Next Article in Journal
Chemical Composition and Nematicidal Activity of Essential Oil of Agastache rugosa against Meloidogyne incognita
Previous Article in Journal
Synthesis and Biological Evaluation of New 2-Azetidinones with Sulfonamide Structures
 
 
Font Type:
Arial Georgia Verdana
Font Size:
Aa Aa Aa
Line Spacing:
Column Width:
Background:
Article

Design, Synthesis and Antitumor Activity of Novel 4-Methyl-(3'S,4'S)-cis-khellactone Derivatives

School of Pharmaceutical Science, Shanxi Medical University, No 56, Xinjian Nan Road, Taiyuan 030001, Shanxi, China
*
Authors to whom correspondence should be addressed.
These authors contributed equally to this work.
Molecules 2013, 18(4), 4158-4169; https://doi.org/10.3390/molecules18044158
Submission received: 16 February 2013 / Revised: 27 March 2013 / Accepted: 2 April 2013 / Published: 8 April 2013

Abstract

:
An asymmetric synthesis of a series of novel 4-methyl-(3'S,4'S)-cis-khellactone derivatives 3ao is reported for the first time. Their structures were confirmed by 1H-NMR, 13C-NMR and MS. Their cytotoxic activity was evaluated by the MTT assay against three selected human cancer cell lines: HEPG-2 (human liver carcinoma), SGC-7901 (human gastric carcinoma), LS174T (human colon carcinoma). Some compounds showed high inhibitory activity against these human cancer cell lines. Among them, compound 3a exhibited strong cytotoxicity, with IC50 values ranging from 8.51 to 29.65 μM. The results showed that 4-methyl-cis-khellactone derivatives with S,S configuration could be a potential antitumor agents.

1. Introduction

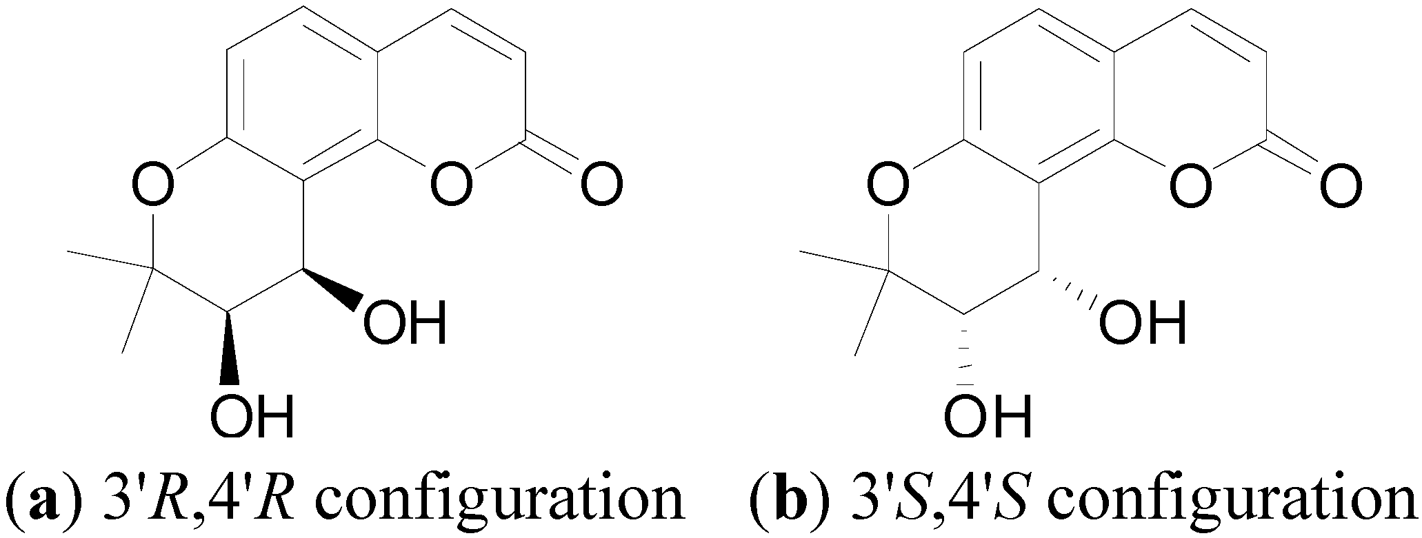
Khellactone coumarins, which constitute a small branch of the coumarin family, are notable because of their extensive bioactivities, including anti-HIV [1], anti-platelet aggregation [2], calcium antagonist activity [3], P-glycoprotein inhibitory ability, etc. [4,5]. Particullarly, the famous compound DCK [3'R,4'R-di-O-(camphanoyl-(+)-cis-khellactone] in this class, along with its derivatives, have received increasing attention due to their potent anti-HIV activity [6]. As shown in Figure 1, khellactone coumarins contain two chiral carbons, C-3' and C-4', and most of the reported compounds possess 3'R,4'R configuration. Lots of literature has shown that the rigid stereochemistry of 3'R and 4'R-configured khellactone derivatives is crucial for anti-HIV activity [7,8,9].
Figure 1. Structures of cis-khellactone with (a) 3'R,4'R or (b) 3'S,4'S configuration.
Figure 1. Structures of cis-khellactone with (a) 3'R,4'R or (b) 3'S,4'S configuration.
Molecules 18 04158 g001
Khellactone coumarins with 3'S,4'S configuration exist mainly in the plants Peucedanum praeruptorum Dunn and Peucedanum japonicum [10]. Recently, more and more researchers have paisd close attention to the calcium antagonist activity and P-glycoprotein inhibitory ability of the (3'S,4'S)-cis-khellactone coumarins [11,12], whereas, other activities of (3'S,4'S)-cis-khellactone coumarins, for example, antitumor activity, have been rarely reported.
Figure 2. Structures of 4-methyl-(3'S,4'S)-cis-khellactone derivatives 3ao.
Figure 2. Structures of 4-methyl-(3'S,4'S)-cis-khellactone derivatives 3ao.
Molecules 18 04158 g002
In the present study, a series of 4-methyl-(3'S,4'S)-cis-khellactone derivatives 3ao (Figure 2) were designed and asymmetrically synthesized. Furthermore, all the synthesized compounds were screened against three cultured human cancer cell lines (HEPG-2, SGC-7901, LS174T). The results showed that some compounds showed potent cytotoxicity and compound 3a in particular exhibited the most significant cytotoxicity against these cancer cell lines, especially against HEPG-2 cells.

