Two New Cembrane-Based Diterpenoids from the Marine Soft Coral Sinularia crassa
Abstract
:1. Introduction

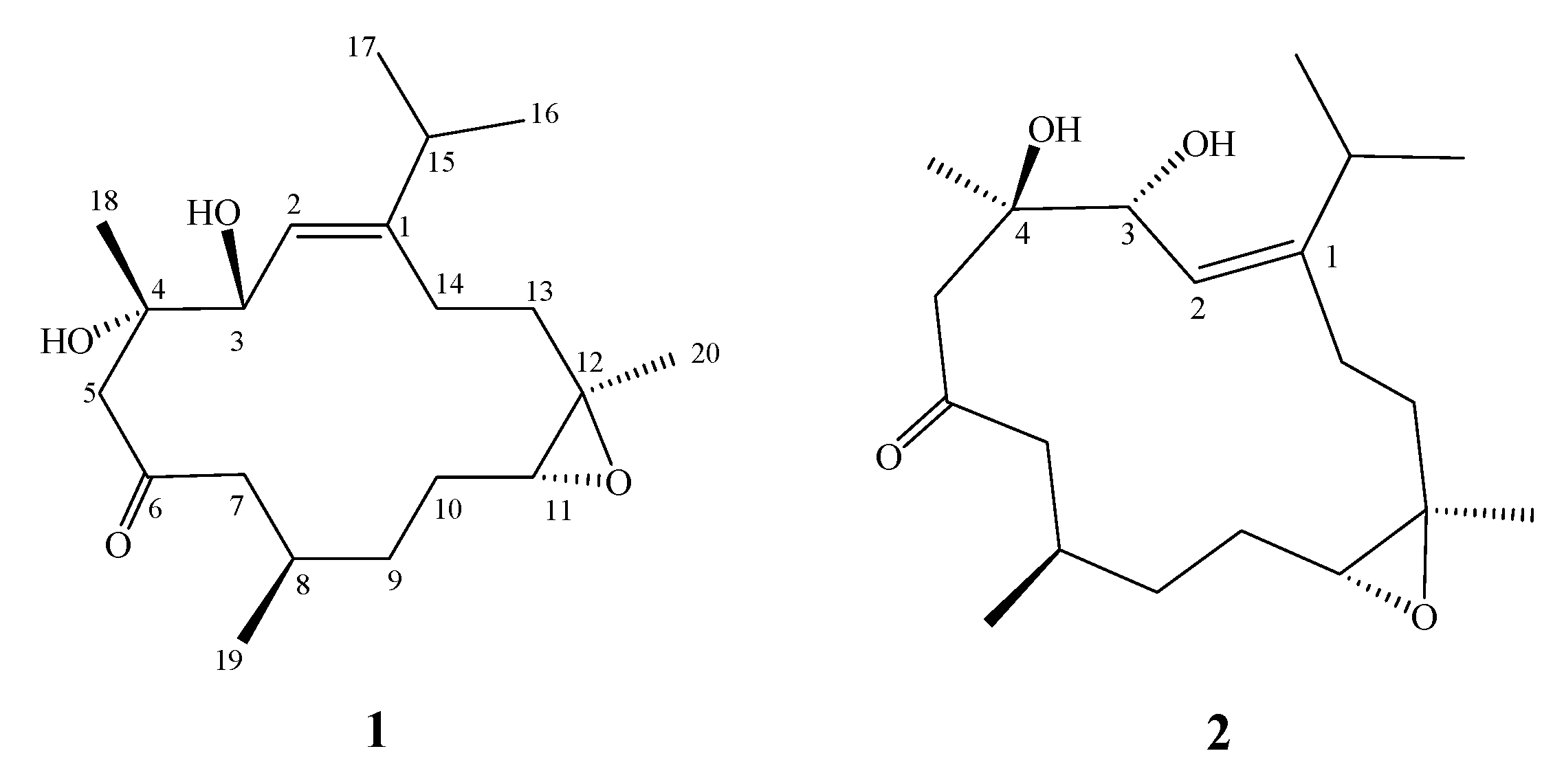
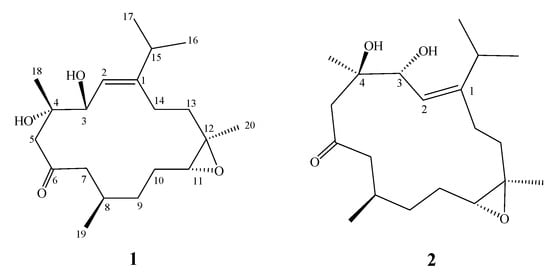
2. Results and Discussion

| 1 | 2 | |||||
|---|---|---|---|---|---|---|
| δH (J in Hz) a | δC (mult.) b | δH (J in Hz) a | δC (mult.) b | |||
| 1 | 152.8 (C) | 152.5 (C) | ||||
| 2 | 5.39 d (9.0) | 119.9 (CH) c | 5.07 d (8.0) | 120.6 (CH) | ||
| 3 | 4.37 d (8.5) | 70.8 (CH) | 4.62 d (8.0) | 71.1 (CH) | ||
| 4 | 74.7 (C) | 74.4 (C) | ||||
| 5 | 2.74 d (15.0); 2.67 d (15.0) | 51.6 (CH2) | 2.89 d (18.5); 2.57 d (18.5) | 46.2 (CH2) | ||
| 6 | 212.0 (C) | 213.0 (C) | ||||
| 7 | 2.63 dd (16.0, 9.0); 2.30 m | 51.9 (CH2) | 2.47 dd (14.5, 4.5); 2.05 m | 52.8 (CH2) | ||
| 8 | 2.13 m | 29.6 (CH) | 1.84 m | 31.4 (CH) | ||
| 9 | 1.40 m | 31.6 (CH2) | 1.24 m | 31.1 (CH2) | ||
| 10 | 1.91 m; 1.20 m | 25.0 (CH2) | 1.99 m; 1.18 m | 26.3 (CH2) | ||
| 11 | 2.79 dd (9.5, 4.0) | 63.7 (CH) | 2.65 dd (9.5, 2.5) | 62.8 (CH) | ||
| 12 | 61.1 (C) | 60.0 (C) | ||||
| 13 | 2.18 m; 1.10 m | 37.3 (CH2) | 2.10 m; 1.74 m | 33.1 (CH2) | ||
| 14 | 2.39 m; 2.16 m | 26.0 (CH2) | 2.21 m; 2.02 m | 25.7 (CH2) | ||
| 15 | 2.28 m | 32.0 (CH) | 3.08 m | 29.7 (CH) | ||
