Abstract
The formation of (E)-3-{2-(2,5-diphenylpyrazolo[1,5-c]pyrimidin-7-yl)hydrazono}indolin-2-ones 3 has been achieved by condensation of equimolar amounts of 7-hydrazino-2,5-diphenylpyrazolo[1,5-c]pyrimidine (1) and isatin (or isatin derivatives) 2at room temperature. The (E)-products could be isomerized into corresponding the (Z)-3 isomers. Reactions of the latter fused heterocyclic hydrazones towards different electro-philic reagents yielded the corresponding 3-substituted derivatives 4–7. Dehydrative cyclisation of the hydrazones 3 using phosphorus oxychloride afforded the 2,5-diphenyl- indolo[2,3-e]pyrazolo[1',5':3",4"]pyrimido[2",1"-c][1,2,4] triazines 13. The polyfused heterocyclic ring system 13 underwent electrophilic substitution reactions at position 4 rather than at position 3. The 3-bromo isomer of 17 was prepared by a sequence of reactions starting from 2,5-diphenylpyrazolo[1,5-c]pyrimidine-7(6H)-thione (11). The orientation of the electrophilic attack was supported by spectroscopic and chemical evidence. Some of the synthesized compounds were found to possess slight to moderate activity against the microorganisms Bacillus subtilis, Micrococcus luteus, Staphylococcus aureus, Escherichia coli and Pseudomonas aeruginosa.
1. Introduction
Pyrimidines and fused pyrimidines, being an integral part of DNA and RNA, play an essential role in several biological processes. They also have considerable chemical and pharmacological importance; particularly, as nucleoside antibiotics, antibacterial, cardiovascular as well as agrochemical and veterinary products [1,2,3,4,5,6,7,8,9]. Various pyrimidine derivatives showed analgesic, antiarrhythmic, and anticancer activities [10,11,12], as well as anti-inflammatory, antiparkinsonian, and androgenic anabolic activities [13,14,15,16,17,18].
Isatin is known to be a colorimetric reagent for the amino acid proline, forming blue derivatives [19]. This property has been exploited for the determination of the level of this amino acid in pollens [20] or for the detection of polymer bound compounds possessing proline residues [21]. It has also been used in a colorimetric screening test for human serum hyperprolinaemia [22], in a colorimetric assay of HIV-1 proteinase [23] and for the estimation of the age of bones in crime investigation [24]. In a similar manner, isatin-3-hydrazone has been studied for the colorimetric determination of steroids [25,26].
Encouraged by the above observations and in continuation of our work for the syntheses of heterocyclic compounds from hydrazino heterocycles [27,28,29,30,31,32], a new series of 3-{2-(2,5-diphenyl- pyrazolo[1,5-c]pyrimidin-7-yl)hydrazono}indolin-2-ones and 2,5-diphenylindolo[2,3-e]pyrazolo- [1',5':3",4"]pyrimido[2",1"-c][1,2,4]triazines were synthesized, with a view to explore the possibility of achieving better biological activities.
2. Results and Discussion
The theoretical existence of geometric isomers of 3-{2-(2,5-diphenylpyrazolo[1,5-c]pyrimidin-7-yl)hydrazono}indolin-2-ones (E and Z)-3 had been predicted for the condensation of 7-hydrazino-2,5-diphenylpyrazolo[1,5-c]pyrimidine (1), which was readily obtained by sequence of reactions starting from ethyl phenylpropiolate [33,34], with isatin (or isatin derivatives) 2 (Scheme 1). But by stirring equimolar amounts of 1 with 2 at room temperature the reaction yielded only the kinetically more stable geometrical isomer (E)-3a–c, which upon heating in dioxane or stirring with conc. H2SO4 at room temperature underwent isomerisation to give the thermodynamically more stable isomer (Z)-3a–c showing a possibility of hydrogen bond formation. The structure and configuration of the pyrazolopyrimidinoindolinonehydrazones (E and Z)-3 were fully differentiated by studying their spectra, which included IR, 1H-NMR and MS. The IR spectra showed characteristic five membered ring amide carbonyl absorption bands at 1684–1710 and 1684–1692 cm−1, in addition to the NH absorption band in the range 3459–3479 and 3451–3467 cm−1, respectively.
The 1H-NMR spectra of (E)-3a–c revealed, besides the aromatic protons as a multiplet at δH 7.37–8.04, two doublets at δH 8.07–8.11 and at δH 8.16–8.23, as well as other characteristic singlets at δH 6.85–7.23 for the H-3 pyrazole ring proton and at δH 7.54–7.92 for the H-4 pyrimidine ring proton. The assignment of the higher field signal for the H-3 pyrazole ring proton and the lower field signal for H-4 pyrimidine ring protons is supported by the data reported for 2,5-diarylpyrazolo[1,5-c]pyrimidine-7(6H)-thiones [20]. Moreover, the spectra of (E)-3a–c exhibited exchangeable singlets at δH 10.43–10.80 and at δH 14.19–14.22 which are attributed to the NH of hydrazone conformer 3 and NH of pyrimidine conformers A or B. The intensity of both singlets is equivalent to one proton. The spectra also showed an exchangeable proton as two singlets equivalent to one proton at δH 11.03–11.36 and at δH 11.15–12.17 which were ascribed to the NH conformer 3 and OH conformer B of indole ring [35]. Furthermore, the spectrum of (E)-3b showed a singlet at δH 2.33 for the CH3 group. The previous data indicates that pyrazolopyrimidinoindolinonehydrazones (E)-3a–c exist as a mixture of the toutomers 3, A and B (Figure 1).
Scheme 1.
Synthesis of 3-{2-(2,5-diphenylpyrazolo[1,5-c]pyrimidin-7-yl)hydrazono}indolin-2-ones 3.
Scheme 1.
Synthesis of 3-{2-(2,5-diphenylpyrazolo[1,5-c]pyrimidin-7-yl)hydrazono}indolin-2-ones 3.

Figure 1.
Isomerisation of (E)-3-{2-(2,5-diphenylpyrazolo[1,5-c]pyrimidin-7-yl)hydrazono}indolin-2-ones (E)-3.
Figure 1.
Isomerisation of (E)-3-{2-(2,5-diphenylpyrazolo[1,5-c]pyrimidin-7-yl)hydrazono}indolin-2-ones (E)-3.

The 1H-NMR spectra of (Z)-3a–c showed, besides the aromatic protons as a multiplet at δH 7.37–7.71, two doublets at δH 8.11–8.13 and at δH 8.22–8.27, as well as other characteristic singlets at δH 7.18–7.22 for the H-3 pyrazole ring proton and at δH 7.88–7.95 for the H-4 pyrimidine ring proton. The spectra of (Z)-3a–c also exhibited an exchangeable NH proton at δH 11.14–11.37 which was ascribed to the indole ring [35] and at δH 14.21–14.23 for the chelated NH hydrazone residue. On the other hand, the spectra of (Z)-3b showed a singlet at δH 2.33 for the CH3 group. The above 1H-NMR spectral data showed only a single conformer for the structure of the hydrazone (Z)-3.
Further conformation for the structure of both (E and Z)-pyrazolopyrimidinoindolinonehydrazones was obtained from their mass spectral data, where both isomers showed similar molecular ion peaks at m/z 430, 444 and 464, in addition to base peaks at m/z 77, 339 and 359 for derivatives a–c, respectively, in addition to the same fragments with similar or almost similar intensities.
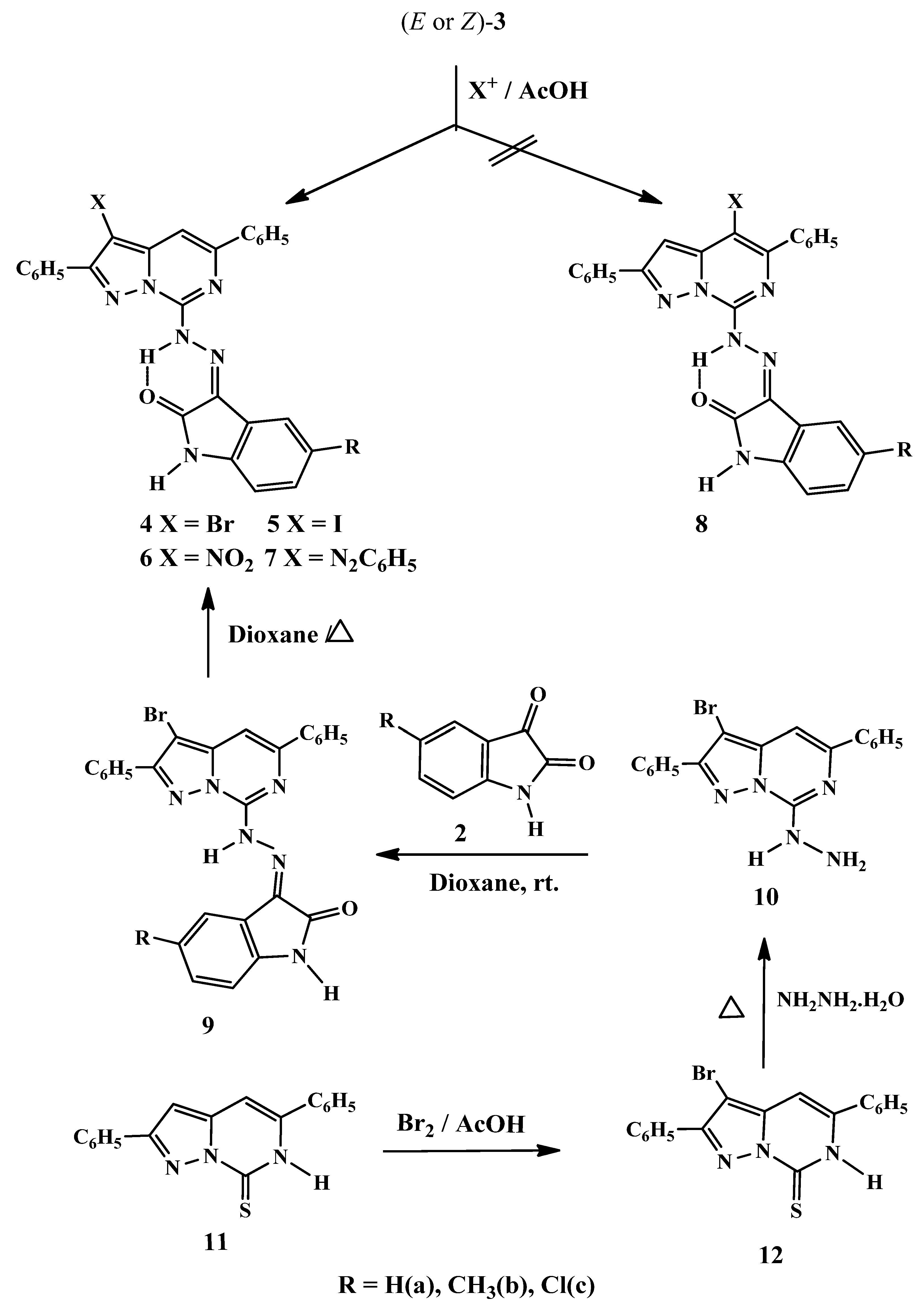
In the present investigation the electrophilic substitution reactions of the geometrical isomers pyrazolopyrimidinoindolinonehydrazones (E or Z)-3a–c were studied in the hope that introduction of such substituents might enhance their biological properties, as well as, to study the more reactive position for the electrophilic attack on such fused heterocyclic rings (Scheme 2). Thus, bromination of (E or Z)-3a–c with bromine in glacial acetic acid, as well as, iodination with iodine monochloride in the same solvent yielded the respective monosubstituted (Z)-isomers 4 and 5, since the (E)-3a–c isomers were proved to convert into the respective (Z)-conformers in acidic medium.
Moreover, reaction of (E or Z)-3a–c with nitric and sulfuric acids in glacial acetic acid and with benzenediazonium chloride in the presence of sodium hydroxide afforded the (Z)-3-nitro and 3-phenyldiazenyl derivatives 6 and 7, respectively.
The structures of the 3-substituted derivatives 4–7 were confirmed by their spectral data. The 1H-NMR spectra of 4a–c and 5a–c showed the absence of the H-3 pyrazole ring proton signals and the presence of the H-4 pyrimidine ring proton as singlet at δH 7.61–7.93 ppm.
