Reactions of Some New Thienothiophene Derivatives
Abstract
:1. Introduction
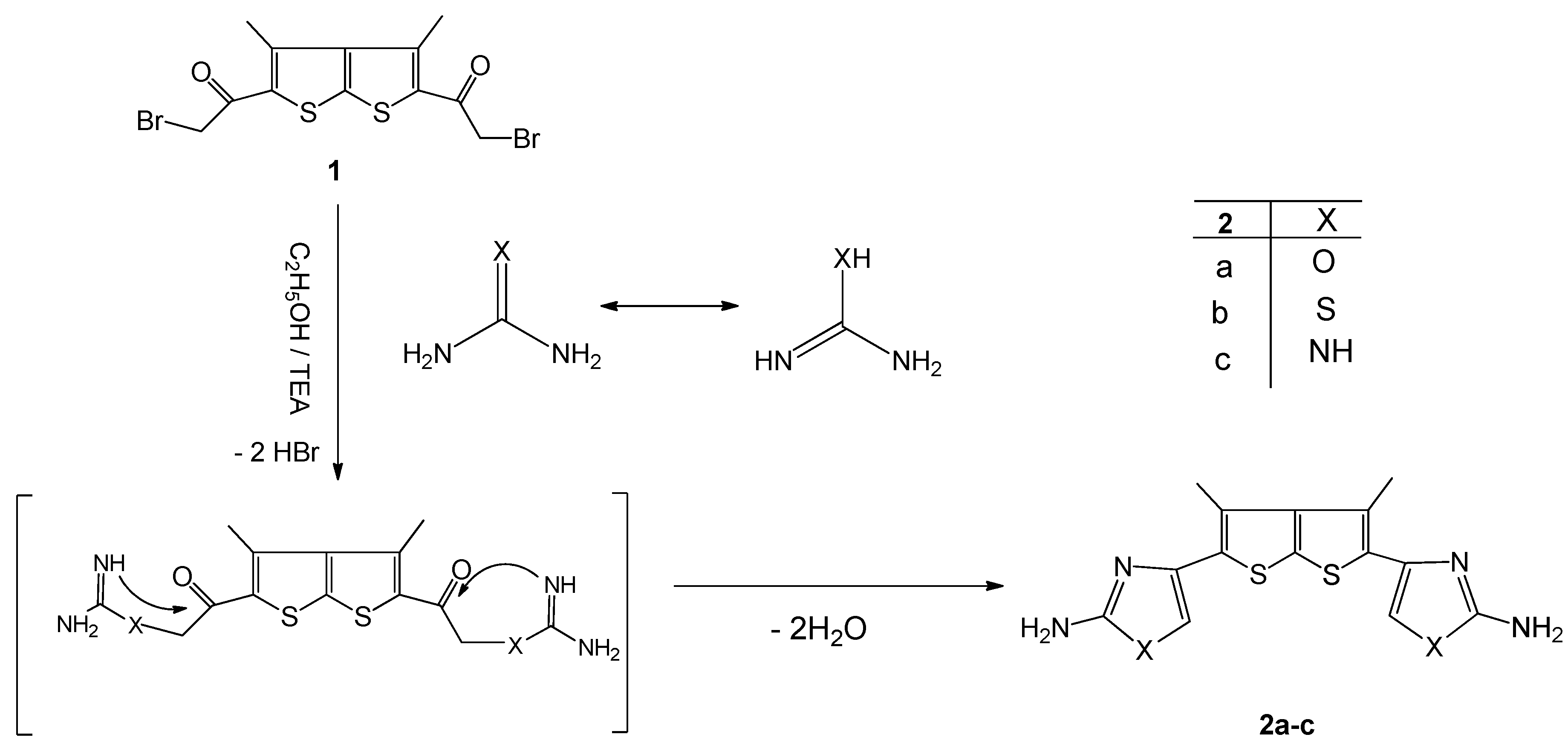
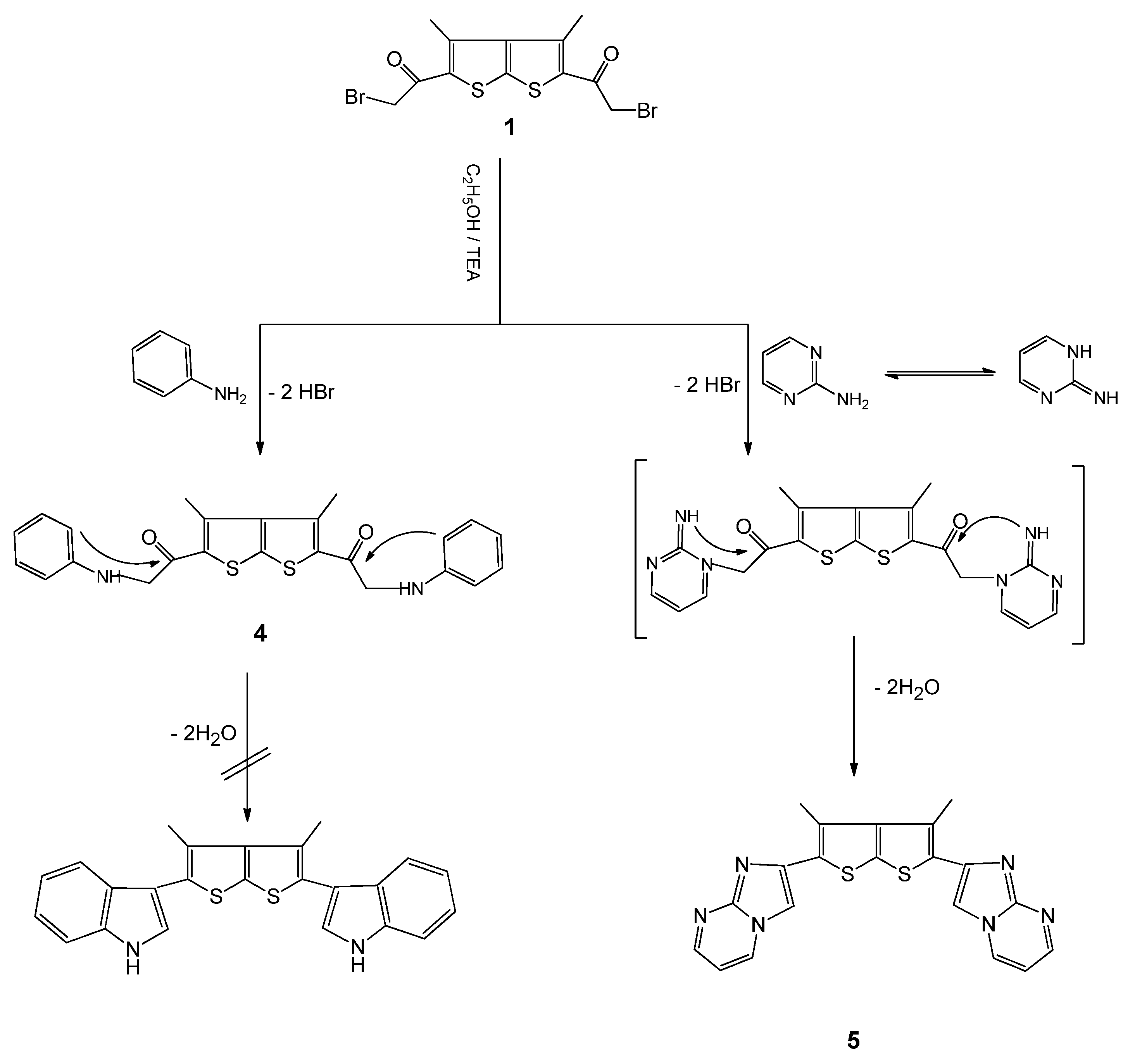
2. Results and Discussion



3. Experimental
3.1. General
3.2. General Procedure for the Reaction of Bis-2-Bromoethanone Derivative 1 with Urea, Thiourea and Guanidine: Preparation of Compounds 2a-c
3.3. General Procedure for the Reaction of Bis-2-Bromoethanone Derivative 1 wih Aniline and 2-Aminopyrimidine
4. Conclusions
Acknowledgements
References
- Mabkhot, Y.N. Synthesis and chemical characterisation of new bis-thieno[2,3-b]thiophene derivatives. Molecules 2010, 15, 3329–3337. [Google Scholar] [CrossRef]
- Mabkhot, Y.N.; Kheder, N.A.; Al-Majid, A.M. Facile and convenient synthesis of new thieno[2,3-b]-thiophene derivatives. Molecules 2010, 15, 9418–9426. [Google Scholar] [CrossRef]
- Mabkhot, Y.N. Synthesis and analysis of some bis-heterocyclic compounds containing sulphur. Molecules 2009, 14, 1904–1914. [Google Scholar] [CrossRef]
- Jarak, I.; Kralj, M.; Piantanida, I.; Suman, L.; Zinic, M.; Pavelic, K.; Karminski-Zamola, G. Novel cyano- and amidino-substituted derivatives of thieno[2,3-b]- and thien-o[3,2-b]thiophene-2-carboxanilides and thieno[30,20:4,5]thieno- and thieno[20,30:4,5]thieno[2,3-c]quinolones: Synthesis, photochemical synthesis, DNA binding, and antitumor evaluation. Bioorg. Med. Chem. 2006, 14, 2859–2868. [Google Scholar] [CrossRef]
- Peters, D.; Hornfeldt, A.B.; Gronowitz, S. Synthesis of various 5-substituted uracils. J. Heterocycl. Chem. 1990, 27, 2165–2173. [Google Scholar] [CrossRef]