2. Results and Discussion

2.1. Chemistry

Our synthetic strategy was first to obtain 4-methylseselin (1), and then to stereoselectively synthesize 4-methyl-(−)-cis-khellactone (2) and its derivatives 3ao. The corresponding synthetic routes are shown in Scheme 1.
Scheme 1. Synthesis of (3'S,4'S)-4-methyl-cis-khellactone derivatives 3ao.
Scheme 1. Synthesis of (3'S,4'S)-4-methyl-cis-khellactone derivatives 3ao.
Molecules 18 04158 g003
Reagent and conditions: (a) 3-chloro-3-methyl-1-butyne, K2CO3, KI in DMF, 70–80 °C, 3–4 days; (b) N,N-diethylaniline, reflux, 15 h; (c) K3Fe(CN)6, K2CO3, (DHQD)2-PYR, K2OsO2(OH)4, methane-sulfonamide, in t-BuOH/H2O (v/v, 1:1) at 0 °C, 1 day; (d) Various organic acids, DCC, DMAP in anhydrous CH2Cl2, reflux.
7-Hydroxy-4-methylcoumarin, a commercially available compound, was reacted with 3-chloro-3-methyl-1-butyne in DMF in the presence of anhydrous potassium carbonate and potassium iodide and then thermal rearrangement occurred in boiling diethylaniline to form 4-methylseselin (1) by following the procedures published previously [13,14].
4-Methylseselin (1) was asymmetrically dihdroxylated using (DHQD)2-PYR (hydroquinidine 2,5-diphenyl-4,6-pyrimidinediyl diether) as a chiral catalyst to give 4-methyl-(−)-cis-khellactone (2) [15]. Without further purification, compound 2 was directly esterified in anhydrous CH2Cl2 with various organic acids in the presence of dimethylaminopyridine (DMAP) and N,N'-dicyclohexylcarbodiimide (DCC), respectively, to produce 4-methyl-cis-khellactone derivatives 3ao [16].
For the determination of enantiomeric excess, 4-methylseselin (1) was oxidized with OsO4 to give racemic 4-methyl-cis-khellactones 2' [17] (Scheme 2). The asymmetric dihydroxylation for 2 is highly stereoselective, with good enantiomeric excess (74% e.e.) by chiral HPLC analysis. (DHQD)2-PYR leads primarily to the cis-diol with S, S configuration [15].
Scheme 2. Syntheses of 4-methyl-(±)-cis-khellactone 2'.
Scheme 2. Syntheses of 4-methyl-(±)-cis-khellactone 2'.
Molecules 18 04158 g004

2.2. In Vitro Biological Evaluation

All of the 4-methyl-(3'S,4'S)-cis-khellactone derivatives were evaluated for cytotoxic activity in vitro against three human cancer cell lines (HEPG-2, SGC-7901, LS174T) using the MTT assay. The antitumor activity was indicated in terms of IC50 (μM) values and the results are presented in Table 1.
Table 1. Cytotoxic activity of the synthesized compounds against three human cancer cell lines a.
Table 1. Cytotoxic activity of the synthesized compounds against three human cancer cell lines a.
CompoundIC50 ± SD (μM)
HEPG-2 SGC-7901LS174T
3a8.51 ± 3.0329.65 ± 6.1219.14 ± 3.68
3b23.64 ± 5.2959.81 ± 9.8547.17 ± 6.17
3c15.62 ± 4.1529.36 ± 6.5520.16 ± 4.79
3d78.23 ± 11.07>100>100
3e50.92 ± 8.0178.93 ± 16.2754.79 ± 9.45
3f67.54 ± 8.36>10055.20 ± 12.10
3g89.29 ± 17.8171.30 ± 12.76>100
3h22.69 ± 5.9031.14 ± 4.3219.60 ± 4.32
3i>10075.23 ± 8.09>100
3j>10089.57 ± 11.9291.13 ± 13.05
3k>100>10084.03 ± 9.98
3l60.92 ± 8.7322.64 ± 5.4438.51 ± 4.63
3m77.55 ± 10.6082.09 ± 13.76>100
3n86.97 ± 11.09>100>100
3o>10090.36 ± 15.27>100
a The data represented the mean of three experiments in triplicate and were expressed as means ± SD.
As shown in Table 1, some compounds showed promising anticancer activity for certain cancer cell lines in vitro and the changes of 3' and 4' substituents on the pyran ring had a significant influence on the cytotoxicity. For example, both compounds 3a and 3c exhibited potent inhibitory effects on the indicated cell lines, meanwhile, 3a with tigloyl group at 3' and 4' position showed the most significant cytotoxicity against the HEPG-2 cell lines, with an IC50 value of 8.51 μM. Compound 3b, compared to 3a, displayed low cytotoxicity against these cell lines, especially against the SGC-7901 and LS174T cell lines. The results revealed that the Z isomer of the 2-methyl-2-butenoyl group is superior to the E isomer for the antitumor activity of these two compounds. Additionally, compound 3h with an o–methylbenzoyl group showed noteworthy inhibitory activity against all three human cancer cell lines among all the synthesized compounds with aromatic groups at the 3' and 4' positions. For SGC-7901 cells, the most highly active compound was 3l with a p-bromobenzoyl group, which had an IC50 value of 22.64 μM. The preliminary results revealed that the tigloyl group at the 3' and 4' position on the pyran ring was favorable structural moiety to retain the anticancer activity. Further investigation to search for more potent groups is under way.

3. Experimental

3.1. General

All chemicals were purchased from Aladdin Chemicals Co. (Shanghai, China) and Energy Chemicals Co. (Shanghai, China), whereas chiral catalyst (DHQD)2-PYR was obtained from Sigma-Aldrich (St. Louis, MO, USA). The reactions were monitored by thin-layer chromatography (TLC) with silica gel GF254 plates (Qingdao Jiyida Silica Reagent Manufacture, Qingdao, China), which were visualized by UV light. Melting points were measured on a XT-4 melting point apparatus (Shanghai Precision Scientific Instrument Co. Ltd., Shanghai, China) without correction. The 1H-NMR spectra were acquired on Bruker Avance 600 MHz spectrometer (Bruker Corporation, Karlsruhe, Germany) from solutions in either deuterated chloroform or deuterated dimethylsulfoxide (DMSO-d6) containing tetramethylsilane as internal reference, while the 13C-NMR spectra were recorded at 150 MHz. ESI mass spectra were obtained on an API QTRAP 3200 LC-MS spectrometer (AB SCIEX Corporation, Boston, MA, USA). Optical rotations were measured on a Perkin–Elmer 241 polarimeter (PE Corporation, Nolwalk, CT, USA) at room temperature. The enatiomeric excesses (ee values) of the compounds were determined by Chiralpak AS-H chiral HPLC analysis by using a Shimadzu LC-10A instrument (Shimadzu, Suzhou, China), using n-hexane/2-propanol as eluent.

