3-dihydro-1H-isoindole-1-carboxylate type. With aryl azides 2a–d (Ar = Ph, p-MeC6H4, p-OMeC6H4, p-ClC6H4), a series of 1,4-disubstituted 1,2,3-triazoles 6 (ethyl-2-benzyl-3-oxo-1-((1-aryl-1H-1,2,3-triazol-4-yl)methyl)-2,3-dihydro-1H-isoindole-1-carboxylates) was obtained. The reactions proceed in a regioselective manner affording exclusively racemic adducts 4 and 6. Compared to the uncatalyzed cycloaddition, the yields are significantly improved in the presence of CuI as catalyst, without alteration of the selectivity. The regio- and stereochemistry of the cycloadducts has been corroborated by an X-ray diffraction study of 4a, and in the case of 6a by XH-correlation and HMBC spectra.
1. Introduction
One of the research activities of our laboratory in the domain of heterocyclic chemistry deals with the 1,3-dipolar cycloaddition of nitrile oxides and azides as dipoles across the double or triple bonds of dipolarophiles [1,2,3]. A very recent example is the 1,3-dipolar cycloaddition of aryl nitrile oxides to the allyl group of ethyl 1-allyl-2-benzyl-3-oxo-2,3-dihydro-1H-isoindole-1-carboxylate providing a series of isoxazolines [4]. This versatile strategy for the synthesis of heterocyclic compound is more and more used in materials chemistry, drug discovery, and chemical biology [5,6,7]. Since the pioneering work of Huisgen, the contributions of Sharpless to “click chemistry” have given an additional impetus for the advancement of cycloaddition reactions [5,6,7,8,9,10,11,12,13,14,15] which are nowadays a trusted tool in targeted synthesis, especially for those involving the construction of heterocyclic systems [6]. The aim of this present work focuses on the synthesis of N-heterocyclic compounds, namely the synthesis of substituted isoxazole and triazole derivatives, since an important number of compounds containing the isoxazole and the triazole scaffold are known to exhibit a variety of biological activities in the pharmaceutical [16] and medicinal areas [17]. Representative examples of synthetic drugs incorporating these motifs are Tazobactam I [18,19,20,21,22], Rufinamide II [23,24,25], phenylisoxazole derivatives III [26,27], and Bextra (Valdecoxib) IV [28,29,30].
On the other hand, the dihydroisoindolin-1-one ring system is present in numerous synthetic and natural compounds, which exhibit interesting biological properties. For example, 3-substituted dihydroisoindolin-1-ones such as Pazinaclone V [31] and Zoplicone VI [32,33,34] possess a pharmaceutical profile similar to that of the benzodiazepines [17] (sedatives, hypnotics) and have been commercialized as anxiolytics (Figure 1). Dihydroisoindolin-1-one derivatives have been extensively studied, but to the best of our knowledge there are no reports on dihydroisoindolin-1-ones incorporating an isoxazole or triazole moiety.
Figure 1.
Structures of isoxazoles, triazoles and 3-substituted dihydroisoindolin-1-ones exhibiting biological or pharmaceutical activities.
A classical route for the preparation of isoxazole or triazole is the reaction of alkynes with nitrile oxides and aryl azides, respectively [35,36,37]. In this context and in connection with our current research interest in the preparation of biologically relevant nitrogenated and oxygenated compounds by 1,3-dipolar cycloaddition on unsaturated systems with several 1,3-dipoles [38,39] we wish to describe in this paper an efficient synthesis of a series of novel 3,5-disubstituted isoxazoles and 1,4-disubstituted 1,2,3-triazoles by regioselective reaction of arylnitrile oxides 1a–d and azides 2a–d with the dihydroisoindolin-1-one-derived terminal alkyne 3. For comparison, we have performed these 1,3-dipolar cycloadditions under non-catalyzed thermal activation in toluene or alternatively in the presence of the simple and inexpensive catalysts CuI and Ag2CO3. As well established for many other click reactions [40] catalyzed by Cu(I) salts, we obtained the best results using CuI as catalyst.
2. Results and Discussion
As previously described by our group [41] the dipolarophile 3 was prepared through an efficient four-step procedure starting from commercially available homophthalic acid, affording the desired bicyclic acetylenic lactam 3 in high yield. We have then examined the 1,3-dipolar cycloaddition reactions of propargyl-substituted dihydroisoindolin-1-one 3 as dipolarophile across aryl nitrile oxides 1a–d (Ar: a: C6H5, b: p-MeC6H4, c: p-OMeC6H4, d: p-ClC6H4), generated in situ from aromatic oximes precursors [42] and azides [43] 2a–d (Ar: a: C6H5, b: p-MeC6H4, c: p-MeOC6H4, d: p-ClC6H4), under conventional conditions (without catalyst) according to Scheme 1.
Scheme 1.
[3+2] Cycloaddition of dihydroisoindolin-1-one 3 with arylnitrile oxides 1 and azides 2.
To find suitable reaction conditions, we conducted first the cycloaddition reaction in various solvents such as dichloromethane, acetonitrile, toluene and DMF both at room temperature and under reflux. Without catalyst, the targeted cycloadducts were only obtained in refluxing toluene, albeit in moderate amounts. The examination of the TLC of the reactions mixtures indicated the presence of only one product, which, after classical workup, was identified as cycloadducts 4 or 6 resulting from the thermal cycloaddition of the acetylene function and the 1,3-dipoles in accordance with the literature [44,45,46]. After optimization of the reactions conditions, we then performed all the cycloaddition reactions in presence of Ag2CO3 (10 mol %) using the same protocol given above.
Table 1 reveals that the silver-catalyzed reaction allowed us to obtain the corresponding isoxazoles 4a–d and triazoles 6a–d within a considerably shorter reaction time (24 h) in improved isolated yields (50%–73%) as colorless or yellowish solids. It is worth noting that, as far as we know, this is the first report on an efficient Ag2CO3-catalyzed 1,3-dipolar cycloaddition with a propargyl-substituted dihydroisoindolin-1-one as dipolarophile. The reaction times could be further shortened to only 6–8 h using 10 mol % of CuI as catalyst. Moreover, all [3+2] cycloadditions involving dipolarophile 3 and arylnitrile oxides 1a–d or azides 2a–d furnished the desired isoxazoles 4a–d or triazoles 6a–d (Ar: a: C6H5, b: p-MeC6H4, c: p-OMeC6H4, d: p-ClC6H4) in even superior yields (63%–89%) compared with the Ag2CO3-catalyzed syntheses.
Table 1.
Formation of isoxazoles 4a–d and triazoles 6a–d under conventional and catalytic conditions.
