Bioactive Flavone-C-Glycosides of the African Medicinal Plant Biophytum umbraculum
Abstract
:1. Introduction
2. Results and Discussion
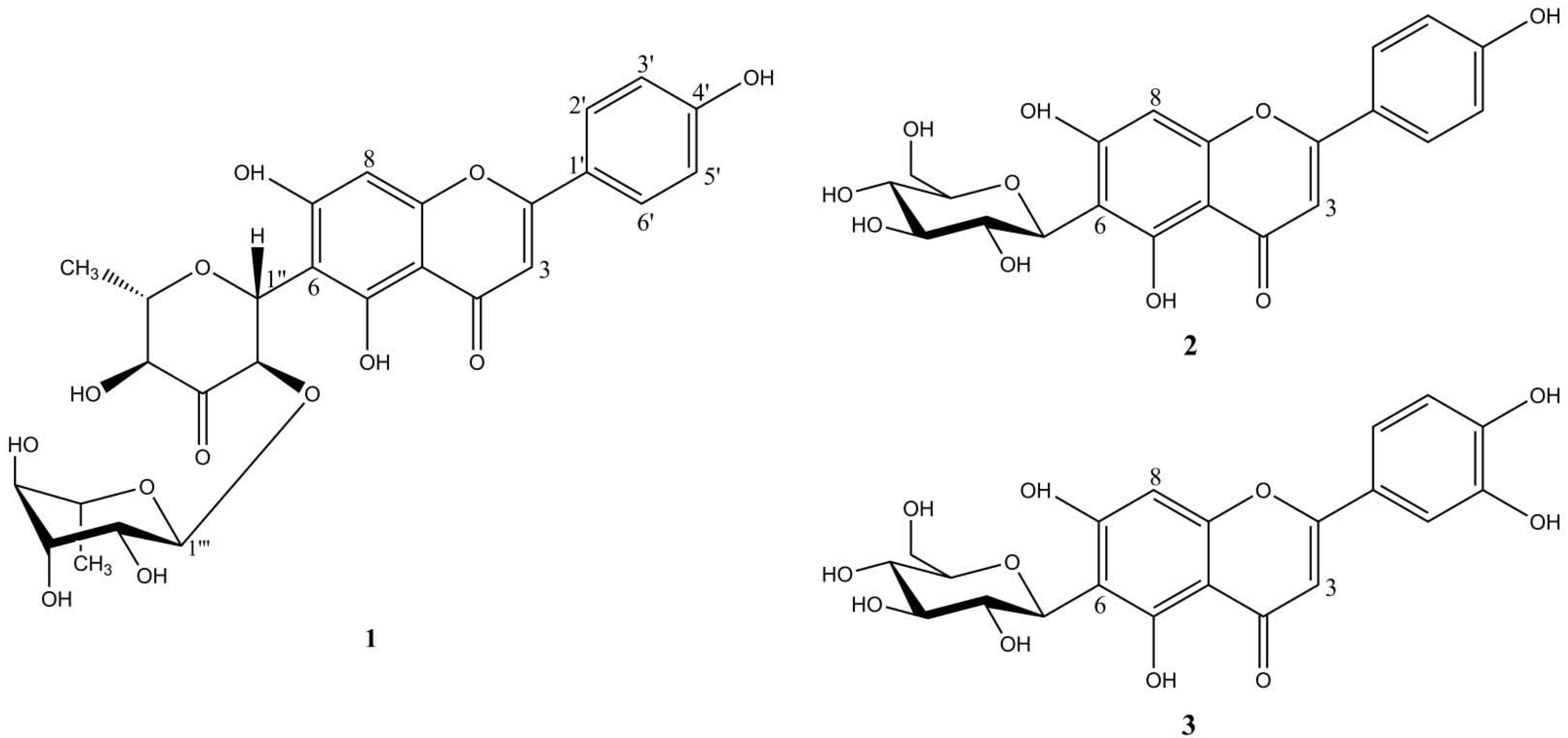
2.1. Isolation and Structural Elucidation

2.2. Antioxidant Activity
| Extract | DPPH | XO | 15-LO |
|---|---|---|---|
| DCM crude extract | >167 | >167 | >167 |
| MeOH crude extract | 13.4 ± 0.6 | 59.7 ± 6.1 | 68.9 ± 5.0 |
| EtOAc extract | 6.8 ± 0.6 | ca. 21 | 43.0 ± 3.6 |
| BuOH extract | 12.5 ± 1.9 | 102.6 ± 5.6 | 53.4 ± 2.1 |
| Aqueous residue | 29.8 ± 3.5 | >167 | >167 |
| Quercetin (positive control) | 4.4 ± 0.4 | 2.33 ± 0.09 | 33.4 ± 0.3 |
| Isolated compound | DPPH | XO | 15-LO |
|---|---|---|---|
| Cassiaoccidentalin A (1) | >167 | 149.5 ± 7.4 | 99.9 ± 2.5 |
| Isovitexin (2) | 96.0 ± 3.6 | >167 | 107.1 ± 2.1 |
| Isoorientin (3) | 18.1 ± 1.1 | 117.2 ± 13.5 | 86.4 ± 0.5 |
| Quercetin (positive control) | 13.7 ± 1.3 | 7.7 ± 0.3 | 110.6 ± 1.0 |
3. Experimental
3.1. General
3.2. Plant Material
3.3. Extraction and Isolation
3.4. DPPH Radical Scavenging
3.5. Inhibition of Xanthine Oxidase (XO)
3.6. Inhibition of 15-Lipoxygenase (15-LO)
3.7. Statistical Analysis
4. Conclusions
Acknowledgments
Conflicts of Interest
References
- Burkill, H.M. The Useful Plants of West Tropical Africa, 2nd ed; Royal Botanic Gardens, Kew: Surrey, UK, 1997; Volume 4, pp. 336–338. [Google Scholar] [Green Version]
- Grønhaug, T.E.; Glæserud, S.; Skogsrud, M.; Ballo, N.; Bah, S.; Diallo, D.; Paulsen, B.S. Ethnopharmacological survey of six medicinal plants from Mali, West-Africa. J. Ethnobiol. Ethnomed. 2008, 4, 26. [Google Scholar] [CrossRef]
- Inngjerdingen, K.T.; Coulibaly, A.; Diallo, D.; Michaelsen, T.E.; Smestad, P.B. A complement fixing polysaccharide from Biophytum petersianum Klotzsch, a medicinal plant from Mali, West Africa. Biomacromolecules 2006, 7, 48–53. [Google Scholar] [CrossRef]
- Diallo, D.; Sogn, C.; Samaké, F.B.; Paulsen, B.S.; Michaelsen, T.E.; Keita, A. Wound healing plants in Mali, the Bamako region. An ethnobotanical survey and complement fixation of water extracts from selected plants. Pharm. Biol. 2002, 40, 117–128. [Google Scholar] [CrossRef]
- Mouzou, A.P.; Titrikou, S.; Constantin, B.; Sebille, S.; Cognard, C.; Gbeassor, M.; Raymond, G. Effets du décocté de Biophytum petersianum (Oxalidaceae) sur la libération du calcium du réticulum sarcoplasmique des cellules musculaires squelettiques (in French). Phytothérapie 2010, 8, 231–235. [Google Scholar] [CrossRef]
- Focho, D.A.; Ndam, W.T.; Fonge, B.A. Medicinal plants of Aguambu—Bamumbu in the lebialem highlands, southwest province of Cameroon. Afr. J. Pharm. Pharmacol. 2009, 3, 1–13. [Google Scholar]
