Morphology and N2 Permeance of Sputtered Pd-Ag Ultra-Thin Film Membranes
Abstract
:1. Introduction
2. Results and Discussion
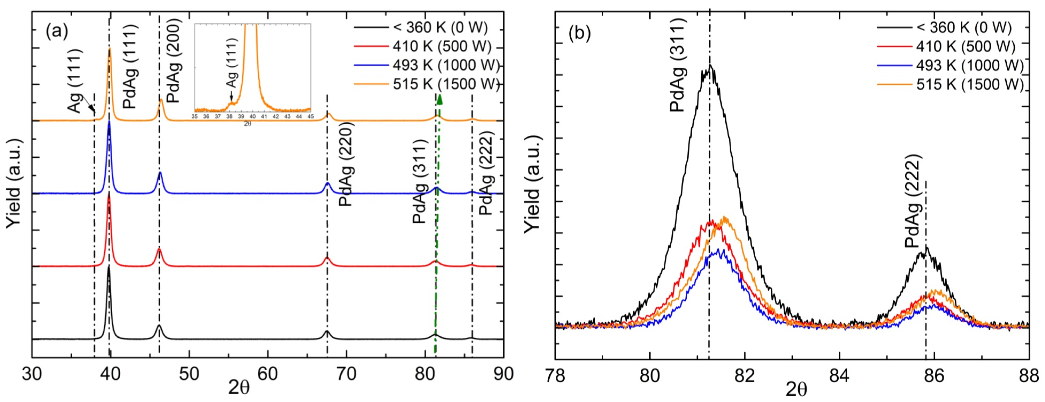
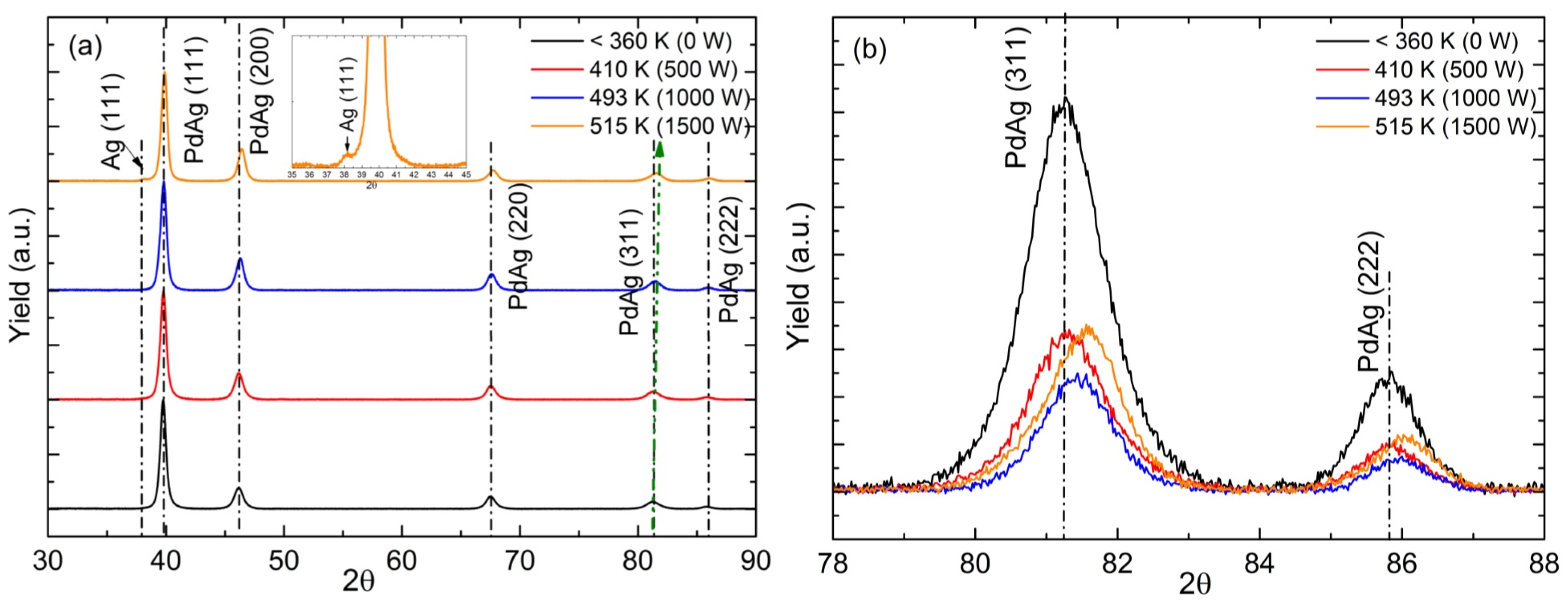
2.1. Influence of the Heating Power on the Morphology Evolution



2.2. Influence of the Support and Pd-Ag Layer Thickness

2.3. Influence of the Target Power and Pd-Ag Layer Thickness



| Sample | N2 Permeance × 10−9 (mol·m−2·s−1·Pa−1) |
|---|---|
| ZrO2 110 nm (support) | 35,500 |
| Al2O3 100 nm (support) | 30,300 |
| ZrO2 3 nm (support) | 24,600 |
| Pd-Ag layer (1500 W, 2.0 µm) on Al2O3 100 nm | 1400 |
| Pd-Ag layer (1500 W, 2.0 µm) on ZrO2 110 nm | Delaminated |
| Pd-Ag layer (1500 W, 2.0 µm) on ZrO2 3 nm | Delaminated |
| Pd-Ag layer (1500 W, 0.5 µm) on ZrO2 3 nm | 15,143 |
| Pd-Ag layer (350 W, 1.0 µm) on ZrO2 3 nm | 1288 |
| Pd-Ag layer (1500 W, 1.0 µm) on ZrO2 3 nm | 2297 |
| Pd-Ag layer (3000 W, 1.0 µm) on ZrO2 3 nm | 3974 |
3. Materials and Methods
3.1. Membrane Preparation

| Heating Power (W) | Target Power (W) | Deposition Time (min) | Deposition Rate (µm·min−1) | Substrate Temperature (K) |
|---|---|---|---|---|
| 0 | 1500 | 15 | 0.04 | <360 |
| 500 | 405–410 | |||
| 1000 | 495–505 | |||
| 1500 | 506–515 | |||
| 0 | 350 | 80 | 0.01 | NA |
| 1500 | 16 | 0.06 | NA | |
| 3000 | 8 | 0.13 | 405–433 |
3.2. Membrane Characterization
4. Conclusions
Acknowledgments
Author Contributions
Conflicts of Interest
References
- Lewis, F.A. The palladium-hydrogen system: Structures near phase transition and critical points. Int. J. Hydrog. Energy 1995, 20, 587–592. [Google Scholar]
- Paglieri, S.N.; Way, J.D. Innovations in Palladium Membrane Research. Sep. Purif. Rev. 2002, 31, 1–169. [Google Scholar] [CrossRef]
- Gallucci, F.; Fernandez, E.; Corengia, P.; Annaland, M.V. Recent advances on membranes and membrane reactors for hydrogen production. Chem. Eng. Sci. 2013, 92, 40–66. [Google Scholar] [CrossRef]
- REB Research. Available online: http://www.rebresearch.com/ (accessed on 7 February 2016).
- Air Liquide. Available online: http://www.airliquideadvancedtechnologies.com/en/our-offer/electronics-optoelectronics/ultra-pure-purifiers-japan-pionics.html (accessed on 7 February 2016).
- Iniotakis, N.; von der Decken, C.B.; Fedders, H.; Froehling, W.; Sernetz, F. Hydrogen Permeation Membrane. U.S. Patent 4,699,637, 13 October 1987. [Google Scholar]
