New 2-Arylbenzofurans from the Root Bark of Artocarpus lakoocha
Abstract
:1. Introduction

2. Results and Discussion

| Position | δH | δC | HMBC (correlation with 1H) | |||
|---|---|---|---|---|---|---|
| 1 | 2 | 1 | 2 | 1 | 2 | |
| 2 | - | - | 154.4 (s) | 153.2 (s) | 6′ | 3*, 6′ |
| 3 | 6.72 (d, 0.5) | 6.86 (d, 1.0) | 105.0 (d) | 103.1 (d) | 4 | - |
| 3a | - | - | 122.9 (s) | 112.3 (s) | 3*, 5 | 3*, 5, 7, OH-4 |
| 4 | 7.36 (d, 8.5) | - | 121.2 (d) | 152.0 (s) | 3 | 5* |
| 5 | 6.75 (dd, 8.5, 2.0) | 6.29 (d, 2.0) | 111.9 (d) | 98.6 (d) | 7, OH-6 | 7, OH-6 |
| 6 | - | - | 153.4 (s) | 157.6 (s) | 4, 7*, OH-6* | 5*, 7*, OH-6* |
| 7 | 6.95 (d, 2.0) | 6.49 (d, 2.0) | 98.2 (d) | 90.4 (d) | 5, OH-6 | 5, OH-6 |
| 7a | - | - | 155.2 (s) | 157.7 (s) | 3, 4, 7* | 7*, 3 |
| 1′ | - | - | 130.2 (s) | 131.9 (s) | 3, 6′* | 6′* |
| 2′ | - | - | 120.1 (s) | 119.0 (s) | 6′, 1′′*, 2′′ | 6′, 1′′* |
| 3′ | - | - | 152.3 (s) | 153.0 (s) | 1′′, 1′′′ | 1′′, 1′′′ |
| 4′ | - | - | 109.6 (s) | 110.2 (s) | 6′, 1′′′*, 2′′′, OH-5′ | 6′, 1′′′*, 2′′′, OH-5′ |
| 5′ | - | - | 149.1 (s) | 151.8 (s) | 6′*, 1′′′, OH-5′* | 6′*, 1′′′, OH-5′* |
| 6′ | 6.70 (s) | 6.80 (s) | 106.9 (d) | 107.6 (d) | OH-5′ | - |
| 1′′ | 3.45 (d, 6.5) | 3.47 (d, 6.5) | 25.6 (t) | 26.2 (t) | 2′′* | 2′′* |
| 2′′ | 5.17 (br t, 6.5) | 5.17 (br t, 6.5) | 123.6 (d) | 124.8 (d) | 1′′*, 4′′, 5′′ | 1′′*, 4′′, 5′′ |
| 3′′ | - | - | 131.2 (s) | 131.1 (s) | 1′′, 4′′*, 5′′* | 1′′, 4′′*, 5′′* |
| 4′′ | 1.72 (s) | 1.74 (s) | 18.1 (q) | 18.3 (q) | 2′′, 5′′ | 2′′, 5′′ |
| 5′′ | 1.67 (s) | 1.65 (s) | 25.7 (q) | 25.9 (q) | 2′′, 4′′ | 2′′, 4′′ |
| 1′′′ | 6.68 (d, 10.0) | 6.74 (d, 10.5 ) | 117.0 (d) | 118.4 (d) | - | - |
| 2′′′ | 5.57 (d, 10.0 ) | 5.65 (d, 10.5) | 128.6 (d) | 128.5 (d) | 4′′′, 5′′′ | 4′′′, 5′′′ |
| 3′′′ | - | - | 78.5 (s) | 79.0 (s) | 1′′′, 2′′′*, 4′′′*, 5′′′*, 6′′′ | 1′′′, 2′′′*, 4′′′*, 5′′′* |
| 4′′′ | 1.36 (s) | 1.37 (s) | 26.2 (q) | 26.6 (q) | 2′′′, 5′′′ | 2′′′ |
| 5′′′ | 1.71 (m) | 1.75 (m) | 41.3 (t) | 42.0 (t) | 2′′′, 4′′′, 6′′′*, 7′′′ | 2′′′, 4′′′, 6′′′* |
| 6′′′ | 2.10 (m) | 2.07 (m) | 22.9 (t) | 23.6 (t) | 5′′′*, 7′′′* | 7′′′* |
| 7′′′ | 5.10 (br t, 7.0 ) | 5.13 (br t, 7.0 ) | 124.2 (d) | 125.1 (d) | 5′′′, 6′′′*, 9′′′, 10′′′ | 5′′′, 9′′′, 10′′′ |
| 8′′′ | - | - | 131.7 (s) | 131.4 (s) | 6′′′, 9′′′*, 10′′′* | 9′′′*, 10′′′* |
| 9′′′ | 1.57 (s) | 1.57 (s) | 17.6 (q) | 17.7 (q) | 7′′′, 10′′′ | 7′′′, 10′′′ |
| 10′′′ | 1.65 (s) | 1.64 (s) | 25.6 (q) | 25.8 (q) | 7′′′, 9′′′ | 7′′′, 9′′′ |
| OH-4 | - | 8.83 (br s) | - | - | ||
| OH-6 | 5.29 (br s) | 8.38 (br s) | - | - | - | - |
| OH-5′ | 5.19 (br s) | 8.48 (br s) | - | - | - | - |

