Simple Synthesis of Modafinil Derivatives and Their Anti-inflammatory Activity
Abstract
:1. Introduction


2. Results and Discussion
2.1. Chemistry


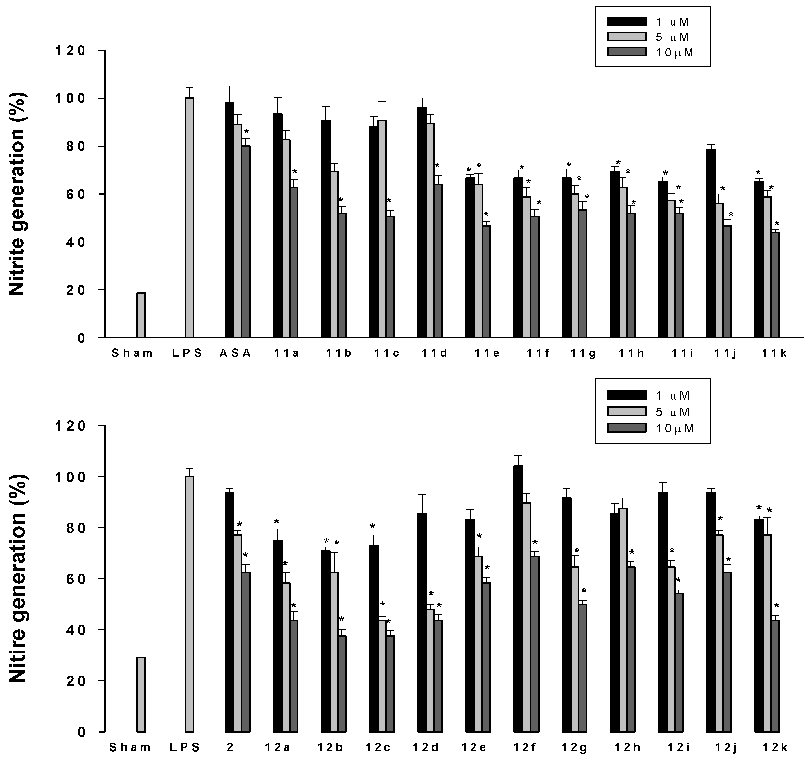
2.2. Biology

2.3. Reduction of the Level of Pro-Inflammatory Enzyme Expression

3. Experimental
3.1. General Procedures
3.2. General Procedure for the Preparation of Compounds 11a–k and 12a–k via Condensation of Acids 1, 5 and Amines
3.3. Biology
3.3.1. BV-2 Microglia Culture
3.3.2. Nitrite Assay
3.3.3. Polymerase Chain Reaction for iNOS and COX-2
4. Conclusions
Acknowledgements
References
- Ballon, J.S.; Feifel, D. A systematic review of modafinil: Potential clinical uses and mechanisms of action. J. Clin. Psychiatry 2006, 67, 554–566. [Google Scholar] [CrossRef]
- Lafon, L. Acetamide derivatives. U.S. Patent 4,177,290, 1979. [Google Scholar]
- Chatterjie, N.; Stables, J.P.; Wang, H.; Alexander, G.J. Anti-narcoleptic agent modafinil and its sulfone: A novel facile synthesis and potential anti-epileptic activity. Neurochem. Res. 2004, 29, 1481–1486. [Google Scholar] [CrossRef]
- De Risi, C.; Ferraro, L.; Pollini, G.P.; Tanganelli, S.; Valente, F.; Veronese, A.C. Efficient synthesis and biological evaluation of two modafinil analogues. Bioorg. Med. Chem. 2008, 6, 9904–9910. [Google Scholar]
- Zhou, J.; He, R.; Johnson, K.M.; Ye, Y.P.; Kozikowski, A.P. Piperidine-based nocaine/modafinil hybrid ligands as highly potent monoamine transporter inhibitors: Efficient drug discovery by rational lead hybridization. J. Med. Chem. 2004, 47, 5821–5824. [Google Scholar] [CrossRef]
- Robertson, P.; DeCory, H.H.; Madan, A.; Parkinson, A. In vitro inhibition and induction of human hepatic cytochrome P450 enzymes by modafinil. Drug Metab. Dispos. 2000, 28, 664–671. [Google Scholar]
- van Vliet, S.A.; Blezer, E.L.; Jongsma, M.J.; Vanwersch, R.A.; Olivier, B.; Philippens, I.H. Exploring the neuroprotective effects of modafinil in a marmoset Parkinson model with immunohistochemistry, magnetic resonance imaging and spectroscopy. Brain Res. 1189, 219–228. [Google Scholar]
- van Vliet, S.; Vanwersch, R.A.; Jongsma, M.J.; van der Gugten, J.; Olivier, B.; Philippens, I.H. Neuroprotective effects of modafinil in a marmoset Parkinson model: Behavioral and neurochemical aspects. Behav. Pharmacol. 2006, 17, 453–462. [Google Scholar] [CrossRef]
- Swanson, J.M.; Greenhill, L.L.; Lopez, F.A.; Sedillo, A.; Earl, G.Q.; Jiang, J.G.; Biederman, J. Modafinil film-coated tablets in children and adolescents with attention-deficit/hyperactivity disorder: Results or randomized, double-blind, placebo-controlled, fixed-dose astudy followed by abrupt discontinuation. J. Clin. Psychiatry 2006, 67, 137–147. [Google Scholar] [CrossRef]
- Campos, M.P.; Hassan, B.J.; Riechelmann, R.; Del Giglio, A. Cancer-related fatigue: A review. Rev. Assoc. Med. Bras. 2011, 57, 211–219. [Google Scholar] [CrossRef]
- Kraft, G.H.; Brown, J. Modafinil for fatigue in MS: A randomized placebo-controlled double-blind study. Neurology 2005, 65, 1995–1997. [Google Scholar] [CrossRef]
- Nieves, A.V.; Lang, A.E. Treatment of excessive daytime sleepiness in patients with Parkinson’s disease with modafinil. Clin. Neuropharmacol. 2002, 25, 111–114. [Google Scholar] [CrossRef]
- Vocci, F.J.; Elkashef, A. Pharmacotherapy and other treatments for cocaine abuse and dependence. Curr. Opin. Psychiatry 2005, 18, 265–270. [Google Scholar] [CrossRef]
- Rogers, J.; Luber-Narod, J.; Styren, S.D.; Civin, W.H. Expression of immune system-associated antigens by cells of the human central nervous system; relationship to the pathology of Alzheimer’s disease. Neurobiol. Aging 1988, 9, 339–349. [Google Scholar] [CrossRef]