3.2. Procedure for the Synthesis of 4-Methylseselin (1)

To a solution of 4-methyl-7-hydroxycoumarin (1.76 g, 10 mmol), K2CO3 (3.45 g, 25 mmol), KI (1.66 g, 10 mmol) in DMF (20 mL) was added excess 3-chloro-3-methyl-1-butyne (6 mL), then the mixture was heated to 70–80 °C for 3–4 days. After the solid K2CO3 was filtered, the brown filtrate was poured into EtOAc and washed with water three times and dried over anhydrous Na2SO4. The solvent was removed in vacuo. The residue, without purification, was directly heated to reflux in 20 mL of N,N-diethylaniline for 15 h. The reaction mixture was cooled to room temperature, poured into EtOAc, and washed with 10% aqueous HCl, water and brine. The organic layer was separated, and solvent was removed in vacuo. The residue was purified by column chromatography with an eluant of petroleum ether-EtOAc = 10:1 to afford compound 1. Molecular formula (MW): C15H14O3 (242.27 g/mol); white solid; 23% Yield; mp: 139–141 °C (lit. [7]. 141–143 °C); 1H-NMR (DMSO-d6) δ 1.43 (6H, s, 2 × C-2'-CH3), 2.38 (3H, s, C-4-CH3), 5.93 (1H, d, J = 10.04 Hz, H-3'), 6.23 (1H, s, H-3), 6.74 (1H, d, J = 10.04 Hz, H-4'), 6.82 (1H, d, J = 8 .70 Hz, H-6), 7.54 (1H, d, J = 8.70 Hz, H-5); MS (ESI) m/z 264.9 ([M+Na]+).

3.3. Procedure for the Synthesis of 4-Methyl-(-)-cis-khellactone (2)

K3Fe(CN)6 (246 mg, 0.75 mmol) and K2CO3 (105 mg, 0.75 mmol) were dissolved in t-BuOH/H2O (1:1 v/v, 5 mL) at r.t. Then, hydroquinidine 2,5-diphenyl-4,6-pyrimidinediyl diether [(DHQD)2 -PYR], 4.4 mg, 0.005 mmol) and K2OsO2(OH)4 (2 mg, 0.005 mmol) were added to the solution. The mixture was stirred for 15 min. Then, the solution was cooled to 0 °C and methane-sulfonamide (24 mg, 0.25 mmol) added under stirring. When the solution turned from a light yellow to an orange color, compound 1 (61 mg, 0.25 mmol) was added. The mixture was stirred at 0 °C for 1 day. The reaction was monitored using TLC, and at completion, Na2S2O5 (1 g), water (2.5 mL), and CH2Cl2 (2.5 mL) were added. After being stirred for 4 h at room temperature, the mixture was extracted with CH2Cl2 three times. The combined organic layer was dried over Na2SO4, and then solvent was removed to afford crude compound 2. The crude compound was crystallized from petroleum ether/acetone to give pure 2. Molecular formula (MW): C15H16O5 (276.28 g/mol); white solid; 70% Yield; mp: 213–215 °C; [α]D20 = –59.5 (c 0.1, DMSO); 74% ee. HPLC: Chiralpak AS-H (hexane/i-PrOH, 90:10, flow rate 0.8 mL/min, wavelength = 323 nm), tR (minor) = 26.71 min, tR (major) = 68.88 min; 1H-NMR (DMSO-d6) δ 1.35 (3H, s, C-2'-CH3), 1.37 (3H, s, C-2'-CH3), 2.37 (3H, s, C-4-CH3), 3.61 (1H, br, H-4'), 4.90 (1H, br, H-3'), 5.14 and 5.21 (each 1H, br, OH × 2), 6.19 (1H, s, H-3), 6.77 (1H, d, J = 8 .75 Hz, H-6), 7.57 (1H, d, J = 8.75 Hz, H-5); 13C-NMR (DMSO-d6) δ 18.17, 20.98, 26.86, 60.23, 71.23, 78.68, 110.55, 111.71, 112.56, 113.42, 125.66, 153.28, 153.52, 155.58, 160.03; MS (ESI) m/z 277.09 ([M+H]+).

