Electrochemical Enzyme-Linked Immunosorbent Assay (ELISA) for α-Fetoprotein Based on Glucose Detection with Multienzyme-Nanoparticle Amplification
Abstract
:1. Introduction

2. Results and Discussion
2.1. Characterization of Ab2-AuNPs-Glucoamylase Conjugates


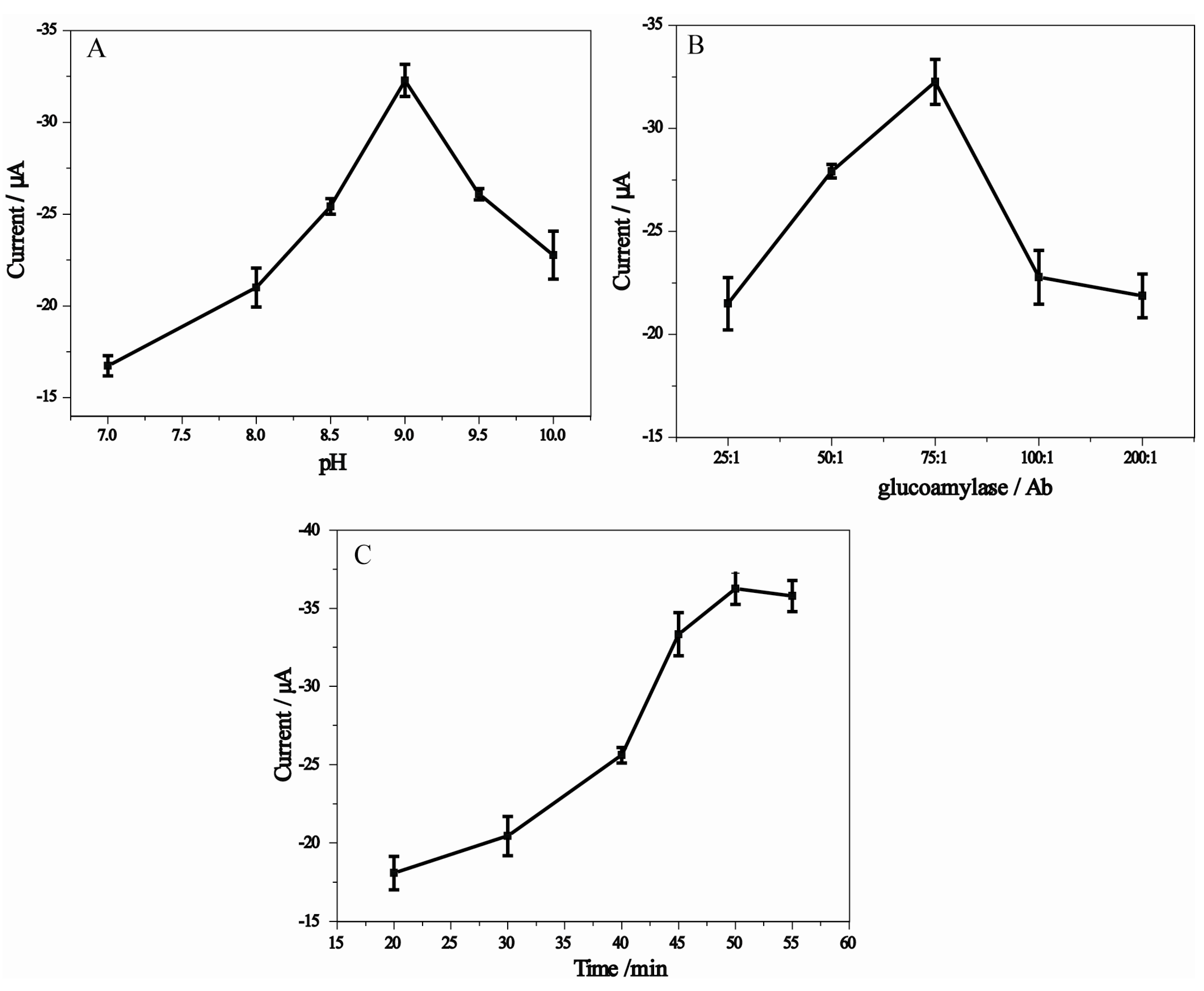
2.2. Optimization of Experimental Parameters

2.3. DPV Response of the Glucose Biosensor to AFP Concentration

2.4. Comparison of Electrochemical Responses
2.5. Selectivity and Repeatability
2.6. Application of Electrochemical ELISA in Human Serum Samples

| Sample | AFP found (ng/mL) | AFP added (ng/mL) | Total AFP detected (ng/mL) | Recovery (%) | RSD (n = 5) |
|---|---|---|---|---|---|
| 1 | 0 | 0.5 | 0.52 | 104 | 7.50% |
| 2 | 1.40 | 1.00 | 2.46 | 102.5 | 6.30% |
| 3 | 1.90 | 10.00 | 11.54 | 97.0 | 4.90% |
| 4 | 1.20 | 20.00 | 22.01 | 103.8 | 5.10% |
| 5 | 2.00 | 50.00 | 50.83 | 97.8 | 3.50% |
3. Experimental
3.1. Materials and Reagents
3.2. Apparatus
3.3. Synthesis of Colloidal Gold Particles
3.4. Procedures for the Synthesis of the Ab2-AuNPs-Glucoamylase Conjugates
3.5. Measurement Procedure
4. Conclusions
Acknowledgments
Conflicts of Interest
References
- Clark, D.; Mao, L. Cancer biomarker discovery: Lectin-based strategies targeting glycoproteins. Dis. Markers 2012, 33, 1–10. [Google Scholar] [CrossRef]
- Hill, O.T.; Mason, T.J.; Schwartz, S.W.; Foulis, P.R. Improving prostate cancer detection in veterans through the development of a clinical decision rule for prostate biopsy. BMC Urol. 2013, 13. [Google Scholar] [CrossRef]
- Ray, S.; Reddy, P.J.; Choudhary, S.; Raghu, D.; Srivastava, S. Emerging nanoproteomics approaches for disease biomarker detection: A current perspective. J. Proteomics 2011, 74, 2660–2681. [Google Scholar] [CrossRef]
- Anderson, K.S.; LaBaer, J. The sentinel within: Exploiting the immune system for cancer biomarkers. J. Proteome Res. 2005, 4, 1123–1133. [Google Scholar] [CrossRef]
- Wu, A.H. Markers for early detection of cardiac diseases. Scand. J. Clin. Lab. Invest. Suppl. 2005, 240, 112–121. [Google Scholar] [CrossRef]
- Notkins, A.L. Video gameplaying surgeons perform better on skills test. Sci. Am. 2007, Feb, 72–79. [Google Scholar] [CrossRef]
- Reynolds, M.A.; Kirchick, H.J.; Dahlen, J.R.; Anderberg, J.M.; McPherson, P.H.; Nakamura, K.K.; Laskowitz, D.T.; Valkirs, G.E.; Buechler, K.F. Early biomarkers of stroke. Clin. Chem. 2003, 49, 1733–1739. [Google Scholar] [CrossRef]
- Rusling, J.F.; Kumar, C.V.; Gutkind, J.S.; Patel, V. Measurement of biomarker proteins for point-of-care early detection and monitoring of cancer. Analyst 2010, 135, 2496–2511. [Google Scholar] [CrossRef]
