Synthesis of Novel IP Agonists via N-Aminoethyl Cyclic Amines Prepared by Decarboxylative Ring-Opening Reactions
Abstract
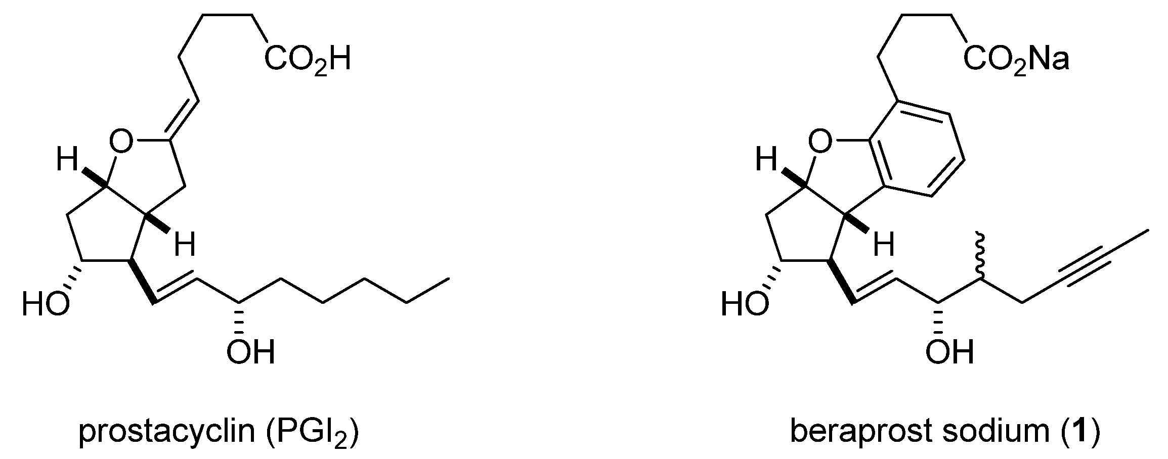
:1. Introduction


2. Results and Discussion
2.1. Retrosynthetic Analysis of 2

2.2. Decarboxylative Ring-Opening Reaction


2.3. Synthesis of 2

| Entry | Temp. (°C) | Yield (%) of 3 b at reaction time | ||
|---|---|---|---|---|
| 1 day | 2 days | 3 days | ||
| 1 | 70 | 17 | 27 | 34 |
| 2 | 90 | 46 | 61 | 69 |
| 3 | 110 | 81 | 92 | 95 |
| 4 | 130 | 96 | 96 | 96 |
| 5 | 150 | 95 | 98 | 99 |
| Compounds | Yield (%) b |
|---|---|
| 11 | 69.4 |
| 12 | 20.5 |
| Piperonic anhydride | 7.7 |
| 3 | 1.2 |
| Piperonic acid | 0.3 |