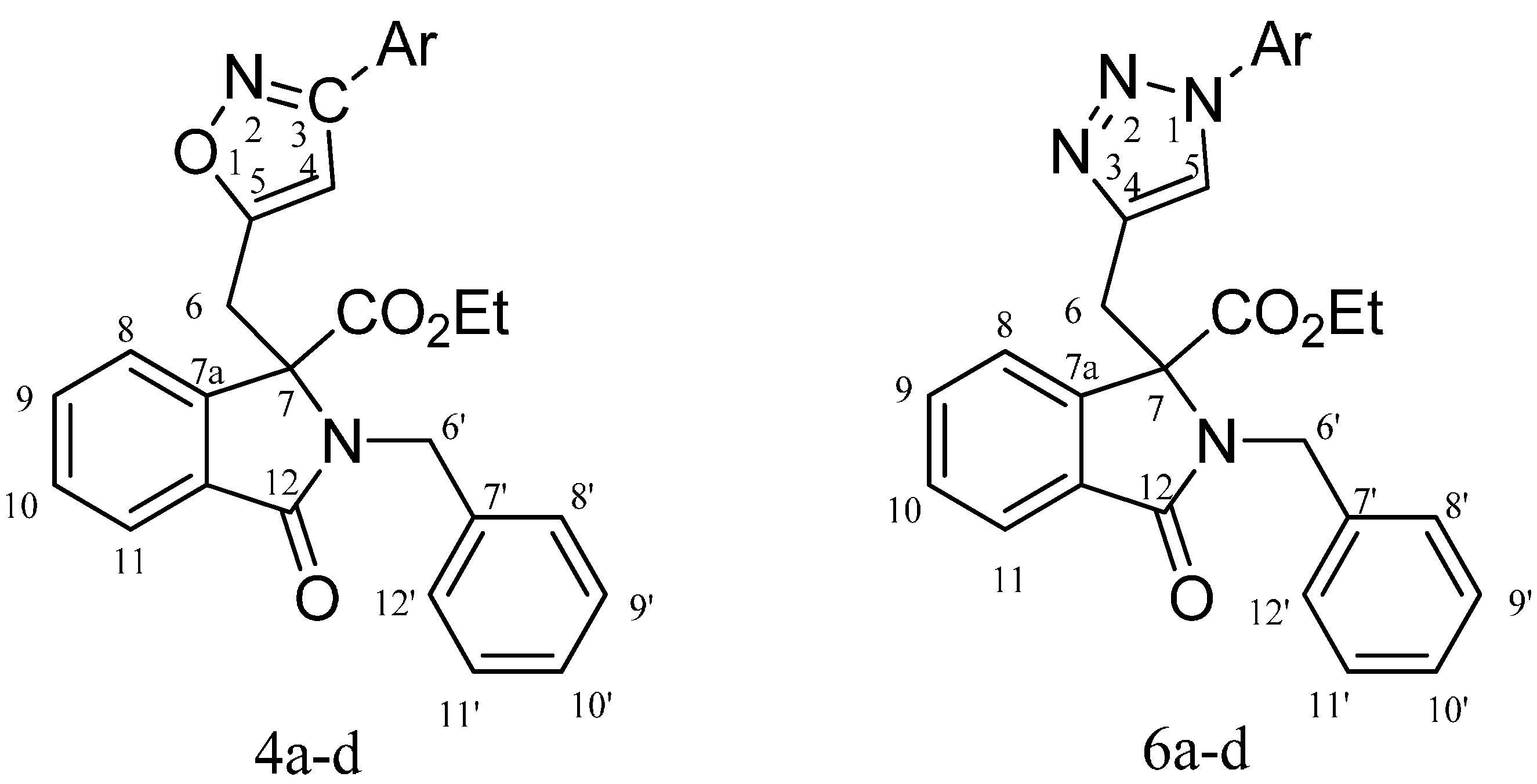
The structures of adduct 4a–d and 6a–d were confirmed through X-ray structure elucidation, or by XH correlation and HMBC spectra. It is noteworthy that, independently of the reaction temperature and catalyst ratio, TLC and NMR analysis indicated that the reaction seems to be highly regioselective. In all the cycloaddition tests, exclusively 3,5-disubstituted isoxazoles 4a–d and 1,4-disubstituted 1,2,3-triazoles 6a–d products were obtained (Figure 2).
Figure 2.
Numbering scheme of the isoxazole 4a–d and 1,4-disubstituted 1,2,3-triazoles 6a–d.
2.1. Spectroscopic and Crystallographic Characterization of Isoxazole 4a
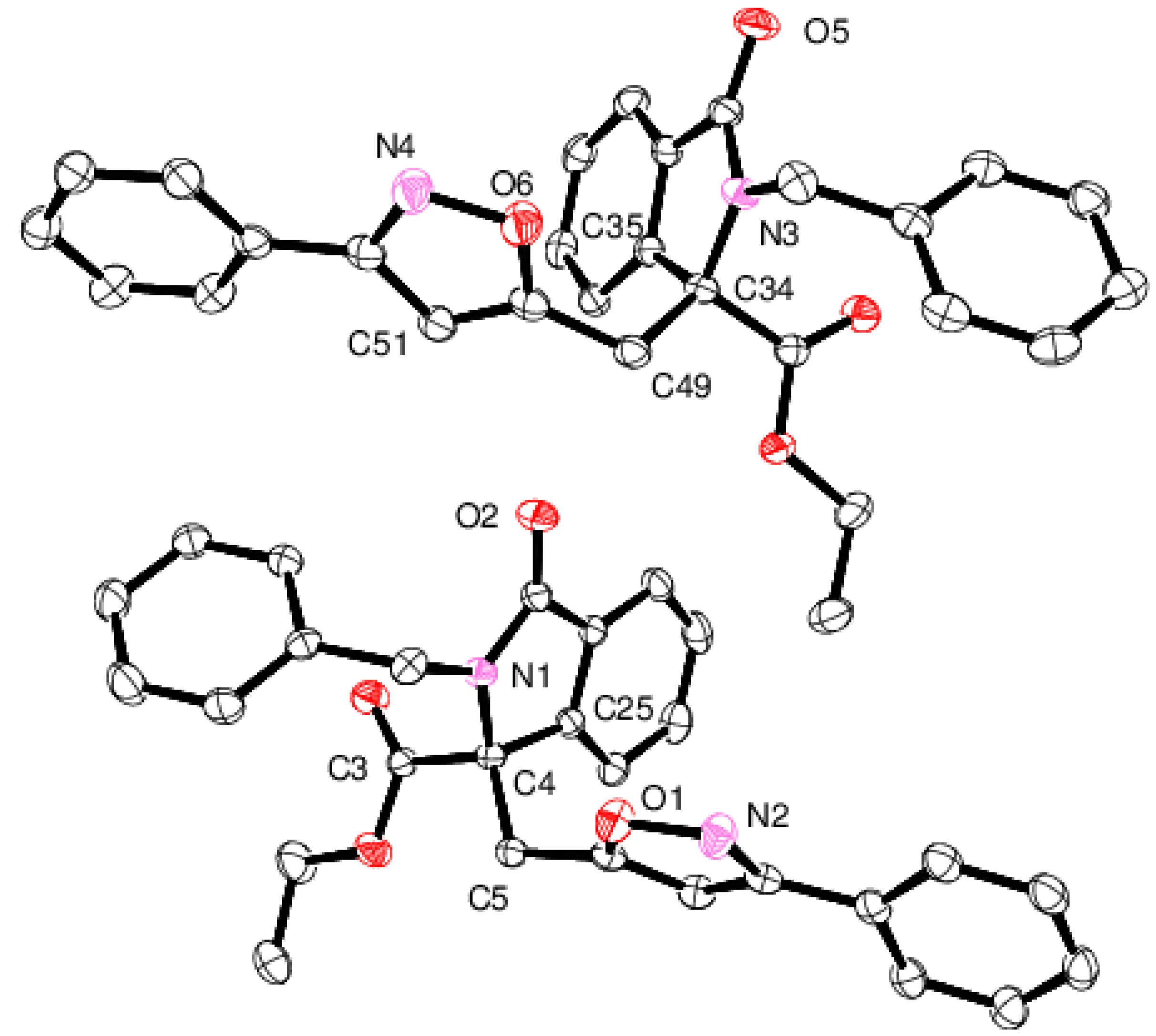
The analytical and spectroscopic data are in agreement with the proposed structures illustrated in Scheme 1. The IR spectrum of compound 4a (Ar = C6H5) contains an absorption band at νmax = 1607 cm−1 characteristic of the isoxazole C=N group. The other absorptions at νmax = 1744 and 1717 cm−1 are attributed to the ester C=O and lactam C=O stretching vibrations. The regiochemistry of this adduct was deduced from the 1H-NMR spectrum, which display the resonance of the isoxazole proton (4-H) as a singlet at δ = 5.18 ppm. This value of the chemical shift clearly confirms the regiochemistry of the cycloaddition and is in line with the values reported by Fokin, Sharpless [47,48,49] and our previous work; i.e., the oxygen atom is bonded to more substituted carbon of an unsymmetrical double or triple bond. In the case of the hypothetical reverse regioisomer 5a, one should expect a chemical shift value for the 5-H proton higher than 6 ppm due to the proximity of the isoxazolinic oxygen atom [50]. The two diastereotopic 6-H protons appear as two doublets at δ = 3.78 and 3.84 ppm with a 2J coupling constant of 15.3 Hz. No allylic coupling with 4-H was noticed. The second set of doublets at 4.74 (d, 1H, J = 15.2 Hz) and 4.85 ppm (d, 1H, J = 15.2 Hz) is attributed to the methylenic protons 6′-H, which are non-equivalent due to hindered rotation. Particularly characteristic are the 13C-NMR isoxazole ring resonances with three peaks at δ = 101.0, δ = 161.9 ppm and δ = 166.3 ppm for the isoxazole carbons 4-C, 5-C and 3-C. The carbon 7-C resonates at δ = 70.2 ppm and the two secondary carbons 6-C and 6′-C are observed at δ = 62.6 and 44.9 ppm, in accordance with the data reported by Fokin and Sharpless [47,48,49]. A further proof of our structural assignment stems from an X-ray structure determination [50] performed on 4a, confirming unambiguously the stereochemistry of the product. Two independent molecules are present in the asymmetric unit of the P21/c space group (Figure 3). The intrinsic racemic property of this space group (presence of improper symmetry operations: inversion and reflections) doesn’t need the presence of two independent molecules in the asymmetric unit for the overall racemic nature of the crystal. Such a presence of two chiral molecules in the asymmetric unit of the centrosymmetric space group is not a common feature of racemic crystals of chiral molecules. It is rather an indication of the low energy barrier upon S/R isomerization. Such a kind of isomerization in 4a may occur during the crystallization process, but it may be also expected that both the relative S and R chiralities centered on the C4 and C34 atoms in two independent molecules should be already present in their solution before crystallization. The metric parameters (bond lengths and angles) observed for both isomers are found in the expected ranges and do not need further comments (Figure 3).
Figure 3.