- Daar, A.S.; Thorsteinsdottir, H.; Martin, D.K.; Smith, A.C.; Nast, S.; Singer, P.A. Top ten biotechnologies for improving health in developing countries. Nat. Genet. 2002, 32, 229–232. [Google Scholar] [CrossRef]
- Wang, J. Analytical Electrochemistry; Wiley: New York, NY, USA, 2006. [Google Scholar]
- Clark, L.C.; Lyons, C. Electrode systems for continuous monitoring in cardiovascular surgery. Ann. N. Y. Acad. Sci. 1962, 102, 29–45. [Google Scholar] [CrossRef]
- Montagnana, M.; Caputo, M.; Giavarina, D.; Lippi, G. Overview on self-monitoring of blood glucose. Clin. Chim. Acta 2009, 402, 7–13. [Google Scholar] [CrossRef]
- Newman, J.D.; Turner, A.P. Home blood glucose biosensors: A commercial perspective. Biosens. Bioelectron. 2005, 20, 2435–2453. [Google Scholar] [CrossRef]
- Yu, T.; Cheng, W.; Li, Q.; Luo, C.; Yan, L.; Zhang, D.; Yin, Y.; Ding, S.; Ju, H. Electrochemical immunosensor for competitive detection of neuron specific enolase using functional carbon nanotubes and gold nanoprobe. Talanta 2012, 93, 433–438. [Google Scholar] [CrossRef]
- Wang, J.; Liu, G.; Jan, M.R. Ultrasensitive electrical biosensing of proteins and DNA: Carbon-nanotube derived amplification of the recognition and transduction events. Electrochemical immunosensor for competitive detection of neuron specific enolase using functional carbon nanotubes and gold nanoprobe. J. Am. Chem. Soc. 2004, 126, 3010–3011. [Google Scholar] [CrossRef]
- Situ, B.; Cao, N.; Li, B.; Liu, Q.; Lin, L.; Dai, Z.; Zou, X.; Cai, Z.; Wang, Q.; Yan, X.; et al. Sensitive electrochemical analysis of BRAF V600E mutation based on an amplification-refractory mutation system coupled with multienzyme functionalized Fe3O4/Au nanoparticles. Biosens. Bioelectron. 2013, 43, 257–263. [Google Scholar] [CrossRef]
- Du, D.; Wang, L.; Shao, Y.; Wang, J.; Engelhard, M.H.; Lin, Y. Functionalized graphene oxide as a nanocarrier in a multienzyme labeling amplification strategy for ultrasensitive electrochemical immunoassay of phosphorylated p53 (S392). Anal. Chem. 2011, 83, 746–752. [Google Scholar] [CrossRef]
- Li, Q.; Zeng, L.; Wang, J.; Tang, D.; Liu, B.; Chen, G.; Wei, M. Magnetic mesoporous organic-inorganic NiCo2O4 hybrid nanomaterials for electrochemical immunosensors. ACS Appl. Mater. Interfaces 2011, 3, 1366–1373. [Google Scholar] [CrossRef]
- Lu, J.; Liu, S.; Ge, S.; Yan, M.; Yu, J.; Hu, X. Ultrasensitive electrochemical immunosensor based on Au nanoparticles dotted carbon nanotube-graphene composite and functionalized mesoporous materials. Biosens. Bioelectron. 2012, 33, 29–35. [Google Scholar] [CrossRef]
