Recent Advances in the Studies on Luotonins
Abstract
:1. Introduction
| Compound | Luotonin A | Luotonin B | Luotonin C | Luotonin D | Luotonin E | Luotonin F |
|---|---|---|---|---|---|---|
| IC50 (μg/mL) | 1.8 | 5.0 | - | - | 9.0 | 2.3 |

2. Synthesis
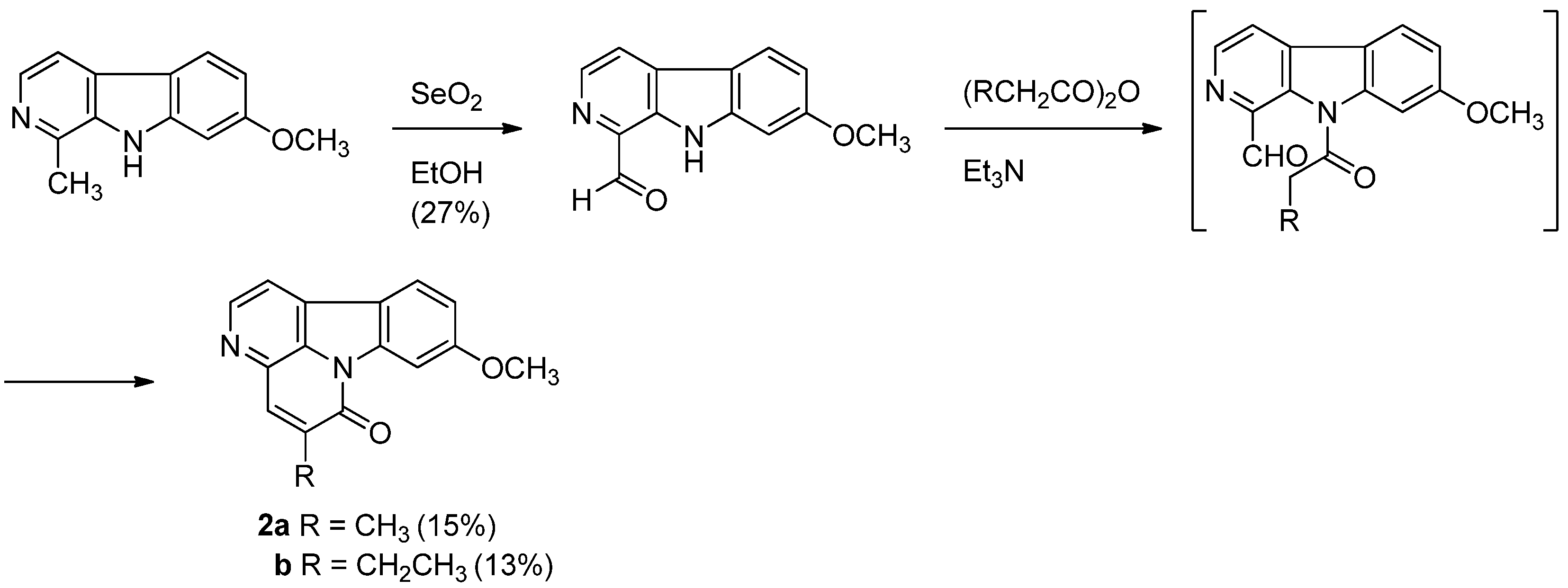
2.1. via Formation of the Pyridine Core




2.2. via Formation of the Pyrrole Core


2.3. via Formation of the Pyrimidinone Core


2.4. via Formation of the Pyrrolo[4,3-b]pyridine Core



2.5. via Formation of the Pyrrolo[1,2-a]pyrimidin-4(6H)-one Core

2.6. Formation of Rings B, C and D

2.7. Conversion of Luotonin A to Luotonins B and E


3. Synthesis of Luotonin C and D

4. Synthesis of Luotonin E and F


5. Structural Modifications and Structure-Activity Relationships
5.1. Modifications on Ring A
5.2. Modifications on Ring C
| Compd | R1 | R2 | R3 | R14 | Inhibitory activity against Topo I [% (rel. activity)] at 100 μM | IC50 (μM) | ||
|---|---|---|---|---|---|---|---|---|
| HCT-116 | HL-60 | H460 | ||||||
| 1aa | H | H | H | H | 33.7 (0.40) [56] | 51.11 [56] | >100 [56] | 7.7 [58] a) |
| 1d | H | H | F | H | 81.1 (0.91) [56] | >100 [56] | 56.65 [56] | - |
| 1e | H | OH | H | H | 54.1 (0.65) [56] | 56.6 [56] | 66.29 [56] | - |
| 1f | H | OMe | OMe | H | - | - | - | 5.47 [58] |
| 1g | H | -OCH2CH2O- | H | 19.2 (0.23) [56] | 19.36 [56] | 21.78 [56] | 81 [58] | |