- Den Exter, M.J. The use of electroless plating as a deposition technology in the fabrication of palladium-based membranes. In Palladium Membrane Technology for Hydrogen Production, Carbon Capture and Other Applications; Elsevier: Cambridge, UK, 2015; Chapter 3; pp. 43–67. [Google Scholar]
- Klette, H.; Bredesen, R. Sputtering of very thin palladium-alloy hydrogen separation membranes. Membr. Technol. 2005, 5, 7–9. [Google Scholar] [CrossRef]
- Peters, T.A.; Stange, M.; Bredesen, R. Fabrication of palladium-based membranes by magnetron sputtering. In Palladium Membrane Technology for Hydrogen Production, Carbon Capture and Other Applications; Elsevier: Cambridge, UK, 2015; Chapter 2; pp. 25–41. [Google Scholar]
- Peters, T.A.; Stange, M.; Bredesen, R. On the high pressure performance of thin supported Pd-23%Ag membranes-Evidence of ultrahigh hydrogen flux after air treatment. J. Membr. Sci. 2011, 378, 28–34. [Google Scholar] [CrossRef]
- Vicinanza, N.; Svenum, I.-H.; Næss, L.N.; Peters, T.A.; Bredesen, R.; Borg, A.; Venvik, H.J. Thickness dependent effects of solubility and surface phenomena on the hydrogen transport properties of sputtered Pd77%Ag23% thin film membranes. J. Membr. Sci. 2015, 476, 602–608. [Google Scholar] [CrossRef]
- Jayaraman, V.; Lin, Y.S.; Pakala, M.; Lin, R.Y. Fabrication of ultrathin metallic membranes on ceramic supports by sputter deposition. J. Membr. Sci. 1995, 99, 89–100. [Google Scholar] [CrossRef]
- Jayaraman, V.; Lin, Y.S. Synthesis and hydrogen permeation properties of ultrathin palladium-silver alloy membranes. J. Membr. Sci. 1995, 104, 251–262. [Google Scholar] [CrossRef]
- Zhao, H.-B.; Xiong, G.X.; Baron, G.V. Preparation and characterization of palladium-based composite membranes by electroless plating and magnetron sputtering. Catal. Today 2000, 56, 89–96. [Google Scholar] [CrossRef]
- O’Brien, J.; Hughes, R.; Hisek, J. Pd/Ag membranes on porous alumina substrates by unbalanced magnetron sputtering. Surf. Coat. Technol. 2001, 142–144, 253–259. [Google Scholar] [CrossRef]
- Hoang, H.T.; Tong, H.D.; Gielens, F.C.; Jansen, H.V.; Elwenspoek, M.C. Fabrication and characterization of dual sputtered Pd-Cu alloy films for hydrogen separation membranes. Mater. Lett. 2004, 58, 525–528. [Google Scholar] [CrossRef]