| 16 | 1.02 d (7.0) | 22.5 (CH3) | 1.05 d (7.0) | 21.7 (CH3) | ||
| 17 | 1.05 d (7.0) | 21.0 (CH3) | 1.06 d (7.0) | 21.2 (CH3) | ||
| 18 | 1.32 s | 24.6 (CH3) | 1.33 s | 22.0 (CH3) | ||
| 19 | 0.96 d (6.5) | 19.9 (CH3) | 0.98 d (6.5) | 20.0 (CH3) | ||
| 20 | 1.24 s | 16.4 (CH3) | 1.20 s | 18.6 (CH3) | ||
| 4-OH | 3.86 s | |||||


| Cell Lines | |||||
|---|---|---|---|---|---|
| Compound | HL60 | MDA-MB-231 | DLD-1 | HCT-116 | |
| 1 | NA b | NA b | NA b | NA b | |
| 2 | NA b | NA b | NA b | NA b | |
| Doxorubicin a | 0.058 | 6.31 | 5.71 | 0.51 | |
3. Experimental
3.1. General
3.2. Animal Material

3.3. Extraction and Separation
= +77 (c 0.2, CHCl3); IR (neat) νmax 3435, 2958, 2928, 2870, 1700, 1461 and 1377 cm−1; 1H and 13C NMR data, see Table 1; ESIMS m/z 361 [100, (M + Na)+]; HRESIMS m/z 361.2358 (calcd. for C20H34O4Na, 361.2355).
= +37.0 (c 0.1, CHCl3); IR (neat) νmax 3426, 2957, 2924, 2854, 1697, 1458 and 1375 cm−1; 1H and 13C NMR data, see Table 1; ESIMS m/z 361 [100, (M + Na)+]; HRESIMS m/z 361.2358 (calcd. for C20H34O4Na, 361.2355).3.4. Cytotoxicity Testing
3.5. Molecular Mechanics Calculations
4. Conclusions
Supplementary Materials
Acknowledgements
- Samples Availability: Not available.