- Castano, A.; Herrera, A.J.; Cano, J.; Machado, A. The degenerative effect of a single intranigral injection of LPS on the dopaminergic system is prevented by dexamethasone, and not mimicked by rh-TNF-alpha, IL-1beta and IFN-gamma. J. Neurochem. 2001, 81, 150–157. [Google Scholar]
- Kang, J.M.; Jung, J.C.; Kim, H.; Lim, H.; Jang, S.; Oh, S. Neuroprotective effect of benzylideneacetophenone derivative on the MPTP model of neurodegeneration in mice. Arch. Pharm. Res. 2008, 31, 1098–1107. [Google Scholar] [CrossRef]
- Osorio-Lozada, A.; Prisinzano, T.; Olivo, H.F. Synthesis and determination of the absolute stereochemistry of the enantiomers of adrafinil and modafinil. Tetrahedron: Asymmetry 2004, 15, 3811–3815. [Google Scholar]
- Olivo, H.F.; Osorio-Lozada, A. Peeples, T.L. Microbial oxidation/amidation of benzhydrylsulfanyl acetic acid. Synthesis of (+)-modafinil. Tetrahedron: Asymmetry 2004, 16, 3507–3511. [Google Scholar]
- Ternois, J.; Guillen, F.; Plaquevent, J.C.; Coquerela, G. Asymmetric synthesis of modafinil and its derivatives by enantioselective oxidation of thioethers: Comparison of various methods including synthesis in ionic liquids. Tetrahedron: Asymmetry 2007, 18, 2959–2964. [Google Scholar]
- Varghese, S.; Senanayake, T.; Murray-Stewart, T.; Doering, K.; Fraser, A.; Casero, R.A.; Woster, P.M. Polyaminohydroxamic acids and polyaminobenzamides as isoform selective histone deacetylase inhibitors. J. Med. Chem. 2008, 51, 2447–2456. [Google Scholar] [CrossRef]
- Cao, J.; Prisinzano, T.E.; Okunola, O.M.; Kopajtic, T.; Shook, M.; Katz, J.L.; Newman, A.H. SARs at the monoamine transporters for a novel series of modafinil analogues. ACS Med. Chem. Lett. 2010, 2, 48–52. [Google Scholar]
- He, R.; Kurome, T.; Giberson, K.M.; Johnson, K.M.; Kozikowski, A.P. Further structure-activity relationship studies of piperidine-based monoamine transporter inhibitors: Effects of piperidine ring stereochemistry on potency. Identification of norepinephrine transporter selective ligands and broad-spectrum transporter inhibitors. J. Med. Chem. 2005, 48, 7970–7979. [Google Scholar]
- Lawinski, M.; Sledzinski, Z.; Kubasik-Juraniec, J.; Spodnik, J.H.; Wozniak, M.; Boguslawski, W. Does resveratrol prevent free radical-induced acute pancreatitis? Pancreas 2005, 31, 43–47. [Google Scholar]
- Chen, L.; Salafranca, M.N.; Mehta, J.L. Cyclooxigenase inhibition decreases nitric oxide synthase activity in human platelets. Am. J. Physiol. 1997, 273, H1854–H1859. [Google Scholar]
- Perrin, D.D.; Armarego, L.F.; Perrin, D.R. Purification of Laboratory Chemicals; Pergamon Press: New York, NY, USA, 1980; p. 106. [Google Scholar]
- Sample Availability: Contact the authors.
© 2012 by the authors; licensee MDPI, Basel, Switzerland. This article is an open-access article distributed under the terms and conditions of the Creative Commons Attribution license (http://creativecommons.org/licenses/by/3.0/).
Share and Cite
Jung, J.-C.; Lee, Y.; Son, J.-Y.; Lim, E.; Jung, M.; Oh, S. Simple Synthesis of Modafinil Derivatives and Their Anti-inflammatory Activity. Molecules 2012, 17, 10446-10458. https://doi.org/10.3390/molecules170910446
Jung J-C, Lee Y, Son J-Y, Lim E, Jung M, Oh S. Simple Synthesis of Modafinil Derivatives and Their Anti-inflammatory Activity. Molecules. 2012; 17(9):10446-10458. https://doi.org/10.3390/molecules170910446
Chicago/Turabian StyleJung, Jae-Chul, Yeonju Lee, Jee-Young Son, Eunyoung Lim, Mankil Jung, and Seikwan Oh. 2012. "Simple Synthesis of Modafinil Derivatives and Their Anti-inflammatory Activity" Molecules 17, no. 9: 10446-10458. https://doi.org/10.3390/molecules170910446
APA StyleJung, J.-C., Lee, Y., Son, J.-Y., Lim, E., Jung, M., & Oh, S. (2012). Simple Synthesis of Modafinil Derivatives and Their Anti-inflammatory Activity. Molecules, 17(9), 10446-10458. https://doi.org/10.3390/molecules170910446