- Zhang, X.; Song, X.-H.; Zhang, D.-L. Thickness dependence of grain size and surface roughness for dc magnetron sputtered Au films. Chi. Phys. B 2010, 19, 086802. [Google Scholar] [CrossRef]
- Pereira, A.I.; Pérez, P.; Rodrigues, S.C.; Mendes, A.; Madeira, L.M.; Tavares, C.J. Deposition of Pd-Ag thin film membranes on ceramic supports for hydrogen purification/separation. Mater. Res. Bull. 2015, 61, 528–533. [Google Scholar] [CrossRef]
- Souleimanova, R.S.; Mukasyan, A.S.; Varma, A. Pd Membranes Formed by Electroless Plating with Osmosis: H Permeation Studies. AIChE J. 2002, 48, 262–268. [Google Scholar] [CrossRef]
- Abate, S.; Genovese, C.; Perathoner, S.; Centi, G. Pd-Ag thin film membrane for H2 separation. Part 2. Carbon and oxygen diffusion in the presence of CO/CO2 in the feed and effect on the H2 permeability. Int. J. Hydrog. Energy 2010, 35, 5400–5409. [Google Scholar] [CrossRef]
- Abate, S.; Giorgianni, G.; Gentiluomo, S.; Centi, G.; Perathoner, S. Enhanced Hydrogen Transport over Palladium Ultrathin Films through Surface Nanostructure Engineering. ChemSusChem 2015, 8, 3805–3814. [Google Scholar] [CrossRef] [PubMed]
- Wasa, K. Handbook of Sputter Deposition Technology; Hayakawa, S., Ed.; Elsevier: Westwood, NJ, USA, 1992. [Google Scholar]
- Herring, C. Effect of Change of Scale on Sintering Phenomena. J. Appl. Phys. 1950, 21, 301–303. [Google Scholar] [CrossRef]
- Almeida, R.A.L. KPZ Universality Anomalous Scaling and Crossover Effects in the Growth of CdTe Thin Films. Ph.D. Thesis, Universidade Federal de Vicosa, Viçosa-MG, Brazil, February 2015. [Google Scholar]
- Ayturk, M.E.; Engwall, E.E.; Ma, Y.H. Microstrcture analysis of the intermetallic diffusion-induced alloy phases in composite Pd/Ag/porous stainless steel membranes. Ind. Eng. Chem. Res. 2007, 46, 4295–4306. [Google Scholar] [CrossRef]
- Zeng, G.; Goldbach, A.; Xu, H. Impact of support mass flow resistance on low-temperature H2 permeation characteristics of a Pd95Ag5/Al2O3 composite membrane. J. Membr. Sci. 2009, 326, 681–687. [Google Scholar] [CrossRef]
- Thornton, A. High-rate thick-film growth. Ann. Rev. Mater. Sci. 1977, 60, 239–260. [Google Scholar] [CrossRef]
- Goodfellow. Available online: http://www.goodfellow.com/E/Palladium-Silver.html (accessed on 7 February 2016).