| 1h | H | R c) | H | H | - | - | 2 [40] | - |
| 1i | H | R d) | H | H | - | - | 2 [40] | - |
| 1j | OH | R e) | H | H | - | - | 10 [40] | - |
| 1k | H | H | H | Et | slightly more active b)[41] | - | - | - |
| 1l | H | OH | H | Et | similar to luotonin A [41] | - | - | - |
| 1m | H | H | H | CF3 | inhibition at 40 μM [59] | - | - | - |
| Doxo f) | - | 2.31 [56] | 4.78 [56] | - | ||||
| CPT | 83.9 (1) [56] | 2.17 [56] | 5.51 [56] | - | ||||

5.3. Modifications on Rings D and E
| R7 | R8 | R9 | R10 | IC50 (μM) | |||||
|---|---|---|---|---|---|---|---|---|---|
| Galactose [25] | ADR-Res [40] | HeLa [40] | MCF7 [40] | H460 [41] a) | |||||
| 1aa | H | H | H | H | 0.58 | 5 | 3 | 3 | 7.7 |
| 1n | H | H | F | H | 9.58 | - | - | - | - |
| 1o | H | NH2 | H | H | 15.7 | - | - | - | - |
| 1p | H | H | H | Cl | - | - | - | - | 13 |
| 1q | H | H | NO2 | H | - | - | - | - | 23 |
| 1r | CH3 | H | H | H | - | - | - | - | 7 |
| 1s | H | H | Cl | H | - | - | - | - | 45 |
| 1t | H | H | OH | H | - | - | - | - | 3.8 |
| 1u | Cl | H | H | H | - | 13 | >10 | 10 | - |
| 1v | NH2 | H | H | H | - | 3 | 2 | 2 | - |
| 1w | OCH3e | H | H | H | - | >20 | 12 | >20 | 11 |
| 1x | H | OH | OH | H | - | >20 | 6 | 10 | - |
| 46 | 11.8 | - | - | - | - | ||||
| 47 | 91.4 | - | - | - | - | ||||
| CPT | 0.86 | 0.01 | 0.01 | 0.01 | - | ||||
| SN-38 | - | - | - | - | 0.21 b) | ||||

