Fluorescent Probes for Insect Ryanodine Receptors: Candidate Anthranilic Diamides
Abstract
:1. Introduction

2. Results and Discussion
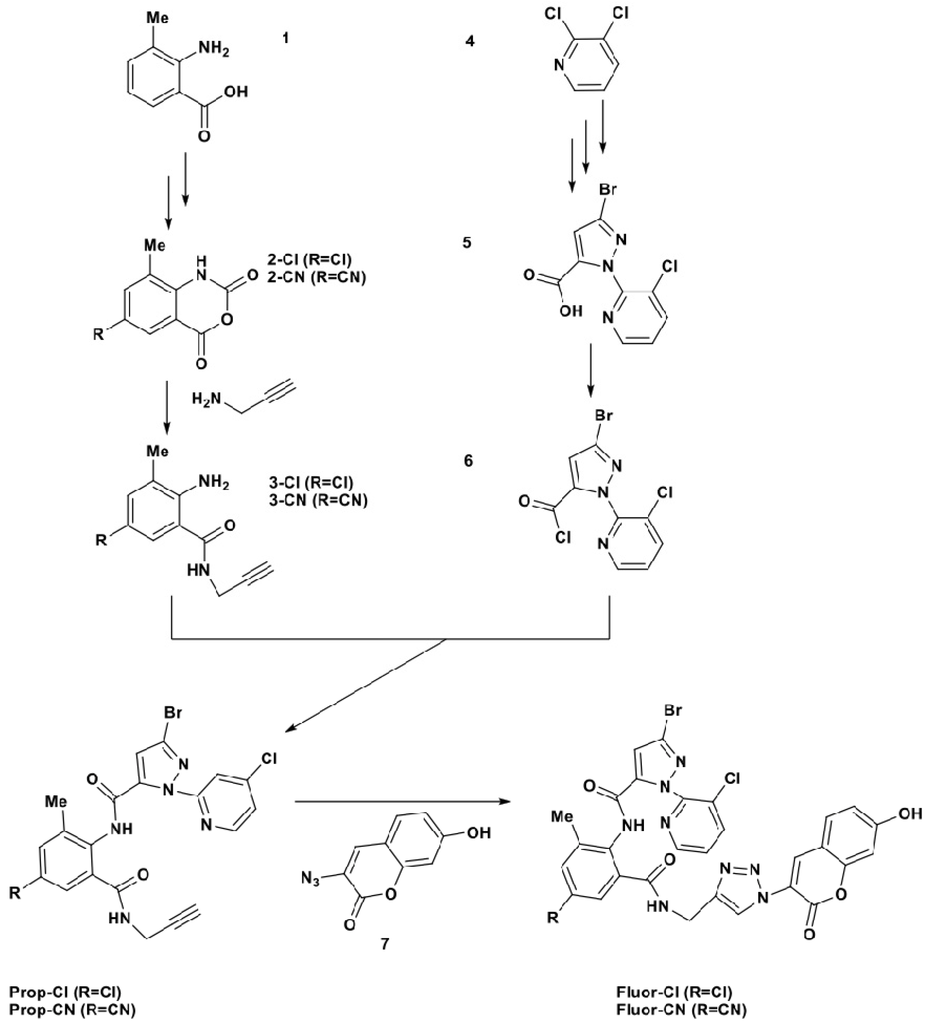
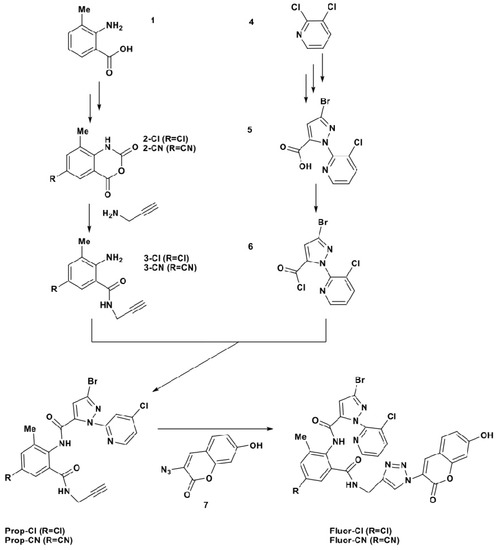
2.1. Fluorescent Ligands Design and Synthesis

2.2. Fluorescent Ligands Bind Potently to Specific Site in Musca RyR

2.3. Insecticidal Activity of Fluorescent Ligands
| Compd | LC50 (95%CL) a (ppm) | Slope SE | x2 (df) b |
|---|---|---|---|
| Chlo | 0.033(0.006–0.059) | 2.5 ± 0.5 | 13.7(6) |
| Cyan | 0.061(0.035–0.086) | 5.0 ± 1.0 | 14.5(8) |
| Flu | 0.056(0.037–0.068) | 6.9 ± 2.1 | 1.7(7) |
| Prop-Cl | 0.080(0.024–0.152) | 1.5 ± 0.3 | 5.5 (7) |
| Prop-CN | 0.34(0.24–0.43) | 4.6 ± 1.1 | 7.9(8) |
| Fluor-Cl | 2.59(1.69–3.46) | 4.0 ± 0.9 | 5.2(8) |
| Fluor-CN | 7.57(4.57–11.77) | 2.4 ± 0.7 | 3.8(8) |
3. Experimental
3.1. General Methods and Materials
3.2. Synthesis of Propynyl Intermediates
3.3. Synthesis of Fluorescent Ligands
3.4. Insecticidal Activity
3.5. RyR Radioligand Assay
4. Conclusions
Supplementary Materials
Acknowledgments
Author Contributions
Conflicts of Interest
References
- Rogers, E.F.; Koniuszy, F.R.; Shavel, J., Jr.; Folkers, K. Plant insecticides. I. Ryanodine, a new alkaloid from Ryania speciosa. J. Am. Chem. Soc. 1948, 70, 3086–3088. [Google Scholar] [CrossRef]
- Ebbinghaus-Kintscher, U.; Luemmen, P.; Lobitz, N.; Schulte, T.; Funke, C.; Fischer, R.; Masaki, T.; Yasokawa, N.; Tohnishi, M. Phthalic acid diamides activate ryanodine-sensitive Ca2+ release channels in insects. Cell Calcium 2006, 39, 21–33. [Google Scholar] [CrossRef]
- Schulte, T.; Ebbinghaus-Kintscher, U.; Luemmen, P.; Fischer, R.; Funke, C. Method for the identification of pesticides. EP 1522855, 13 April 2005. [Google Scholar]
- Masaki, T. New insecticide affecting ryanodine receptor, flubendiamide: Biochemical aspects of its action. J. Pestic. Sci. 2006, 31, 484–488. [Google Scholar] [CrossRef]
- Masaki, T.; Yasokawa, N.; Tohnishi, M.; Nishimatsu, T.; Tsubata, K.; Inoue, K.; Motoba, K.; Hirooka, T. Flubendiamide, a novel Ca2+ channel modulator, reveals evidence for functional cooperation between Ca2+ pumps and Ca2+ release. Mol. Pharmacol. 2006, 69, 1733–1739. [Google Scholar] [CrossRef]
- Luemmen, P.; Ebbinghaus-Kintscher, U.; Funke, C.; Fischer, R.; Masaki, T.; Yasokawa, N.; Tohnishi, M. Phthalic acid diamides activate insect ryanodine receptors. ACS Symp. Ser. 2007, 948, 235–248. [Google Scholar] [CrossRef]
- Masaki, T.; Yasokawa, N.; Ebbinghaus-Kintscher, U.; Luemmen, P. Flubendiamide stimulates Ca2+ pump activity coupled to RyR-mediated calcium release in lepidopterous insects. Pestic. Chem. 2007, 137–140. [Google Scholar]