- Barna, P.B.; Adamik, M. Fundamental structure forming phenomena of polycrystalline thin films and the structure zone models. Thin Solid Films 1998, 317, 27–33. [Google Scholar] [CrossRef]
- Fernandez, E.; Sanchez-García, J.A.; Melendez, J.; Spallina, V.; Annaland, M.V.; Gallucci, F.; Tanaka, D.A.P. Development of highly permeable ultra-thin Pd-based supported membranes. Chem. Eng. J. 2015. accepted. [Google Scholar] [CrossRef]
- Dittmar, B.; Behrens, A.; Schödel, N.; Rüttinger, M.; Franco, T.; Straczewski, G.; Dittmeyer, R. Methane steam reforming operation and thermal stability of new porous metal supported tubular palladium composite membranes. Int. J. Hydrog. Energy 2013, 38, 8759–8771. [Google Scholar] [CrossRef]
- Liuzzi, D.; Pérez-Alonso, F.J.J.; Rojas, S.; Fierro, J.L.G.; van Wijk, F.L.; Roghair, I.; Annaland, M.V.; Fernandez, E.; Viviente, J.L.; Tanaka, D.A.P. Catalytic membrane reactor for the production of biofuels. Catal. Today 2015. [Google Scholar] [CrossRef]
- Ángel, J.; García, S. Nanoestructuración de Superficies de Silicio Mediante Erosion Iónica: Influencia de la Incorporación Simultánea de Metales. Ph.D. Thesis, Universidad Autónoma Madrid, Madrid, Spain, June 2010. [Google Scholar]
- Standard Practice for Estimating the Power Spectral Density Function and Related Finish Parameters from Surface Profile Data; ASTM Standard F1811-97; ASTM International: West Conshohocken, PA, USA, 2002.
- Barabasi, A.-L.; Stanley, H.E. Fractal Concepts in Surface Growth; Cambridge University Press: Cambridge, UK, 1995. [Google Scholar]
- Zhao, Y.; Wang, G.-C.; Lu, T.-M. Characterization of Amorphous and Crystalline Rough Surfaces: Principles and Applications; Academic Press: San Diego, CA, USA, 2001; Volume 37, pp. 33–61. [Google Scholar]
- Fernandez, E.; Helmi, A.; Coenen, K.; Melendez, J.; Viviente, J.L.; Tanaka, D.A.P.; Annaland, M.V.; Gallucci, F. Development of thin Pd-Ag supported membranes for fluidized bed membrane reactors including WGS related gases. Int. J. Hydrog. Energy 2015, 40, 3506–3519. [Google Scholar] [CrossRef]
- Sample Availability: Not available.
© 2016 by the authors. Licensee MDPI, Basel, Switzerland. This article is an open access article distributed under the terms and conditions of the Creative Commons by Attribution (CC-BY) license ( http://creativecommons.org/licenses/by/4.0/).
Share and Cite
Fernandez, E.; Sanchez-Garcia, J.A.; Viviente, J.L.; Van Sint Annaland, M.; Gallucci, F.; Tanaka, D.A.P. Morphology and N2 Permeance of Sputtered Pd-Ag Ultra-Thin Film Membranes. Molecules 2016, 21, 210. https://doi.org/10.3390/molecules21020210
Fernandez E, Sanchez-Garcia JA, Viviente JL, Van Sint Annaland M, Gallucci F, Tanaka DAP. Morphology and N2 Permeance of Sputtered Pd-Ag Ultra-Thin Film Membranes. Molecules. 2016; 21(2):210. https://doi.org/10.3390/molecules21020210
Chicago/Turabian StyleFernandez, Ekain, Jose Angel Sanchez-Garcia, Jose Luis Viviente, Martin Van Sint Annaland, Fausto Gallucci, and David A. Pacheco Tanaka. 2016. "Morphology and N2 Permeance of Sputtered Pd-Ag Ultra-Thin Film Membranes" Molecules 21, no. 2: 210. https://doi.org/10.3390/molecules21020210
APA StyleFernandez, E., Sanchez-Garcia, J. A., Viviente, J. L., Van Sint Annaland, M., Gallucci, F., & Tanaka, D. A. P. (2016). Morphology and N2 Permeance of Sputtered Pd-Ag Ultra-Thin Film Membranes. Molecules, 21(2), 210. https://doi.org/10.3390/molecules21020210