The structures were further confirmed chemically by preparing the isomeric 3-bromo derivatives 9a–c through the bromination of 2,5-diphenylpyrazolo[1,5-c]pyrimidine-7(6H)-thione 11 with bromine in acetic acid rather than bromine in chloroform which gave the respective 3-bromo derivative 12 [30,33,34] (Scheme 2). Refluxing of 12 with hydrazine hydrate in ethanolic solution afforded the respective hydrazino derivatives 10, which upon stirring with isatin (or isatin derivatives) 2 at room temperature yielded the corresponding (E)-hydrazono derivatives 9a–c, which underwent isomerisation upon heating in dioxane to give the geometrical isomers (Z)-4a–c. The isomeric structure of hydrazones 4 and 9 are different in shape under the microscope and by TLC (Rf = 0.65, 0.77, 0.75 and 0.27, 0.43, 0.42), respectively, in addition to their mp. 288–290, 320–322, 304–306, 312–314, 300–302, 308–310 °C, respectively.
The 1H-NMR spectrum of (E)-9a showed, besides the aromatic protons as a multiplet at δH 7.87–8.05, two doublets at δH 8.08 and at δH 8.25, as well as another characteristic singlet at δH 7.74 for the H-4 pyrimidine ring proton. Moreover, the spectrum of 9a exhibited exchangeable singlets at δH 10.92 and at δH 14.16 which are attributed to the NH of the hydrazone conformer 3 and the NH of the pyrimidine conformers A or B, respectively. The intensity of both singlets is equivalent to one proton. The spectrum also revealed an exchangeable proton as two singlets equivalent to one proton at δH 11.21 and at δH 11.29 which ascribed to the NH conformer 3 and OH conformer B of the indole ring [46] (Figure 1).
Scheme 2.
Electrophilic substitution reactions of 3-{2-(2,5-diphenylpyrazolo[1,5-c]pyrimidin-7-yl)hydrazono}indolin-2-ones (E or Z)-3.
Scheme 2.
Electrophilic substitution reactions of 3-{2-(2,5-diphenylpyrazolo[1,5-c]pyrimidin-7-yl)hydrazono}indolin-2-ones (E or Z)-3.

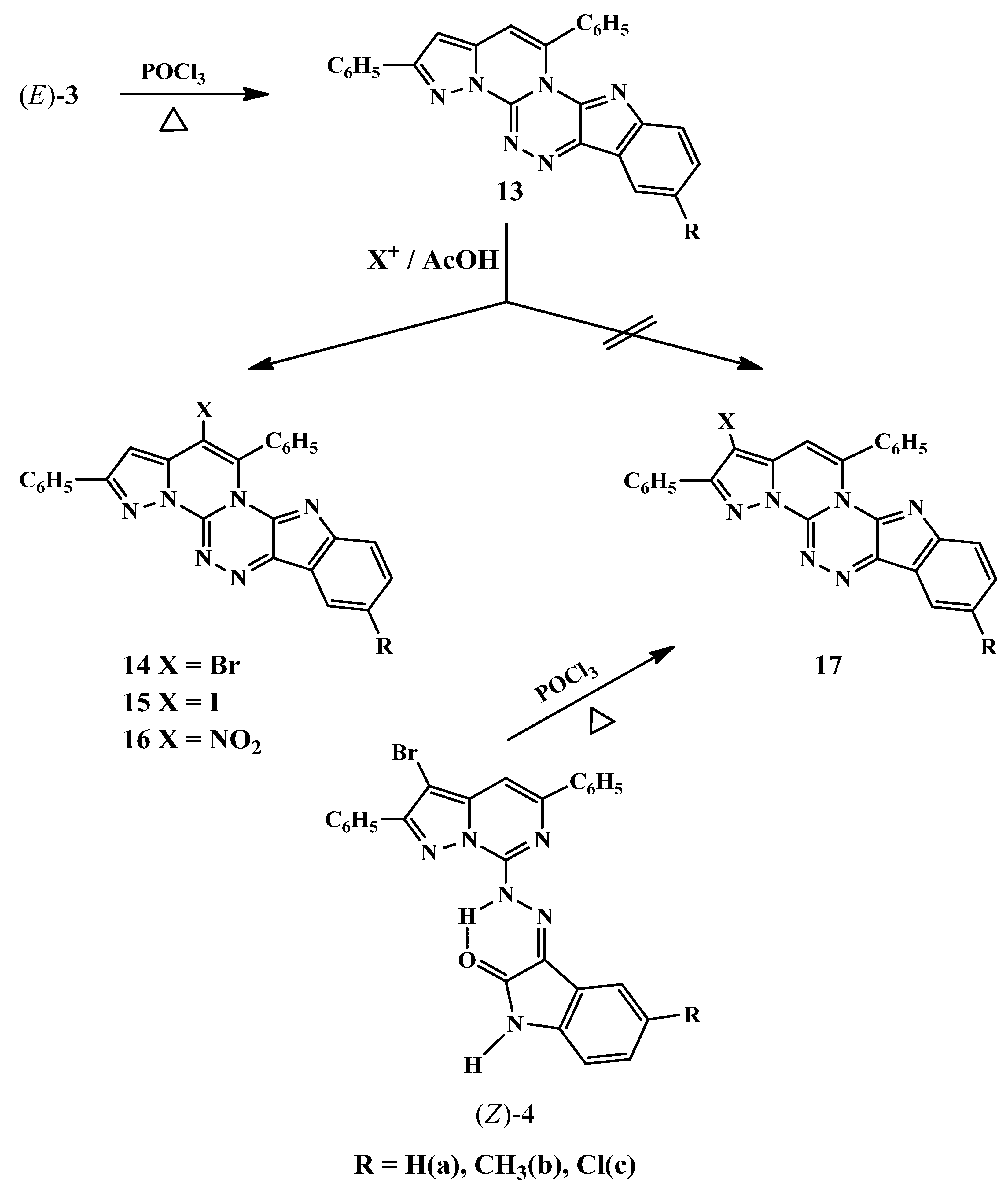
The high point in the present investigation is the cyclization of the (E)-pyrazolopyrimido-indolinonehydrazones 3a–c forming novel polycyclic rings with six heteroatoms containing two bridged nitrogens. Thus, heating of (E)-3a–c with phosphorus oxychloride afforded the corresponding target 2,5-diphenylindolo[2,3-e]pyrazolo[1',5':3":4"]pyrimido[2",1"-c][1,2,4]-triazines 13a–c (Scheme 3). The structure of the indolopyrazolopyrimidotriazines was fully established from their spectral data analysis, which included IR, 1H-NMR and MS spectra. The 1H-NMR spectra of the 13a,b revealed, besides the aromatic protons as a multiplet at δH 7.33–7.55, two doublets at δH 8.01, 8.13 and at δH 8.13, 8.20, as well as other characteristic singlets at δH 7.42, 7.53 for the H-3 pyrazole ring proton and at δH 7.55, 7.91 for the H-4 pyrimidine ring proton. On the other hand, the spectrum of 13b exhibited a singlet at δH 2.44 for the CH3 group.
Scheme 3.
Annulation of 2,5-diphenylindolo[2,3-e]pyrazolo[1',5':3",4"]pyrimido[2",1"-c][1,2,4]triazines.
Scheme 3.
Annulation of 2,5-diphenylindolo[2,3-e]pyrazolo[1',5':3",4"]pyrimido[2",1"-c][1,2,4]triazines.

The mass spectra of the heterocyclic compounds 13a–c confirmed the dehydrative cyclisation of the respective hydrazones showing their molecular ion peaks at m/z 412, 426 and 446, respectively, compared to that of the starting reactants at m/z 430, 444 and 464, respectively.
The novel fused indolopyrazolopyrimidotriazines 13a–c appeared to be attractive intermediates for the synthesis of a number of substituted derivatives via reaction with some representative electrophilic reagents, and to the best of our knowledge, no reports on the electrophilic substitution reactions of the indolopyrazolopyrimidotriazine ring system have been published. We are interested in investigating the reactivity at either the C-3 or C-4 position in such heterocyclic rings. Thus, bromination of 13a–c with bromine, as well as, iodination with iodine monochloride gave the respective 4-bromo 14a–c and 4-iodo 15a–c derivatives, respectively. Moreover, nitration of 13a–c with nitric and sulfuric acids in glacial acetic acid afforded the respective 4-nitro derivatives 16a–c. The structures of the 4-substituted derivatives 14–16 were confirmed by studying their 1H-NMR spectra, which showed the disappearance of the H-4 pyrimidine ring proton signals and the appearance of the H-3 pyrazole ring proton signals at δH 7.28–7.47.
Furthermore, the structures of 14–16 were confirmed chemically by synthesizing the 3-substituted isomeric derivatives 17. Thus, refluxing of (Z)-4a–c with phosphorus oxychloride led to the formation of the respective isomeric 3-bromo-derivatives of the fused triazines 17a–c. The two isomeric bromo derivatives 14 and 17 were found to be completely different (TLC, mp and mixed mp, IR, 1H-NMR and MS spectra). The 1H-NMR spectra of 17a,b showed the absence of the H-3 pyrazole ring proton signals and the presence of the H-4 pyrimidine ring proton signals at δH 7.69, 7.94, respectively.
3. Experimental
3.1. General
Melting points were determined on a Kofler block and are uncorrected. Elemental analyses were carried out in the Microanalytical Laboratory of the Faculty of Science, Cairo University. The IR spectra of compounds were recorded on a Fourier Transform infrared 8400 spectrophotometer [Bruker Tensor 37] using potassium bromide pellets and frequencies are reported in cm−1. The 1H-NMR spectra were recorded on a JEOL JNM ECA 500 MHZ instrument and chemical shifts δH are in ppm relative to tetramethylsilane used as internal standard. Mass spectra were recorded at 70 ev with a GCMS-QP 1000 EX spectrometer. Reactions were routinely followed by thin layer chromatography (TLC) Merck Kiesel gel; 60-F254 precoated plastic plates. The spots were detected by iodine. 5-Aryl-7-hydrazino-2-phenylpyrazolo[1,5-c]pyrimidines 1 and 10 were prepared from the respective acetylenic β-diketones as described earlier [30,33,34].
3.2. Synthesis of Compounds
3.2.1. (E)-3-{2-(2,5-Diphenylpyrazolo[1,5-c]pyrimidin-7-yl)hydrazono}indolin-2-ones 3a–c
A solution of 2,5-diphenyl-7-hydrazinopyrazolo[1,5-c]pyrimidine [30,33] (1, 0.30 g, 0.0010 mol) in dioxane (10 mL) was stirred with isatin (or isatin derivatives) (2, 0.0015 mol) for 24 hours at room temperature. The products that separated out as orange needles were filtered off, washed with methanol and dried.
(E)-3-{2-(2,5-Diphenylpyrazolo[1,5-c]pyrimidin-7-yl)hydrazono}indolin-2-one (3a). Yield 70%; m.p. 332–334 °C; Rf 0.18 (3:1 benzene-EtOAc); IR (cm−1): 3479 (NH), 1700 (indole ring C=O), 1619 (pyrazole ring C=N), 1565 (pyrimidine ring C=N) and 1452 (pyrimidine ring C=C); 1H-NMR (DMSO-d6, δH, ppm): 6.85 (s, 1H, pyrazole-H), 7.37–8.04 (m, 10H, aromatic-H), 7.54 (s, 1H, pyrimidine-H), 8.07 (d, 2H, aromatic-H), 8.16 (d, 2H, aromatic-H), 11.09, 11.23 (s, 1H, exchangeable NH, OH) and 10.65, 14.20 (s, 1H, exchangeable NH); MS, m/z (%): 430 (7, M+), 402 (1, M+-N2), 325 (17, M+-C7H7N), 248 (1, M+-C13H10O), 234 (1, M+-C13H12N2), 194 (1, M+-C14H10N3O−), 165 (2, M+-C15H13N4O), 139 (4, M+-C16H13N5O), 132 (4, M+-C19H12N3O), 88 (3, M+-C21H18N4O), 77 (100, M+-C20H13N6O) and 62 (8, M+-C22H18N5O); Anal. Calc. for C26H18N6O (430.46): C, 72.55; H, 4.21; N, 19.52%, found: C, 72.48; H, 4.17; N, 19.47%.