Content of the asymmetric unit in the racemic crystal of 4a (P21/c space group) showing the presence of both S (over C34 atom) and R (over C4 atom) enantiomers. Hydrogen atoms have been omitted for clarity. Thermal ellipsoids are plotted at 50% probability level. Selected bond lengths (Å) and angles (°): C4–C5 1.541(2), C4–N1 1.469(2), C4–C3 1.556(2), C4–C25 1.521(2), O1–N2 1.416(2), C34–C33 1.558(2), C34-N3 1.465(2), C34–C35 1.521(2), C34–C49 1.538(2), N4–O6 1.416(2); N1–C4–C25 101.4(1), N1–C4–C5 113.4(1), N1–C4–C3 109.1(1), C25–C4–C3 106.7(1), C25–C4–C5 113.7(1), C3–C4–C5 111.9(1), N3–C34–C35 101.5(1), N3–C34–C49 113.6(1), N3–C34–C33 108.9(1), C35–C34–C33 106.5(1), C35–C34–C49 113.9(1), C49-C34–C33 111.8(1).
There is a kind of intermolecular hydrogen bonds in the structure of 4a consisting of weak C-H···O interactions leading to the formation of 1D arrays running along the x direction in the xz plane of the crystal lattice. Four associated molecules are shown in Figure 4. The two central ones are present in the asymmetric unit and the two lateral ones stem from the neighboring asymmetric units. The intra asymmetric unit (central) O···H–C (O2···C45/C49) distances are 3.253 and 3.302 Å, respectively. The O···H–C (O5···C5/C26) contacts within the inter-asymmetric unit (external) fall in the similar range of 3.213 and 3.304 Å.
Figure 4.
1D Chain structure of 4a build through weak O···H–C hydrogen bonds.
2.2. Spectroscopic Characterization of Triazole 6a
The IR spectrum of 6a shows C=O absorptions bands at 1738 and 1701 cm−1 due to the ester and lactam carbonyls. The combination of 1H- and 13C-NMR spectroscopy allows one to deduce in an unambiguously manner the exclusive formation of triazolic regioisomers 6 as exemplified for 6a. The characteristic signal of triazole proton 5-H appears as a singlet at δ = 6.34 ppm. Moreover, the presence of the 2J coupling constant of 15.2 Hz between the two diastereotopic protons 6-H at δ = 3.66–3.76 and 3.85–3.96 ppm on the one hand and the non-equivalent methylene protons 6′-H at δ = 4.75 and 4.90 ppm on the other hand as observed in the case of the cycloaddition of propargyl-substituted dihydroisoindolin-1-one 3 with arylnitrile oxides 1a–d corroborating the structural assignment. An additional proof concerning the regiochemistry of the copper-catalyzed [3+2] cycloaddition reaction is provided by the 13C-NMR data. The chemicals shifts of the carbon atom 5-C at δ = 120.0 ppm and that of carbon 4-C at δ = 143.8 ppm are characteristic for 1,4-disubstituted-1H-1,2,3-triazoles [47,48,49,50,51]. The C atom 4-C of the hypothetical isomeric compound 7a should appear at around 133 ppm [51]. Formation of these regioisomeric 1,5-disubstituted-1H-1,2,3-triazoles has been reported to occur by Ru-catalyzed cycloaddition [52,53], but we are not aware of copper-catalyzed reactions leading to these isomers. The carbon 7-C resonates at δ = 71.5 ppm, and the secondary carbon 6′-Cat δ = 62.7 ppm is downfield-shifted due to of deshielding effect of the nitrogen atom. The XH correlation spectrum of 6a reveals a 1J correlation between the carbon 5-C and the 5-H proton, characteristic of a triazole cycle. The structural assignment of 6a was furthermore confirmed by the analysis of its HMBC spectrum, where a 2J correlation between the proton 5-H and its adjacent carbon 4-C has been established (Figure 5 and Figure 6). The similarity of the spectroscopic data of derivatives 6b, 6c and 6d with those of 6a allows to conclude that all compounds of series 6 are isostructural, regardless of the electron-withdrawing or electron-donating propensity of the substituent at the para-position of the aryl group of azides 2a–d.
Figure 5.
HMBC correlation spectrum of 6a.
Figure 6.
XH correlation spectrum of 6a.