2.4. Biological Activity

2.5. Preparing of Derivatives of 2 as Novel IP Agonists

3. Experimental
General
3.1. One-Pot Preparation of 5 (Scheme 3)
3.2. Optimization of Reaction Conditions (Table 1)
3.4. O-Alkylation of 3 under Biphasic Conditions
3.5. Alternative Synthesis of 2
4. Conclusions
Acknowledgments
Conflict of Interest
- Sample Availability: Not available.
References and Notes
- Moncada, S.; Gryglewski, R.; Bunting, S.; Vane, J.R. An enzyme isolated from arteries transforms prostaglandin endoperoxides to an unstable substance that inhibits platelet aggregation. Nature 1976, 263, 663–665. [Google Scholar]
- Collins, P.W.; Djuric, S.W. Synthesis of therapeutically useful prostaglandin and prostacyclin analogs. Chem. Rev. 1993, 93, 1533–1564. [Google Scholar]
- Narita, S.; Takahashi, A.; Aoki, T.; Sato, H.; Satoh, S.; Yamada, S.; Kudo, M.; Yamaguchi, T.; Kogi, K.; Shibasaki, M. Syntheses and biological activities of chemically stable prostacyclin mimics with cis-bicyclo[4.3.0]nonene ring system: the novel homoisocarbacyclin analogues. Bioorg. Med. Chem. 1993, 1, 77–118. [Google Scholar]
- Skuballa, W.; Vorbrüggen, H. A new route to 6a-carbacyclins—Synthesis of a stable, biologically potent prostacyclin analogue. Angew. Chem. Int. Ed. 1981, 20, 1046–1048. [Google Scholar] [CrossRef]
- Skuballa, W.; Schillinger, E.; Sttirzebecher, C.-S.; Vorbrüggen, H. Synthesis of a new chemically and metabolically stable prostacyclin analogue with high and long-lasting oral activity. J. Med. Chem. 1986, 29, 313–315. [Google Scholar] [CrossRef]
- Ohno, K.; Nagase, H.; Matsumoto, K.; Nishiyama, H.; Nishio, S. Stereoselective synthesis of 5,6,7-trinor-4,8-inter-m-phenylene-PGI2 derivatives and their inhibitory activities to human platelet aggregation. Adv. Prostaglandin Thromboxane Leukot. Res. 1985, 15, 279–281. [Google Scholar]
- Nishio, S.; Matsuura, H.; Kanai, N.; Fukatsu, Y.; Hirano, T.; Nishikawa, N.; Kameoka, K.; Umetsu, T. The in vitro and ex vivo antiplatelet effect of TRK-100, a stable prostacyclin analog, in several species. Jpn. J. Pharmacol. 1988, 47, 1–10. [Google Scholar] [CrossRef]
- Umetsu, T.; Murata, T.; Tanaka, Y.; Osada, E.; Nishio, S. Antithrombotic effect of TRK-100, a novel, stable PGI2 analogue. Jpn. J. Pharmacol. 1987, 43, 81–90. [Google Scholar] [CrossRef]
- Akiba, T.; Miyazaki, M.; Toda, N. Vasodilator actions of TRK-100, a new prostaglandin I2 analogue. Br. J. Pharmacol. 1986, 89, 703–711. [Google Scholar] [CrossRef]
- Miyata, M.; Ueno, Y.; Sekine, H.; Ito, O.; Sakuma, F.; Koike, H.; Nishio, S.; Nishimaki, T.; Kasukawa, R. Protective effect of beraprost sodium, a stable prostacyclin analogue, in development of monocrotaline-induced pulmonary hypertension. J. Cardiovasc. Pharmacol. 1996, 27, 20–26. [Google Scholar] [CrossRef]
- Kurisu, Y.; Orihashi, K.; Sueda, T.; Kajihara, H.; Matsuura, Y. Protective effect of beraprost sodium, a stable prostacyclin analogue, on cardiac allograft vasculopathy in rats. Hiroshima J. Med. Sci. 1997, 46, 11–19. [Google Scholar]
- Meanwell, N.A.; Romine, J.L.; Seiler, S.M. Non-prostanoid prostacyclin mimetics. Drugs Future 1994, 19, 361–385. [Google Scholar]
- Wise, H.; Jones, R.L. Focus on prostacyclin and its novel mimetics. Trends Pharmacol. Sci. 1996, 17, 17–21. [Google Scholar] [CrossRef]