- Kukolja, S.; Draheim, S.E.; Graves, B.J.; Hunden, D.C.; Pfeil, J.L.; Cooper, R.D.G.; Ott, J.L.; Couter, F.T. Orally absorbable cephalosporin antibiotics. 2. Structure-activity studies of bicyclic glycine derivatives of 7-aminodeacetoxycephalosporanic acid. J. Med. Chem. 1985, 28, 1896–1903. [Google Scholar] [CrossRef]
- Prugh, J.D.; Hartman, G.D.; Mallorga, P.J.; McKeever, B.M.; Michelson, S.R.; Murcko, M.A.; Schwam, H.; Smith, R.L.; Sondey, J.M.; Springer, J.P.; et al. New isomeric classes of topically active ocular hypotensive carbonic anhydrase inhibitors: 5-Substituted thieno[2,3-b]thiophene-2-sulfonamides and 5-substituted thieno[3,2-b]thiophene-2-sulfonamides. J. Med. Chem. 1991, 34, 1805–1818. [Google Scholar] [CrossRef]
- Hartman, G.D.; Ansdale, P.A. Substituted thieno[2,3-b]thiophene-2-sulfonamides as antiglaucoma agents. U.S. Patent 4,806,562, 1989. [Google Scholar]
- Litvinov, V.P. The latest achievements in thienothiophene chemistry. Russ. Chem. Rev. 2005, 74, 217–248. [Google Scholar] [CrossRef]
- Gather, M.C.; Heeny, M.; Zhang, W.; Whitehead, K.S.; Bradley, D.D.; McCulloch, I.; Campbell, A.J. An alignable fluorene thienothiophene copolymer with deep-blue electrolumenescent emission at 410 nm. Chem. Commun. (Camb.) 2008, 7, 1079–1081. [Google Scholar]
- He, M.; Li, J.; Sorensen, M.L.; Zhang, F.; Hancock, R.R.; Fong, H.H.; Pozdin, V.A.; Smilgies, D.; Malliaras, G.G. Alkylsubstituted thienothiophene semiconducting materials: Structure property relationships. J. Am. Chem. Soc. 2009, 131, 11930–11938. [Google Scholar]
