New Amide Derivatives of Quinoxaline 1,4-di-N-Oxide with Leishmanicidal and Antiplasmodial Activities
Abstract
:1. Introduction
2. Results and Discussion
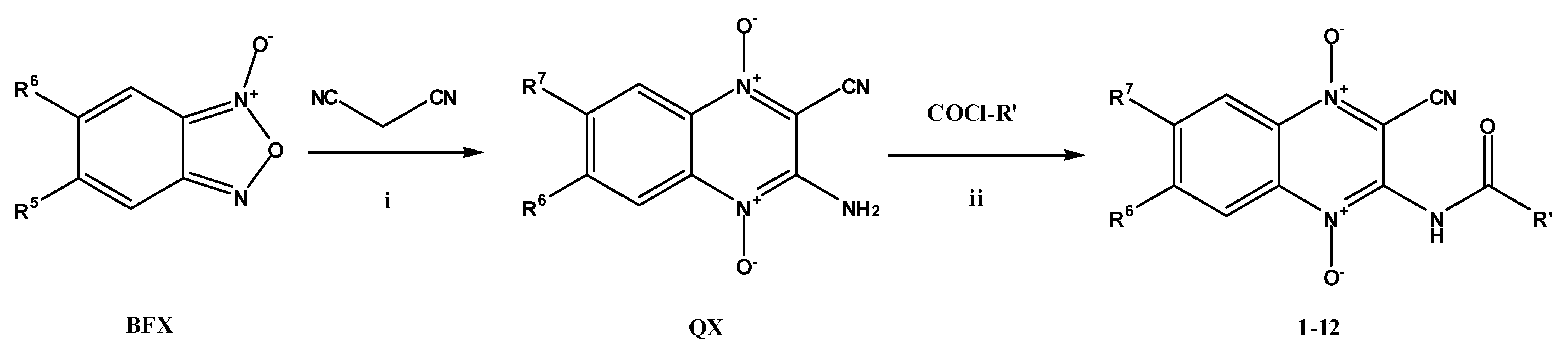
2.1. Chemistry

2.2. Pharmacology and Structure-Activity Relationship
| Compound | R7 | R’ | IC50 (µM) a | IC50 (µM) b | IC50 (µM) c | CC50 (µM) d | SI e |
|---|---|---|---|---|---|---|---|
| 1 | H | cyclopropyl | 18.3 | 3.6 | - | 55.1 | 15.3 |
| 2 | Cl | cyclopropyl | 13.3 | 3.5 | - | 144.6 | 40.8 |
| 3 | CH3 | cyclopropyl | 31 | 3.5 | - | 52.8 | 15 |
| 4 | CH3O | cyclopropyl | 27.8 | 3.9 | - | 145.6 | 36.7 |
| 5 | Cl | cyclopentyl | 2.9 | - | 14.9 | NT | NT |
| 6 | Cl | cyclohexyl | 7.5 | 2.5 | - | 249 | 98 |
| 7 | CH3 | cyclohexyl | 21.6 | 4.6 | - | 240.1 | 52.2 |
| 8 | CH3O | cyclohexyl | 12.9 | 3.4 | - | 238.5 | 69.1 |
| 9 | H | methyl | 6.2 | - | 16.6 | NT | NT |
| 10 | H | acetyl | 5.3 | - | 11.9 | NT | NT |
| 11 | Cl | acetyl | 4.3 | - | 4 | NT | NT |
| 12 | Cl | 3-chloropropyl | 5.7 | - | 0.7 | NT | NT |
| CQ | 0.2 | ||||||
| Amph B | 0.2 | 0.15 | 13 | 62.1 |
3. Experimental
3.1. Chemical Synthesis
3.1.1. General Remarks
3.1.2. General Procedure for the Synthesis of Quinoxalines II
3.1.3. General Procedure for the Synthesis of New Amide Derivatives of Quinoxaline 1,4-di-N-Oxide
3.2. Pharmacology
3.2.1. In Vitro Antiplasmodial Drug Assay
3.2.2. In Vitro Cytotoxicity
3.2.3. In Vitro Antileishmanial Drug Assay
4. Conclusions
Acknowledgments
References
- WHO, World Malaria Report 2011. Available online: http://www.who.int/malaria/ world_malaria_report_2011/en/index.html (accessed on 9 December 2012).