- Hayashi, K.; Nagamatsu, T.; Oka, T.; Suzuki, Y. Modulation of anti-glomerular basement membrane nephritis in rats by ONO-1301, a non-prostanoid prostaglandin I2 mimetic compound with inhibitory activity against thromboxane A2 synthase. Jpn. J. Pharmacol. 1997, 73, 73–82. [Google Scholar] [CrossRef]
- Minamoto, K. Beneficial effect of a stable PGI2 analogue (ONO-1301) on prostanoid release after reperfusion in canine left single lung allotransplantation model. Nippon Kyobu Geka Gakkai Zasshi 1997, 45, 1931–1942. [Google Scholar]
- Kondo, K.; Hamanaka, N. Prostacyclin mimetics with non-prostanoid structures (in Japanese with English abstract). Folia Pharmacologica Japonica 1995, 106, 181–191. [Google Scholar] [CrossRef]
- Tsubaki, K.; Taniguchi, K.; Tabuchi, S.; Okitsu, O.; Hattori, K.; Seki, J.; Sakane, K.; Tanaka, H. A novel pyridazinone derivative as a nonprostanoid PGI2 agonist. Bioorg. Med. Chem. Lett. 2000, 10, 2787–2790. [Google Scholar] [CrossRef]
- Hattori, K.; Tabuchi, S.; Okitsu, S.; Taniguchi, K. A simple stereoselective synthesis and biological evaluation of FR181157: Orally active prostacyclin mimetic. Bioorg. Med. Chem. Lett. 2003, 13, 4277–4279. [Google Scholar] [CrossRef]
- Nakamura, A.; Yamada, T.; Asaki, T. Synthesis and evaluation of N-acylsulfonamide and N-acylsulfonylurea prodrugs of a prostacyclin receptor agonist. Bioorg. Med. Chem. Lett. 2007, 15, 7720–7725. [Google Scholar] [CrossRef]
- Hayashi, R.; Sakagami, H.; Koiwa, M.; Makita, K. Cyclic amines and their use for blood platelet aggregation inhibitory pharmaceuticals. Jpn. Kokai Tokkyo Koho JP 106692, 2007.
- Morita, Y.; Kawamura, K. Preparation of N-phenylethylenediamine derivatives. Jpn. Kokai Tokkyo Koho JP 197397, 2007.
- Morita, Y.; Ishigaki, T.; Kawamura, K.; Iseki, K. Short and practical synthesis of N',N'-disubstituted N-aryl-1,2-ethylenediamines by a decarboxylative ring-opening reaction under nucleophilic conditions. Synthesis 2007, 2517–2523. [Google Scholar]
- Dermer, O.C.; Ham, G.E. Ethylenimine and other Aziridines; Academic Press: New York, NY, USA, 1969; pp. 237–239, and references cited therein. [Google Scholar]
- Meléndez, R.E.; Lubell, W.D. Synthesis and reactivity of cyclic sulfamidites and sulfamidates. Tetrahedron 2003, 59, 2581–2616, and references cited therein.. [Google Scholar]
- Poindexter, G.S. The use of 2-oxazolidinone as a latent aziridine equivalent. I. A facile method for the preparation of 2-substituted oxazolines. J. Heterocycl. Chem. 1983, 20, 1431–1433. [Google Scholar]
- Poindexter, G.S. Aminoethylation. US 4381401, 1983. [Google Scholar]
- Poindexter, G.S.; Owens, D.A.; Dolan, P.L.; Woo, E. The use of 2-oxazolidinones as latent aziridine equivalents. 2. Aminoethylation of aromatic amines, phenols, and thiophenols. J. Org. Chem. 1992, 57, 6257–6265. [Google Scholar]
- Rooney, P.C.; Nutt, M.O. Aminoethylation process for production of substituted ethylenediamines involving oxazolidinone ring opening with secondary amines or alkanolamines. US 5491263, 1996. [Google Scholar]
- Hata, Y.; Watanabe, M.; Shiratori, O.; Takase, S. Cytotoxic activity and fragmentation of aziridines in microsomes. Biochem. Biophys. Res. Commun. 1978, 80, 911–916. [Google Scholar] [CrossRef]
- Fishbein, L. Potential carcinogenic and mutagenic industrial chemicals, I. Alkylating agents. J. Toxicol. Environ. Health 1980, 6, 1133–1177. [Google Scholar] [CrossRef]