- Mani, V.; Chikkaveeraiah, B.V.; Patel, V.; Gutkind, J.S.; Rusling, J.F. Ultrasensitive immunosensor for cancer biomarker proteins using gold nanoparticle film electrodes and multienzyme-particle amplification. ACS Nano 2009, 3, 585–594. [Google Scholar] [CrossRef]
- Wang, G.; Huang, H.; Zhang, G.; Zhang, X.; Fang, B.; Wang, L. Dual amplification strategy for the fabrication of highly sensitive interleukin-6 amperometric immunosensor based on poly-dopamine. Langmuir 2011, 27, 1224–1231. [Google Scholar] [CrossRef]
- Zheng, L.; Jia, L.; Li, B.; Situ, B.; Liu, Q.; Wang, Q.; Gan, N. A sandwich HIV p24 amperometric immunosensor based on a direct gold electroplating-modified electrode. Molecules 2012, 17, 5988–6000. [Google Scholar] [CrossRef]
- Lai, G.; Yan, F.; Ju, H. Dual signal amplification of glucose oxidase-functionalized nanocomposites as a trace label for ultrasensitive simultaneous multiplexed electrochemical detection of tumor markers. Anal. Chem. 2009, 81, 9730–9736. [Google Scholar] [CrossRef]
- Mirkin, C.A.; Letsinger, R.L.; Mucic, R.C.; Storhoff, J.J. A DNA-based method for rationally assembling nanoparticles into macroscopic materials. Nature 1996, 382, 607–609. [Google Scholar] [CrossRef]
- Daniel, M.C.; Astruc, D. Gold nanoparticles: Assembly, supramolecular chemistry, quantum-size-related properties, and applications toward biology, catalysis, and nanotechnology. Chem. Rev. 2004, 104, 293–346. [Google Scholar] [CrossRef]
- Kim, D.J.; Lee, N.E.; Park, J.S.; Park, I.J.; Kim, J.G.; Cho, H.J. Organic electrochemical transistor based immunosensor for prostate specific antigen (PSA) detection using gold nanoparticles for signal amplification. Biosens. Bioelectron. 2010, 25, 2477–2482. [Google Scholar]
- Song, W.; Yan, Z.; Hu, K. Electrochemical immunoassay for CD10 antigen using scanning electrochemical microscopy. Biosens. Bioelectron. 2012, 38, 425–429. [Google Scholar] [CrossRef]
- Ambrosi, A.; Castaneda, M.T.; Killard, A.J.; Smyth, M.R.; Alegret, S.; Merkoci, A. Double-codified gold nanolabels for enhanced immunoanalysis. Anal. Chem. 2007, 79, 5232–5240. [Google Scholar] [CrossRef]
- Ackerson, C.J.; Jadzinsky, P.D.; Jensen, G.J.; Kornberg, R.D. Rigid, specific, and discrete gold nanoparticle/antibody conjugates. J. Am. Chem. Soc. 2006, 128, 2635–2640. [Google Scholar] [CrossRef]
- Tang, B.; Cao, L.; Xu, K.; Zhuo, L.; Ge, J.; Li, Q.; Yu, L. A new nanobiosensor for glucose with high sensitivity and selectivity in serum based on fluorescence resonance Energy transfer (FRET) between CdTe quantum dots and Au nanoparticles. Chemistry 2008, 14, 3637–3644. [Google Scholar] [CrossRef]