5.4. 14-Azacamptothecin – A Hybrid Molecule of Luotonin A and Camptothecin


| Compound | Concentration (μM) | Inhibition on growth medium (%) | Topo I dependent cytotoxicity (IC50, μM)b) | |
|---|---|---|---|---|
| Raffinose | Galactose | |||
| CPT | 1.0 | 0 | 74 | 0.15 |
| Luotonin A (1aa) | 1.0 | 0 | 36 | |
| 0.5 | 0 | 23 | ||
| 14-aza-CPT (53a) | 2.0 | 0 | 46 | >10 |
| 53b | 1.28 | |||
6. Conclusions and Perspectives
Acknowledgements
References
- A Pictorial Encyclopaedia of Chinese Medical Herbs; Xiao, P.-G. (Ed.) Chuokoron-sha: Tokyo, Japan, 1992; Volume 3, p. 125. (In Japanese)
- Xiao, X.-H.; Qiu, G.-L.; Wang, H.-L.; Liu, L.-S.; Zheng, R.-L.; Jia, Z.-J.; Deng, Z.-B. Effect of Alkaloids from Peganum nigellastrum on Mouse Ascitic Hepatoma and Isolated Cells. Chin. J. Pharmacol. Toxocol. 1988, 2, 232–234. [Google Scholar]
- Ma, Z.-Z.; Hano, Y.; Nomura, T.; Chen, Y.-J. Two New Pyrroloquinazolinoquinoline Alkaloids from Peganum nigellastrum. Heterocycles 1997, 46, 541–546. [Google Scholar] [CrossRef]
- Ma, Z.-Z.; Hano, Y.; Nomura, T.; Chen, Y.-J. Alkaloids and Phenylpropanoids from Peganum nigellastrum. Phytochemistry 2000, 53, 1075–1078. [Google Scholar]
- Ma, Z.-Z.; Hano, Y.; Nomura, T.; Chen, Y.-J. Two New Quinazoline-Quinoline Alkaloids from Peganum nigellastrum. Heterocycles 1999, 51, 1883–1889. [Google Scholar] [CrossRef]
- Ma, Z.; Hano, Y.; Nomura, T.; Chen, Y. Novel Quinazoline-quinoline Alkaloids with Cytotoxicites and DNS Topoisomerase II Inhibitory Activities. Biorg. Med. Chem. Lett. 2004, 14, 1193–1196. [Google Scholar] [CrossRef]
- Ma, Z.-Z.; Hano, Y.; Nomura, T.; Chen, Y.-J. The Structure of New Alkaloid Components from Peganum nigellastrum. Tennen Yuki Kagobutsu Koen Yoshishu 1999, 41, 547–552. [Google Scholar]
- Ma, Z.; Hano, Y.; Qiu, F.; Shao, G.; Chen, Y.; Nomura, T. Triterpenoids and Alkaloids from the Roots of Peganum nigellastrum. Nat. Prod. Commun. 2008, 3, 149–154. [Google Scholar]
- Cagir, A.; Jones, S.H.; Eisenhauer, B.M.; Hecht, S.M. Luotonin A, A Naturally Occurring DNA Topoisomerase I Poison. J. Am. Chem. Soc. 2003, 125, 13628–13629. [Google Scholar] [CrossRef]
- Mussardo, P.; Corda, E.; Gonzalez-Ruiz, V.; Rajesh, J.; Girotti, S.; Martin, A.; Olives, A.I. Study of Non-covalent Interaction of Luotonin A Derivatives and the DNS Minor Groove as a First Step in the Study of Their Analytical Potential as DNA Probes. Anal. Bioanal. Chem. 2011, 400, 321–327. [Google Scholar] [CrossRef]
- Wall, M.E.; Wani, M.C.; Cook, C.E.; Palmer, K.H.; McPhail, A.T.; Sim, G.A. Plants Antitumor Agents. 1. The isolation and Structure of Camptothecin, a Noval Alkaloidal Leukemia and Tumor Inhibition from Camptotheca acuminata. J. Am. Chem. Soc. 1966, 88, 3888–3890. [Google Scholar] [CrossRef]