(E)-3-{2-(2,5-Diphenylpyrazolo[1,5-c]pyrimidin-7-yl)hydrazono}-5-methylindolin-2-one (3b). Yield 88%; m.p. 330–332 °C; Rf 0.28 (3:1 benzene-EtOAc); IR (cm−1): 3459 (NH), 1684 (indole ring C=O), 1631 (pyrazole ring C=N), 1547 (pyrimidine ring C=N) and 1460 (pyrimidine ring C=C); 1H-NMR (DMSO-d6, δH, ppm): 2.33 (s, 3H, CH3), 7.18 (d, 1H aromatic-H) 7.23 (s, 1H, pyrazole-H), 7.44–7.56 (m, 8H, aromatic-H), 7.89 (s, 1H, pyrimidine-H), 8.11 (d, 1H, aromatic-H), 8.18 (t, 2H, aromatic-H), 8.22 (d, 1H, aromatic-H), 11.03, 11.15 (s, 1H, exchangeable NH, OH) and 10.80, 14.22 (s, 1H, exchangeable NH); MS, m/z (%): 444 (41, M+ ), 416 (36, M+-N2), 339 (100, M+-C7H7N), 262 (1, M+-C13H10O), 234 (22, M+-C14H14N2), 208 (4, M+-C14H10N3O−), 165 (1, M+-C16H15N4O), 146 (2, M+-C19H12N3O), 139 (7, M+-C17H15N5O), 88 (13, M+-C22H20N4O), 77 (21, M+-C21H15N6O) and 62 (2, M+-C23H20N5O); Anal. Calc. for C27H20N6O (444.49): C, 72.96; H, 4.54; N, 18.91%, found: C, 72.91; H, 4.51; N, 18.86%.
(E)-3-{2-(2,5-Diphenylpyrazolo[1,5-c]pyrimidin-7-yl)hydrazono}-5-chloroindolin-2-one (3c). Yield 86%; m.p. 320–322 °C; Rf 0.34 (3:1 benzene-EtOAc); IR (cm−1): 3459 (NH), 1710 (indole ring C=O), 1631 (pyrazole ring C=N), 1539 (pyrimidine ring C=N) and 1459 (pyrimidine ring C=C); 1H-NMR (DMSO-d6, δH, ppm): 7.02 (d, 1H, aromatic-H), 7.16 (s, 1H, aromatic-H), 7.21 (s, 1H, pyrazole-H), 7.41–7.57 (m, 6H, aromatic-H), 7.68 (d, 1H, aromatic-H), 7.92 (s, 1H, pyrimidine-H), 8.11 (d, 2H, aromatic-H), 8.23 (d, 2H, aromatic-H), 11.36, 12.17 (s, 1H, exchangeable NH, OH) and 10.43, 14.19 (s, 1H, exchangeable NH); MS, m/z (%): 464 (29, M+), 436 (41, M+-N2), 359 (100, M+-C7H7N), 282 (2, M+-C13H10O), 234 (51, M+-C13H11ClN2), 228 (2, M+-C14H10N3O−), 166 (7, M+-C19H12N3O), 165 (5, M+-C15H12ClN4O), 139 (18, M+-C16H12ClN5O), 88 (19, M+-C21H17ClN4O), 77 (50, M+-C20H12ClN6O) and 62 (17, M+-C22H17ClN5O); Anal. Calc. for C26H17ClN6O (464.91): C, 67.17; H, 3.69; Cl, 7.63; N, 18.08%, found: C, 67.12; H, 3.65; Cl, 7.60; N, 17.95%.
3.2.2. (Z)-3-{2-(2,5-Diphenylpyrazolo[1,5-c]pyrimidin-7-yl)hydrazono}indolin-2-ones 3a–c
Method A: A suspension of (E)-3-{2-(2,5-diphenylpyrazolo[1,5-c]pyrimidin-7-yl)hydrazono}indolin-2-ones (E)-3a–c (0.0046 mol) in dioxane, xylene, pyridine, acetic acid or acetic anhydride (50 mL) was heated under reflux for twenty four hours. The products that separated out were filtered off, washed with ethanol, dried and crystallized from dioxane.
Method B: Stirring of (E)-3-{2-(2,5-diphenylpyrazolo[1,5-c]pyrimidin-7-yl)hydrazono}indolin-2-ones (E)-3a–c in conc. sulfuric acid (5.0 mL) was set below 15 °C and left for 2 hours. The reaction mixture was poured onto crushed ice and the separated product were filtered off, washed with water, dried and crystallized from dioxane.
The products from method A and method B showed completely similar TLC, mp, mixed mp, IR, 1H-NMR and MS spectra.
(Z)-3-{2-(2,5-Diphenylpyrazolo[1,5-c]pyrimidin-7-yl)hydrazono}indolin-2-one (3a). Yield 80%; m.p. 318–320 °C (crystallization from dioxane); Rf 0.66 (3:1 benzene-EtOAc); IR (cm−1): 3467 (NH), 1692 (indole ring C=O), 1626 (pyrazole ring C=N), 1557 (pyrimidine ring C=N) and 1458 (pyrimidine ring C=C); 1H-NMR (DMSO-d6, δH, ppm): 7.01 (d, 1H, aromatic-H), 7.12 (t, 1H, aromatic-H), 7.19 (s, 1H, pyrazole-H), 7.37–7.71 (m, 8H, aromatic-H), 7.91 (s, 1H, pyrimidine-H), 8.11 (d, 2H, aromatic-H), 8.22 (d, 2H, aromatic-H), 11.27 (s, 1H, exchangeable NH) and 14.21 (s, 1H, exchangeable NH); MS, m/z (%): 430 (7, M+ ), 402 (1, M+-N2), 325 (14, M+-C7H7N), 248 (1, M+-C13H10O), 234 (2, M+-C13H12N2), 194 (1, M+-C14H10N3O−), 165 (2, M+-C15H13N4O), 139 (10, M+-C16H13N5O), 132 (1, M+-C19H12N3O), 88 (48, M+-C21H18N4O), 77 (100, M+-C20H13N6O) and 62 (17, M+-C22H18N5O); Anal. Calc. for C26H18N6O (430.46): C, 72.55; H, 4.21; N, 19.52%, found: C, 72.56; H, 4.12; N, 19.12%.
(Z)-3-{2-(2,5-Diphenylpyrazolo[1,5-c]pyrimidin-7-yl)hydrazono}-5-methylindolin-2-one (3b). Yield 86%; m.p. 328–330 °C (crystallization from dioxane); Rf 0.69 (3:1 benzene-EtOAc); IR (cm−1): 3451 (NH), 1684 (indole ring C=O), 1629 (pyrazole ring C=N), 1558 (pyrimidine ring C=N) and 1459 (pyrimidine ring C=C); 1H-NMR (DMSO-d6, δH, ppm): 2.33 (s, 3H, CH3), 6.87 (d, 1H aromatic-H) 7.17 (s, 1H, aromatic-H), 7.18 (s, 1H, pyrazole-H), 7.43–7.53 (m, 7H, aromatic-H), 7.88 (s, 1H, pyrimidine-H), 8.11 (d, 2H, aromatic-H), 8.22 (d, 2H, aromatic-H), 11.14 (s, 1H, exchangeable NH) and 14.23 (s, 1H, exchangeable NH); MS, m/z (%): 444 (30, M+), 416 (40, M+-N2), 339 (100, M+-C7H7N), 262 (2, M+-C13H10O), 234 (31, M+-C14H14N2), 208(5, M+-C14H10N3O−), 165 (3, M+-C16H15N4O), 146 (8, M+-C19H12N3O), 139 (4, M+-C17H15N5O), 88 (22, M+-C22H20N4O), 77 (40, M+-C21H15N6O) and 62 (10, M+-C23H20N5O); Anal. Calc. for C27H20N6O (444.49): C, 72.96; H, 4.54; N, 18.91%, found: C, 72.89; H, 4.52; N, 18.82%.
(Z)-3-{2-(2,5-Diphenylpyrazolo[1,5-c]pyrimidin-7-yl)hydrazono}-5-chloroindolin-2-one (3c). Yield 91%; m.p. 312–314 °C (crystallization from dioxane); Rf 0.63 (3:1 benzene-EtOAc); IR (cm−1): 3464 (NH), 1689 (indole ring C=O), 1628 (pyrazole ring C=N), 1556 (pyrimidine ring C=N) and 1455 (pyrimidine ring C=C); 1H-NMR (DMSO-d6, δH, ppm): 7.03 (d, 1H, aromatic-H), 7.15 (s, 1H, aromatic-H), 7.22 (s, 1H, pyrazole-H), 7.43–7.59 (m, 6H, aromatic-H), 7.71 (d, 1H, aromatic-H), 7.95 (s, 1H, pyrimidine-H), 8.13 (d, 2H, aromatic-H), 8.27 (d, 2H, aromatic-H), 11.37 (s, 1H, exchangeable NH) and 14.22 (s, 1H, exchangeable NH); MS, m/z (%): 464 (26, M+), 436 (41, M+-N2), 359 (100, M+-C7H7N), 282 (3, M+-C13H10O), 234 (56, M+-C13H11ClN2), 228 (2, M+-C14H10N3O−), 166 (9, M+-C19H12N3O), 165 (6, M+-C15H12ClN4O), 139 (21, M+-C16H12ClN5O), 88 (39, M+-C21H17ClN4O), 77 (72, M+-C20H12ClN6O) and 62 (23, M+-C22H17ClN5O); Anal. Calc. for C26H17ClN6O (464.91): C, 67.17; H, 3.69; Cl, 7.63; N, 18.08%, found: C, 67.11; H, 3.63; Cl, 7.58; N, 17.91%.
3.2.3. (Z)-3-{2-(3-Bromo-2,5-diphenylpyrazolo[1,5-c]pyrimidin-7-yl)hydrazono}indolin-2-ones 4a–c
A solution of bromine (0.06 mL, 0.0012 mol) in acetic acid (10 mL) was gradually added to a suspension of (E orZ)-3-{2-(2,5-diphenylpyrazolo[1,5-c]pyrimidin-7-yl)hydrazono}indolin-2-ones 3a‑c (0.0010 mol) in acetic acid (10 mL) with stirring for three hours at room temperature. The reaction mixture was then poured onto crushed ice, filtered off, washed with water, dried and crystallized from dioxane as orange needles.
(Z)-3-{2-(3-Bromo-2,5-diphenylpyrazolo[1,5-c]pyrimidin-7-yl)hydrazono}indolin-2-one (4a) Yield 96%; m.p. 288–290 °C; Rf 0.65 (3:1 benzene-EtOAc); IR (cm−1): 3460 (NH), 1687 (indole ring C=O), 1622 (pyrazole ring C=N), 1559 (pyrimidine ring C=N) and 1456 (pyrimidine ring C=C); 1H-NMR (DMSO-d6, δH, ppm): 6.98 (d, 1H, aromatic-H), 7.13 (t, 1H, aromatic-H), 7.39–7.71 (m, 8H, aromatic-H), 7.75 (s, 1H, pyrimidine-H), 8.05 (d, 2H, aromatic-H), 8.30 (d, 2H, aromatic-H), 11.29 (s, 1H, exchangeable NH) and 14.17 (s, 1H, exchangeable NH); MS, m/z (%): 510 (64, M+), 481 (26, M+-HN2), 405 (52, M+-C7H7N), 403 (91, M+-C6H7N2), 325 (100, M+-C7H7BrN), 312 10, M+-C12H12N3), 271 (27, M+-C14H13N3O−), 243 (23, M+-C14H13N5O), 234 (27, M+-C13H12BrN2), 165 (4, M+-C15H13BrN4O), 140 (4, M+-C21H18N6O), 139 (23, M+-C16H13BrN5O), 131 (9, M+-C19H13BrN3O), 88 (38, M+-C21H18BrN4O), 76 (90, M+-C20H14BrN6O) and 62 (35, M+-C22H18BrN5O); Anal. Calc. for C26H17BrN6O (509.36): C, 61.31; H, 3.36; Br, 15.69; N, 16.50%, found: C, 61.27; H, 3.32; Br, 15.52; N, 16.33%.