- Thanh, N.T.; Rosenzweig, Z. Development of an aggregation-based immunoassay for anti-protein a using gold nanoparticles. Anal. Chem. 2002, 74, 1624–1628. [Google Scholar] [CrossRef]
- Tang, J.; Tang, D.; Niessner, R.; Knopp, D.; Chen, G. Hierarchical dendritic gold microstructure-based aptasensor for ultrasensitive electrochemical detection of thrombin using functionalized mesoporous silica nanospheres as signal tags. Anal.Chim. Acta 2012, 720, 1–8. [Google Scholar] [CrossRef]
- Katherine, C.; Grabar, R.; Michael, B.; Michael, J. Preparation and characterization of Au colloid monolayers. Anal. Chem. 1995, 67, 735–743. [Google Scholar] [CrossRef]
- Bradford, M.M. A rapid and sensitive method for the quantitation of microgram quantities of protein utilizing the principle of protein-dye binding. Anal. Biochem. 1976, 72, 248–254. [Google Scholar] [CrossRef]
- Sample Availability: Samples of the compounds are available from the authors.
© 2013 by the authors; licensee MDPI, Basel, Switzerland. This article is an open access article distributed under the terms and conditions of the Creative Commons Attribution license (http://creativecommons.org/licenses/by/3.0/).
Share and Cite
Liu, Q.-L.; Yan, X.-H.; Yin, X.-M.; Situ, B.; Zhou, H.-K.; Lin, L.; Li, B.; Gan, N.; Zheng, L. Electrochemical Enzyme-Linked Immunosorbent Assay (ELISA) for α-Fetoprotein Based on Glucose Detection with Multienzyme-Nanoparticle Amplification. Molecules 2013, 18, 12675-12686. https://doi.org/10.3390/molecules181012675
Liu Q-L, Yan X-H, Yin X-M, Situ B, Zhou H-K, Lin L, Li B, Gan N, Zheng L. Electrochemical Enzyme-Linked Immunosorbent Assay (ELISA) for α-Fetoprotein Based on Glucose Detection with Multienzyme-Nanoparticle Amplification. Molecules. 2013; 18(10):12675-12686. https://doi.org/10.3390/molecules181012675
Chicago/Turabian StyleLiu, Qin-Lan, Xiao-Hui Yan, Xiao-Mao Yin, Bo Situ, Han-Kun Zhou, Li Lin, Bo Li, Ning Gan, and Lei Zheng. 2013. "Electrochemical Enzyme-Linked Immunosorbent Assay (ELISA) for α-Fetoprotein Based on Glucose Detection with Multienzyme-Nanoparticle Amplification" Molecules 18, no. 10: 12675-12686. https://doi.org/10.3390/molecules181012675
APA StyleLiu, Q.-L., Yan, X.-H., Yin, X.-M., Situ, B., Zhou, H.-K., Lin, L., Li, B., Gan, N., & Zheng, L. (2013). Electrochemical Enzyme-Linked Immunosorbent Assay (ELISA) for α-Fetoprotein Based on Glucose Detection with Multienzyme-Nanoparticle Amplification. Molecules, 18(10), 12675-12686. https://doi.org/10.3390/molecules181012675