3. Experimental Section
3.1. General Information
Reactions were carried out under an atmosphere of dry N2. Solvents were purified by standard methods and freshly distilled under nitrogen and dried before use, toluene was distilled under sodium. All melting points were measured on a Kofler bank. The IR infrared spectra were recorded spectra from KBr on a FT-IR Paragon 1000 IR spectrometer (Perkin-Elmer, Akron, Ohio, OH, USA) and only structurally significant bands are reported. Materials: solid thin-layer chromatography (TLC); TLC plates (silica gel 60 F254 0.2 mm 20 cm × 20 cm or with aluminum plates (0.20 mm) precoated with fluorescent silica gel, Merck); substances were detected using UV light at 254 nm. TLC was performed using EtOAc/cyclohexane as eluent. Reaction components were then visualized under UV light and dipped in iodine or a Dragendorff solution. All reactions were performed under an inert atmosphere. NMR spectra were recorded with a Bruker AC 300 spectrometer (Bruker Spectrospin, Rheinstetten, Germany) operating at 300 MHz for 1H and 75.5 MHz for 13C using TMS as the internal standard (0.00 ppm) in CDCl3 as solvent. Chemical shifts were reported in ppm downfield from TMS.
3.2. Typical Procedure of the Cycloaddition Reaction of Arylnitrile Oxides 1a–d and Ethyl-3-alkyldiynyl-phtalimidine-3-carboxylate (3)
To a mixture of dipolarophile 3 (0.9 mmol) and arylnitrile oxides precursors 1a–d (0.9 mmol) in 10 mL of degassed toluene was added triethylamine (0.9 mmol) and CuI or Ag2CO3 (10 mol %). The reaction mixture was refluxed for 6–8 h. After filtration of triethylamine hydrochloride, the filtrate was concentrated under reduced pressure. The corresponding cycloadducts was obtained by crystallization in a minimum of EtOH.
Ethyl 2-benzyl-3-oxo-1-((3-phenyl)isoxazol-5-yl)methyl)-2,3-dihydro-1H-isoindole-1-carboxylate (4a). Yield 85%; colorless solid; mp 147–149 °C; IR (ν, cm−1 KBr) 3031, 1744, 1717, 1607, 1236; 1H-NMR: δ 0.97 (t, 3H, J = 7.1 Hz), 3.68–3.75 (d, 1H, J = 15.3 Hz), 3.84 (q, 2H, J = 7.1 Hz), 3.87–3.97 (d, 1H, J = 15.3 Hz), 4.74 (d, 1H, J = 15.2 Hz), 4.85 (d, 1H, J = 15.2 Hz), 5.18 (s, 1H), 7.24–7.84 (m, aromatic H) ppm; 13C-NMR: δ 13.6 (CH3), 30.7 (CH2), 44.9 (CH2), 62.6 (CH2), 70.6 (Cq), 101.0 (CHisox), 121.7 (CH), 124.2 (CH), 126.6 (2CH), 127.8 (CH), 128.6 (CH), 128.7 (2CH), 129.1 (2CH), 129.7 (CH), 129.9 (CH), 131.4 (CH), 132.4 (CH), 136.9 (CH), 142.9 (CH), 161.9 (Cisox), 166.3 (Cisox), 169.2 (CO), 169.5 (CO). Anal. Calcd for C28H24N2O4 (452.17): C, 74.32; H, 5.35; N, 6.19. Found: C, 74.50; H, 5.20; N, 6.10.
Ethyl 2-Benzyl-3-oxo-1-((3-(4-methylphenyl)isoxazol-5-yl)methyl)-2,3-dihydro-1H-isoindole-1-carboxylate (4b). Yield 63%; colorless solid; mp 115–117 °C; IR (ν, cm−1 KBr) 3034, 1733, 1717, 1700, 1257; 1H-NMR: δ 0.99 (t, 3H, J = 7.2 Hz), 2.36 (s, 3H), 3.70–3.80 (d, 1H, J = 15.3 Hz), 3.86 (q, 2H, J = 7.2 Hz), 3.91–3.99 (d, 1H, J = 15.3 Hz), 4.76 (d, 1H, J = 15.2 Hz), 4.86 (d, 1H, J = 15.2 Hz), 5.28 (s, 1H), 7.17–7.86 (m, aromatic H) ppm; 13C-NMR: δ 13.9 (CH3), 21.7 (CH3), 31.1 (CH2), 45.2 (CH2), 62.9 (CH2), 70.6 (Cq), 101.2 (CHisox), 122.0 (CH), 124.5 (CH), 126.2 (CH), 126.8 (2CH), 128.1 (CH), 128.9 (2CH), 129.5 (2CH), 130.0 (CH), 131.8 (CH), 132.7 (CH), 137.2 (CH), 140.3 (CH), 143.3 (CH), 162.3 (Cisox), 166.5 (Cisox), 169.6 (CO), 169.8 (CO). Anal. Calcd for C29H26N2O4 (466.20): C, 74.66; H, 5.62; N, 6.00. Found: C, 74.82; H, 5.74; N, 5.94
Ethyl 2-Benzyl-3-oxo-1-((3-(4-methoxyphenyl)isoxazol-5-yl)methyl)-2,3-dihydro-1H-isoindole-1-carboxylate (4c). Yield 75%; yellow solid; mp 169–171 °C; IR (ν, cm−1 KBr) 3030,1734, 1692, 1611, 1250; 1H-NMR: δ 0.98 (t, 3H, J = 7.1 Hz), 3.64–3.75 (d, 1H, J = 15.3 Hz), 3.80 (s, 3H), 3.84 (q, 2H, J = 7.1 Hz), 3.85–3.90 (d, 1H, J = 15.3 Hz), 3.92–3.98 (d, 1H, J = 15.2 Hz), 4.71–4.87 (d, 1H, J = 15.2 Hz), 5.18 (s, 1H); 7.27–7.86 (m, aromatic H) ppm; 13C-NMR: δ 13.6 (CH3), 30.7 (CH2), 44.8 (CH2), 62.6 (CH2), 70.2 (Cq), 100.8 (CHisox), 121.6 (CH), 124.1 (CH), 127.1 (CH), 127.7 (CH), 127.8 (2CH), 128.5 (2CH), 128.9 (2CH), 129.1 (2CH), 129.7 (CH), 131.3 (CH), 132.4 (CH), 135.8 (CH), 136.8 (CH), 142.8 (CH), 160.9 (Cisox), 166.6 (Cisox), 169.2 (CO), 169.4 (CO). Anal. Calcd for C29H26N2O5 (482.18): C, 72.18; H, 5.43; N, 5.81. Found: C, 72.08; H, 5.35; N, 5.72.