- Slichemyer, W.J.; Rowinsky, E.K.; Donehower, R.C.; Kaufmann, S.H. The Current Status of Camptothecin Analogs as Antitumor agents. J. Nat. Cancer Invest. 1993, 85, 271–291. [Google Scholar] [CrossRef]
- Pommier, Y. Topoisomerase I Inhibitors: Camptothecins and Beyond. Nat. Rev. Cancer 1006, 6, 789–802. [Google Scholar] [CrossRef]
- Pommier, Y. DNA Topoisomerase I Inhibitors: Chemistry, Biology, and Interfacial Inhibition. Chem. Rev. 2009, 109, 2894–2902. [Google Scholar] [CrossRef]
- Pommier, Y. DNA Topoisomerases and Their Poisoning by Anticancer and Antibacterial Drugs. Chem. Biol. 2010, 17, 421–433. [Google Scholar] [CrossRef]
- Ma, Z.; Hano, Y.; Nomura, T. Luotonin A: A Lead Toward Anti-Cancer Agent Development. Heterocycles 2005, 65, 2203–2219. [Google Scholar] [CrossRef]
- Huang, W.P.; Liu, J.L.; Wang, C.L. Progress in the Synthesis of Natural Product Luotonin A and Its Derivatives. Chin. J. Org. Chem. 2009, 29, 1533–1543. [Google Scholar]
- Michael, J.P. Quinoline, Quinazoline, and Acridone Alkaloids. Nat. Prod. Rep. 2008, 25, 166–187, and references therein. [Google Scholar] [CrossRef]
- Ma, Z.-Z.; Hano, Y.; Nomura, T.; Chen, Y.-J. Synthesis of Cytotoxic Pyrroloquinazolino-Quinoline Alkaloid Luotonin A. Heterocycles 1999, 51, 1593–1596. [Google Scholar] [CrossRef]
- Friedländer, P. Über o-Amidobenzaldehyd. Ber. Detsch. Chem. Ges. 1882, 15, 2572–2575. [Google Scholar] [CrossRef]
- Cheng, C.-C.; Yan, S.-J. The Friedländer Synthesis of Quinolines. Org. React. 1992, 28, 37–201. [Google Scholar]
- Marco-Contelles, J.; Perez-Mayoral, E.; Samadi, A.; Carreiras, M. do C.; Soriano, E. Recent Advances in the Friedländer Reaction. Chem. Rev. 2009, 109, 2652–2671. [Google Scholar] [CrossRef]
- Kelly, T.R.; Chamberland, S.; Silva, R.A. Total Synthesis of Luotonin A. Tetrahedron Lett. 1999, 40, 2723–2724. [Google Scholar]
- Molina, P.; Tarraga, A.; Gonzalez-Tejero, A. A Convenient Divergent Approach to the Alkaloids Isaindigotone and Luoronin A. Synthesis 2000, 11, 1523–1525. [Google Scholar]
- Sridharan, V.; Ribelles, P.; Terresa Ramos, M.; Carlos Menendez, J. Cerium(IV) Ammonium Nitrate Is an Excellent, General Catalyst for the Friedländer and Friedländer-Borsche Quinoline Syntheses: Very Efficient Access to the Antitumor Alkaloid Luotonin A. J. Org. Chem. 2009, 74, 5715–5718. [Google Scholar] [CrossRef]
- Mason, J.J.; Bergman, J. Total Synthesis of Luotonin A and 14-Substituted Analogues. Org. Biomol. Chem. 2007, 5, 2486–2490. [Google Scholar] [CrossRef]
- Harayama, T.; Morikami, Y.; Shigeta, Y.; Abe, H.; Takeuchi, Y. A Convenient Synthesis of Luotonin A and B. Synlett 2003, 847–848. [Google Scholar]
- Harayama, T.; Hori, A.; Serba, G.; Morikami, Y.; Matsumoto, T.; Abe, H.; Takeuchi, Y. Concise Synthesis of Quinazoline Alkaloids, Luotonins A and B, and Rutaecarpine. Tetrahedron 2004, 60, 10645–10649. [Google Scholar] [CrossRef]