3.4. Procedure for the Synthesis of 4-Methyl-(3'S,4'S)-cis-Khellactone Derivatives 3ao

To a solution of crude compound 2 (138 mg, 0.5 mmol) in anhydrous CH2Cl2 (10 mL) tiglic acid (6 mmol), angelic acid (6 mmol), crotonic acid (6 mmol), isovaleric acid (4 mmol), 4-methoxybenzoic acid (3 mmol), 3,4-dimethoxybenzoic acid (3 mmol), 4-methoxycinnamic acid (2 mmol), o-toluic acid (3 mmol), 3-nitrobenzoic acid (3 mmol), 2-bromobenzoic acid (3 mmol), 3-bromobenzoic acid (3 mmol), 4-bromobenzoic acid (3 mmol), 2,3-dichlorobenzoic acid (2 mmol), 2,4-dichlorobenzoic acid (2 mmol) or 2,5-dichlorobenzoic acid (2 mmol) were added, respectively, followed by N,N’-dicyclo-hexylcarbodiimide (412 mg, 2 mmol) and 4-dimethylaminopyridine (8 mg, 0.064 mmol). The mixture was heated to reflux until the reaction was complete as monitored by TLC. After cooling to room temperature, filtered, and the filtrate was separated and purified by column chromatography (petroleum ether/acetone, 10:1) to give pure target compounds 3ao.
(3'S,4'S)-Di-O-tigloyl-4-methyl-(+)-cis-khellactone (3a). Molecular formula (MW): C25H28O7 (440.49 g/mol); white solid; 23% Yield; mp: 84–86 °C; [α ] D 20 : +3.8 (c 0.1, CH2Cl2). 1H-NMR (DMSO-d6) δ 1.39 (3H, s, C-2'-CH3), 1.43 (3H, s, C-2'-CH3), 1.71 (3H, br s, H-5''), 1.72 (3H, br s, H-5'''), 1.74 (3H, br d, H-4''), 1.76 (3H, br d, H-4'''), 2.39 (3H, s, C-4-CH3), 5.32 (1H, d, J = 4.92 Hz, H-3'), 6.21 (1H, s, H-3), 6.50 (1H, d, J = 4.92 Hz, H-4'), 6.66 (1H, m, H-3''), 6.72 (1H, m, H-3'''), 6.94 (1H, d, J = 8.86 Hz, 7.72 (1H, d, J = 8.86 Hz, H-5), H-6); 13C-NMR (CDCl3) δ 11.87, 12.05, 14.25, 14.33, 18.63, 22.27, 25.40, 60.64, 70.50, 77.36, 107.48, 112.06, 113.51, 113.92, 125.91, 127.96, 128.31, 137.08, 138.16, 152.04, 153.46, 156.47, 159.72, 166.50, 166.56; MS (ESI) m/z 462.7,463.9 ([M+Na]+).
(3'S,4'S)-Di-O-angeloyl-4-methyl-(+)-cis-khellactone (3b). Molecular formula (MW): C25H28O7 (440.49 g/mol); white solid; 31% Yield; mp: 151–153 °C; [α ] D 20 : +4.2 (c 0.1, CH2Cl2). 1H-NMR (CDCl3) δ 1.42 (3H, s, C-2'-CH3), 1.48 (3H, s, C-2'-CH3), 1.73 (3H, br d, H-4''), 1.75 (3H, br d, H-4'''), 1.78 (3H, br s, H-5''), 1.80 (3H, br s, H-5'''), 2.36 (3H, s, C-4-CH3), 5.39 (1H, d, J = 4.92 Hz, H-3'), 6.08 (1H, s, H-3), 6.65 (1H, d, J = 4.92 Hz, H-4'), 6.74 (1H, m, H-3''), 6.78 (1H, m, H-3'''), 6.83 (1H, d, J = 8.84 Hz, H-6), 7.49 (1H, d, J = 8.84 Hz, H-5); 13C-NMR (CDCl3) δ 11.91, 12.08, 14.28, 14.35, 18.65, 22.40, 25.41, 60.76, 70.54, 77.47, 107.60, 112.16, 113.58, 113.93, 125.87, 128.04, 128.41, 137.09, 138.16, 151.96, 153.58, 156.57, 159.74, 166.55, 166.62; MS (ESI) m/z 462.9 ([M+Na]+).
(3'S,4'S)-Di-O-crotonoyl-4-methyl-(+)-cis-khellactone (3c). Molecular formula (MW): C23H24O7 (412.43 g/mol); white solid; 45% Yield; mp: 63–65 °C; [α ] D 20 : +5.1 (c 0.1, CH2Cl2). 1H-NMR (CDCl3) δ 1.40 (3H, s, C-2'-CH3), 1.45 (3H, s, C-2'-CH3), 1.83 (3H, m, H-4'''), 1.85 (3H, m, H-4''), 2.35 (3H, s, C-4-CH3), 5.36 (1H, d, J = 4.88 Hz, H-3'), 5.78–5.84 (2H, m, H-2'', H-2'''), 6.07 (1H, s, H-3), 6.60 (1H, d, J = 4.88 Hz, H-4'), 6.82 (1H, d, J = 8.84 Hz, H-6), 6.90–6.98 (2H, m, H-3'', H-3'''), 7.49 (1H, d, J = 8.84 Hz, H-5); 13C-NMR (CDCl3) δ 17.98, 18.00, 18.64, 22.27, 25.23, 60.52, 70.20, 77.41, 107.23, 112.05, 113.50, 113.94, 121.79, 122.03, 125.95, 145.18, 145.96, 152.09, 153.41, 156.46, 159.73, 164.91, 165.06; MS (ESI) m/z 434.9,435.8 ([M+Na]+).
(3'S,4'S)-Di-O-isovaleryloxy-4-methyl-(+)-cis-khellactone (3d). Molecular formula (MW): C25H32O7 (444.52 g/mol); light yellow oil; 52% Yield; [α ] D 20 : +4.5 (c 0.1, CH2Cl2). 1H-NMR (CDCl3) δ 0.95–0.98 (12H, m, CH3×4), 1.41 (3H, s, C-2'-CH3), 1.43 (3H, s, C-2'-CH3), 2.10–2.30 (6H, m, COCH2 × 2, CH × 2), 2.37 (3H, s, C-4-CH3), 5.31 (1H, d, J = 4.79 Hz, H-3'), 6.10 (1H, s, H-3), 6.54 (1H, d, J = 4.79 Hz, H-4'), 6.81 (1H, d, J = 8.85 Hz, H-6), 7.49 (1H, d, J = 8.85 Hz, H-5); 13C-NMR (CDCl3) δ 18.67, 22.36, 22.41, 25.31, 25.43, 25.47, 43.05, 43.23, 60.49, 70.37, 107.24, 112.03, 113.50, 113.94, 125.98, 152.13, 153.32, 156.36, 159.72, 171.78; MS (ESI) m/z 467.3 ([M+Na]+).
(3'S,4'S)-Di-O-p-methoxybenzoyl-4-methyl-(-)-cis-khellactone (3e). Molecular formula (MW): C31H28O9 (544.55 g/mol); white solid; 19% Yield; mp: 177–179 °C; [α ] D 20 : −35.9 (c 0.1, CH2Cl2). 1H-NMR (CDCl3) δ 1.49 (3H, s, C-2'-CH3), 1.62 (3H, s, C-2'-CH3), 2.37 (3H, s, C-4-CH3), 3.82 (3H, s, OCH3), 3.83 (3H, s, OCH3), 5.64 (1H, d, J = 4.92 Hz, H-3'), 6.06 (1H, s, H-3), 6.79–6.82(4H, m, Ar-H), 6.90 (1H, d, J = 8.88 Hz, H-6), 6.92 (1H, d, J = 4.92 Hz, H-4'), 7.54 (1H, d, J = 8.88 Hz, H-5), 7.81–7.86 (4H, m, Ar-H); 13C-NMR (CDCl3) δ 18.67, 22.44, 25.62, 55.35, 55.40, 61.01, 70.93, 77.53, 107.49, 112.25, 113.50, 113.62, 113.99, 121.83, 122.40, 126.09, 131.84, 131.89, 151.88, 153.63, 156.60, 159.58, 163.29, 163.60, 164.88, 164.96; MS (ESI) m/z 566.8 ([M+Na]+).