Ethyl 2-Benzyl-3-oxo-1-((3-(4-chlorophenyl)isoxazol-5-yl)methyl)-2,3-dihydro-1H-isoindole-1-carboxylate (4d). Yield 67%; colorless solid; mp 134–136 °C; IR (ν, cm−1 KBr) 3066, 1734, 1695, 1610, 1263; 1H-NMR: δ 0.98 (t, 3H, J = 7.1Hz), 3.70–3.79 (d, 1H, J = 15.3 Hz), 3.84 (q, 2H, J = 7.1 Hz), 3.92–3.96 (d, 1H, J = 15.3 Hz), 4.71 (d, 1H, J = 15.1 Hz), 4.87 (d, 1H, J = 15.1 Hz), 5.18 (s, 1H), 7.27–7.86 (m, aromatic H) ppm; 13C-NMR: δ 13.6 (CH3), 30.7 (CH2), 44.8 (CH2), 62.6 (CH2), 70.2 (Cq), 100.8 (CHisox), 121.6 (CH), 124.1 (CH), 127.1 (CH), 127.7 (CH), 127.8 (2CH), 128.5 (2CH), 128.9 (2CH), 129.1 (2CH), 129.7 (CH), 131.3 (CH), 132.4 (CH), 135.8 (CH), 136.8 (CH), 142.8 (CH), 160.9 (Cisox), 166.6 (Cisox), 169.2 (CO), 169.4 (CO). Anal. Calcd for C28H23ClN2O4 (486.13): C, 69.06; H, 4.76; Cl, 7.28; N, 5.75. Found: C, 68.98; H, 4.94; Cl, 7.32; N, 5.57.
3.3. Typical Procedure of the Cycloaddition Reaction of Azides 2a–d and Ethyl 3-Alkyldiynylphtalimidine-3-carboxylate (3)
A mixture of dipolarophile 3 (0.9 mmol), azides 2a–d (0.9 mmol) and CuI or Ag2CO3 (10 mol %) in dry toluene (10 mL) was stirred under argon atmosphere at 110 °C. after the completion of the reaction indicated by TLC analysis, solvent was evaporated under reduced pressure and the crude mixture was purified by crystallization in a minimum of EtOH solution.
Ethyl 2-Benzyl-3-oxo-1-((1-phenyl-1H-1,2,3-triazol-4-yl)methyl)-2,3-dihydro-1H-isoindole-1-carboxylate (6a). Yield 89%; yellow solid; mp 145–147 °C; IR (ν, cm−1 KBr) 3036, 1738, 1701, 1242 ; 1H-NMR: δ 0.97 (t, 3H, J = 7.1 Hz), 3.66–3.76 (d, 1H, J = 15.2 Hz), 3.85–3.96 (d, 1H, J = 15.2 Hz), 3.91 (q, 2H, J = 7.1 Hz), 4.75 (d, 1H, J = 15.4 Hz), 4.90 (d, 1H, J = 15.4 Hz), 6.34 (s, 1Htriaz), 7.22–7.77 (m, aromatic H) ppm; 13C-NMR: δ 14.0 (CH3), 30.2 (CH2), 45.4 (CH2), 62.7 (CH2), 71.5 (Cq), 120.0 (CHtriaz), 120.5 (2CH), 122.4 (CH), 124.2 (CH), 128.0 (CH), 128.9 (CH), 129.7 (2CH), 129.8 (CH), 129.9(2CH), 131.9 (CH), 132.6 (CH), 137.0 (CH), 141.3 (CH), 143.8 (Ctriaz), 169.8 (CO), 170.2 (CO). Anal. Calcd for C27H24N4O3 (452.18): C, 71.67; H, 5.35; N, 12.38. Found: C, 71.80; H, 5.42; N, 12.42.
Ethyl 2-Benzyl-3-oxo-1-((1-(4-methylphenyl)-1H-1,2,3-triazol-4-yl)methyl)-2,3-dihydro-1H-isoindole-1-carboxylate (6b). Yield 75%; colorless solid; mp 146–148 °C; IR (ν, cm−1 KBr) 3035, 1735, 1701, 1246 ; 1H-NMR: δ 0.90 (t, 3H, J = 7.1 Hz), 2.29 (s, 3H), 3.61–3.64 (d, 1H, J = 15.2 Hz), 3.83 (q, 2H, J = 7.1 Hz), 3.80–3.82 (d, 1H, J = 15.2 Hz), 4.69 (d, 1H, J = 15.4 Hz), 4.82 (d, 1H, J = 15.4 Hz), 6.24 (s, 1H), 7.10–7.71 (m, aromatic H) ppm ; 13C-NMR: δ 12.5 (CH3), 20.0 (CH3), 28.8 (CH2), 44.0 (CH2), 61.3 (CH2), 70.0 (Cq), 118.6 (CHtriaz), 119.0 (2CH), 121.0 (CH), 122.8 (CH), 126.6 (CH), 127.5 (2CH), 128.2 (2CH), 128.3 (CH), 128.9 (2CH), 130.5 (CH), 131.2 (CH), 133.3 (CH), 136.3 (CH), 137.5 (CH), 139.7 (CH), 142.4 (Ctriaz), 168.3 (CO), 168.8 (CO). Anal. Calcd for C28H26N4O3 (466.20): C, 72.09; H, 5.62; N, 12.01. Found: C, 71.98; H, 5.80; N, 12.09.
Ethyl 2-Benzyl-3-oxo-1-((1-(4-methoxyphenyl)-1H-1,2,3-triazol-4-yl)methyl)-2,3-dihydro-1H-isoindole-1-carboxylate (6c). Yield 85%; pink solid; mp 165–167 °C; IR (ν, cm−1 KBr) 3033, 1735, 1690, 1254; 1H-NMR: δ 0.89 (t, 3H, J = 7.1Hz), 3.74 (s, 3H), 3.77–3.82 (d, 1H, J = 15.1 Hz), 3.83 (q, 2H, J = 7.1 Hz), 4.80 (d, 1H, J = 15.1 Hz), 4.85 (d, 1H , J = 15.4 Hz), 4.92 (d, 1H, J = 15.4 Hz), 6.20 (s, 1H), 6.80–7.71 (m, aromatic H) ppm; 13C-NMR: δ 12.5 (CH3), 28.8 (CH2), 44.0 (CH2), 54.5 (CH3), 61.3 (CH2), 70.0 (Cq), 113.4 (2CH), 118.7 (CHtriaz), 120.7 (2CH), 121.0 (CH), 122.8 (CH), 126.5 (CH), 127.5 (2CH), 128.2 (2CH), 128.3 (CH), 129.0 (CH), 130.5 (CH), 131.2 (CH), 136.3 (CH), 139.6 (CH), 142.4 (Ctriaz), 168.3 (CO), 168.8 (CO). Anal. Calcd for C28H26N4O4 (482.20): C, 69.70; H, 5.43; N, 11.61. Found: C, 69.85; H, 5.37; N, 11.57.
Ethyl 2-Benzyl-3-oxo-1-((1-(4-chlorophenyl)-1H-1,2,3-triazol-4-yl)methyl)-2,3-dihydro-1H-isoindole-1-carboxylate (6d). Yield 67%; colorless solid; mp 154–156 °C; IR (ν, cm−1 KBr) 3056, 1725, 1697, 1245; 1H-NMR: δ 0.93 (t, 3H, J = 7.1 Hz), 3.66–3.68 (d, 1H, J = 15.2 Hz), 3.83 (q, 2H, J = 7,1 Hz), 3.90 (d, 1H, J = 15.2 Hz), 4.63 (d, 1H, J = 15.2 Hz), 4.86 (d, 1H, J = 15.2 Hz), 6.18 (s, 1H), 7.19–7.70 (m, aromatic H) ppm; 13C-NMR: δ 12.6 (CH3), 28.7 (CH2), 44.1 (CH2), 61.4 (CH2), 70.1 (Cq), 118.6 (CHtriaz), 120.2 (2CH), 121.0 (CH), 122.8 (CH), 126.6 (CH),127.5 (2CH), 128.3 (2CH), 128.4 (CH), 128.6 (2CH), 130.4 (Cq), 131.3 (C H), 133.1 (CH), 134.0 (CH), 136.4 (CH), 140.1 (CH), 142.3 (Ctriaz), 168.4 (CO), 168.8 (CO). Anal. Calcd for C27H23ClN4O3 (486.15): C, 66.60; H, 4.76; Cl, 7.28; N, 11.51. Found: C, 66.83; H, 4.68; Cl, 7.20; N, 11.70.