- WHO, Leishmaniasis. Available online: http://www.who.int/entity/tdr/diseases-topics/ leishmaniasis/en/ (accessed on 9 December 2012).
- Amin, K.M.; Ismail, M.F.; Noaman, E.; Soliman, D.H.; Ammar, Y.A. New quinoxaline 1,4-di-N-oxides. Part 1: Hypoxia-selective cytotoxins and anticancer agents derived from quinoxaline 1,4-di-N-oxides. Bioorg. Med. Chem. 2006, 14, 6917–6923. [Google Scholar]
- Ganley, B.; Chowdhury, G.; Bhansali, J.; Daniels, J.S.; Gates, K.S. Redox-activated, hypoxia-selective DNA cleavage by quinoxaline 1,4-di-N-oxide. Bioorg. Med. Chem. 2001, 9, 2395–2401. [Google Scholar] [CrossRef]
- Torres, E.; Moreno, E.; Ancizu, S.; Barea, C.; Galiano, S.; Aldana, I.; Monge, A.; Pérez-Silanes, S. New 1,4-di-N-oxide-quinoxaline-2-ylmethylene isonicotinic acid hydrazide derivatives as anti-Mycobacterium tuberculosis agents. Bioorg. Med. Chem. Lett. 2011, 21, 3699–3703. [Google Scholar] [CrossRef]
- Moreno, E.; Ancizu, S.; Pérez-Silanes, S.; Torres, E.; Aldana, I.; Monge, A. Synthesis and antimycobacterial activity of new quinoxaline-2-carboxamide 1,4-di-N-oxide derivatives. Eur. J. Med. Chem. 2010, 45, 4418–4426. [Google Scholar] [CrossRef]
- Burguete, A.; Pontiki, E.; Hadjipavlou-Litina, D.; Ancizu, S.; Villar, R.; Solano, B.; Moreno, E.; Torres, E.; Perez-Silanes, S.; Aldana, I.; et al. Synthesis and biological evaluation of new quinoxaline derivatives as antioxidant and anti-inflammatory agents. Chem. Biol. Drug Des. 2011, 77, 255–267. [Google Scholar] [CrossRef]
- Patel, M.; Mc Hugh, R.J.; Cordova, B.C.; Klabe, R.M.; Erickson-Viitanen, S.; Trainor, G.L.; Rodgers, J.D. Synthesis and evaluation of quinoxalinones as HIV-1 reverse transcriptase inhibitors. Bioorg. Med. Chem. Lett. 2000, 10, 1729–1731. [Google Scholar] [CrossRef]
- Vicente, E.; Charnaud, S.; Bongard, E.; Villar, R.; Burguete, A.; Solano, B.; Ancizu, S.; Perez-Silanes, S.; Aldana, I.; Monge, A. Synthesis and antiplasmodial activity of 3-furyl and 3-thienylquinoxaline-2-carbonitrile 1,4-di-N-oxide derivatives. Molecules 2008, 13, 69–77. [Google Scholar] [CrossRef]
- Vicente, E.; Lima, L.M.; Bongard, E.; Charnaud, S.; Villar, R.; Solano, B.; Burguete, A.; Perez-Silanes, S.; Aldana, I.; Vivas, L.; et al. Synthesis and structure-activity relationship of 3-phenylquinoxaline 1,4-di-N-oxide derivatives as antimalarial agents. Eur. J. Med. Chem. 2008, 43, 1903–1910. [Google Scholar] [CrossRef]
- Burguete, A.; Estevez, Y.; Castillo, D.; Gonzalez, G.; Villar, R.; Solano, B.; Vicente, E.; Perez-Silanes, S.; Aldana, I.; Monge, A.; et al. Anti-leishmanial and structure-activity relationship of ring substituted 3-phenyl-1-(1,4-di-N-oxide quinoxalin-2-yl)-2-propen-1-one derivatives. Memorias do Instituto Oswaldo Cruz 2008, 103, 778–780. [Google Scholar] [CrossRef]