- Kato, K.; Kiyonaka, S.; Sawaguchi, Y.; Tohnishi, M.; Masaki, T.; Yasokawa, N.; Mizuno, Y.; Mori, E.; Inoue, K.; Hamachi, I.; et al. Molecular characterization of flubendiamide sensitivity in the lepidopterous ryanodine receptor Ca2+ release channel. Biochemistry 2009, 48, 10342–10352. [Google Scholar] [CrossRef]
- Masaki, T.; Yasokawa, N.; Fujioka, S.; Motoba, K.; Tohnishi, M.; Hirooka, T. Quantitative relationship between insecticidal activity and Ca2+ pump stimulation by flubendiamide and its related compounds. J. Pestic. Sci. 2009, 34, 37–42. [Google Scholar] [CrossRef]
- Caspar, T.; Cordova, D.; Gutteridge, S.; Rauh, J.J.; Smith, R.M.; Wu, L.; Tao, Y. Cloning and characterization of insect ryanodine receptors and their use for screening for insecticidal compounds. WO 2004027042, 23 September 2003. [Google Scholar]
- Cordova, D.; Benner, E.A.; Sacher, M.D.; Rauh, J.J.; Sopa, J.S.; Lahm, G.P.; Selby, T.P.; Stevenson, T.M.; Flexner, L.; Gutteridge, S.; et al. Anthranilic diamides: A new class of insecticides with a novel mode of action, ryanodine receptor activation. Pestic. Biochem. Physiol. 2006, 84, 196–214. [Google Scholar] [CrossRef]
- Cordova, D.; Benner, E.A.; Sacher, M.D.; Rauh, J.J.; Sopa, J.S.; Lahm, G.P.; Selby, T.P.; Stevenson, T.M.; Flexner, L.; Caspar, T.; et al. Elucidation of the mode of action of Rynaxypyr, a selective ryanodine receptor activator. In Pesticide Chemistry: Crop Protection, Public Health, Environmental Safety; Ohkawa, H., Miyagawa, H., Lee, P.W., Eds.; Wiley-VCH Verlag GmbH & Co. KGaA: Weinheim, Germany, 2007; pp. 121–126. [Google Scholar]
- Cordova, D.; Benner, E.A.; Sacher, M.D.; Rauh, J.J.; Sopa, J.S.; Lahm, G.P.; Selby, T.P.; Stevenson, T.M.; Flexner, L.; Gutteridge, S.; et al. The novel mode of action of anthranilic diamide insecticides: Ryanodine receptor activation. ACS Symp. Ser. 2007, 948, 223–234. [Google Scholar] [CrossRef]
- Lahm, G.P.; Cordova, D.; Barry, J.D. New and selective ryanodine receptor activators for insect control. Bioorg. Med. Chem. 2009, 17, 4127–4133. [Google Scholar] [CrossRef]
- Isaacs, A.K.; Qi, S.; Sarpong, R.; Casida, J.E. Insect ryanodine receptor: Distinct but coupled insecticide binding sites for [N-C3H3]chlorantraniliprole, flubendiamide, and [3H]ryanodine. Chem. Res. Toxicol. 2012, 25, 1571–1573. [Google Scholar] [CrossRef]
- Qi, S.; Casida, J.E. Species differences in chlorantraniliprole and flubendiamide insecticide binding sites in the ryanodine receptor. Pestic. Biochem. Physiol. 2013, 107, 321–326. [Google Scholar] [CrossRef]