3.4. X-ray Diffraction Structure Analysis of 4a
A colorless crystal of 4a has been mounted on a Apex II diffractometer (Bruker Nonius Kappa, Karlsruhe, Germany) and the intensity data have been collected at 115 K with Mo Kα radiation of λ = 0.71073 Å. These data were further treated with Denzo and Scalpack programs [54]. The model of the structure has been solved by direct methods with SIR92 [55] and refined with SHELXL-97 [56]. All non-hydrogen atoms were refined with anisotropic temperature factors. All H atoms were placed in calculated positions and refined as riding on the heavy atoms bearing them. The resolution of the structure revealed the presence of two enantiomer molecules in the asymmetric unit of P21/c space group.
Crystallographic data have been deposited with the Cambridge Crystallographic Data Center: deposition number CCDC 1405500 contains detailed crystallographic data for this publication. These data may be obtained free of charge from the Cambridge Crystallographic Data Center through www.ccdc.cam.ac.uk/data_request/cif.
4. Conclusions
We have developed a new and efficient method for the synthesis of novel isoxazole and 1,2,3-triazole-substituted dihydroisoindolin-1-ones. The process involves regiospecific [3+2] cycloaddition between a propargylic alkyne and arylnitrile oxides or azides using Ag2CO3 or CuI as simple commercially available catalysts in toluene at 110 °C. The electron-withdrawing or electron-donating propensity of the substituent at the para-position of the aryl group of arylnitrile oxides 1 or azides 2 have no impact on the outcome of the reaction; future studies will show whether a substitution at the ortho-position may influence the stereochemistry of these cycloaddition across the acetylenic dipolarophile 3. The biological activity and inhibitory effect of such analogues is under examination, as well as applications in analogous natural product syntheses.
Acknowledgments
M.K., K.C. and M.M.K. thank the CNRS for financial support.
Author Contributions
M.M.R., W.G. and H.M. conceived and performed the experiments; M.E.B.R., K.C. and M.K. wrote the paper. Y.R. and M.M.K. performed the crystallographic work. All authors read and approved the final manuscript.
Conflicts of Interest
The authors declare no conflict of interest.
References and Notes
- Wannassi, N.; Rammah, M.M.; Boudriga, S.; Rammah, M.B.; Monnier-Jobé, K.; Ciamala, K.; Knorr, M.; Enescu, M.; Rousselin, Y.; Kubicki, M.M. Regio- and Stereoselective 1,3-Dipolar Cycloaddition of C-Aryl-N-phenylnitrones over (E)-Arylidene-(2H)-indan-1-ones: Synthesis of Highly Substituted Novel Spiro-isoxazolidines. Heterocycles 2010, 81, 2749–2762. [Google Scholar]
- Boudriga, S.; Wannassi, N.; Askri, M.; Rammah, M.E.B.; Strohmann, C. Diastereoselective synthesis and structure of spiroisoxaziline derivatives. J. Soc. Chim. Tunise 2009, 11, 29–36. [Google Scholar]
- Askri, M.; Rammah, M.; Monnier-Jobé, K.; Ciamala, K.; Knorr, M.; Strohmann, C. Synthesis of Some Spirochroman-4-Ones by Regioselective [4+2] Cycloaddition Reactions. Lett. Org. Chem. 2007, 4, 221–227. [Google Scholar] [CrossRef]
- Laouiti, A.; Rammah, M.; Askri, M.; Rammah, M.E.B. 1,3-dipolar cycloaddition of arylnitrile oxides with ethyl 1-allyl-2-benzyl-3-oxo-2,3-dihydro-1H-isoindole-1-carboxylates. J. Soc. Chim. Tunis. 2014, 16, 83–88. [Google Scholar]
- Padwa, A.; Pearson, W.H. Synthetic Applications of 1,3-Dipolar Cycloaddition Chemistry Toward Heterocycles and Natural Products; John Wiley and Sons: New York, NY, USA, 2003; Volume 59, pp. 1–940. [Google Scholar]
- Kolb, H.C.; Finn, M.G.; Sharpless, K.B. Click Chemistry: Diverse Chemical Function from a Few Good Reactions. Angew. Chem. Int. Ed. 2001, 40, 2004–2021. [Google Scholar] [CrossRef]
- Padwa, A.; Huisgen, R. 1,3-Dipolar Cycloaddition Chemistry; John Wiley & Sons: New York, NY, USA, 1984; Volume 1. [Google Scholar]
- Huisgen, R.; Seidel, M.; Wallbilich, G.; Knupfer, H. Diphenylnitrilimine and its 1,3-dipolar additions to alkenes and alkynes. Tetrahedron Lett. 1962, 17, 3–29. [Google Scholar] [CrossRef]
- Huisgen, R. 1,3-Dipolar Cycloadditions. Past and Future. Angew. Chem. Int. Ed. Engl. 1963, 2, 565–598. [Google Scholar] [CrossRef]
- Huisgen, R. Neues über 1,3-Cycloadditionen. Helv. Chim. Acta 1967, 50, 2421–2439. [Google Scholar] [CrossRef]
- Huisgen, R.; Knupfer, H.; Sustmann, R.; Wallbilich, G. 1.3-Dipolare Cycloadditionen. Zur Anlagerung des Diphenylnitrilimins an nichtkonjugierte Alkene und Alkine; Sterischer Ablauf, Orientierung un Substituenteneinfluß. Chem. Ber. 1967, 100, 1580–1592. [Google Scholar] [CrossRef]
- Huisgen, R.; Knupfer, H.; Sustmann, R.; Wallbilich, G.; Clovis, J.S.; Eckel, A. 1,3-Dipolare Cycloadditionen. Diphenylnitrilimin und arylkonjugierte Alkene. Chem. Ber. 1967, 100, 1593–1601. [Google Scholar]
- Padwa, A. Comprehensive Organic Synthesis; Trost, B.M., Fleming, I., Eds.; Pergamon: Oxford, UK, 1991; Volume 4, p. 1069. [Google Scholar]
- Gothelf, K.V.; Jørgensen, K.A. Asymmetric 1,3-Dipolar Cycloaddition Reactions. Chem. Rev. 1998, 98, 863–909. [Google Scholar] [CrossRef] [PubMed]
- Padwa, A.; Weingarten, M.D. Cascade Processes of Metallo Carbenoids. Chem. Rev. 1996, 96, 223–270. [Google Scholar] [CrossRef] [PubMed]