- Kodjo, K.M.; Contesse, V.; Do, R.J.L.; Aklikokou, K.; Titrikou, S.; Gbeassor, M.; Vaudry, H. In vitro effects of crude extracts of Parkia biglobosa (Mimosaceae), Stereospermum kunthianum (Bignoniaceae), and Biophytum petersianum (Oxalidaceae) on corticosteroid secretion in rat. J. Steroid. Biochem. Mol. Biol. 2006, 100, 202–208. [Google Scholar] [CrossRef]
- Titrikou, S.; Eklu-Gadegbeku, K.; Mouzou, A.; Aklikokou, K.; Gbeassor, M. Calcium antagonistic activity of Biophytum petersianum on vascular smooth muscles of wistar rat. Iran. J. Pharmacol. Ther. 2007, 6, 185–189. [Google Scholar]
- Titrikou, S.; Aklikokou, A.K.; Gbeassor, M. Effets de l'extrait de Biophytum petersianum (Oxalidaceae), Klotzsh, sur le systeme cardiovasculaire de cobaye (in French). Pharmacopée et Médecine Traditionelle Africaines 1998, 10, 32–41. [Google Scholar]
- Titrikou, S.; Eklu-Gadegbeku, K.; Aklikokou, K.A.; Gbeassor, M. Effets de Biophytum petersianum (Oxalidaceae) sur la pression artérielle chez le rat Wistar (in French). Phytothérapie 2008, 6, 215–218. [Google Scholar] [CrossRef]
- Inngjerdingen, M.; Inngjerdingen, K.T.; Patel, T.R.; Allen, S.; Chen, X.; Rolstad, B.; Morris, G.A.; Harding, S.E.; Michaelsen, T.E.; Diallo, D.; et al. Pectic polysaccharides from Biophytum petersianum Klotzsch, and their activation of macrophages and dendritic cells. Glycobiology 2008, 18, 1074–1084. [Google Scholar] [CrossRef]
- Grønhaug, T.E.; Kiyohara, H.; Sveaass, A.; Diallo, D.; Yamada, H.; Paulsen, B.S. Beta-D-(1→4)-galactan-containing side chains in RG-I regions of pectic polysaccharides from Biophytum petersianum Klotzsch contribute to expression of immunomodulating activity against intestinal Peyer’s patch cells and macrophages. Phytochemistry 2011, 72, 2139–2147. [Google Scholar] [CrossRef]
- Santoso, B.; Kilmaskossu, A.; Sambodo, P. Effects of saponin from Biophytum petersianum Klotzsch on ruminal fermentation, microbial protein synthesis and nitrogen utilization in goats. Anim. Feed Sci. Tech. 2007, 137, 58–68. [Google Scholar] [CrossRef]
- Valko, M.; Leibfritz, D.; Moncol, J.; Cronin, M.T.D.; Mazur, M.; Telser, J. Free radicals and antioxidants in normal physiological functions and human disease. Int. J. Biochem. Cell Biol. 2007, 39, 44–84. [Google Scholar] [CrossRef]
- Ghasemzadeh, A.; Ghasemzadeh, N. Flavonoids and phenolic acids: Role and biochemical activity in plants and human. J. Med. Plants Res. 2011, 5, 6697–6703. [Google Scholar]
- Le, N.H.T.; Malterud, K.E.; Diallo, D.; Paulsen, B.S.; Nergard, C.S.; Wangensteen, H. Bioactive polyphenols in Ximenia americana and the traditional use among Malian healers. J. Ethnopharmacol. 2012, 139, 858–862. [Google Scholar] [CrossRef]
- Austarheim, I.; Mahamane, H.; Sanogo, R.; Togola, A.; Khaledabadi, M.; Vestrheim, A.C.; Inngjerdingen, K.T.; Michaelsen, T.E.; Diallo, D.; Paulsen, B.S. Anti-ulcer polysaccharides from Cola cordifolia bark and leaves. J. Ethnopharmacol. 2012, 143, 221–227. [Google Scholar] [CrossRef]