(3'S,4'S)-bis-O-(3,4-Dimethoxybenzoyl)-4-methyl-(-)-cis-khellactone (3f). Molecular formula (MW): C33H32O11 (604.60 g/mol); white solid; 28% Yield; mp : 207–209 °C; [α ] D 20 : −10.0 (c 0.1, CH2Cl2). 1H-NMR (CDCl3) δ 1.51 (3H, s, C-2'-CH3), 1.65 (3H, s, C-2'-CH3), 2.38 (3H, s, C-4-CH3), 3.66 (3H, s, OCH3), 3.76 (3H, s, OCH3), 3.89 (6H, s, OCH3), 5.65 (1H, d, J = 4.92 Hz, H-3'), 6.08 (1H, s, H-3), 6.76 (1H, d, J = 8.49 Hz, Ar-H), 6.79(1H, d, J = 8.49 Hz, Ar-H), 6.91 (1H, d, J = 8.90 Hz, H-6), 6.95 (1H, d, J = 4.92 Hz, H-4'), 7.38 (1H, d, J = 1.92 Hz, Ar-H), 7.43 (1H, d, J = 1.92 Hz, Ar-H), 7.50 (1H, m, Ar-H), 7.55 (1H, d, J = 8.90 Hz, H-5), 7.56 (1H, m, Ar-H); 13C-NMR (CDCl3) δ 18.66, 22.25, 25.73, 55.59, 55.82, 55.96, 60.98, 71.02, 77.40, 107.33, 110.22, 112.19, 112.23, 112.45, 113.60, 114.00, 121.79, 122.41, 123.71, 123.92, 126.19, 129.70, 129.96, 148.62, 151.97, 153.00, 153.31, 153.58, 156.55, 159.63, 164.85, 164.89; MS (ESI) m/z 626.8 ([M+Na]+).
(3'S,4'S)-bis-O-p-Methoxycinnamoyl-4-methyl-(-)-cis-khellactone (3g). Molecular formula (MW): C35H32O9 (596.62 g/mol); white solid; 34% Yield; mp: 120–122 °C; [α ] D 20 : −59.5 (c 0.1, CH2Cl2). 1H-NMR (CDCl3) δ 1.47 (3H, s, C-2'-CH3), 1.56 (3H, s, C-2'-CH3), 2.37 (3H, s, C-4-CH3), 3.81 (3H, s, OCH3), 3.82 (3H, s, OCH3), 5.51 (1H, d, J = 5.00 Hz, H-3'), 6.10 (1H, s, H-3), 6.31 (2H, d, J = 15.93 Hz, 2 × ArCH=), 6.77 (1H, d, J = 5.00 Hz, H-4'), 6.82-6.85 (4H, m, Ar-H), 6.88 (1H, d, J = 8.92 Hz, H-6), 7.37–7.41 (4H, m, Ar-H), 7.52 (1H, d, J = 8.92 Hz, H-5), 7.62 (2H, d, J = 15.93 Hz, 2 × -COCH=); 13C-NMR (CDCl3) δ 18.70, 22.67, 25.22, 55.31, 55.34, 60.82, 70.35, 77.63, 107.39, 112.20, 113.29, 113.43, 113.65, 113.98, 114.16, 114.25, 114.53, 114.99, 125.96, 126.98, 127.26, 129.82, 129.96, 132.33, 132.41, 145.07, 145.70, 151.97, 153.56, 156.59, 159.75, 161.29, 161.53, 165.72, 166.02; MS (ESI) m/z 618.8 ([M+Na]+).
(3'S,4'S)-Di-O-o-methylbenzoyl-4-methyl-(-)-cis-khellactone (3h). Molecular formula (MW): C31H28O7 (512.55 g/mol); white solid; 47% Yield; mp: 196–198 °C; [α ] D 20 : −36.7 (c 0.1, CH2Cl2). 1H-NMR (CDCl3) δ 1.54 (3H, s, C-2'-CH3), 1.61 (3H, s, C-2'-CH3), 2.38 (3H, s, C-4-CH3), 2.43 (3H, s, CH3), 2.52 (3H, s, CH3), 5.66 (1H, d, J = 4.95 Hz, H-3'), 6.09 (1H, s, H-3), 6.89 (1H, d, J = 8.88 Hz, H-6), 6.95 (1H, d, J = 4.95 Hz, H-4'), 7.06 (1H, m, Ar-H), 7.13 (2H, m, Ar-H), 7.20 (1H, m, Ar-H), 7.30 (1H, m, Ar-H), 7.36 (1H, m, Ar-H), 7.53 (1H, d, J = 8.88 Hz, H-5), 7.65 (1H, m, Ar-H), 7.80 (1H, m, Ar-H); 13C-NMR (CDCl3) δ 18.69, 20.92, 21.56, 22.48, 25.61, 60.99, 71.01, 77.43, 107.41, 112.18, 113.64, 114.04, 125.31, 125.58, 126.11, 128.74, 129.61, 129.87, 130.50, 131.36, 131.57, 131.71, 132.24, 140.53, 140.94, 152.04, 153.55, 156.54, 159.66, 165.96, 166.25; MS (ESI) m/z 534.5 ([M+Na]+).
(3'S,4'S)-Di-O-m-nitrobenzoyl-4-methyl-(-)-cis-khellactone (3i). Molecular formula (MW): C29H22N2O11 (574.49 g/mol); white solid; 34% Yield; mp: 187–189 °C; [α ] D 20 : −10.0 (c 0.1, CH2Cl2). 1H-NMR (CDCl3) δ 1.54 (3H, s, C-2'-CH3), 1.65 (3H, s, C-2'-CH3), 2.40 (3H, s, C-4-CH3), 5.74 (1H, d, J = 4.95 Hz, H-3'), 6.07 (1H, s, H-3), 6.96 (1H, d, J = 8.93 Hz, H-6), 6.98 (1H, d, J = 4.95 Hz, H-4'), 7.58–7.63 (2H, m, Ar-H), 7.61 (1H, d, J = 8.93 Hz, H-5), 8.27 (2H, m, Ar-H), 8.39 (2H, m, Ar-H), 8.56 (1H, m, Ar-H), 8.60 (1H, m, Ar-H); 13C-NMR (CDCl3) δ 18.78, 22.78, 25.04, 62.48, 71.82, 77.30, 105.94, 112.22, 113.93, 114.21, 124.30, 124.46, 126.76, 127.69, 128.00, 129.78, 129.91, 130.71, 131.07, 135.41, 135.71, 148.07, 148.21, 152.29, 153.42, 156.40, 159.47, 163.46, 163.57; MS (ESI) m/z 596.7 ([M+Na]+).
(3'S,4'S)-Di-O-o-bromobenzoyl-4-methyl-(-)-cis-khellactone (3j). Molecular formula (MW): C29H22Br2O7 (642.29 g/mol); white solid; 42% Yield; mp: 178–180 °C; [α ] D 20 : −62.1 (c 0.1, CH2Cl2). 1H-NMR (600 MHz, CDCl3) δ 1.59 (3H, s, C-2'-CH3), 1.60 (3H, s, C-2'-CH3), 2.39 (3H, s, C-4-CH3), 5.73 (1H, d, J = 4.51 Hz, H-3'), 6.12 (1H, s, H-3), 6.87 (1H, d, J = 8.57 Hz, H-6), 6.94 (1H, d, J = 4.51 Hz, H-4'), 7.22 (1H, d, J = 7.31 Hz, Ar-H), 7.25 (1H, d, J = 7.31 Hz, Ar-H), 7.31 (2H, m, Ar-H), 7.53 (2H, m, Ar-H), 7.61 (1H, d, J = 7.57 Hz, Ar-H), 7.71 (1H, d, J = 7.57 Hz, Ar-H), 7.84 (1H, d, J = 8.57 Hz, H-5); 13C-NMR (150 MHz, CDCl3) δ 18.73, 22.25, 25.97, 62.13, 72.11, 77.45, 106.84, 112.19, 113.61, 114.12, 120.96, 121.41, 126.42, 127.06, 127.20, 131.03, 131.77, 132.05, 132.10, 132.68, 132.76, 133.74, 134.08, 152.16, 153.48, 156.43, 159.61, 165.20, 165.67; MS (ESI) m/z 662.0, 664.0, 666.5 ([M+Na]+).
