Isolation and Synthesis of a Bioactive Benzenoid Derivative from the Fruiting Bodies of Antrodia camphorata
Abstract
:1. Introduction
2. Results and Discussion
2.1. Isolation and Identification
| Position | Antrocamphin O (1) | ||
|---|---|---|---|
| δC | δH (J in Hz) | HMBC | |
| 1 | 136.3 | ||
| 2 | 139.5 | ||
| 3 | 137.2 | ||
| 4 | 127.8 | ||
| 5 | 109.9 | ||
| 6 | 139.8 | ||
| 1′ | 83.5 | ||
| 2′ | 97.5 | ||
| 3′ | 127.2 | ||
| 4′ | 121.0 | 5.24 (br s), 5.35 (br s) | 2′, 3′, 5′ |
| 5′ | 23.6 | 1.98 (br s) | 2′,3′, 4′ |
| 6′ | 101.4 | 5.91 (s) | 1, 2 |
| 3-OMe | 60.0 | 3.85 (s) | 3 |
| 6-OMe | 60.3 | 3.96 (s) | 6 |
| 4-Me | 13.8 | 2.25 (s) | 3, 4, 5 |

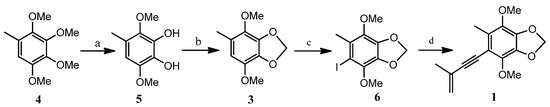
2.2. Synthesis and Structural Characterization of Antrocamphin O (1)