(Z)-3-{2-(3-Bromo-2,5-diphenylpyrazolo[1,5-c]pyrimidin-7-yl)hydrazono}-5-methylindolin-2-one (4b) Yield 97%; m.p. 320–322 °C; Rf 0.77 (3:1 benzene-EtOAc); IR (cm−1): 3465 (NH), 1689 (indole ring C=O), 1628 (pyrazole ring C=N), 1559 (pyrimidine ring C=N) and 1451 (pyrimidine ring C=C); 1H-NMR (DMSO-d6, δ, ppm): 2.36 (s, 3H, CH3), 6.88 (d, 1H aromatic-H) 7.19 (s, 1H, aromatic-H), 7.52–7.62 (m, 7H, aromatic-H), 7.73 (s, 1H, pyrimidine-H), 8.09 (d, 2H, aromatic-H), 8.16 (d, 2H, aromatic-H), 11.17 (s, 1H, exchangeable NH) and 14.22 (s, 1H, exchangeable NH); MS, m/z (%): 524 (98, M+), 495 (50, M+-HN2), 419 (77, M+-C7H7N), 417 (100, M+-C6H7N2), 339 (28, M+-C7H7BrN), 312 (22, M+-C13H14N3), 285 (19, M+-C14H13N3O−), 243 (11, M+-C15H15N5O), 234 (16, M+-C14H14BrN2), 165 (6, M+-C16H15BrN4O), 145 (14, M+-C19H13BrN3O), 140 (6, M+-C22H20N6O), 139 (28, M+-C17H15BrN5O), 88 (45, M+-C22H20BrN4O), 76 (95, M+-C21H16BrN6O) and 62 (29, M+-C23H20BrN5O); Anal. Calc. for C27H19BrN6O (523.38): C, 61.96; H, 3.66; Br, 15.27; N, 16.06%, found: C, 61.89; H, 3.63; Br, 15.18; N, 15.83%.
(Z)-3-{2-(3-Bromo-2,5-diphenylpyrazolo[1,5-c]pyrimidin-7-yl)hydrazono}-5-chloroindolin-2-one (4c) Yield 94%; m.p. 304–306 °C; Rf 0.75 (3:1 benzene-EtOAc); IR (cm−1): 3451 (NH), 1684 (indole ring C=O), 1630 (pyrazole ring C=N), 1560 (pyrimidine ring C=N) and 1447 (pyrimidine ring C=C); 1H-NMR (DMSO-d6, δ, ppm): 7.03 (d, 1H, aromatic-H), 7.19 (s, 1H, aromatic-H), 7.42–7.57 (m, 6H, aromatic-H), 7.69 (d, 1H, aromatic-H), 7.93 (s, 1H, pyrimidine-H), 8.11 (d, 2H, aromatic-H), 8.25 (d, 2H, aromatic-H), 11.36 (s, 1H, exchangeable NH) and 14.20 (s, 1H, exchangeable NH); MS, m/z (%): 544 (53, M+), 515 (27, M+-HN2), 439 (10, M+-C7H7N), 437 (100, M+-C6H7N2), 359 (13, M+-C7H7BrN), 312 (11, M+-C12H11ClN3), 305 (1, M+-C14H13N3O−), 243 (18, M+-C14H12ClN5O), 234 (2, M+-C13H11BrClN2), 165 (15, M+-C15H12BrClN4O), 140 (3, M+-C21H17ClN6O), 139 (20, M+-C16H12BrClN5O), 88 (14, M+-C21H17BrClN4O), 76 (53, M+-C20H13BrClN6O) and 62 (13, M+-C22H17BrClN5O); Anal. Calc. for C26H16BrClN6O (543.80): C, 57.42; H, 2.97; Br, 14.69; Cl, 6.52; N, 15.45%, found: C, 57.38; H, 2.95; Br, 14.51; Cl, 6.31; N, 15.23%.
3.2.4. (E)-3-{2-(3-Bromo-2,5-diphenylpyrazolo[1,5-c]pyrimidin-7-yl)hydrazono}indolin-2-ones 9a–c
A solution of 3-bromo-2,5-diphenyl-7-hydrazinopyrazolo[1,5-c]pyrimidine [45] (10, 0.46 g, 0.0012 mol) in dioxane (10 mL) was stirred with isatin (or isatin derivatives) 2 (0.0015 mol) for 24 h at room temperature. The products that separated out were filtered off, washed with methanol and dried.
(E)-3-{2-(3-Bromo-2,5-diphenylpyrazolo[1,5-c]pyrimidin-7-yl)hydrazono}indolin-2-one (9a). Yield 81%; m.p. 312–314 °C; Rf 0.27 (3:1 benzene-EtOAc); IR (cm−1): 3442 (NH), 1707 (indole ring C=O), 1626 (pyrazole ring C=N), 1555 (pyrimidine ring C=N) and 1453 (pyrimidine ring C=C); 1H-NMR (DMSO-d6, δ, ppm): 7.87–8.05 (m, 10H, aromatic-H), 7.74 (s, 1H, pyrimidine-H), 8.08 (d, 2H, aromatic-H), 8.25 (d, 2H, aromatic-H), 11.21, 11.29 (s, 1H, exchangeable NH, OH) and 10.92, 14.16 (s, 1H, exchangeable NH); MS, m/z (%): 510 (35, M+), 481 (28, M+-HN2), 405 (81, M+-C7H7N), 403 (100, M+-C6H7N2), 325 (33, M+-C7H7BrN), 312 (15, M+-C12H12N3), 271 (3, M+-C14H13N3O−), 243 (13, M+-C14H13N5O), 234 (16, M+-C13H12BrN2), 165 (7, M+-C15H13BrN4O), 140 (4, M+-C21H18N6O), 139 (22, M+-C16H13BrN5O), 131 (7, M+-C19H13BrN3O), 88 (47, M+-C21H18BrN4O), 76 (73, M+-C20H14BrN6O) and 62 (18, M+-C22H18BrN5O); Anal. Calc. for C26H17BrN6O (509.36): C, 61.31; H, 3.36; Br, 15.69; N, 16.50%, found: C, 61.27; H, 3.30; Br, 15.46; N, 16.38%.
(E)-3-{2-(3-Bromo-2,5-diphenylpyrazolo[1,5-c]pyrimidin-7-yl)hydrazono}-5-methylindolin-2-one (9b). Yield 79%; m.p. 300–302 °C; Rf 0.43 (3:1 benzene-EtOAc); IR (cm−1): 3451 (NH), 1698 (indole ring C=O), 1630 (pyrazole ring C=N), 1543 (pyrimidine ring C=N) and 1460 (pyrimidine ring C=C); MS, m/z (%): 524 (81, M+), 495 (40, M+-HN2), 419 (69, M+-C7H7N), 417 (86, M+-C6H7N2), 339 (32, M+-C7H7BrN), 312 (17, M+-C13H14N3), 285 (26, M+-C14H13N3O−), 243 (15, M+-C15H15N5O), 234 (16, M+-C14H14BrN2), 165 (7, M+-C16H15BrN4O), 145 (11, M+-C19H13BrN3O), 140 (12, M+-C22H20N6O), 139 (30, M+-C17H15BrN5O), 88 (38, M+-C22H20BrN4O), 76 (100, M+-C21H16BrN6O) and 62 (21, M+-C23H20BrN5O); Anal. Calc. for C27H19BrN6O (523.38): C, 61.96; H, 3.66; Br, 15.27; N, 16.06%, found: C, 61.81; H, 3.51; Br, 15.05; N, 15.76%.
(E)-3-{2-(3-Bromo-2,5-diphenylpyrazolo[1,5-c]pyrimidin-7-yl)hydrazono}-5-chloroindolin-2-one (9c). Yield 79%; m.p. 308–310 °C; Rf 0.42 (3:1 benzene-EtOAc); IR (cm−1): 3464 (NH), 1700 (indole ring C=O), 1629 (pyrazole ring C=N), 1533 (pyrimidine ring C=N) and 1449 (pyrimidine ring C=C); MS, m/z (%): 544 (100, M+), 515 (44, M+-HN2), 439 (91, M+-C7H7N), 437 (94, M+-C6H7N2), 359 (29, M+-C7H7BrN), 312 (18, M+-C12H11ClN3), 305 (1, M+-C14H13N3O−), 243 (18, M+-C14H12ClN5O), 234 (9, M+-C13H11BrClN2), 165 (12, M+-C15H12BrClN4O), 140 (5, M+-C21H17ClN6O), 139 (36 M+-C16H12BrClN5O), 88 (24, M+-C21H17BrClN4O), 76 (98, M+-C20H13BrClN6O) and 62 (35, M+-C22H17BrClN5O); Anal. Calc. for C26H16BrClN6O (543.80): C, 57.42; H, 2.97; Br, 14.69; Cl, 6.52; N, 15.45%, found: C, 57.21; H, 2.82; Br, 14.48; Cl, 6.25; N, 15.27%.
3.2.5. (Z)-3-{2-(3-Iodo-2,5-diphenylpyrazolo[1,5-c]pyrimidin-7-yl)hydrazono}indolin-2-ones 5a–c
A solution of iodine monochloride (0.20 g, 0.0012 mol) in acetic acid (10 mL) was gradually added to a suspension of (E or Z)-3a–c (0.001 mol) in acetic acid (10 mL) with stirring for three hours at room temperature. The reaction mixture was then poured onto crushed ice and the products that separated out were filtered off, washed with water, dried and crystallized from dioxan as orange needles.
(Z)-3-{2-(3-Iodo-2,5-diphenylpyrazolo[1,5-c]pyrimidin-7-yl)hydrazono}indolin-2-one (5a). Yield 92%; m.p. 280–282 °C; IR (cm−1): 3454 (NH), 1684 (indole ring C=O), 1622 (pyrazole ring C=N), 1561 (pyrimidine ring C=N) and 1455 (pyrimidine ring C=C); 1H-NMR (DMSO-d6, δ, ppm): 6.96 (d, 1H aromatic-H) 7.12 (t, 1H, aromatic-H), 7.36–7.69 (m, 8H, aromatic-H), 7.61 (s, 1H, pyrimidine-H), 8.00 (d, 2H, aromatic-H), 8.27 (d, 2H, aromatic-H), 11.27 (s, 1H, exchangeable NH) and 14.12 (s, 1H, exchangeable NH); MS, m/z (%): 557 (95, M+), 529 (24, M+-N2), 452 (100, M+-C7H7N), 374 (1, M+-C13H11O), 360 (22, M+-C12H11N3), 325 (41, M+-C7H7IN), 320 (1, M+-C14H11N3O), 257 (5, M+-C19H16N4−), 234 (8, M+-C13H12IN2), 188 (10, M+-C21H17N6O), 165 (7, M+-C15H13IN4O), 139 (41, M+-C16H13IN5O), 131 (8, M+-C19H13IN3O), 88 (7, M+-C21H18IN4O), 76 (96, M+-C20H14IN6O) and 62 (35, M+-C22H18IN5O); Anal. Calc. for C26H17IN6O (556.36): C, 56.13; H, 3.08; I, 22.81; N, 15.11%, found: C, 55.89; H, 2.99; I, 22.45; N, 14.78%.
(Z)-3-{2-(3-Iodo-2,5-diphenylpyrazolo[1,5-c]pyrimidin-7-yl)hydrazono}-5-methylindolin-2-one (5b). Yield 98%; m.p. 314–316 °C; IR (cm−1): 3443 (NH), 1684 (indole ring C=O), 1630 (pyrazole ring C=N), 1564 (pyrimidine ring C=N) and 1460 (pyrimidine ring C=C); MS, m/z (%): 571 (67, M+ ), 543 (14, M+-N2), 466 (44, M+-C7H7N), 388 (2, M+-C13H11O), 360 (3, M+-C13H13N3), 339 (25, M+-C7H7IN), 334 (8, M+-C14H11N3O), 257 (4, M+-C20H18N4−), 234 (3, M+-C14H14IN2), 188 (5, M+-C22H19N6O), 165 (5, M+-C16H15IN4O), 145 (7, M+-C19H13IN3O), 139 (11, M+-C17H15IN5O), 88 (11, M+-C22H20IN4O), 76 (100, M+-C21H16IN6O) and 62 (13, M+-C23H20IN5O); Anal. Calc. for C27H19IN6O (570.38): C, 56.85; H, 3.36; I, 22.25; N, 14.73%, found: C, 56.73; H, 3.24; I, 21.83; N, 14.47%.