(3'S,4'S)-Di-O-m-bromobenzoyl-4-methyl-(-)-cis-khellactone (3k). Molecular formula (MW): C29H22Br2O7 (642.29 g/mol); white solid; 36% Yield; mp: 201–203 °C; [α ] D 20 : −17.8 (c 0.1, CH2Cl2). 1H-NMR (CDCl3) δ 1.51 (3H, s, C-2'-CH3), 1.63 (3H, s, C-2'-CH3), 2.39 (3H, s, C-4-CH3), 5.66 (1H, d, J = 5.00 Hz, H-3'), 6.09 (1H, s, H-3), 6.92 (1H, d, J = 8.52 Hz, H-6), 6.93 (1H, d, J = 5.00 Hz, H-4'), 7.24–7.27 (2H, m, Ar-H), 7.58 (1H, d, J = 8.52 Hz, H-5), 7.63–7.68 (2H, m, Ar-H), 7.81–7.86 (2H, m, Ar-H), 7.95 (2H, m, Ar-H); 13C-NMR (CDCl3) δ 18.70, 22.49, 25.36, 61.70, 71.46, 77.31, 106.59, 112.31, 113.80, 114.08, 122.38, 122.53, 126.47, 128.35, 128.46, 129.96, 130.02, 131.08, 131.54, 132.55, 132.64, 135.97, 136.37, 152.01, 153.52, 156.45, 159.46, 164.04, 164.07; MS (ESI) m/z 662.1, 664.3, 666.5 ([M+Na]+).
(3'S,4'S)-Di-O-p-bromobenzoyl-4-methyl-(-)-cis-khellactone (3l). Molecular formula (MW): C29H22Br2O7 (642.29 g/mol); white solid; 40% Yield; mp: 192–194 °C; [α ] D 20 : −20.0 (c 0.1, CH2Cl2). 1H-NMR (CDCl3) δ 1.50 (3H, s, C-2'-CH3), 1.60 (3H, s, C-2'-CH3), 2.38 (3H, s, C-4-CH3), 5.64 (1H, d, J = 4.82 Hz, H-3'), 6.08 (1H, s, H-3), 6.91 (1H, d, J = 8.98 Hz, H-6), 6.92 (1H, d, J = 4.82 Hz, H-4'), 7.49 (4H, m, Ar-H), 7.56 (1H, d, J = 8.98 Hz, H-5), 7.72 (4H, m, Ar-H); 13C-NMR (CDCl3) δ 18.70, 22.49, 25.36, 61.68, 71.35, 77.35, 106.71, 112.24, 113.76, 114.13, 126.41, 128.10, 128.21, 128.52, 128.62, 129.62, 131.17, 131.57, 131.68, 131.81, 132.15, 152.17, 153.48, 156.49, 159.67, 164.60, 164.69; MS (ESI) m/z 662.6, 664.5, 666.5 ([M+Na]+).
(3'S,4'S)-bis-O-(2,3-dichlorobenzoyl)-4-methyl-(-)-cis-khellactone (3m). Molecular formula (MW): C29H20Cl4O7 (622.28 g/mol); white solid; 29% Yield; mp: 197–199 °C; [α ] D 20 : −34.6 (c 0.1, CH2Cl2). 1H-NMR (CDCl3) δ 1.55 (3H, s, C-2'-CH3), 1.61 (3H, s, C-2'-CH3), 2.40 (3H, s, C-4-CH3), 5.71 (1H, d, J = 4.88 Hz, H-3'), 6.14 (1H, s, H-3), 6.88 (1H, d, J = 8.85 Hz, H-6), 6.92 (1H, d, J = 4.88 Hz, H-4'), 7.18 (1H, m, Ar-H), 7.26 (1H, m, Ar-H), 7.49 (1H, m, Ar-H), 7.55 (1H, d, J = 8.85 Hz, H-5), 7.58 (1H, m, Ar-H), 7.61 (1H, m, Ar-H), 7.72 (1H, m, Ar-H); 13C-NMR (CDCl3) δ 18.73, 21.90, 25.99, 62.44, 72.49, 77.28, 106.58, 112.19, 113.67, 114.23, 126.60, 127.32, 127.36, 128.63, 129.67, 130.62, 131.19, 132.41, 132.60, 133.29, 133.45, 133.95, 134.33, 152.33, 153.42, 156.38, 159.66, 164.55, 165.12; MS (ESI) m/z 642.1, 644.2 ([M+Na]+).
(3'S,4'S)-bis-O-(2,4-dichlorobenzoyl)-4-methyl-(-)-cis-khellactone (3n). Molecular formula (MW): C29H20Cl4O7 (622.28 g/mol); white solid; 41% Yield; mp: 140–142 °C; [α ] D 20 : −73.1 (c 0.1, CH2Cl2). 1H-NMR (CDCl3) δ 1.56 (3H, s, C-2'-CH3), 1.57 (3H, s, C-2'-CH3), 2.39 (3H, s, C-4-CH3), 5.69 (1H, d, J = 5.18 Hz, H-3'), 6.12 (1H, s, H-3), 6.88 (1H, d, J = 5.18 Hz, H-4'), 6.89 (1H, d, J = 8.95 Hz, H-6), 7.21 (1H, m, Ar-H), 7.27 (1H, m, Ar-H), 7.37 (1H, J = 1.92 Hz, Ar-H), 7.44 (1H, J = 1.92 Hz, Ar-H), 7.55 (1H, d, J = 8.95 Hz, H-5), 7.71 (1H, d, J = 8.45 Hz, Ar-H), 7.82 (1H, d, J = 8.45 Hz, Ar-H); 13C-NMR (CDCl3) δ 18.72, 22.23, 25.65, 62.28, 72.12, 77.28, 106.57, 112.19, 113.67, 114.14, 126.50, 127.02, 127.12, 127.69, 128.69, 130.51, 130.89, 132.24, 133.11, 134.21, 134.73, 138.00, 138.71, 152.22, 153.44, 156.38, 159.53, 163.86, 164.38; MS (ESI) m/z 642.0, 644.2 ([M+Na]+).
(3'S,4'S)-bis-O-(2,5-dichlorobenzoyl)-4-methyl-(-)-cis-khellactone (3o). Molecular formula (MW): C29H20Cl4O7 (622.28 g/mol); white solid; 28% Yield; mp: 116–118 °C; [α ] D 20 : −71.2 (c 0.1, CH2Cl2). 1H-NMR (CDCl3) δ 1.58 (6H, s, 2 × C-2'-CH3), 2.40 (3H, s, C-4-CH3), 5.69 (1H, d, J = 4.95 Hz, H-3'), 6.14 (1H, s, H-3), 6.90 (1H, d, J = 8.88 Hz, H-6), 6.91 (1H, d, J = 4.95 Hz, H-4'), 7.29–7.40 (4H, m, Ar-H), 7.57 (1H, d, J = 8.88 Hz, H-5), 7.72 (1H, d, J = 2.30 Hz, Ar-H), 7.81 (1H, d, J = 2.30 Hz, Ar-H); 13C-NMR (CDCl3) δ 18.73, 22.17, 25.70, 62.32, 72.32, 106.38, 112.28, 113.73, 114.12, 126.61, 130.61, 131.08, 131.27, 131.72, 131.75, 131.87, 131.92, 132.13, 132.34, 132.60, 132.82, 152.13, 153.45, 156.33, 159.44, 163.56, 163.87; MS (ESI) m/z 642.0, 644.2 ([M+Na]+).