- Heeney, M.; Bailey, C.; Genevicius, K.; Shkunov, M.; Sparrowe, D.; Tierney, S.; Mculloch, I. Stable polythiophene semiconductors incorporating thieno[2,3-b]thiophene. J. Am. Chem. Soc. 2005, 127, 1078–1079. [Google Scholar]
- Mashraqui, S.H.; Sangvikar, Y.S.; Meetsma, A. Synthesis and structures of thieno[2,3-b]thiophene incorporated [3.3]dithiacyclophanes. Enhanced first hyperpolarizability in an unsymmetrically polarized cyclophane. Tetrahedron Lett. 2006, 47, 5599–5602. [Google Scholar]
- Mashraqui, S.H.; Sangvikar, Y.; Ashraf, M.; Kumar, S.; Daub, E. Dipyridyl/pyridinium thieno[2,3-b]thiophenes as new atropisomeric systems. Synthesis, conformat-ional analysis and energy minimization. Tetrahedron 2005, 61, 3507–3513. [Google Scholar]
- Leriche, P.R.J.; Turbiez, M.M.; Monroche, V.; Allain, M.; Sauvage, F.X.; Roncali, J.; Frere, P.; Skabara, P.J. Linearly extended tetrathiafulvalene analogues with fused thiophene units as π-conjugated spacers. J. Mater. Chem. 2003, 13, 1324–1327. [Google Scholar]
- Lee, B.; Seshadri, V.; Palko, H.; Sotzing, G.A. Ring-sulfonated poly(thienothiophene). J. Adv. Mater. 2005, 17, 1792–1795. [Google Scholar] [CrossRef]
- Lim, E.; Jung, B.J.; Lee, J.; Shim, H.K.; Lee, J.I.; Yang, Y.S.; Do, L.M. Thin-film morphologies and solution-processable field-effect transistor behavior of a fluorine-thieno[3,2-b]thiophene-based conjugated copolymer. Macromolecules 2005, 38, 4531–4535. [Google Scholar]
- Kim, H.S.; Kim, Y.H.; Kim, T.H.; Noh, Y.Y.; Pyo, S.; Yi, M.H.; Kim, D.Y.; Kwon, S.K. Synthesis and studies on 2-hexylthieno[3,2-b]thiophene end-capped oligomers for OTFTs. Chem. Mater. 2007, 19, 3561–3567. [Google Scholar] [CrossRef]