- Hauck, S.I.; Cederberg, C.; Doucette, A.; Grosser, L.; Hales, N.J.; Poon, G.; Gravestock, M.B. New carbon-linked azole oxazolidinones with improved potency and pharmacokinetics. Bioorg. Med. Chem. Lett. 2007, 17, 337–340. [Google Scholar] [CrossRef] [PubMed]
- Malawska, B. New anticonvulsant agents. Curr. Top. Med. Chem. 2005, 5, 69–85. [Google Scholar] [CrossRef] [PubMed]
- Holla, B.S.; Mahalinga, M.; Karthikeyen, M.S.; Poojary, B.; Akberali, P.M.; Kumari, N.S. Synthesis, characterization and antimicrobial activity of some substituted 1,2,3-triazoles. Eur. J. Med. Chem. 2005, 40, 1173–1178. [Google Scholar] [CrossRef] [PubMed]
- Upadhayaya, R.S.; Kulkarni, G.M.; Vasireddy, N.R.; Dixit, S.S.; Sharma, V.; Chattopadhyaya, J. Design, synthesis and biological evaluation of novel triazole, urea and thiourea derivatives of quinoline against Mycobacterium tuberculosis. Bioorg. Med. Chem. 2009, 17, 4681–4692. [Google Scholar] [CrossRef] [PubMed]
- Gill, C.; Gadhav, G.; Shaikh, M.; Kale, R. Clubbed [1,2,3] triazoles by fluorine benzimidazole: A novel approach to H37Rv inhibitors as a potential treatment for tuberculosis. Bioorg. Med. Chem. Lett. 2008, 18, 6244–6247. [Google Scholar] [CrossRef] [PubMed]
- Banday, A.H.; Shameem, S.A.; Ganai, B.A. Antimicrobial studies of unsymmetrical bis-1,2,3-triazoles. Org. Med. Chem. Lett. 2012, 2, 13–19. [Google Scholar] [CrossRef] [PubMed]
- Jordao, A.K.; Afonso, P.P.; Ferreira, V.F.; de Souza, M.C.; Almeida, C.O.; Beltrame, C.O.; Paiva, D.P.; Wardell, S.M.; Wardell, J.L.; Tiekink, E.R.; et al. Antiviral evaluation of N-amino-1,2,3-triazoles against Cantagalo virus replication in cell culture. Eur. J. Med. Chem. 2009, 44, 3777–3783. [Google Scholar] [CrossRef] [PubMed]
- Attolino, E.; Colombo, L.; Mormino, I.; Allegrini, P. Method for the Preparation of Rufinamide Using 1,3-Dipolar Cycloaddition as the Key Step. EP Patent 230.234 A1, 22 September 2010. [Google Scholar]
- Bonacorso, H.G.; Maraes, M.C.; Luz, F.M.; Quintana, P.S.; Zarrata, N.; Martins, M.A.P. New solventless and metal-free synthesis of the antiepileptic drug 1-(2,6-difluorobenzyl)-1H-1,2,3-triazole-4-carboxamide (Rufinamide) and analogues. Tetrahedron Lett. 2015, 56, 441–444. [Google Scholar] [CrossRef]
- Perisic-Janjic, N.; Kaliszan, R. Reversed-Phase TLC and HPLC Retention Data in Correlation Studies with in Silico Molecular Descriptors and Druglikeness Properties of Newly Synthesized Anticonvulsant Succinimide Derivatives. J. Am. Chem. Soc. 2011, 8, 555–563. [Google Scholar] [CrossRef] [PubMed]
- Gupta, G.; Jain, R.K.; Maikhuri, J.P.; Shukla, P.K.; Kumar, M.; Roy, A.K.; Patra, A.; Singh, V.; Batra, S. Discovery of substituted isoxazolecarbaldehydes as potent spermicides, acrosin inhibitors and mild anti-fungal agents. Hum. Reprod. 2005, 20, 2301–2308. [Google Scholar] [CrossRef] [PubMed][Green Version]
- Juntao, Z.; Wei, T.; Jingjing, Q.; Diya, L.; Yang, L.; Yan, J.; Guoqiang, D.; Qianqian, C.; Youjun, Z.; Ju, Z.; et al. Design and synthesis of phenylisoxazole derivatives as novel human acrosin inhibitors. Bioorg. Med. Chem. Lett. 2014, 24, 2802–2806. [Google Scholar]
- Talley, J.J.; Bertenshaw, S.R.; Brown, D.L.; Carter, J.S.; Graneto, M.J.; Kellog, M.S.; Koboldt, C.M.; Yuan, J.; Zhang, Y.Y.; Seibert, K. N-[[(5-Methyl-3-phenylisoxazol-4-yl)-phenyl]sulfonyl]propanamide, Sodium Salt, Parecoxib Sodium: A Potent and Selective Inhibitor of COX-2 for Parenteral Administration. J. Med. Chem. 2000, 43, 1661–1663. [Google Scholar] [CrossRef] [PubMed]
- Toyokuni, T.; Dileep, J.S.; Walsh, J.C.; Shapiro, A.; Talley, J.J.; Phelps, M.E.; Herschman, H.R.; Barrio, J.R.; Satyamurthy, N. Synthesis of 4-(5-[18F]fluoromethyl-3-phenylisoxazol-4-yl)benzenesulfonamide, a new [18F]fluorinated analogue of valdecoxib, as a potential radiotracer for imaging cyclooxygenase-2 with positron emission tomography. Bioorg. Med. Chem. Lett. 2005, 15, 4699–4702. [Google Scholar] [CrossRef] [PubMed]
- Penning, T.D.; Talley, J.J.; Berterishaw, S.R.; Carter, J.S.; Collins, P.W.; Docter, S.; Graneto, M.J.; Lee, L.F.; Malecha, J.W.; Miyashiro, J.M.; et al. Synthesis and Biological Evaluation of the 1,5-Diarylpyrazole Class of Cyclooxygenase-2 Inhibitors: Identification of 4-[5-(4-Methylphenyl)-3- (trifluoromethyl)-1H-pyrazol-1-yl]benzenesulfonamide (SC-58635, Celecoxib). J. Med. Chem. 1997, 40, 1347–1365. [Google Scholar] [CrossRef] [PubMed]
- Takahashi, I.; Kawakami, T.; Hirano, E.; Yokota, H.; Kitajima, H. Novel Phthalimidine Synthesis. Mannich Condensation of o-Phthalaldehyde with Primary Amines using 1,2,3–1H-Benzotriazole and 2-Mercaptoethanol as Dual Synthetic Auxiliaries. Synlett 1996, 1996, 353–355. [Google Scholar] [CrossRef]
- Anzini, M.; Capelli, A.; Vomero, S.; Giorgi, G.; Langer, T.; Bruni, G.; Romero, M.R.; Basile, A.S. Molecular Basis of Peripheral vs Central Benzodiazepine Receptor Selectivity in a New Class of Peripheral Benzodiazepine Receptor Ligands Related to Alpidem. J. Med. Chem. 1996, 39, 4275–4284. [Google Scholar] [CrossRef] [PubMed]
- Gotor, V.; Limeres, F.; Garcia, R.; Bayod, M.; Brieva, R. Enzymatic resolution of (±)-6-(5-chloropyridin-2-yl)-6-vinyloxy-carbonyloxy-6,7-dihydro[5H]pyrrolo[3,4-b]pyrazin-5-one. Synthesis of (+)-zopiclone. Tetrahedron Asymmetry 1997, 8, 995–997. [Google Scholar] [CrossRef]