3.5. Procedure for the Synthesis of 4-methyl-(±)-cis-Khellactone (2')

Compound 1 (0.242 g, 1 mmol) was added to a solution of osmium tetroxide (10 mg, 0.04 mmol) and N-methylmorpholine-N-oxide monohydrate (0.129 g, 1.1 mmol) in t-BuOH-THF-H2O (10:3:1, 10 mL) and the mixture was stirred for 1 day at r.t. Saturated NaHSO3 solution (80 mL) was added, the mixture kept stirring for 2 h and extracted with CH2C12 (2 × 40 mL) and purified by column chromatography (petroleum ether/acetone, 5:1) to afford the pure compound 2'. Molecular formula (MW) : C15H16O5 (276.28 g/mol); white solid; 56% Yield; MS (ESI) m/z 277.09 ([M+H]+).

3.6. In Vitro Biological Evaluation

All the cell lines were cultured in Dulbecco’s modified Eagle’s medium (DMEM), supplemented with 10% (v/v) heat-inactivated fetal bovine serum (FBS), 100 units/mL penicillin, and 100 µg/mL streptomycin in a humidified incubator aerated with 5% CO2 at 37 °C. The MTT assay was used to evaluate the cytotoxic activities in vitro. Briefly, cells were harvested during logarithmic growth phase and seeded in 96 well plates at a density of 2 × 104 cells per well. After 24 h incubation at 37 °C in 5% CO2 atmosphere, cells were exposed to title compounds at concentrations from 5 to 200 μM for 48 h. Subsequently, MTT (25 μL, 5 mg/mL) was added to each well and the plates were incubated for a further 4 h at 37 °C. Then, the media were removed from all the wells and the resultant MTT formazan was solubilized in DMSO (200 μL). The absorbance values at 490 nm were measured using a microplate reader (Model 680, Bio-Rad, Hercules, CA, USA). The IC50 was calculated from the semi-logarithmic dose-response curves.

4. Conclusions

In conclusion, a series of novel 4-methyl-(3'S,4'S)-cis-khellactone derivatives were designed and asymmetrically synthesized. Antitumor evaluation indicated that some of these new compounds displayed high inhibitory activity against three human cancer cell lines. Among them, compound 3a with a tigloyl group at the 3',4' positions on the pyran ring exhibited the most potent cytotoxic activity and these results could be useful for the further modification to obtain more potent antitumor agents.

Acknowledgments

Financial supports from the National Natural Science Foundation of China (No. 81101687), the Natural Science Foundation of Shanxi Province (No. 2008021048), the Program for the Top Science and Technology Innovation Teams of Higher Learning Institutions of Shanxi Province, the Program for the Top Young and Middle-aged Innovative Talents of Higher Learning Institutions of Shanxi Province are gratefully acknowledged.

Conflicts of Interest

The authors declare no conflict of interest.