- Mhaske, S.B.; Argade, N.P. Regioselective Quinazolinone-Directed Ortho Lithiation of Quinazolinoylation: Practical Synthesis of Naturally Occurring Human DNA Topoisomerase I Poison Luotonin A and Luotonins B and E. J. Org. Chem. 2004, 69, 4563–4566. [Google Scholar] [CrossRef]
- Chavan, S.P.; Sivappa, R. A Short and Efficient General Synthesis of Luotonin A, B, and E. Tetrahedron Lett. 2004, 60, 9931–9935. [Google Scholar] [CrossRef]
- Kametani, T.; Higa, T.; Loc, C.V.; Ihara, M.; Koizmi, M.; Fukumoto, K. Iminoketene Cycloaddition. 1. A Facile Synthesis of Quinazoline System by Condensation of Iminoketene with Amines – A Total Synthesis of Evodine and Rutaecarpine by Retro Mass-Spectral Synthesis. J. Am. Chem. Soc. 1976, 98, 6186–6188. [Google Scholar] [CrossRef]
- Wang, H.; Ganesan, A. Total Synthesis of the Cytotoxic Alkaloid Luotonin A. Tetrahedron Lett. 1998, 39, 9097–9098. [Google Scholar] [CrossRef]
- Dallavalle, S.; Merlini, L. A New Synthesis of the Cytotoxic Alkaloid Luotonine A. Tetrahedron Lett. 2002, 43, 1835–1837. [Google Scholar] [CrossRef]
- Yadav, J.S.; Reddy, B.V.S. Microwave-assisted Rapid Synthesis of the Cytotoxic Alkaloid Luotonin A. Tetrahedron Lett. 2002, 43, 1905–1907. [Google Scholar]
- Cagir, A.; Eisenhauer, B.M.; Gao, R.; Thomas, S.J.; Hecht, S.M. Synthesis and Topoisomerase I Inhibitory Properties of Luotonin A Analogues. Bioorg. Med. Chem. 2004, 12, 6287–6299. [Google Scholar] [CrossRef]
- Cagir, A.; Jones, S.H.; Eisenhauer, B.M.; Gao, R.; Hecht, S.M. Synthesis and Biochemical Properties of E-Ring Modified Luotonin A Derivatives. Bioorg. Med. Chem. Lett. 2004, 12, 2051–2054. [Google Scholar]
- Lee, E.S.; Park, J.G.; Jahng, Y. A Simple Synthesis of Simple Alkaloids – Syntheis of 2,3-Polymethylene-4(3H)-quinazolinones and Related Alkaloids. Tetrahedon Lett. 2003, 44, 1883–1886. [Google Scholar] [CrossRef]
- Jahng, K.C.; Kim, S.I.; Kim, D.H.; Seo, C.S.; Son, J.-K.; Lee, S.H.; Lee, E.S.; Jahng, Y. One-Pot Synthesis of Simple Alkaloids: 2,3-Polymethylene-4(3H)-quinazolinones, Luotonin A, Tryptanthrin, and Rutaecarpine. Chem. Pharm. Bull. 2008, 56, 607–609. [Google Scholar] [CrossRef]
- Twin, H.; Batey, R.A. Intramolecular Hetero Diels-Alder (Povarov) Approach to the Synthesis of the Alkaloids Luotonin A and Camptothecin. Org. Lett. 2004, 6, 4913–4916. [Google Scholar] [CrossRef]
- Zhou, H.-B.; Liu, G.-S.; Yao, Z.-J. Short and efficient Total Synthesis of Luotonin A and 22-Hydroxyacuminatine Using A Common Cascade Strategy. J. Org. Chem. 2007, 72, 6270–6272. [Google Scholar] [CrossRef]
- Tangirala, R.; Antony, S.; Agama, K.; Pommier, Y.; Curran, D.P. Total Synthesis of Luotonin A and a Small Library of AB-Ring Substituted Analogues by Cascade Radical Annulation of Isonitriles. Synlett 2005, 18, 2843–2846. [Google Scholar]