- Goa, K.; Heel, R.C. Zopiclone. A review of its pharmacodynamic and pharmacokinetic properties and therapeutic efficacy as a hypnotic. Drugs 1986, 32, 48–65. [Google Scholar] [CrossRef] [PubMed]
- Da Silva-Alves, D.C.B.; dos Anjos, J.V.; Cavalcante, N.N.M.; Santos, G.K.N.; Navarro, D.A.F.; Srivastava, R.M. Larvicidal isoxazoles: Synthesis and their effective susceptibility towards Aedes aegypti larvae. Bioorg. Med. Chem. 2013, 21, 940–943. [Google Scholar] [CrossRef] [PubMed]
- McIntosh, M.L.; Naffziger, M.R.; Ashburn, B.O.; Zakharov, L.N.; Carter, R.G. Highly regioselective nitrile oxide dipolar cycloadditions with ortho-nitrophenyl alkynes. Org. Biomol. Chem. 2012, 10, 9204–9213. [Google Scholar] [CrossRef] [PubMed]
- Mabrour, M.; Bougrin, K.; Benhida, R.; Loupy, A.; Soufiaoui, M. An efficient one-step regiospecific synthesis of novel isoxazolines and isoxazoles of N-substituted saccharin derivatives through solvent-free microwave-assisted [3+2] cycloaddition. Tetrahedron Lett. 2007, 48, 443–447. [Google Scholar] [CrossRef]
- Askri, M.; Ben Hamadi, N.; Msadek, M.; Rammah, M.E.B. Réactivité des énones cycliques vis-à-vis du 2-diazopropane: Synthèse de spiro-Δ3-(1,3,4)-oxadiazoline et de pyrazoléine. J. Soc. Chim. Tunis. 2006, 8, 219–222. [Google Scholar]
- Boudriga, S.; Askri, M.; Gharbi, R.; Rammah, M.; Ciamala, K. 1.3-Dipolar Cycloadditions of Arylnitrile oxides and Diarylnitrilimines with some 2-Arylidene-1,3-Indanediones. Regiochemistry of the Reactions. J. Chem. Res. 2003, 2003, 204–207. [Google Scholar] [CrossRef]
- Kolb, H.C.; Sharpless, K.B. The growing impact of click chemistry on drug discovery. Drug Discov. Today 2003, 8, 1128–1137. [Google Scholar] [CrossRef]
- Rammah, M.M.; Othman, M.; Ciamala, K.; Strohmann, C.; Rammah, M.B. Silver-catalyzed spirolactonization: First synthesis of spiroisoindole-γ-methylene-γ-butyrolactones. Tetrahedron 2008, 64, 3505–3516. [Google Scholar] [CrossRef]
- Himo, F.; Lovell, T.; Hilgraf, R.; Rostovtsev, V.V.; Noodleman, L.; Sharpless, K.B.; Fokin, L.G. Copper(I)-Catalyzed Synthesis of Azoles. DFT Study Predicts Unprecedented Reactivity and Intermediates. J. Am. Chem. Soc. 2005, 127, 210–216. [Google Scholar] [CrossRef] [PubMed]
- Kamalraj, V.R.; Senthil, S.; Kannan, P. One-pot synthesis and the fluorescent behavior of 4-acetyl-5-methyl-1,2,3-triazole regioisomers. J. Mol. Struct. 2008, 892, 210–215. [Google Scholar] [CrossRef]
- Valizadeh, H.; Amiri, M.; Gholipur, H. Efficient and convenient method for the synthesis of isoxazoles in ionic liquid. J. Heterocycl. Chem. 2009, 46, 108–110. [Google Scholar] [CrossRef]
- Coutouli-Argyropoulou, E.; Lianis, P.; Mitakou, P.; Giannoulisa, M.A.; Nowak, J. 1,3-Dipolar cycloaddition approach to isoxazole, isoxazoline and isoxazolidine analogues of C-nucleosides related to pseudouridine. Tetrahedron 2006, 62, 1494–1501. [Google Scholar] [CrossRef]
- Hansen, T.V.; Wu, P.; Fokin, V.V. One-Pot Copper(I)-Catalyzed Synthesis of 3,5-Disubstituted Isoxazoles. J. Org. Chem. 2005, 70, 7761–7764. [Google Scholar] [CrossRef] [PubMed]
- Rostovtsev, V.; Green, L.G.; Fokin, V.V.; Sharpless, K.B.A. Stepwise Huisgen Cycloaddition Process: Copper(I)-Catalyzed Regioselective “Ligation” of Azides and Terminal Alkynes. Angew. Chem. Int. Ed. 2002, 41, 2596–2599. [Google Scholar] [CrossRef]
- Zhang, L.; Chen, X.; Xue, P.; Sun, H.H.Y.; Williams, I.D.; Sharpless, K.B.; Fokin, V.V.; Jia, G. Ruthenium-Catalyzed Cycloaddition of Alkynes and Organic Azides. J. Am. Chem. Soc. 2005, 127, 15998–15999. [Google Scholar] [CrossRef] [PubMed]
- Lo Vecchio, G.; Garssi, G.; Risitano, F.; Foti, F. Unusual reaction of benzonitrile oxide as phenylnitrosocarbene. Tetrahedron Lett. 1973, 14, 3777–3780. [Google Scholar] [CrossRef]
- Crystal data for compound 4a C28H24N2O4 (115 K): Monoclinic, P21/c, a = 14.149(4), b = 17.091(3), c = 23.576(8) Å, β = 126.741(18)°, λ = 0.71073 Å, V = 4569(2) Å3, Z = 8, Dc = 1.316 Mg/m3.
- Creary, X.; Anderson, A.; Brophy, C.; Crowell, F.; Funk, Z. Method for Assigning Structure of 1,2,3-Triazoles. J. Org. Chem. 2012, 277, 8756–8761. [Google Scholar] [CrossRef] [PubMed]
- Johansson, J.R.; Lincoln, P.; Norden, B.; Kann, N. Sequential One-Pot Ruthenium-Catalyzed Azide-Alkyne Cycloaddition from Primary Alkyl Halides and Sodium Azide. J. Org. Chem. 2011, 76, 2355–2359. [Google Scholar] [CrossRef] [PubMed]
- Rasmussen, L.K.; Boren, B.C.; Fokin, V.V. Ruthenium-Catalyzed Cycloaddition of Aryl Azides and Alkynes. Org. Lett. 2007, 9, 5337–5339. [Google Scholar] [CrossRef] [PubMed]
- Otwinowski, Z.; Minor, W. Methods in Enzymology. In Macromolecular Crystallography, Part A; Carter, C.W., Jr., Sweet, R.M., Eds.; Academic Press: New York, NY, USA, 1997; Volume 276, pp. 307–326. [Google Scholar]
- SIR92 Program; Altomare, A.; Cascarano, G.; Giacovazzo, C.; Guagliardi, A. Completion and refinement of crystal structures with SIR92. J. Appl. Crystallogr. 1993, 26, 343–350. [Google Scholar]
- Sheldrick, G.M. A short history of SHELX. Acta Crystallogr. 2008, A64, 112–122. [Google Scholar] [CrossRef] [PubMed]
- Sample Availability: Samples of the compounds not are available from the authors.
© 2016 by the authors. Licensee MDPI, Basel, Switzerland. This article is an open access article distributed under the terms and conditions of the Creative Commons by Attribution (CC-BY) license ( http://creativecommons.org/licenses/by/4.0/).