(Z)-3-{2-(3-Iodo-2,5-diphenylpyrazolo[1,5-c]pyrimidin-7-yl)hydrazono}-5-chloroindolin-2-one (5c). Yield 97%; m.p. 306–308 °C; IR (cm−1): 3466 (NH), 1677 (indole ring C=O), 1625 (pyrazole ring C=N), 1558 (pyrimidine ring C=N) and 1447 (pyrimidine ring C=C); 1H-NMR (DMSO-d6, δ, ppm): 7.01 (d, 1H, aromatic-H), 7.16 (s, 1H, aromatic-H), 7.39–7.66 (m, 7H, aromatic-H), 7.89 (s, 1H, pyrimidine-H), 8.11 (d, 2H, aromatic-H), 8.24 (d, 2H, aromatic-H), 11.33 (s, 1H, exchangeable NH) and 14.17 (s, 1H, exchangeable NH); MS, m/z (%): 591 (33, M+), 563 (12, M+-N2), 486 (44, M+-C7H7N), 408 (1, M+-C13H11O), 360 (19, M+-C12H10ClN3), 359 (63, M+-C7H7IN), 354 (10, M+-C14H11N3O), 257 (9, M+-C19H15ClN4−), 234 (20, M+-C13H11ClIN2), 188 (10, M+-C21H16ClN6O), 165 (12, M+-C15H12ClIN4O), 139 (43, M+-C16H12ClIN5O), 88 (32, M+-C21H17ClIN4O), 76 (100, M+-C20H13ClIN6O) and 62 (27, M+-C22H17ClIN5O); Anal. Calc. for C26H16ClIN6O (590.80): C, 52.86; H, 2.73; Cl, 6.00; I, 21.48; N, 14.22%, found: C, 52.77; H, 2.62; Cl, 4.68; I, 21.20; N, 13.93%.
3.2.6. (Z)-3-{2-(3-Nitro-2,5-diphenylpyrazolo[1,5-c]pyrimidin-7-yl)hydrazono}indolin-2-ones 6a–c
A mixture of nitric acid (d 1.14, 1 mL) and sulfuric acid (d 1.84, 1 mL) in glacial acetic acid (10 mL) was added gradually to a suspension of (E or Z)-3a–c (0.001 mol) in acetic acid (10 mL) with stirring for three hours at room temperature. The reaction mixture was then poured onto crushed ice and the products that separated out were filtered off, washed with water, dried and crystallized from dioxane as orange needles.
(Z)-3-{2-(3-Nitro-2,5-diphenylpyrazolo[1,5-c]pyrimidin-7-yl)hydrazono}indolin-2-one (6a). Yield 91%; m.p. 268–270 °C; IR (cm−1): 3460 (NH), 1708 (indole ring C=O), 1624 (pyrazole ring C=N), 1560 (pyrimidine ring C=N), 1473 (pyrimidine ring C=C), and 1416, 1341 (NO2); MS, m/z (%): 476 (1, M+), 447 (1, M+-HN2), 371 (5, M+-C7H7N), 370 (2, M+-C6H6N2), 325 (5, M+-C7H7N2O2), 291 (3, M+-C13H13O), 279 (3, M+-C12H11N3−), 237 (3, M+-C14H13N3O), 234 (5, M+-C13H12N3O2), 210 (3, M+-C14H12N5O), 165 (5, M+-C15H13N5O3), 139 (3, M+-C16H13N6O3), 131 (5, M+-C19H13N4O3), 107 (9, M+-C21H17N6O), 88 (8, M+-C21H18N5O3), 76 (7, M+-C20H14N7O3) and 62 (4, M+-C22H18N6O3); Anal. Calc. for C26H17N7O3 (475.46): C, 65.68; H, 3.60; N, 20.62%, found: C, 65.56; H, 3.57; N, 20.40%.
(Z)-3-{2-(3-Nitro-2,5-diphenylpyrazolo[1,5-c]pyrimidin-7-yl)hydrazono}-5-methylindolin-2-one (6b). Yield 95%; m.p. 318–320 °C; IR (cm−1): 3465 (NH), 1697 (indole ring C=O), 1635 (pyrazole ring C=N), 1564 (pyrimidine ring C=N), 1487 (pyrimidine ring C=C), and 1419, 1381 (NO2); MS, m/z (%): 490 (20, M+), 461 (7, M+-HN2), 385 (35, M+-C7H7N), 384 (3, M+-C6H6N2), 339 (5, M+-C7H7N2O2), 305 (1, M+-C13H13O), 279 (1, M+-C13H13N3−), 251 (4, M+-C14H13N3O), 234 (8, M+-C14H14N3O2), 210 (2, M+-C15H14N5O), 165 (5, M+-C16H15N5O3), 145 (28, M+-C19H13N4O3), 139 (8, M+-C17H15N6O3), 107 (24, M+-C22H19N6O), 88 (11, M+-C22H20N5O3), 76 (85, M+-C21H16N7O3) and 62 (16, M+-C23H20N6O3); Anal. Calc. for C27H19N7O3 (489.48): C, 66.25; H, 3.91; N, 20.03%, found: C, 66.02; H, 3.72; N, 19.84%.
(Z)-3-{2-(3-Nitro-2,5-diphenylpyrazolo[1,5-c]pyrimidin-7-yl)hydrazono}-5-chloroindolin-2-one (6c). Yield 97%; m.p. 330–332 °C; IR (cm−1): 3460 (NH), 1693 (indole ring C=O), 1629 (pyrazole ring C=N), 1559 (pyrimidine ring C=N), 1487 (pyrimidine ring C=C), and 1416, 1363 (NO2); MS, m/z (%): 510 (1, M+), 481 (3, M+-HN2), 405 (1, M+-C7H7N), 404 (1, M+-C6H6N2), 359 (1, M+-C7H7N2O2), 325 (5, M+-C13H13O), 279 (1, M+-C12H10ClN3−), 271 (1, M+-C14H13N3O), 234 (1, M+-C13H11ClN3O2), 210 (1, M+-C14H11ClN5O), 165 (2, M+-C15H12ClN5O3), 139 (3, M+-C16H12ClN6O3), 107 (1, M+-C21H16ClN6O), 88 (3, M+-C21H17ClN5O3), 76 (100, M+-C20H13ClN7O3) and 62 (13, M+-C22H17ClN6O3); Anal. Calc. for C26H16ClN7O3 (509.90): C, 61.24; H, 3.16; Cl, 6.95; N, 19.23%, found: C, 61.19; H, 3.02; Cl, 6.62; N, 18.91%.
3.2.7. (Z)-3-{2-(3-Phenyldiazenyl-2,5-diphenylpyrazolo[1,5-c]pyrimidin-7-yl)hydrazono}indolin-2-ones 7a–c
An aqueous sodium hydroxide solution (10%, 8 mL) was added to a suspension of (E or Z)-3a–c (0.001 mol) in ethanol (15 mL). The reaction mixture was cooled to 5 °C and gradually treated with a solution of benzendiazonium chloride (prepared from 1 mL of aniline) with stirring for one hour. The target products that separated out were collected by filtration and crystallized from dioxan as reddish-brown needles.
(Z)-3-{2-(3-Phenyldiazenyl-2,5-diphenylpyrazolo[1,5-c]pyrimidin-7-yl)hydrazono}indolin-2-one (7a). Yield 94%; m.p. 298–300 °C; IR (cm−1): 3463 (NH), 1693 (indole ring C=O), 1625 (pyrazole ring C=N), 1557 (pyrimidine ring C=N) and 1458 (pyrimidine ring C=C); MS, m/z (%): 534(1, M+), 506 (1, M+-N2), 431 (29, M+-C7H5N), 430 (2, M+-C6H4N2), 353 (1, M+-C13H9O), 339 (1, M+-C12H9N3), 325 (69, M+-C13H11N3), 298 (1, M+-C14H10N3O), 270 (7, M+-C14H10N5O−), 234 (14, M+-C19H16N4), 167 (6, M+-C21H15N6O), 165 (5, M+-C21H17N6O), 139 (17, M+-C22H17N7O), 131 (6, M+-C25H17N5O), 88 (44, M+-C27H22N6O), 76 (100, M+-C26H18N8O) and 62 (21, M+-C28H22N7O); Anal. Calc. for C32H22N8O (534.57): C, 71.90; H, 4.15; N, 20.96%, found: C, 71.79; H, 3.97; N, 20.62%.
(Z)-3-{2-(3-Phenydiazenyl-2,5-diphenylpyrazolo[1,5-c]pyrimidin-7-yl)hydrazono}-5-methyl-indolin-2-one (7b). Yield 94%; m.p. 338–340 °C; IR (cm−1): 3460 (NH), 1689 (indole ring C=O), 1629 (pyrazole ring C=N), 1557 (pyrimidine ring C=N) and 1455 (pyrimidine ring C=C); MS, m/z (%): 548 (1, M+), 520 (3, M+-N2), 445 (40, M+-C7H5N), 444 (3, M+-C6H4N2), 367 (1, M+-C13H9O), 339 (100, M+-C13H11N3), 312 (2, M+-C14H10N3O), 270 (11, M+-C15H12N5O−), 234 (29, M+-C20H18N4), 167 (4, M+-C22H17N6O), 165 (3, M+-C22H19N6O), 145 (6, M+-C25H17N5O), 139 (16, M+-C23H19N7O), 88 (52, M+-C28H24N6O), 76 (7, M+-C27H20N8O) and 62 (8, M+-C29H24N7O); Anal. Calc. for C33H24N8O (548.60): C, 72.25; H, 4.41; N, 20.43%, found: C, 72.12; H, 4.20; N, 20.22%.
(Z)-3-{2-(3-Phenyldiazenyl-2,5-diphenylpyrazolo[1,5-c]pyrimidin-7-yl)hydrazono}-5-chloro-indolin-2-one (7c). Yield 94%; m.p. 328–330 °C; IR (cm−1): 3460 (NH), 1690 (indole ring C=O), 1626 (pyrazole ring C=N), 1553 (pyrimidine ring C=N) and 1451 (pyrimidine ring C=C); MS, m/z (%): 568 (2, M+), 540 (3, M+-N2), 465 (45, M+-C7H5N), 464 (1, M+-C6H4N2), 387 (5, M+-C13H9O), 359 (100, M+-C13H11N3), 339 (5, M+-C12H8ClN3), 332 (4, M+-C14H10N3O), 270 (17, M+-C14H9ClN5O−), 234 (46, M+-C19H15ClN4), 167 (8, M+-C21H14ClN6O), 165 (4, M+-C21H16ClN6O), 139 (18, M+-C22H16ClN7O), 88 (12, M+-C27H21ClN6O), 76 (50, M+-C26H17ClN8O) and 62 (13, M+-C28H21ClN7O); Anal. Calc. for C32H21ClN8O (569.02): C, 67.55; H, 3.72; Cl, 6.23; N, 19.69%, found: C, 67.36; H, 3.61; Cl, 5.82; N, 19.42%.
3.2.8. 2,5-Diphenylindolo[2,3-e]pyrazolo[1',5':3",4"]pyrimido[2",1"-c][1,2,4]triazines 13a–c
A solution of (E)-3a–c (0.0023 mol) in phosphorus oxychloride (15 mL) was heated at 70–80 °C for two hours. The mixture was cooled, poured onto crushed ice and made alkaline (pH = 9) with potassium hydrogen carbonate. The target productswere filtered off, washed with water, dried and crystallized from dimethylformamide as reddish-brown needles.
2,5-Diphenylindolo[2,3-e]pyrazolo[1',5':3",4"]pyrimido[2",1"-c][1,2,4]triazines (13a). Yield 93%; m.p. 308–310 °C; IR (cm−1): 1647 (indole ring C=N), 1624 (pyrazole ring C=N), 1535 (triazine ring C=N) and 1470 (pyrimidine ring C=C); 1H-NMR (DMSO-d6, δ, ppm): 7.24 (d, 1H, aromatic-H), 7.53 (s, 1H, pyrazole-H), 7.33–7.55 (m, 9H, aromatic-H), 7.91 (s, 1H, pyrimidine-H), 8.13 (d, 2H, aromatic-H), 8.20 (d, 2H, aromatic-H); MS, m/z (%): 412 (64, M+), 335 (2, M+-C6H5), 307 (15, M+-C6H5N2), 281 (13, M+-C8H7N2), 253 (8, M+-C8H7N4), 228 (7, M+-C12H12N2−), 217 (8, M+-C13H11N2), 191 (4, M+-C14H11N3), 176 (7, M+-C14H12N4), 150 (12, M+-C15H12N5), 114 (17, M+-C20H16N3), 88 (27, M+-C21H16N4), 76 (100, M+-C20H12N6), 62 (11, M+-C22H16N5) and 50 (34, M+-C23H16N5); Anal. Calc. for C26H16N6 (412.45): C, 75.71; H, 3.91; N, 20.38%, found: C, 75.49; H, 3.76; N, 20.08%.