- Bowman, W.R.; Cloonan, M.O.; Fletcher, A.J.; Stein, T. Synthesis of Heteroarenes Using Cascade Radical reaction via Iminyl Radicals. Org. Biomol. Chem. 2005, 3, 1460–1467. [Google Scholar] [CrossRef]
- Bowman, W.R.; Elsegood, M.R.J.; Stein, T.; Weaver, G.W. Radical Reactions with 3H-Quinazolin-4-ones: Synthesis of Deoxyvasicinone, Mackinazoline, Luotonin A, Rutaecarpine and Tryptanthrin. Org. Biomol. Chem. 2007, 5, 103–113. [Google Scholar] [CrossRef]
- Toyota, M.; Komori, C.; Ihara, M. Three-step Total Synthesis of Pyrroloquinazolinoquinoline Alkaloid, Luotonin A, by Intramolecular Hetero Diels-Alder Reaction. Heterocycles 2002, 56, 101–103. [Google Scholar] [CrossRef]
- Toyota, M.; Komori, C.; Ihara, M. An Efficient Total Synthesis of Pyrroloquinazolinoquinoline Alkaloid, Luotonin A, Employing An Intramolecular Hetero Diels-Alder Reaction. ARKIVOC 2003, 15–23. [Google Scholar]
- Servais, A.; Azzouz, M.; Lopes, D.; Courillon, C.; Malacria, M. Radical Cyclization of N-Acylcyanamides: Total Synthesis of Luotonin A. Angew. Chem. Int. Ed. 2007, 46, 576–579. [Google Scholar] [CrossRef]
- Beaume, A.; Courillon, C.; Derat, E.; Malacria, M. Unprecedented Aromatic Homolytic Substitutions and Cyclization of Amide-Iminyl Radicals: Experimental and theoretical Study. Chem. Eur. J. 2008, 14, 1238–1252. [Google Scholar] [CrossRef]
- Ju, Y.; Liu, F.; Li, C. Palladium-Catalyzed Sequential Cyanation/N-Addition/N-Arylation in One-Pot: Efficient Synthesis of Luotonin A and Its Derivatives. Org. Lett. 2009, 11, 3582–3585. [Google Scholar] [CrossRef]
- Tseng, M.-C.; Chu, Y.-W.; Tsai, H.-P.; Lin, C.-M.; Hwang, J.; Chu, Y.-H. One-Pot Synthesis of Luotonin A and Its Analogues. Org. Lett. 2011, 13, 920–923. [Google Scholar] [CrossRef]
- Wagh, M.B.; Shankar, R.; Kumar, U.K.S.; Gill, C.H. A Concise and Convergent Synthesis of Luotonin B and E. Synlett 2011, 84–88. [Google Scholar]
- Goller, A.; Koutentis, P.A. Two-Step synthesis of Canthin-6-one Alkaloids: New One-Pot Sequential Pd-Catalyzed Suzuki-Miyaura Coupling and Cu-Catalyzed Amidation Reaction. Org. Lett. 2010, 12, 1352–1355. [Google Scholar] [CrossRef]
- Soriano-Agaton, F.; Lagoutte, D.; Poupon, E.; Roblot, F.; Fournet, A.; Gantier, J.-C.; Hocquemiller, R. Extraction, Hemisynthesis, and Synthesis of Canthin-6-one Analogue. Evaluation of Their Antifungal Activities. J. Nat. Prod. 2005, 68, 1581–1587. [Google Scholar] [CrossRef]
- Suzuki, H.; Adachi, M.; Ebihara, Y.; Gyoutoku, H.; Furuya, H.; Murakami, Y.; Okuno, H. Synthetic Studies on Indoles and Related Compounds. Part 53. A Total Synthesis of 1-Methoxycanthin-6-one: An Efficient One-Pot Synthesis of the Canthin-6-one Skeleton from β-Carboline-1-carbaldehyde. Synthesis 2005, 28–32. [Google Scholar]
- Rossler, U.; Blechert, S.; Steckhan, E. Single Electron Transfer Induced Total Synthesis of Canthin-6-one. Tetrahedron Lett. 1999, 40, 7075–7078. [Google Scholar] [CrossRef]