- Urquiola, C.; Vieites, M.; Aguirre, G.; Marin, A.; Solano, B.; Arrambide, G.; Noblía, P.; Lavaggi, M.L.; Torre, M.H.; Gonzalez, M.; et al. Improving anti-trypanosomal activity of 3-aminoquinoxaline-2-carbonitrile N-1,N-4-dioxide derivatives by complexation with vanadium. Bioorg. Med. Chem. 2006, 14, 5503–5509. [Google Scholar] [CrossRef]
- Loriga, M.; Nuvole, A.; Paglietti, G.; Fadda, G.; Zanetti, S. 2-Phenyl-6(7)-R substituted quinoxalines N-oxides. Synthesis, structure elucidation and antimicrobial activity. Eur. J. Med. Chem. 1990, 25, 527–532. [Google Scholar]
- Carta, A.; Corona, P.; Loriga, M. Quinoxaline 1,4-dioxide: A versatile scaffold endowed with manifold activities. Curr. Med. Chem. 2005, 12, 2559–2272. [Google Scholar]
- Barea, C.; Pabón, A.; Castillo, D.; Zimic, M.; Quiliano, M.; Galiano, S.; Pérez-Silanes, S.; Monge, A.; Deharo, E.; Aldana, I. New salicylamide and sulfonamide derivatives of quinoxaline 1,4-di-N-oxide with antileishmanial and antimalarial activities. Bioorg. Med. Chem. Lett. 2011, 21, 4498–4502. [Google Scholar] [CrossRef]
- Barea, C.; Pabón, A.; Galiano, S.; Pérez-Silanes, S.; González, G.; Deyssard, C.; Monge, A.; Deharo, E.; Aldana, I. Antiplasmodial and leishmanicidal activities of 2-cyano-3-(4-phenylpiperazine-1-carboxamido)quinoxaline 1,4-dioxide derivatives. Molecules 2012, 17, 9451–9461. [Google Scholar]
- Ortega, M.A.; Sainz, Y.; Montoya, M.E.; Jaso, A.; Zarranz, B.; Aldana, I.; Monge, A. Anti-Mycobacterium tuberculosis agents derived from quinoxaline-2-carbonitrile and quinoxaline-2-carbonitrile 1,4-di-N-oxide. Arzneimittelforschung 2002, 52, 113–119. [Google Scholar]
- González, M.; Cerecetto, H. Benzofuroxan and Furoxan. Chemistry and Biology. In Topics in Heterocyclic Chemistry. Bioactive Heterocycles V; Springer: Berlin, Germany, 2007; Volume 10, pp. 265–308. [Google Scholar]
- Ley, K.; Seng, F. Synthesis unter verwendung von benzofuroxan. Synthesis 1975, 7, 415–422. [Google Scholar]
- Croft, S.L.; Sundar, S.; Fairlamb, A.H. Drug resistance in leishmaniasis. Clin. Microbiol. Rev. 2006, 19, 111–126. [Google Scholar]
- Ancizu, S.; Moreno, E.; Torres, E.; Burguete, A.; Perez-Silanes, S.; Benitez, D.; Villar, R.; Solano, B.; Marin, A.; Aldana, I. Heterocyclic-2-carboxylic acid (3-cyano-1,4-di-N-oxidequinoxalin-2-yl)amide derivatives as hits for the development of neglected diseases drugs. Molecules 2009, 14, 2256–2272. [Google Scholar] [CrossRef]
- Cheeseman, G.W.H. Condensed Pyrazines; Cookson, R.F., Ed.; J. Wiley and Sons: New York, NY, USA, 1979; p. 35. [Google Scholar]