- Pham, A.T.; Dvergsnes, C.; Togola, A.; Wangensteen, H.; Diallo, D.; Paulsen, B.S.; Malterud, K.E. Terminalia macroptera, its current medicinal use and future perspectives. J. Ethnopharmacol. 2011, 137, 1486–1497. [Google Scholar] [CrossRef]
- Hatano, T.; Mizuta, S.; Ito, H.; Yoshida, T. C-glycosidic flavonoids from Cassia occidentalis. Phytochemistry 1999, 52, 1379–1383. [Google Scholar] [CrossRef]
- Ramarathnam, N.; Osawa, T.; Namiki, M.; Kawakishi, S. Chemical studies on novel rice hull antioxidants. 2. Identification of isovitexin, a C-glycosyl flavonoid. J. Agric. Food Chem. 1989, 37, 316–319. [Google Scholar] [CrossRef]
- Kumarasamy, Y.; Byres, M.; Cox, P.J.; Delazar, A.; Jaspars, M.; Nahar, L.; Shoeb, M.; Sarker, S.D. Isolation, structure elucidation, and biological activity of flavone 6-C-glycosides from Allaria petiolata. Chem. Nat. Compd 2004, 40, 122–128. [Google Scholar] [CrossRef]
- Bucar, F.; Jachak, S.M.; Karting, T.; Schubert-Zsilavecz, M. Phenolic compounds from Biophytum sensitivum. Pharmazie 1998, 53, 651–653. [Google Scholar]
- Rice-Evans, C.A.; Miller, N.J.; Paganga, G. Structure-antioxidant activity relationships of flavonoids and phenolic acids. Free Radical Biol. Med. 1996, 20, 933–956. [Google Scholar] [CrossRef]
- Waki, T.; Nakanishi, I.; Matsumoto, K.-i.; Kitajima, J.; Chikuma, T.; Kobayashi, S. Key role of chemical hardness to compare 2,2-diphenyl-1-picrylhydrazyl radical scavenging power of flavone and flavonol O-glycoside and C-glycoside derivatives. Chem. Pharm. Bull. 2012, 60, 37–44. [Google Scholar] [CrossRef]
- Yao, H.; Chen, Y.; Shi, P.Y.; Hu, J.; Li, S.G.; Huang, L.Y.; Lin, J.H.; Lin, X.H. Screening and quantitative analysis of antioxidants in the fruits of Livistona chinensis R. Br using HPLC-DAD-ESI/MS coupled with pre-column DPPH assay. Food Chem. 2012, 135, 2802–2807. [Google Scholar] [CrossRef]
- Du, Q.Z.; Li, B. Identification of antioxidant compounds of Mucuna sempervirens by high-speed counter-current chromatographic separation-DPPH radical scavenging detection and their oestrogenic activity. Food Chem. 2012, 131, 1181–1186. [Google Scholar] [CrossRef]
- Zielinska, D.; Zielinski, H. Antioxidant activity of flavone C-glucosides determined by updated analytical strategies. Food Chem. 2011, 124, 672–678. [Google Scholar] [CrossRef]
- Hayashi, T.; Sawa, K.; Kawasaki, M.; Arisawa, M.; Shimizu, M.; Morita, M. Inhibition of cow’s milk xanthine oxidase by flavonoids. J. Nat. Prod. 1988, 51, 345–348. [Google Scholar] [CrossRef]
- Lin, C.M.; Chen, C.S.; Chen, C.T.; Liang, Y.C.; Lin, J.K. Molecular modeling of flavonoids that inhibits xanthine oxidase. Biochem. Biophys. Res. Commun. 2002, 294, 167–172. [Google Scholar] [CrossRef]