2,5-Diphenyl-10-methylindolo[2,3-e]pyrazolo[1',5':3",4"]pyrimido[2",1"-c][1,2,4]triazines (13b). Yield 96%; m.p. 286–288 °C; IR (cm−1): 1648 (indole ring C=N), 1604 (pyrazole ring C=N), 1542 (triazine ring C=N) and 1474 (pyrimidine ring C=C); 1H-NMR (DMSO-d6, δ, ppm): 2.44 (s, 3H, CH3), 7.11 (d, 1H, aromatic-H), 7.42 (s, 1H, pyrazole-H), 7.33–7.53 (m, 8H, aromatic-H), 7.55 (s, 1H, pyrimidine-H), 8.01 (d, 2H, aromatic-H), 8.13 (d, 2H, aromatic-H); MS, m/z (%): 426 (100, M+), 349 (2, M+-C6H5), 321 (2, M+-C6H5N2), 295 (2, M+-C8H7N2), 267 (7, M+-C8H7N4), 242 (12, M+-C12H12N2−), 217 (5, M+-C14H13N2), 191 (5, M+-C15H13N3), 190 (10, M+-C14H12N4), 164 (9, M+-C15H12N5), 114 (35, M+-C21H18N3), 88 (25, M+-C22H18N4), 76 (71, M+-C21H14N6), 62 (17, M+-C23H18N5) and 50 (33, M+-C24H18N5); Anal. Calc. for C27H18N6 (426.47): C, 76.04; H, 4.25; N, 19.71%, found: C, 75.90; H, 4.15; N, 19.36%.
2,5-Diphenyl-10-chloroindolo[2,3-e]pyrazolo[1',5':3",4"]pyrimido[2",1"-c][1,2,4]triazines (13c). Yield 94%; m.p. 276–278 °C; IR (cm−1): 1645 (indole ring C=N), 1619 (pyrazole ring C=N), 1563 (triazine ring C=N) and 1453 (pyrimidine ring C=C); MS, m/z (%): 446 (2, M+ ), 369 (1, M+-C6H5), 341 (2, M+-C6H5N2), 315 (5, M+-C8H7N2), 287 (10, M+-C8H7N4), 262 (8, M+-C12H12N2−), 217 (4, M+-C13H10ClN2), 210 (3, M+-C14H12N4), 191 (3, M+-C14H10ClN3), 184 (2, M+-C15H12N5), 114 (4, M+-C20H15ClN3), 88 (3, M+-C21H15ClN4), 76 (100, M+-C20H11ClN6), 62 (3, M+-C22H15ClN5) and 50 (44, M+-C23H15ClN5); Anal. Calc. for C26H15ClN6 (446.89): C, 69.88; H, 3.38; Cl, 7.93; N, 18.81%, found: C, 69.69; H, 3.16; Cl, 7.70; N, 18.42%.
3.2.9. 4-Bromo-2,5-diphenylindolo[2,3-e]pyrazolo[1',5':3",4"]pyrimido[2",1"-c][1,2,4]triazines 14a–c
A solution of bromine (0.06 mL, 0.0012 mol) in acetic acid (10 mL) was gradually added to a suspension of 13a–c (0.001 mol) in acetic acid (10 mL) with stirring for three hours at room temperature. The reaction mixture was then poured onto crushed ice. The products that separated out were filtered off, washed with water, dried and crystallized from dimethylformamide as brown needles.
4-Bromo-2,5-diphenylindolo[2,3-e]pyrazolo[1',5':3",4"]pyrimido[2",1"-c][1,2,4]triazine (14a). Yield 91%; m.p. 282–284 °C; IR (cm−1): 1659 (indole ring C=N), 1616 (pyrazole ring C=N), 1551 (triazine ring C=N) and 1462 (pyrimidine ring C=C); 1H-NMR (DMSO-d6, δ, ppm): 7.26 (d, 1H, aromatic-H), 7.33 (s, 1H, pyrazole-H), 7.36–7.63 (m, 9H, aromatic-H), 8.05 (d, 2H, aromatic-H), 8.20 (d, 2H, aromatic-H); MS, m/z (%): 491 (1, M+), 307 (1, M+-C7H6BrN), 306 (1, M+-C6H5BrN2), 281 (1, M+-C8H6BrN2), 253 (1, M+-C8H6BrN4), 228 (2, M+-C12H11BrN2−), 217 (1, M+-C13H10BrN2), 191 (1, M+-C14H10BrN3), 176 (2, M+-C14H11BrN4), 150 (2, M+-C15H11BrN5), 114 (2, M+-C20H15BrN3), 88 (5, M+-C21H15BrN4), 76 (100, M+-C20H11BrN6), 62 (5, M+-C22H15BrN5) and 50 (33, M+-C23H15BrN5); Anal. Calc. for C26H15BrN6 (491.34): C, 63.56; H, 3.08; Br, 16.26; N, 17.10%, found: C, 63.41; H, 2.86; Br, 15.94; N, 16.72%.
4-Bromo-2,5-diphenyl-10-methylindolo[2,3-e]pyrazolo[1',5':3",4"]pyrimido[2",1"-c][1,2,4]triazine (14b). Yield 92%; m.p. 308–310 °C; IR (cm−1): 1674 (indole ring C=N), 1631 (pyrazole ring C=N), 1562 (triazine ring C=N) and 1477 (pyrimidine ring C=C); 1H-NMR (DMSO-d6, δ, ppm): 2.43 (s, 3H, CH3), 7.11 (d, 1H, aromatic-H), 7.28 (s, 1H, pyrazole-H), 7.34-7.64 (m, 7H, aromatic-H), 7.92 (d, 2H, aromatic-H), 7.99 (s, 1H, aromatic-H), 8.13 (d, 2H, aromatic-H); MS, m/z (%): 505 (8, M+ ), 321 (1, M+-C7H6BrN), 320 (5, M+-C6H5BrN2), 295 (1, M+-C8H6BrN2), 267 (1, M+-C8H6BrN4), 242 (1, M+-C12H11BrN2−), 217 (1, M+-C14H12BrN2), 191 (1, M+-C15H12BrN3), 190 (6, M+-C14H11BrN4), 164 (3, M+-C15H11BrN5), 114 (19, M+-C21H17BrN3), 88 (17, M+-C22H17BrN4), 76 (100, M+-C21H13BrN6), 62 (8, M+-C23H17BrN5) and 50 (27, M+-C24H17BrN5); Anal. Calc. for C27H17BrN6 (505.37): C, 64.17; H, 3.39; Br, 15.81; N, 16.63%, found: C, 64.07; H, 3.24; Br, 15.53; N, 16.29%.
4-Bromo-2,5-diphenyl-10-chloroindolo[2,3-e]pyrazolo[1',5':3",4"]pyrimido[2",1"-c][1,2,4]triazine (14c). Yield 92%; m.p. 240–242 °C; IR (cm−1): 1667 (indole ring C=N), 1616 (pyrazole ring C=N), 1550 (triazine ring C=N) and 1449 (pyrimidine ring C=C); MS, m/z (%): 525 (1, M+), 341 (2, M+-C7H6BrN), 340 (1, M+-C6H5BrN2), 315 (1, M+-C8H6BrN2), 287 (13, M+-C8H6BrN4), 262 (3, M+-C12H11BrN2−), 217 (1, M+-C13H9BrClN2), 210 (1, M+-C14H11BrN4), 191 (1, M+-C14H9BrClN3), 184 (2, M+-C15H11BrN5), 114 (2, M+-C20H14BrClN3), 88 (8, M+-C21H14BrClN4), 76 (100, M+-C20H10BrClN6), 62 (14, M+-C22H14BrClN5) and 50 (59, M+-C23H14BrClN5); Anal. Calc. for C26H14BrClN6 (525.79): C, 59.39; H, 2.68; Br, 15.20; Cl, 6.74; N, 15.98%, found: C, 59.16; H, 2.57; Br, 14.73; Cl, 6.34; N, 15.71%.
3.2.10. 3-Bromo-2,5-diphenylindolo[2,3-e]pyrazolo[1',5':3",4"]pyrimido[2",1"-c][1,2,4]triazines 17a–c
A solution of (Z)-4a–c (0.0005 mol) in phosphorus oxychloride (5 mL) was heated at 70–80 °C for two hours. The mixture was cooled and poured onto crushed ice and basified with potassium hydrogen carbonate to pH = 9. The products were filtered off, washed with water, dried and crystallized from dimethylformamide.
3-Bromo-2,5-diphenylindolo[2,3-e]pyrazolo[1',5':3",4"]pyrimido[2",1"-c][1,2,4]triazine (17a). Yield 90%; m.p. 302–304 °C; IR (cm−1): 1641 (indole ring C=N), 1619 (pyrazole ring C=N), 1561 (triazine ring C=N) and 1474 (pyrimidine ring C=C); 1H-NMR (DMSO-d6, δ, ppm): 6.93 (d, 1H, aromatic-H), 7.01–7.92 (m, 9H, aromatic-H), 7.94 (s, 1H, pyrimidine-H), 8.05 (d, 2H, aromatic-H), 8.28 (d, 2H, aromatic-H); MS, m/z (%): 491 (1, M+), 307 (13, M+-C7H6BrN), 306 (1, M+-C6H5BrN2), 281 (4, M+-C8H6BrN2), 253 (13, M+-C8H6BrN4), 228 (18, M+-C12H11BrN2−), 217 (6, M+-C13H10BrN2), 191 (5, M+-C14H10BrN3), 176 (5, M+-C14H11BrN4), 150 (10, M+-C15H11BrN5), 114 (31, M+-C20H15BrN3), 88 (2, M+-C21H15BrN4), 76 (2, M+-C20H11BrN6), 62 (1, M+-C22H15BrN5) and 50 (100, M+-C23H15BrN5); Anal. Calc. for C26H15BrN6 (491.34): C, 63.56; H, 3.08; Br, 16.26; N, 17.10%, found: C, 63.41; H, 2.92; Br, 15.83; N, 16.79%.
3-Bromo-2,5-diphenyl-10-methylindolo[2,3-e]pyrazolo[1',5':3",4"]pyrimido[2",1"-c][1,2,4]triazine (17b). Yield 90%; m.p. 200–202 °C; IR (cm−1): 1667 (indole ring C=N), 1619 (pyrazole ring C=N), 1567 (triazine ring C=N) and 1454 (pyrimidine ring C=C); 1H-NMR (DMSO-d6, δ, ppm): 2.34 (s, 3H, CH3), 7.12 (d, 1H, aromatic-H), 7.19–7.67 (m, 8H, aromatic-H), 7.69 (s, 1H, pyrimidine-H), 8.00 (d, 2H, aromatic-H), 8.09 (d, 2H, aromatic-H); MS, m/z (%): 505 (1, M+), 321 (1, M+-C7H6BrN), 320 (1, M+-C6H5BrN2), 295 (1, M+-C8H6BrN2), 267 (1, M+-C8H6BrN4), 242 (1, M+-C12H11BrN2−), 217 (1, M+-C14H12BrN2), 191 (1, M+-C15H12BrN3), 190 (4, M+-C14H11BrN4), 164 (2, M+-C15H11BrN5), 114 (30, M+-C21H17BrN3), 88 (12, M+-C22H17BrN4), 76 (100, M+-C21H13BrN6), 62 (19, M+-C23H17BrN5) and 50 (69, M+-C24H17BrN5); Anal. Calc. for C27H17BrN6 (505.37): C, 64.17; H, 3.39; Br, 15.81; N, 16.63%, found: C, 63.70; H, 3.24; Br, 15.52; N, 16.20%.