- Shefer, N.; Rozen, S. The oxygenation of thieno[2,3-b]thiophenes. J. Org. Chem. 2010, 75, 4623–4625. [Google Scholar] [CrossRef]
- Hamdya, N.A.; Gamal-Eldeen, A.M.; Abdel-Aziz, H.A.; Fakhr, I.M.I. Modulation of carcinogen metabolizing enzymes by new fused heterocycles pendant to 5,6,7,8-pendant to 5,6,7,8-tetrahydronaphthalene derivatives. Eur. J. Med. Chem. 2010, 45, 463–470. [Google Scholar] [CrossRef]
- Sample Availability: Samples of compounds 1-7 are available from the authors.
© 2011 by the authors; licensee MDPI, Basel, Switzerland. This article is an open access article distributed under the terms and conditions of the Creative Commons Attribution license ( http://creativecommons.org/licenses/by/3.0/).
Share and Cite
Mabkhot, Y.N.; Al-Majid, A.M.; Alamary, A.S.; Warad, I.; Sedigi, Y. Reactions of Some New Thienothiophene Derivatives. Molecules 2011, 16, 5142-5148. https://doi.org/10.3390/molecules16065142
Mabkhot YN, Al-Majid AM, Alamary AS, Warad I, Sedigi Y. Reactions of Some New Thienothiophene Derivatives. Molecules. 2011; 16(6):5142-5148. https://doi.org/10.3390/molecules16065142
Chicago/Turabian StyleMabkhot, Yahia Nasser, Abdullah Mohammad Al-Majid, Abdullah Saleh Alamary, Ismail Warad, and Yamin Sedigi. 2011. "Reactions of Some New Thienothiophene Derivatives" Molecules 16, no. 6: 5142-5148. https://doi.org/10.3390/molecules16065142
APA StyleMabkhot, Y. N., Al-Majid, A. M., Alamary, A. S., Warad, I., & Sedigi, Y. (2011). Reactions of Some New Thienothiophene Derivatives. Molecules, 16(6), 5142-5148. https://doi.org/10.3390/molecules16065142