- Available anilines were converted to N-substituted chloroethylaniline hydrochloride salts via a three-step sequence that included N-acylation, selective reduction of the carbonyl group with BH3-THF, and hydrochloride salt formation (the details of synthesis of 4-chloro-N-(2-chloroethyl)aniline hydrochloride are described in “3. Experimental Section”).
- Sørensen, J.K.; Fock, J.; Pedersen, A.H.; Petersen, A.B.; Jennum, K.; Bechgaard, K.; Kilsa, K.; Geskin, V.; Cornil, J.; Bjørnholm, T.; et al. Fulleropyrrolidine end-capped molecular wires for molecular electronics; Synthesis, spectroscopic, electrochemical, and theoretical characterization. J. Org. Chem. 2011, 76, 245–263. [Google Scholar]
- Rudesill, J.T.; Severson, R.F.; Pomonis, J.G. The syntheses of N-arylaziridines. J. Org. Chem. 1971, 36, 3071–3076. [Google Scholar] [CrossRef]
- Harada, K.; Matsushita, A.; Yoshii, K.; Oda, M. Preparation of N-aryl-2-oxazolidones. Jpn. Kokai Tokkyo Koho JP 147578, 1998.
- Yin, J.; Buchwald, S.L. Pd-Catalyzed intermolecular amidation of aryl halides: The discovery that Xantphos can be trans-chelating in a Palladium complex. J. Am. Chem. Soc. 2002, 124, 6043–6048. [Google Scholar] [CrossRef]
- Mallesham, B.; Rajesh, B.M.; Rajamohan, R.; Srinivas, D.; Trehan, S. Highly efficient CuI-catalyzed coupling of aryl bromides with oxazolidinones using Buchwald’s protocol: A short route to Linezolid and Toloxatone. Org. Lett. 2003, 5, 963–966. [Google Scholar] [CrossRef]
- Ghosh, A.; Sieser, J.E.; Caron, S.; Couturier, M.; Dupont-Gaudet, K.; Girardin, M. Cu-Catalyzed N-arylation of oxazolidinones: An efficient synthesis of the k-opioid receptor agonist CJ-15161. J. Org. Chem. 2006, 71, 1258–1261. [Google Scholar] [CrossRef]
© 2012 by the authors; licensee MDPI, Basel, Switzerland. This article is an open-access article distributed under the terms and conditions of the Creative Commons Attribution license (http://creativecommons.org/licenses/by/3.0/).
Share and Cite
Morita, Y.; Ishigaki, T.; Kawamura, K.; Hayashi, R.; Isogaya, M.; Kitsukawa, M.; Miyamoto, M.; Uchida, M.; Iseki, K. Synthesis of Novel IP Agonists via N-Aminoethyl Cyclic Amines Prepared by Decarboxylative Ring-Opening Reactions. Molecules 2012, 17, 1233-1246. https://doi.org/10.3390/molecules17021233
Morita Y, Ishigaki T, Kawamura K, Hayashi R, Isogaya M, Kitsukawa M, Miyamoto M, Uchida M, Iseki K. Synthesis of Novel IP Agonists via N-Aminoethyl Cyclic Amines Prepared by Decarboxylative Ring-Opening Reactions. Molecules. 2012; 17(2):1233-1246. https://doi.org/10.3390/molecules17021233
Chicago/Turabian StyleMorita, Yasuhiro, Takeshi Ishigaki, Kuniaki Kawamura, Ryoji Hayashi, Masafumi Isogaya, Mika Kitsukawa, Mitsuko Miyamoto, Masashi Uchida, and Katsuhiko Iseki. 2012. "Synthesis of Novel IP Agonists via N-Aminoethyl Cyclic Amines Prepared by Decarboxylative Ring-Opening Reactions" Molecules 17, no. 2: 1233-1246. https://doi.org/10.3390/molecules17021233
APA StyleMorita, Y., Ishigaki, T., Kawamura, K., Hayashi, R., Isogaya, M., Kitsukawa, M., Miyamoto, M., Uchida, M., & Iseki, K. (2012). Synthesis of Novel IP Agonists via N-Aminoethyl Cyclic Amines Prepared by Decarboxylative Ring-Opening Reactions. Molecules, 17(2), 1233-1246. https://doi.org/10.3390/molecules17021233