- Da Silva, S.L.; da Silva, A.; Honorio, K.M.; Marangoni, S.; Toyama, M.H.; da Silva, A.B.F. The influence of electronic, steric and hydrophobic properties of flavonoid compounds in the inhibition of the xanthine oxidase. J. Mol. Struct. 2004, 684, 1–7. [Google Scholar] [CrossRef]
- Yigitkanli, K.; Pekcec, A.; Karatas, H.; Pallast, S.; Mandeville, E.; Joshi, N.; Smirnova, N.; Gazaryan, I.; Ratan, R.R.; Witztum, J.L.; et al. Inhibition of 12/15-lipoxygenase as therapeutic strategy to treat stroke. Ann. Neurol. 2013, 73, 129–135. [Google Scholar] [CrossRef]
- Del Rio, D.; Rodriguez-Mateos, A.; Spencer, J.P.E.; Tognolini, M.; Borges, G.; Crozier, A. Dietary (poly)phenolics in human health: Structures, bioavailability, and evidence of protective effects against chronic diseases. Antioxid. Redox Sign. 2013, 18, 1818–1892. [Google Scholar] [CrossRef]
- Iwalokun, B.A.; Bamiro, S.B.; Ogunledun, A. Levels and interactions of plasma xanthine oxidase, catalase and liver function parameters in Nigerian children with Plasmodium falciparum infection. APMIS 2006, 114, 842–850. [Google Scholar] [CrossRef]
- Wangensteen, H.; Samuelsen, A.B.; Malterud, K.E. Antioxidant activity in extracts from coriander. Food Chem. 2004, 88, 293–297. [Google Scholar] [CrossRef]
- Pham, A.T.; Malterud, K.E.; Paulsen, B.S.; Diallo, D.; Wangensteen, H. DPPH radical scavenging and xanthine oxidase inhibitory activity of Terminalia macroptera leaves. Nat. Prod. Commun. 2011, 6, 1125–1128. [Google Scholar]
- Sample Availability: Samples of the compounds 1–3 are available from the authors.
© 2013 by the authors; licensee MDPI, Basel, Switzerland. This article is an open access article distributed under the terms and conditions of the Creative Commons Attribution license (http://creativecommons.org/licenses/by/3.0/).
Share and Cite
Pham, A.T.; Nguyen, C.; Malterud, K.E.; Diallo, D.; Wangensteen, H. Bioactive Flavone-C-Glycosides of the African Medicinal Plant Biophytum umbraculum. Molecules 2013, 18, 10312-10319. https://doi.org/10.3390/molecules180910312
Pham AT, Nguyen C, Malterud KE, Diallo D, Wangensteen H. Bioactive Flavone-C-Glycosides of the African Medicinal Plant Biophytum umbraculum. Molecules. 2013; 18(9):10312-10319. https://doi.org/10.3390/molecules180910312
Chicago/Turabian StylePham, Anh Thu, Celine Nguyen, Karl Egil Malterud, Drissa Diallo, and Helle Wangensteen. 2013. "Bioactive Flavone-C-Glycosides of the African Medicinal Plant Biophytum umbraculum" Molecules 18, no. 9: 10312-10319. https://doi.org/10.3390/molecules180910312
APA StylePham, A. T., Nguyen, C., Malterud, K. E., Diallo, D., & Wangensteen, H. (2013). Bioactive Flavone-C-Glycosides of the African Medicinal Plant Biophytum umbraculum. Molecules, 18(9), 10312-10319. https://doi.org/10.3390/molecules180910312