References

  1. Lee, T.T.; Kashiwada, Y.; Huang, L.; Snider, J.; Cosentino, M.; Lee, K.H. Suksdorfin: An anti-HIV principle from Lomutium suksdorfii, its structure-activity correlation with related coumarins, and synergistic effects with anti-AIDS nucleosides. Bioorgan. Med. Chem. 1994, 2, 1051–1056. [Google Scholar] [CrossRef]
  2. Tsai, I.L.; Wun, M.F.; Teng, C.M.; Ishikawa, T.; Chen, I.S. Anti–platelet aggregation constituents from Formosan Toddalia asiatica. Phytochemistry 1998, 48, 1377–1382. [Google Scholar] [CrossRef]
  3. Kozawa, T.; Sakai, K.; Uchida, M.; Okuyama, T.; Shibata, S. Calcium antagonistic action of a coumarin isolated from“Qian-Hu”, A Chinese traditional medicine. J. Pharm. Pharmacol. 1981, 33, 317–320. [Google Scholar] [CrossRef]
  4. Wu, J.Y.; Fong, W.F.; Zhang, J.X.; Leung, C.H.; Kwong, H.L.; Yang, M.S.; Li, D.; Cheung, H.Y. Reversal of multidrug resistance incancer cells by pyranocoumarins isolated from Radix Peucedani. Eur. J. Pharmacol. 2003, 473, 9–17. [Google Scholar] [CrossRef]
  5. Shen, X.L.; Chen, G.Y.; Zhu, G.Y.; Cai, J.Z.; Wang, L.; Hu, Y.J.; Fong, W.F. 3'-O, 4'-O-aromatic acyl substituted 7,8-pyranocoumarins: a new class of P-glycoprotein modulators. J. Pharm. Pharmacol. 2012, 64, 90–100. [Google Scholar] [CrossRef]
  6. Huang, L.; Kashiwada, Y.; Cosentino, M.L.; Fan, S.; Chen, C.H.; McPhai1, A.T.; Fujioka, T.; Mihashi, K.; Lee, K.H. Anti-AIDS agents. 15. synthesis and anti-HlV activity of dihydroseselins and related analogs. J. Med. Chem. 1994, 37, 3947–3955. [Google Scholar] [CrossRef]
  7. Xie, L.; Takeuchi, Y.; Cosentino, M.L.; Lee, K.H. Anti-AIDS agents. 37.synthesis and structure activity relationships of (3'R,4'R)-(+)-cis-khellactone derivatives as novel potent anti-HIV agents. J. Med. Chem. 1999, 42, 2662–2672. [Google Scholar] [CrossRef]
  8. Takeuchi, Y.; Xie, L.; Cosentino, M.L.; Lee, K.H. Anti-AIDS agents-XXVIII synthesis and anti-HIV activity of methoxy substituted 3',4'-Di-O-(-)-Camphanoyl-(+)-cis-khellactone (DCK) Analogues. Bioorg. Med. Chem. Lett. 1997, 7, 2573–2578. [Google Scholar] [CrossRef]
  9. Xie, L.; Yu, D.L.; Wild, C.; Allaway, G.; Turpin, J.; Smith, P.C.; Lee, K.H. Anti-AIDS agents. 52. synthesis and anti-HIV activity of hydroxymethyl (3'R,4'R)-3',4'-Di-O-(S)-camphanoyl-(+)-cis-khellactone derivatives. J. Med. Chem. 2004, 47, 756–760. [Google Scholar] [CrossRef]
  10. Chen, Z.X.; Huang, B.S.; She, Q.L.; Zeng, G.F. The chemical constituents of Bai-hua-qian-hu, the root of Peucedanum praeruptorum Dunn, (umbelliferae)-four new coumarins. Acta Pharm. Sin. 1979, 14, 486–495. [Google Scholar]
  11. Shen, X.L.; Chen, G.Y.; Zhu, G.Y.; Fong, W.F. (±)- 3'-O, 4'-O-dicynnamoyl-cis-khellactone, a derivative of (±)-praeruptorin A, reverses P-glycoprotein mediated multidrug resistance in cancer cells. Bioorgan. Med. Chem. 2006, 14, 7138–7145. [Google Scholar] [CrossRef]
  12. Fong, W.F.; Shen, X.L.; Globisch, C.; Wiese, M.; Chen, G.Y.; Zhu, G.Y.; Yu, Z.L.; Tse, A.K.; Hu, Y.J. Methoxylation of 3',4'-aromatic side chains improves P-glycoprotein inhibitory and multidrug resistance reversal activities of 7,8-pyranocoumarin against cancer cells. Bioorgan. Med. Chem. 2008, 16, 3694–3703. [Google Scholar] [CrossRef]
  13. Hlubucek, J.; Ritchie, E.; Taylor, W.C. Synthesis of 2,2-dimethylchromenes. Aust. J. Chem. 1971, 24, 2347–2354. [Google Scholar] [CrossRef]
  14. Murray, R.D.; Ballantyne, M.M.; Mathai, K.P. Claisen rearrangements III. Convenient synthesis of the coumarins, osthenol, demethylsuberosin and coumurrayin. Tetrahedron 1971, 27, 1247–1251. [Google Scholar] [CrossRef]
  15. Xie, L.; Crimmins, M.T.; Lee, K.H. Asymmetric synthesis of 3',4'-Di-O-(-)-camphanoyl-(+)-cis-khellactone (DCK), A potent anti-HIV agent. Tetrahedron Lett. 1995, 36, 4529–4532. [Google Scholar] [CrossRef]
  16. Wu, X.L.; Kong, L.Y.; Min, Z.D. Studies on structure modification of (+)-praeruptorinA. Acta Pharm. Sin. 2002, 37, 527–534. [Google Scholar]
  17. Ternbe, S.B.; Bhedi, D.N.; Souza, N.J.; Rupp, R.H. Synthesis of (±)praeruptorin A and related khellactone derivatives. Heterocycles 1987, 26, 1239–1249. [Google Scholar] [CrossRef]
  • Sample Availability: Samples of the compounds are available from the authors.

Share and Cite

MDPI and ACS Style

Ren, L.; Du, X.; Hu, M.; Yan, C.; Liang, T.; Li, Q. Design, Synthesis and Antitumor Activity of Novel 4-Methyl-(3'S,4'S)-cis-khellactone Derivatives. Molecules 2013, 18, 4158-4169. https://doi.org/10.3390/molecules18044158

AMA Style

Ren L, Du X, Hu M, Yan C, Liang T, Li Q. Design, Synthesis and Antitumor Activity of Novel 4-Methyl-(3'S,4'S)-cis-khellactone Derivatives. Molecules. 2013; 18(4):4158-4169. https://doi.org/10.3390/molecules18044158

Chicago/Turabian Style

Ren, Luhui, Xue Du, Mengnan Hu, Chaoqun Yan, Taigang Liang, and Qingshan Li. 2013. "Design, Synthesis and Antitumor Activity of Novel 4-Methyl-(3'S,4'S)-cis-khellactone Derivatives" Molecules 18, no. 4: 4158-4169. https://doi.org/10.3390/molecules18044158

APA Style

Ren, L., Du, X., Hu, M., Yan, C., Liang, T., & Li, Q. (2013). Design, Synthesis and Antitumor Activity of Novel 4-Methyl-(3'S,4'S)-cis-khellactone Derivatives. Molecules, 18(4), 4158-4169. https://doi.org/10.3390/molecules18044158

Article Metrics

Back to TopTop