3-Bromo-2,5-diphenyl-10-chloroindolo[2,3-e]pyrazolo[1',5':3",4"]pyrimido[2",1"-c][1,2,4]triazine (17c). Yield 90%; m.p. 248–250 °C; IR (cm−1): 1667 (indole ring C=N), 1625 (pyrazole ring C=N), 1564 (triazine ring C=N) and 1456 (pyrimidine ring C=C); MS, m/z (%): 525 (2, M+), 341 (1, M+-C7H6BrN), 340 (1, M+-C6H5BrN2), 315 (1, M+-C8H6BrN2), 287 (2, M+-C8H6BrN4), 262 (1, M+-C12H11BrN2−), 217 (3, M+-C13H9BrClN2), 210 (2, M+-C14H11BrN4), 191 (4, M+-C14H9BrClN3), 184 (5, M+-C15H11BrN5), 114 (8, M+-C20H14BrClN3), 88 (15, M+-C21H14BrClN4), 76 (100, M+-C20H10BrClN6), 62 (12, M+-C22H14BrClN5) and 50 (36, M+-C23H14BrClN5); Anal. Calc. for C26H14BrClN6 (525.79): C, 59.39; H, 2.68; Br, 15.20; Cl, 6.74; N, 15.98%, found: C, 59.12; H, 2.49; Br, 14.72; Cl, 6.31; N, 15.54%.
3.2.11. 4-Iodo-2,5-diphenylindolo[2,3-e]pyrazolo[1',5':3",4"]pyrimido[2",1"-c][1,2,4]triazines 15a,b
A solution of iodine monochloride (0.20 g, 0.0012 mol) in acetic acid (10 mL) was gradually added to a suspension of 13a,b (0.001 mol) in acetic acid (10 mL) with stirring for three hours at room temperature. The reaction mixture was then poured onto crushed ice and the products that separated out were filtered off, washed with water, dried and crystallized from dimethylformamide.
4-Iodo-2,5-diphenylindolo[2,3-e]pyrazolo[1',5':3",4"]pyrimido[2",1"-c][1,2,4]triazine (15a). Yield 90%; m.p. 314–316 °C; IR (cm−1): 1652 (indole ring C=N), 1620 (pyrazole ring C=N), 1567 (triazine ring C=N) and 1438 (pyrimidine ring C=C); 1H-NMR (DMSO-d6, δ, ppm): 7.22 (d, 1H, aromatic-H), 7.37 (t, 1H, aromatic-H), 7.41 (s, 1H, pyrazole-H), 7.42-7.59 (m, 8H, aromatic-H), 8.16 (d, 2H, aromatic-H), 8.20 (d, 2H, aromatic-H); MS, m/z (%): 538 (1, M+), 307 (3, M+-C7H6IN), 306 (2, M+-C6H5IN2), 281 (2, M+-C8H6IN2), 253 (1, M+-C8H6IN4), 228 (1, M+-C12H11IN2−), 217 (1, M+-C13H10IN2), 191 (1, M+-C14H10IN3), 176 (1, M+-C14H11IN4), 150 (1, M+-C15H11IN5), 114 (4, M+-C20H15IN3), 88 (4, M+-C21H15IN4), 76 (100, M+-C20H11IN6), 62 (7, M+-C22H15IN5) and 50 (29, M+-C23H15IN5); Anal. Calc. for C26H15IN6 (538.34): C, 58.01; H, 2.81; I, 23.57; N, 15.61%, found: C, 57.82; H, 2.66; I, 23.19; N, 15.14%.
4-Iodo-2,5-diphenyl-10-methylindolo[2,3-e]pyrazolo[1',5':3",4"]pyrimido[2",1"-c][1,2,4]triazine (15b). Yield 89%; m.p. 298–300 °C; IR (cm−1): 1689 (indole ring C=N), 1622 (pyrazole ring C=N), 1560 (triazine ring C=N) and 1449 (pyrimidine ring C=C); 1H-NMR (DMSO-d6, δ, ppm): 2.31 (s, 3H, CH3), 6.83 (d, 1H, aromatic-H), 7.47 (s, 1H, pyrazole-H), 7.09–7.58 (m, 8H, aromatic-H), 8.00 (d, 2H, aromatic-H), 8.25 (d, 2H, aromatic-H); MS, m/z (%): 552 (1, M+), 321 (1, M+-C7H6IN), 320 (1, M+-C6H5IN2), 295 (1, M+-C8H6IN2), 267 (1, M+-C8H6IN4), 242 (2, M+-C12H11IN2−), 217 (1, M+-C14H12IN2), 191 (1, M+-C15H12IN3), 190 (1, M+-C14H11IN4), 164 (2, M+-C15H11IN5), 114 (8, M+-C21H17IN3), 88 (4, M+-C22H17IN4), 76 (100, M+-C21H13IN6), 62 (12, M+-C23H17IN5) and 50 (37, M+-C24H17IN5); Anal. Calc. for C27H17IN6 (552.37): C, 58.71; H, 3.10; I, 22.97; N, 15.21%, found: C, 58.58; H, 2.89; I, 22.62; N, 14.94%.
3.2.12. 4-Nitro-2,5-diphenyl-10-methylindolo[2,3-e]pyrazolo[1',5':3",4"]pyrimido[2",1"-c][1,2,4] triazines 16b,c
A mixture of nitric acid (d 1.14, 1 mL) and sulfuric acid (d 1.84, 1 mL) in glacial acetic acid (10 mL) was added gradually to a suspension of 13b,c (0.001 mol) in acetic acid (10 mL) with stirring for three hours at room temperature. The reaction mixture was then poured onto crushed ice and the products that separated out were filtered off, washed with water, dried and crystallized from dimethylformamide.
4-Nitro-2,5-diphenyl-10-methylindolo[2,3-e]pyrazolo[1',5':3",4"]pyrimido[2",1"-c][1,2,4]triazine (16b). Yield 92%; m.p. 312–314 °C; IR (cm−1): 1650 (indole ring C=N), 1617 (pyrazole ring C=N), 1555 (triazine ring C=N), 1449 (pyrimidine ring C=C) and 1421, 1391 (NO); MS, m/z (%): 471 (2, M+), 321 (2, M+-C7H6N2O2), 320 (2, M+-C6H5N3O2), 295 (2, M+-C8H6N3O2), 267 (2, M+-C8H6N5O2), 242 (2, M+-C12H11N3O2−), 217 (3, M+-C14H12N3O2), 191 (3, M+-C15H12N4O2), 190 (2, M+-C14H11N5O2), 164 (3, M+-C15H11N6O2), 114 (3, M+-C21H17N4O2), 88 (4, M+-C22H17N5O2), 76 (70, M+-C21H13N7O2), 62 (4, M+-C23H17N6O2) and 50 (100, M+-C24H17N6O2); Anal. Calc. for C27H17N7O2 (471.47): C, 68.78; H, 3.63; N, 20.80%, found: C, 68.49; H, 3.52; N, 20.49%.
4-Nitro-2,5-diphenyl-10-chloroindolo[2,3-e]pyrazolo[1',5':3",4"]pyrimido[2",1"-c][1,2,4]triazine (16c). Yield 92%; m.p. 226–228 °C; IR (cm−1): 1681 (indole ring C=N), 1622 (pyrazole ring C=N), 1530 (triazine ring C=N), 1442 (pyrimidine ring C=C), and 1426,1342 (NO2); MS, m/z (%): 491 (1, M+), 341 (1, M+-C7H6N2O2), 340 (1, M+-C6H5N3O2), 315 (4, M+-C8H6N3O2), 287 (2, M+-C8H6N5O2), 262 (2, M+-C12H11N3O2−), 217 (2, M+-C13H9ClN3O2), 210 (2, M+-C14H11N5O2), 191 (3, M+-C14H9ClN4O2), 184 (1, M+-C15H11N6O2), 114 (9, M+-C20H14ClN4O2), 88 (4, M+-C21H14ClN5O2), 76 (100, M+-C20H10ClN7O2), 62 (8, M+-C22H14ClN6O2) and 50 (30, M+-C23H14ClN6O2); Anal. Calc. for C26H14ClN7O2 (491.89): C, 63.49; H, 2.87; Cl, 7.21; N, 19.93%, found: C, 63.27; H, 2.71; Cl, 6.83; N, 19.54%.
3.3. Biological Screening: Antibacterial Activity Tests
The antibacterial activities of compounds 3–7 and 13–16 were tested against three Gram-positive (Bacillus subtilis,Micrococcus luteus, and Staphylococcus aureus) and two Gram-negative (Escherichia coli, and Pseudomonas aeruginosa) clinical multidrug resistant (MDR) test bacteria isolated from diabetic foot ulcers. Used clinical bacteria are with MIC > 256 µg/mL for amino- glycosides, penicillins, 1st–3rd generations of cephalosparins and ciprofloxacin and ofloxacin fluoro quinolines.
Bioactivities (Minimum Inhibitory Concentration, MIC) were determined according to the recommendations of NCCLS [36] and Massoud et al. [37].
All compounds were first dissolved in DMSO and serially diluted to have final concentrations from 256–1 µg/mL culture medium at 1.5 dilution factor. The MIC value of a compound is the lowest concentration that inhibits the bacterial growth. The smaller the MIC value the more active is the compound. Compounds with MIC values above 256 µg/mL are considered to be inactive. It should be taken into consideration, before discussing the bioactivity of this set of compounds, that the used bacteria, being MDR, are highly resistant to the antibiotics of choice that are commonly used to treat infections by these bacteria.
From the data presented in Table 1, it is clear that from the 28 tested compounds, twelve compounds were active, six active against B. subtilis, four active against M. luteus, two active against S. aureus, none active against E. coli and three active against Ps. aeruginosa. (E)-3b, 7a and 14a were active against two of the tested bacteria and other were active against only one. This means that none of the tested compounds have broad antibacterial spectrum except (E)-3b.
Table 1.
Minimum inhibitory concentration (MIC) (µg/mL) of compounds 3–7 and 13–16 against selected bacterial strains.
| Compound No. | Gram-positive | Gram-negative | |||
|---|---|---|---|---|---|
| B. subtilis | M. luteus | S. aureus | E. coli | Ps. aeruginosa | |
| MIC (µg/mL) | |||||
| (E)-3a | >256 | >256 | >256 | >256 | >256 |
| (E)-3b | >256 | 24 | >256 | >256 | 48 |
| (E)-3c | >256 | >256 | >256 | >256 | >256 |
| (Z)-3a | >256 | >256 | >256 | >256 | >256 |
| (Z)-3b | >256 | 32 | >256 | >256 | >256 |
| (Z)-3c | >256 | >256 | >256 | >256 | >256 |
| (Z)-4a | >256 | >256 | >256 | >256 | >256 |
| (Z)-4b | >256 | >256 | >256 | >256 | 16 |
| (Z)-4c | >256 | >256 | >256 | >256 | >256 |
| (Z)-5a | >256 | >256 | >256 | >256 | >256 |
| (Z)-5b | >256 | >256 | >256 | >256 | >256 |
| (Z)-5c | 12 | >256 | >256 | >256 | >256 |
| (Z)-6a | >256 | >256 | >256 | >256 | >256 |
| (Z)-6b | >256 | >256 | >256 | >256 | >256 |
| (Z)-6c | >256 | >256 | >256 | >256 | 24 |
| (Z)-7a | >256 | 32 | 48 | >256 | >256 |
| (Z)-7b | 24 | >256 | >256 | >256 | >256 |
| (Z)-7c | >256 | >256 | >256 | >256 | >256 |
| 13a | >256 | >256 | >256 | >256 | >256 |
| 13b | 16 | >256 | >256 | >256 | >256 |
| 13c | >256 | >256 | >256 | >256 | >256 |
| 14a | >256 | 24 | 32 | >256 | >256 |
| 14b | >256 | >256 | >256 | >256 | >256 |
| 14c | 32 | >256 | >256 | >256 | >256 |
| 15a | 32 | >256 | >256 | >256 | >256 |
| 15b | >256 | >256 | >256 | >256 | >256 |
| 16b | 48 | >256 | >256 | >256 | >256 |
| 16c | >256 | >256 | >256 | >256 | >256 |
The previous results showed clearly the structure activity relationships. Thus, the presence of methyl group at position-5 of the indolinone ring (E and Z)-3b generates antibacterial activity. Also, the presence of electron attracting group (Br, I, NO2 and C6H5N2) at position-3 or position-4 4b, 5c, 6c, 7a, 7b, 14a, 14c, 15a and 16b produces antibacterial activities.