- Zarranz, B.; Jaso, A.; Aldana, I.; Monge, A. Synthesis and anticancer activity evaluation of new 2-alkylcarbonyl and 2-benzoyl-3-trifluoromethyl-quinoxaline 1,4-di-N-oxide derivatives. Bioorg. Med. Chem. 2004, 12, 3711–3721. [Google Scholar] [CrossRef]
- Desjardins, R.E.; Canfield, C.J.; Haynes, J.D.; Chulay, J.D. Quantitative assessment of antimalarial activity in vitro by a semiautomated microdilution technique. Antimicrob. Agents Chemother. 1979, 16, 710–718. [Google Scholar] [CrossRef]
- Sereno, D.; Lemesre, J.L. Use of an enzymatic micromethod to quantity amastigotes stage of Leishmania amazonensis in vitro. Parasitol. Res. 1997, 83, 401–403. [Google Scholar] [CrossRef]
- Cachet, N.; Hoakwie, F.; Bertani, S.; Bourdy, G.; Deharo, E.; Stien, D.; Houel, E.; Gornitzka, H.; Fillaux, J.; Chevalley, S. Antimalarial activity of simalikalactone E, a new quassinoid from Quassia amara L. (Simaroubaceae). Antimicrob. Agents Chemother. 2009, 53, 4393–4398. [Google Scholar]
- Muñoz, V.; Sauvain, M.; Mollinedo, P.; Callapa, J.; Rojas, I.; Gimenez, A.; Valentin, A.; Mallie, M. Antimalarial activity and cytotoxicity of (−)-roemrefidine isolated from the stem bark of Sparattanthelium amazonum. Planta Med. 1999, 65, 448–449. [Google Scholar] [CrossRef]
- Sample Availability: Samples of the compounds are available from the authors.
© 2013 by the authors; licensee MDPI, Basel, Switzerland. This article is an open access article distributed under the terms and conditions of the Creative Commons Attribution license (http://creativecommons.org/licenses/by/3.0/).
Share and Cite
Barea, C.; Pabón, A.; Pérez-Silanes, S.; Galiano, S.; Gonzalez, G.; Monge, A.; Deharo, E.; Aldana, I. New Amide Derivatives of Quinoxaline 1,4-di-N-Oxide with Leishmanicidal and Antiplasmodial Activities. Molecules 2013, 18, 4718-4727. https://doi.org/10.3390/molecules18044718
Barea C, Pabón A, Pérez-Silanes S, Galiano S, Gonzalez G, Monge A, Deharo E, Aldana I. New Amide Derivatives of Quinoxaline 1,4-di-N-Oxide with Leishmanicidal and Antiplasmodial Activities. Molecules. 2013; 18(4):4718-4727. https://doi.org/10.3390/molecules18044718
Chicago/Turabian StyleBarea, Carlos, Adriana Pabón, Silvia Pérez-Silanes, Silvia Galiano, German Gonzalez, Antonio Monge, Eric Deharo, and Ignacio Aldana. 2013. "New Amide Derivatives of Quinoxaline 1,4-di-N-Oxide with Leishmanicidal and Antiplasmodial Activities" Molecules 18, no. 4: 4718-4727. https://doi.org/10.3390/molecules18044718
APA StyleBarea, C., Pabón, A., Pérez-Silanes, S., Galiano, S., Gonzalez, G., Monge, A., Deharo, E., & Aldana, I. (2013). New Amide Derivatives of Quinoxaline 1,4-di-N-Oxide with Leishmanicidal and Antiplasmodial Activities. Molecules, 18(4), 4718-4727. https://doi.org/10.3390/molecules18044718