- Wang, X.; Wu, S.; Yang, Y.; Wu, Y. Molecular cloning, characterization and mRNA expression of a ryanodine receptor gene from diamondback moth, Plutella xylostella. Pestic. Biochem. Physiol. 2012, 102, 204–212. [Google Scholar] [CrossRef]
- Chai, B.; Peng, Y.; Li, H.; Zhang, H.; Liu, C. Synthesis of chlorantraniliprole and its insecticidal activity. Agrochemical 2009, 48, 13–16. [Google Scholar]
- Sivakumar, K.; Xie, F.; Cash, B.M.; Long, S.; Barnhill, H.N.; Wang, Q. A fluorogenic 1,3-dipolar cycloaddition reaction of 3-azidocoumarins and acetylenes. Org. Lett. 2004, 6, 4603–4606. [Google Scholar] [CrossRef]
- Liang, P.; Gao, X.W.; Zheng, B.Z. Genetic basis of resistance and studies on cross-resistance in a population of diamondback moth, Plutella xylostella (Lepidoptera: Plutellidae). Pest Manag. Sci. 2003, 59, 1232–1236. [Google Scholar] [CrossRef]
- He, Y.; Zhao, J.; Zheng, Y.; Desneux, N.; Wu, K. Lethal effect of imidacloprid on the coccinellid predator Serangium japonicum and sublethal effects on predator voracity and on functional response to the whitefly Bemisia tabaci. Ecotoxicology 2012, 21, 1291–1300. [Google Scholar] [CrossRef]
- Abbott, W.S. A method of computing the effectiveness of an insecticide. J. Econ. Entomol. 1925, 18, 265–267. [Google Scholar]
- Sample Availability: Samples of the compounds are available from the authors.
© 2014 by the authors. Licensee MDPI, Basel, Switzerland. This article is an open access article distributed under the terms and conditions of the Creative Commons Attribution license ( http://creativecommons.org/licenses/by/3.0/).
Share and Cite
Wang, Y.; Guo, L.; Qi, S.; Zhang, H.; Liu, K.; Liu, R.; Liang, P.; Casida, J.E.; Liu, S. Fluorescent Probes for Insect Ryanodine Receptors: Candidate Anthranilic Diamides. Molecules 2014, 19, 4105-4114. https://doi.org/10.3390/molecules19044105
Wang Y, Guo L, Qi S, Zhang H, Liu K, Liu R, Liang P, Casida JE, Liu S. Fluorescent Probes for Insect Ryanodine Receptors: Candidate Anthranilic Diamides. Molecules. 2014; 19(4):4105-4114. https://doi.org/10.3390/molecules19044105
Chicago/Turabian StyleWang, Yi, Lei Guo, Suzhen Qi, Hao Zhang, Kechang Liu, Ruiquan Liu, Pei Liang, John E. Casida, and Shangzhong Liu. 2014. "Fluorescent Probes for Insect Ryanodine Receptors: Candidate Anthranilic Diamides" Molecules 19, no. 4: 4105-4114. https://doi.org/10.3390/molecules19044105
APA StyleWang, Y., Guo, L., Qi, S., Zhang, H., Liu, K., Liu, R., Liang, P., Casida, J. E., & Liu, S. (2014). Fluorescent Probes for Insect Ryanodine Receptors: Candidate Anthranilic Diamides. Molecules, 19(4), 4105-4114. https://doi.org/10.3390/molecules19044105