4. Conclusions
In conclusion, the two geometrical isomers (E and Z)-3-{2-(2,5-diphenylpyrazolo[1,5-c]pyrimidin-7-yl)hydrazono}indolin-2-ones and their substituted derivatives have been synthesized. The target compounds 2,5-diphenylindolo[2,3-e]pyrazolo[1',5':3",4"]pyrimido[2",1"-c][1,2,4]-triazines were achieved by dehydrative cyclisation of pyrazolopyrimidinoindolinonehydrazones and their reactivity towards electrophilic substitution reactions were also studied. Some of the synthesized compounds were found to possess slight to moderate activity against the microorganisms Bacillus subtilis, Micrococcus luteus, Staphylococcus aureus, Escherichia coli and Pseudomonas aeruginosa.
Acknowledgment
The authors are grateful to Yousry M. Gohar of Medicinal Microbiology, Microbiology Branch, Faculty of Science, Alexandria University for facilities allowed, valuable discussion and characterizing our synthesized compounds.
References and Notes
- Clark, J.; Shohhet, M.S.; Korakas, D.; Varvounis, G. Synthesis of thieno[2,3-d]pyrimidines from 4,6-dichloropyrimidine-5-carbaldehydes. J. Heterocycl. Chem. 1993, 30, 1065–1072. [Google Scholar] [CrossRef]
- Kogowwra, I.Y.; Yimatsusita, N.N.; Pfkador, J.K. Syntheses of substituted 2,4-dioxo- thienopyrimidin-1-acetic acids and their evaluation as aldose reductase inhibitors. Eur. J. Med. Chem. 1993, 28, 769–781. [Google Scholar] [CrossRef]
- Tozkoparan, B.; Ertan, M.; Kelicen, P.; Demirdamar, R. Synthesis and anti-inflammatory activities of some thiazolo[3,2-a]pyrimidine derivatives. Il Farmaco 1999, 54, 588–593. [Google Scholar] [CrossRef]
- Quiroga, J.; Insuasty, B.; Craz, S.; Herrandez, P.; Bolafios, A.; Moreno, R.; Hormoza, A.; DeAlmeidas, R.H. A new tautomeric zwitterion form of 2-acylamino-4H-1,3,4-oxadiazino[5,6-b]quinoxalines in solution. J. Heterocycl. Chem. 1998, 35, 1333–1338. [Google Scholar] [CrossRef]
- Santagati, M.; Modica, M.; Santagati, A.; Russo, F.; Spampinato, S. Synthesis of amino-thienopyrimidine and thienotriazolopyrimidine derivatives as potential anticonvulsant agents. Pharmazie 1996, 51, 7–11. [Google Scholar]
- Ahluwalia, V.K.; Chopra, M.; Chandra, R. A Convenient Synthesis of Novel Pyrimidine Analogues of o-Hydroxy Chalcones and Pyrano[2,3-d]pyrimidines and Their Biological Activities. J. Chem. Res. 2000, 2000, 162–163. [Google Scholar]
- Nargund, L.V.G.; Badiger, V.V.; Yarnal, S.U. Synthesis and antibacterial activity of substituted 4-aryloxypyrimido[5,4-c]cinnolines. Eur. J. Med. Chem. 1994, 29, 245–247. [Google Scholar] [CrossRef]
- Vanlaar, M.; Volerts, E.; Verbaten, M. Subchronic effects of the GABA-agonist lorazepam and the 5-HT2A/2C antagonist ritanserin on driving performance, slow wave sleep and daytime sleepiness in healthy volunteers. Psychopharmacology 2001, 154, 189–197. [Google Scholar] [CrossRef]
- Danel, K.; Pedersen, E.B.; Nielsen, C. Synthesis and anti-HIV-1 activity of novel 2,3-dihydro-7H-thiazolo[3,2-a]pyrimidin-7-ones. J. Med. Chem. 1998, 41, 191–198. [Google Scholar] [CrossRef]
- Nehad, A.A.; Nermien, M.S.; Ashraf, M.M.; Abdulla, M.M. Synthesis, Analgesic, and Antiparkinsonian Profiles of Some Pyridine, Pyrazoline, and Thiopyrimidine Derivatives. Monatsh. Chem. 2007, 138, 715–724. [Google Scholar] [CrossRef]
- Ahmed, F.A.S.; Abdulla, M.M.; Amr, A.E.; Azza, A.H. Synthesis, Reactions, and Anti-arrhythmic activity of Substituted Heterocyclic Systems Using 5-Chloroanisic Acid as Starting Material. Monatsh. Chem. 2007, 138, 1019–1027. [Google Scholar] [CrossRef]
- Hammam, A.G.; Fahmy, A.F.M.; Amr, A.E.; Mohamed, A.M. Synthesis of novel tricyclic heterocyclic compounds as potential anticancer agents using chromanone and thiochromanoneas synthons. Indian J. Chem. 2003, 42B, 1985–1993. [Google Scholar]
- Amr, A.E.; Hegab, M.I.; Ibrahim, A.A.; Abdalah, M.M. Synthesis and Reactions of Some Fused Oxazinone, Pyrimidinone, Thiopyrimidinone, and Triazinone Derivatives with a Thiophene Ring as Analgesic, Anticonvulsant, and Antiparkinsonian Agents. Monatsh. Chem. 2003, 134, 1395–1409. [Google Scholar] [CrossRef]
- Amr, A.E.; Abdulla, M.M. Synthesis and pharmacological screening of some new pyrimidine and cyclohexenone fused steroidal derivatives. Indian J. Heterocycl. Chem. 2002, 12, 129–134. [Google Scholar]
- Nehad, A.A.; Amr, A.E.; Alhusien, A.I. Synthesis, Reactions, and Pharmacological Screening of Heterocyclic Derivatives Using Nicotinic Acid as a Natural Synthon. Monatsh. Chem. 2007, 138, 559–567. [Google Scholar] [CrossRef]
- Amr, A.E.; Nermien, M.S.; Abdulla, M.M. Synthesis, Reactions, and Anti-inflammatory Activity of Heterocyclic Systems Fused to a Thiophene Moiety Using Citrazinic Acid As Synthon. Monatsh. Chem. 2007, 138, 699–707. [Google Scholar] [CrossRef]
- Amr, A.E.; Ashraf, M.M.; Salwa, F.M.; Nagla, A.A.; Hammam, A.G. Anticancer activities of some newly synthesized pyridine, pyrane, and pyrimidine derivatives. Bioorg. Med. Chem. 2006, 14, 5481–5488. [Google Scholar] [CrossRef]
- Amr, A.E.; Sayed, H.H.; Abdulla, M.M. Synthesis and Reactions of Some New Substituted Pyridine and Pyrimidine Derivatives as Analgesic, Anticonvulsant and Antiparkinsonian Agents. Arch. Pharm. 2005, 338, 433–440. [Google Scholar] [CrossRef]
- Elliott, R.J.; Gardner, D.L. Proline determination with isatin, in the presence of amino acids. Anal. Biochem. 1976, 70, 268–273. [Google Scholar] [CrossRef]
- Kapyla, M. Testing the age and viability of airborne pollen. Grana 1991, 30, 430–433. [Google Scholar] [CrossRef]
- Shah, A.; Rahman, S.S.; deBiasi, V.; Camilleri, P. Development of Colorimetric Method for the Detection of Amines Bound to Solid Support. Anal. Commun. 1997, 34, 325–328. [Google Scholar] [CrossRef]
- Yamaguchi, Y. Non-chromatographic screening test for hyperprolinemia. Clin. Chem. 1978, 12, 2178–2179. [Google Scholar]
- Broadhurst, A.V.; Roberts, N.A.; Ritchie, A.J.; Handa, B.K.; Kay, C. Assay of HIV-1 proteinase: A colorimetric method using small peptide substrates. Anal. Biochem. 1991, 193, 280–286. [Google Scholar] [CrossRef]
- Bonte, W.; Johansson, J.; Garbe, G.; Berg, S. Determination of the amino acid spectrum as an aid in the up-dating of skeletal findings. Arch. Kriminol. 1976, 158, 163–174. [Google Scholar]
- Dochinets, D.I.; Zorya, B.P.; Petrenko, V.V.; Klyuev, N.A. New analytical reagents for 3-oxosteroids. Ukr. Khim. Zh. (Russ. Ed.) 1989, 55, 389–392, [Chem. Abstr. 1989, 111, 160356j]. [Google Scholar]
- Dochinets, D.I.; Petrenko, V.V.; Zorya, B.P. Isatin 3-hydrazone as a new reagent for determination of 3-oxosteroids. Zh. Anat. Khim. 1989, 44, 510–513, [Chem. Abstr. 1989, 110, 219165f]. [Google Scholar]
- Atta, K.F.; El-Massry, A.M.; Abdel Hamid, H.; El Ashry, E.S.H. Synthesis of 4-(pyrazol-3-yl)[1,2,4-triazolo[4,3-a]quinoxalines and tetrazolo analog. J. Heterocycl. Chem. 1994, 31, 549–552. [Google Scholar] [CrossRef]
- Atta, K.F.M.; El Ashry, E.S.H. Synthesis of 4-(1-phenyl-1H-pyrazol-3-yl)-[1,2,4]triazolo[4,3-a]quinoxalines and their 4-halogenopyrazoyl analogs. J. Heterocycl. Chem. 2011, 48, 1216–1223. [Google Scholar] [CrossRef]
- Atta, K.F.M.; Marei, M.G.; Mohamed, F.A.M. Synthesis and reactionsof a new series of 1,2,4-triazolo[4,3-c]quinazolines. Heterocycles 2011, 83, 339–349. [Google Scholar] [CrossRef]
- Atta, K.F.M.; Marei, M.G.; Abd El Magiad, S.M.; El-Nashar, F.H.A. Annulation and Evaluation of Antibacterial Activity of The New Fused Tricyclic(5,5,6) Ring System of Pyrazolo[1,5-c]-1,2,4-triazolo[4,3-a]pyrimidines. Heterocycles 2011, 83, 1873–1888. [Google Scholar] [CrossRef]
- Atta, K.F.M. Synthesis and Electrophilic Substitutions of Novel Pyrazolo[1,5-c]-1,2,4-triazolo[4,3-a]pyrimidines. Molecules 2011, 16, 7081–7096. [Google Scholar] [CrossRef]
- Atta, K.F.M. Study of the reaction of 5-aryl-7-hydrazino-2-phenylpyrazolo[1,5-c]pyrimidines with 1,3-dicarbonyl compounds. Chin. J. Chem. 2011, 29, 2451–2460. [Google Scholar] [CrossRef]
- Marei, M.G.; Mishrikey, M.M.; Aly, D.M. New Synthesis of Pyrazolo(1,5-c)pyrimidines from Acetylenic β- Diketones. Bull. Chem. Soc. Jpn. 1992, 65, 3419–3422. [Google Scholar] [CrossRef]
- Marei, M.G.; El-Ghanam, M. ChemInform Abstract: Reaction of pyrazolo[1,5-c]pyrimidinethiones with hydrazine: Synthesis of novel substituted pyrazolo[1,5-c]pyrimidine and pyrazolo[1,5-c]tetrazolo[1,5-a]pyrimidine derivatives. ChemInform 1993, 24. [Google Scholar] [CrossRef]
- Rehn, S. Synthesis of Indole and Oxindole Derivatives Incorporating Pyrrolidino, Pyrrolo or Imidazolo Moities. Ph.D. Thesis, Karolinska University, Stockholm, Sweden, December 2004. [Google Scholar]
- National Committee for Clinical Laboratory Standards, Performance Standards for Antimicrobial Susceptibility Testing. The 9th International Supplement, M100-S9; NCCLS: Villanova, PA, USA, 1999.
- Massoud, A.A.; Gohar, Y.M.; Langer, V.; Lincoln, P.; Svensson, F.R.; Jänis, J.; Gårdebjer, S.T.; Haukka, M.; Jonsson, F.; Aneheim, E.; et al. Bis 4,5-diazafluoren-9-one silver(I) nitrate: Synthesis, X-ray structures, solution chemistry, hydrogel loading, DNA coupling and anti-bacterial screening. New J. Chem. 2011, 35, 640–648. [Google Scholar] [CrossRef]
- Sample Availability: Samples of the compounds 3–17 are available from the authors.
© 2011 by the authors; licensee MDPI, Basel, Switzerland. This article is an open access article distributed under the terms and conditions of the Creative Commons Attribution license ( http://creativecommons.org/licenses/by/3.0/).