2.3. Cytotoxicity Assay

| Compound | IC50 (µM) | |||
|---|---|---|---|---|
| HT29 | HTC15 | DLD-1 | Colo205 | |
| 1 | >100 | 70 | >100 | 9.3 |
| 2 | >100 | >100 | >100 | 43.4 |
| 3 | 14 | 39 | 40 | >100 |
| 5-FU | 11.2 | 3.1 | 9.5 | 17 |
3. Experimental
3.1. General Methods
3.2. Plant Material
3.3. Extraction and Isolation
3.4. Synthesis
3.5. In Vitro Cytotoxicity Assay
3.5.1. Cell Culture
3.5.2. Cytotoxicity Assay
3.5.3. Statistical Analysis
4. Conclusions
Acknowledgments
Conflicts of Interest
References
- Geethangili, M.; Tzeng, Y.M. Review of Pharmacological Effects of Antrodia camphorata and Its Bioactive Compounds. Evid. Based Complement. Alternat. Med. 2011, 212641. [Google Scholar]
- Huang, H.C.; Liaw, C.C.; Yang, H.L.; Hseu, Y.C.; Kuo, H.T.; Tsai, Y.C.; Chien, S.C.; Amagaya, S.; Chen, Y.C.; Kuo, Y.H. Lanostane triterpenoids and sterols from Antrodia camphorata. Phytochemistry 2012, 84, 177–183. [Google Scholar] [CrossRef]
- Shi, L.S.; Chao, C.H.; Shen, D.Y.; Chan, H.H.; Chen, C.H.; Liao, Y.R.; Wu, S.J.; Leu, Y.L.; Shen, Y.C.; Kuo, Y.H.; et al. Biologically active constituents from the fruiting body of Taiwanofungus camphorates. Bioorg. Med. Chem. 2011, 19, 677–683. [Google Scholar] [CrossRef]
- Tsai, Z.T.; Liaw, S.L. The Use and the Effect of Ganoderma; Sang-Yun Press: Taichung, Taiwan, 1982; p. 116. [Google Scholar]
- Lee, Y.P.; Tsai, W.C.; Ko, C.J.; Rao, Y.K.; Yang, C.R.; Chen, D.R.; Yang, M.H.; Yang, C.C.; Tzeng, Y.M. Anticancer effects of eleven triterpenoids derived fromantrodia camphorate. Anticancer Res. 2012, 32, 2727–2734. [Google Scholar]
- Liao, Y.R.; Kuo, P.C.; Huang, S.C.; Liang, J.W.; Wu, T.S. An efficient total synthesis of Benzocamphorin H and its anti-inflammatory activity. Tetrahedron Lett. 2012, 53, 6202–6204. [Google Scholar] [CrossRef]
- Lee, C.L.; Huang, C.H.; Wang, H.C.; Chuang, D.W.; Wu, M.J.; Wang, S.Y.; Hwang, T.L.; Wu, C.C.; Chen, Y.L.; Chang, F.R.; et al. First total synthesis of antrocamphin A and its analogs as anti-inflammatory and anti-platelet aggregation agents. Org. Biomol. Chem. 2011, 9, 70–73. [Google Scholar] [CrossRef]
- Chen, J.J.; Lin, W.J.; Liao, C.H.; Shieh, P.C. Anti-inflammatory benzenoids from Antrodia camphorate. J. Nat. Prod. 2007, 70, 989–992. [Google Scholar] [CrossRef]
- Chiang, H.C.; Wu, D.P.; Cherng, I.W.; Ueng, C.H. A sesquiterpene lactone, phenyl and biphenyl compounds from Antrodia cinnamomea. Phytochemistry 1995, 39, 613–616. [Google Scholar] [CrossRef]
- Piggott, M.J.; Wege, D. The synthesis of ventilone A. Aus. J. Chem. 2000, 53, 749–754. [Google Scholar] [CrossRef]
- Rudyanto, M.; Kobayashi, K.; Honda, T. Synthetic studies on natural isocoumarins and isocarbostyril derivatives having an alkyl substituent at the 3-position: Total synthesis of scoparines A and B, and ruprechstyril. Heterocycles 2009, 79, 753–764. [Google Scholar] [CrossRef]
- Smith, L.R.; Mahoney, N.; Molyneux, R.J. Synthesis and structure-phytotoxicity relationships of acetylenic phenols and chromene metabolites, and their analogues, from the grapevine pathogen Eutypa lata. J. Nat. Prod. 2003, 66, 169–176. [Google Scholar] [CrossRef]
- Lee, C.K.; Chen, P.Y.; Lo, J.M.; Chung, W.B.; Chiu, T.W.; Yu, C.C. Compound extracted from Antrodia camphorate, medical composition containing the same and their application in producing the producing the medical formulations for preventing and treating rectal camcer. CN 103012358 A 20130403 2013. [Google Scholar]
- Sample Availability: Not available.
© 2013 by the authors; licensee MDPI, Basel, Switzerland. This article is an open access article distributed under the terms and conditions of the Creative Commons Attribution license (http://creativecommons.org/licenses/by/3.0/).
Share and Cite
Chen, P.-Y.; Wu, J.-D.; Tang, K.-Y.; Yu, C.-C.; Kuo, Y.-H.; Zhong, W.-B.; Lee, C.-K. Isolation and Synthesis of a Bioactive Benzenoid Derivative from the Fruiting Bodies of Antrodia camphorata . Molecules 2013, 18, 7600-7608. https://doi.org/10.3390/molecules18077600
Chen P-Y, Wu J-D, Tang K-Y, Yu C-C, Kuo Y-H, Zhong W-B, Lee C-K. Isolation and Synthesis of a Bioactive Benzenoid Derivative from the Fruiting Bodies of Antrodia camphorata . Molecules. 2013; 18(7):7600-7608. https://doi.org/10.3390/molecules18077600
Chicago/Turabian StyleChen, Pi-Yu, Jen-Der Wu, Kai-Yih Tang, Chieh-Chou Yu, Yueh-Hsiung Kuo, Wen-Bin Zhong, and Ching-Kuo Lee. 2013. "Isolation and Synthesis of a Bioactive Benzenoid Derivative from the Fruiting Bodies of Antrodia camphorata " Molecules 18, no. 7: 7600-7608. https://doi.org/10.3390/molecules18077600
APA StyleChen, P.-Y., Wu, J.-D., Tang, K.-Y., Yu, C.-C., Kuo, Y.-H., Zhong, W.-B., & Lee, C.-K. (2013). Isolation and Synthesis of a Bioactive Benzenoid Derivative from the Fruiting Bodies of Antrodia camphorata . Molecules, 18(7), 7600-7608. https://doi.org/10.3390/molecules18077600