References and Notes
- Blunt, J.W.; Copp, B.R.; Keyzers, R.A.; Munro, M.H.G.; Prinsep, M.R. Marine natural products. Nat. Prod. Rep. 2012, 29, 144–222. [Google Scholar] [CrossRef]
- Villanueva, H.E.; Setzer, W.N. Cembrene diterpenoids: Conformational studies and molecular docking to tubulin. Rec. Nat. Prod. 2010, 4, 115–123. [Google Scholar]
- Su, J.-H.; Ahmed, A.F.; Sung, P.-J.; Chao, C.-H.; Kuo, Y.-H.; Sheu, J.-H. Manaarenolides A-I, new diterpenoids from the soft coral Sinularia manaarensis. J. Nat. Prod. 2006, 69, 1134–1139. [Google Scholar] [CrossRef]
- Lu, Y.; Huang, C.-Y.; Lin, Y.-F.; Wen, Z.-H.; Su, J.-H.; Kuo, Y.-H.; Chiang, M. Y.; Sheu, J.-H. Anti-inflammatory cembranoids from the soft corals Sinularia querciformis and Sinularia granosa. J. Nat. Prod. 2008, 71, 1754–1759. [Google Scholar] [CrossRef]
- Chen, B.-W.; Chao, C.-H.; Su, J.-H.; Huang, C.-Y.; Dai, C.-F.; Wen, Z.-H.; Sheu, J.-H. A novel symmetric sulfur-containing biscembranoid from the Formosan soft coral Sinularia flexibilis. Tetrahedron Lett. 2010, 44, 5764–5766. [Google Scholar]
- Lu, Y.; Su, J.-H.; Huang, C.-Y.; Liu, Y.-C.; Kuo, Y.-H.; Wen, Z.-H.; Hsu, C.-H.; Sheu, J.-H. Cembranoids from the Soft Corals Sinularia granosa and Sinularia querciformis. Chem. Pharm. Bull. 2010, 58, 464–466. [Google Scholar] [CrossRef]
- Su, J.-H.; Lin, Y.-F.; Lu, Y.; Yeh, H.-C.; Wang, W.-H.; Fan, T.-Y.; Sheu, J-H. Oxygenated cembranoids from the cultured and wild-type soft corals Sinularia flexibilis. Chem. Pharm. Bull. 2009, 57, 1189–1192. [Google Scholar]
- Lu, Y.; Su, H.-J.; Chen, Y.-H.; Wen, Z.-H.; Sheu, J.-H.; Su, J.-H. Anti-inflammatory cembranoids from the Formosan soft coral Sinularia discrepans. Arch. Pharm. Res. 2011, 8, 1263–1267. [Google Scholar]
- Su, J.-H.; Wen, Z.-H. Bioactive cembrane-based diterpenoids from the soft coral Sinularia triangula. Mar. Drugs 2011, 9, 944–951. [Google Scholar] [CrossRef]
- Alley, M.C.; Scudiero, D.A.; Monks, A.; Hursey, M.L.; Czerwinski, M.J.; Fine, D.L.; Abbott, B.J.; Mayo, J.G.; Shoemaker, R.H.; Boyd, M.R. Feasibility of drug screening with panels of human tumor cell lines using a microculture tetrazolium assay. Cancer Res. 1988, 48, 589–601. [Google Scholar]
- Scudiero, D.A.; Shoemaker, R.H.; Paull, K.D.; Monks, A.; Tierney, S.; Nofziger, T.H.; Currens, M.J.; Seniff, D.; Boyd, M.R. Evaluation of a soluble tetrazolium/formazan assay for cell growth and drug sensitivity in culture using human and other tumor cell lines. Cancer Res. 1988, 48, 4827–4833. [Google Scholar]
- Chem3D Ultra, version 9.0.1.; CambridgeSoft Corporation: Cambridge, MA, USA, 2005.
- Radhika, P.; Rao, P.R.; Archana, J.; Rao, N.K. Anti-inflammatory activity of a new sphingosine derivative and cembrenoid diterpene (lobohedleolide) isolated from marine soft corals of Sinularia crassa Tixier-Durivault and Lobophytum species of the Andaman and Nicobar Islands. Biol. Pharm. Bull. 2005, 28, 1311–1313. [Google Scholar] [CrossRef]
- Anjaneyulu, V.; Radhika, P. Two new sphingosine derivatives from Sinularia crassa Tixier-Durivault of the Andaman and Nicobar Islands. Indian J. Chem. 1999, 38B, 457–460. [Google Scholar]
- Radhika, P.; Cabeza, M.; Bratoeff, E.; García, G. 5α-Reductase inhibition activity of steroids isolated from marine soft corals. Steroids 2004, 69, 439–444. [Google Scholar] [CrossRef]
- Chao, C.-H.; Chou, K.-J.; Huang, C.-Y.; Wen, Z.-H.; Hsu, C.-H.; Wu, Y.-C.; Dai, C.-F.; Sheu, J.-H. Bioactive cembranoids from the soft coral Sinularia crassa. Mar. Drugs 2011, 9, 1955–1968. [Google Scholar] [CrossRef]
© 2012 by the authors; licensee MDPI, Basel, Switzerland. This article is an open-access article distributed under the terms and conditions of the Creative Commons Attribution license (http://creativecommons.org/licenses/by/3.0/).
Share and Cite
Lin, Y.-S.; Lee, N.-L.; Lu, M.-C.; Su, J.-H. Two New Cembrane-Based Diterpenoids from the Marine Soft Coral Sinularia crassa. Molecules 2012, 17, 5422-5429. https://doi.org/10.3390/molecules17055422
Lin Y-S, Lee N-L, Lu M-C, Su J-H. Two New Cembrane-Based Diterpenoids from the Marine Soft Coral Sinularia crassa. Molecules. 2012; 17(5):5422-5429. https://doi.org/10.3390/molecules17055422
Chicago/Turabian StyleLin, Yun-Sheng, Nai-Lun Lee, Mei-Chin Lu, and Jui-Hsin Su. 2012. "Two New Cembrane-Based Diterpenoids from the Marine Soft Coral Sinularia crassa" Molecules 17, no. 5: 5422-5429. https://doi.org/10.3390/molecules17055422
APA StyleLin, Y.-S., Lee, N.-L., Lu, M.-C., & Su, J.-H. (2012). Two New Cembrane-Based Diterpenoids from the Marine Soft Coral Sinularia crassa. Molecules, 17(5), 5422-5429. https://doi.org/10.3390/molecules17055422