- Mhaske, S.B.; Argade, N.P. Biogenetic Synthesis of Luotonin F. Synthesis 2002, 323–325. [Google Scholar]
- Rahman, A.F.M.M.; Kim, D.H.; Liang, J.L.; Lee, E.-S.; Na, Y.; Jin, K.-Y.; Kwon, Y.; Jahng, Y. Synthesis and Biological Properties of Luotonin Derivatives. Bull. Kor. Chem. Soc. 2008, 29, 1988–1992. [Google Scholar] [CrossRef]
- Narco, K.; Zha, C.C.; Guzzo, P.R.; Herr, R.J.; Peace, D.; Friedrich, T.D. Synthesis and Topoisomerase Poisoning Activity of A-Ring and E-Ring Substituted Luotonin A Derivatives. Bioorg. Med. Chem. 2007, 15, 4237–4246. [Google Scholar]
- Dallavalle, S.; Merlini, L.; Beretta, G.L.; Tinelli, S.; Zunino, F. Synthesis and Cytotoxic Activity of Substituted Luotonin A Derivatives. Bioorg. Med. Chem. Lett. 2004, 14, 5757–5761. [Google Scholar] [CrossRef]
- Dolubev, A.S.; Bogomolov, V.O.; Shidlovski, A.F.; Dezhenkova, L.G.; Peregudov, A.S.; Shtil, A.A.; Chkanikov, N.D. Synthesis of Fluoromethyl-Containing Analogs of Antitumor Alkaloid Luotonin A. Russ. Chem. Bull. 2010, 59, 209–218. [Google Scholar] [CrossRef]
- Lee, E.S.; Park, J.G.; Kim, S.I.; Jahng, Y. Synthesis and Properties of Luotonin A Homologues and Their Aza-analogues. Heterocycles 2006, 68, 151–158. [Google Scholar] [CrossRef]
- Rahier, N.J.; Cheng, K.; Gao, R.; Eisenhauer, B.M.; Hecht, S.M. Synthesis of 14-Azacamptothecin, a Water-Soluble Topoisomerase I Poison. Org. Lett. 2005, 7, 835–837. [Google Scholar] [CrossRef]
- Elban, M.A.; Sun, W.; Eisenhauer, B.M.; Gao, R.; Hecht, S.M. Synthesis and Biological Evaluation of 10,11-Methylenedioxy-14-azacamptothecin. Org. Lett. 2006, 8, 3513–3516. [Google Scholar]
- Thomas, C.J.; Rahier, N.J.; Hecht, S.M. Camptothecin: Current Perspectives. Bioorg. Med. Chem. 2004, 12, 1585–1604. [Google Scholar] [CrossRef]
- Sample Availability: Samples of the compounds 1d,e,g are available from the authors.
© 2011 by the authors; licensee MDPI, Basel, Switzerland. This article is an open access article distributed under the terms and conditions of the Creative Commons Attribution license ( http://creativecommons.org/licenses/by/3.0/).
Share and Cite
Liang, J.L.; Cha, H.C.; Jahng, Y. Recent Advances in the Studies on Luotonins. Molecules 2011, 16, 4861-4883. https://doi.org/10.3390/molecules16064861
Liang JL, Cha HC, Jahng Y. Recent Advances in the Studies on Luotonins. Molecules. 2011; 16(6):4861-4883. https://doi.org/10.3390/molecules16064861
Chicago/Turabian StyleLiang, Jing Lu, Hyo Chang Cha, and Yurngdong Jahng. 2011. "Recent Advances in the Studies on Luotonins" Molecules 16, no. 6: 4861-4883. https://doi.org/10.3390/molecules16064861
APA StyleLiang, J. L., Cha, H. C., & Jahng, Y. (2011). Recent Advances in the Studies on Luotonins. Molecules, 16(6), 4861-4883. https://doi.org/10.3390/molecules16064861