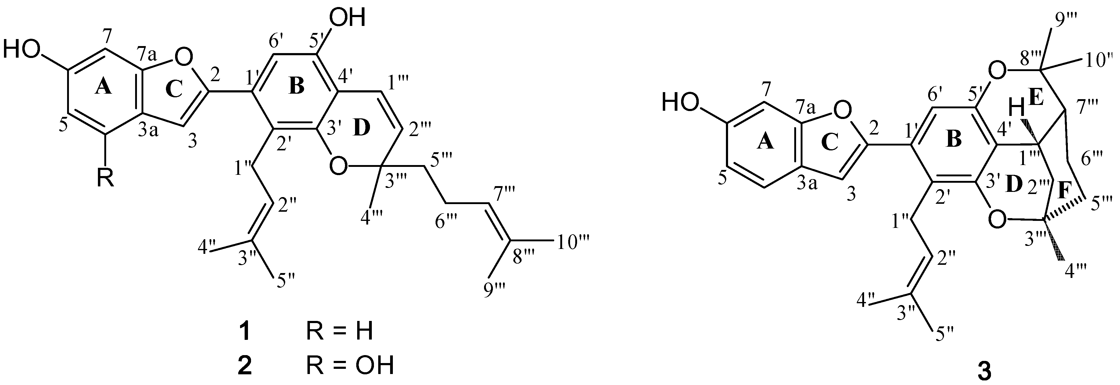
−86.1 and −117.6, respectively). Both shared similar CD properties, displaying a negative Cotton effect at 331 – 334 nm and a negative peak at 227–230 nm (Figure 4), and therefore should have the same stereochemistry at C-3′′′.
| Position | δH | δC | HMBC (correlation with 1H) |
|---|---|---|---|
| 2 | - | 155.4 (s) | 3*, 6′ |
| 3 | 6.68 (d, 1.0) | 104.3 (d) | 4 |
| 3a | - | 123.0 (s) | 3*, 5, 7 |
| 4 | 7.36 (d, 8.0) | 120.9 (d) | 3 |
| 5 | 6.73 (dd, 8.0, 2.0) | 111.6 (d) | 7 |
| 6 | - | 153.3 (s) | 4, 7* |
| 7 | 6.96 (d, 2.0) | 98.2 (d) | 5 |
| 7a | - | 155.5 (s) | 3, 4, 7* |
| 1′ | - | 128.4 (s) | 3, 1′′ |
| 2′ | - | 120.8 (s) | 6′, 1′′* |
| 3′ | - | 154.9 (s) | 1′′ |
| 4′ | - | 117.2 (s) | 6′, 2′′′ |
| 5′ | - | 154.5 (s) | - |
| 6′ | 6.81 (s) | 109.2 (d) | - |
| 1′′ α | 3.40 (dd, 14.5, 7.0 ) | 25.5 (t) | 2′′* |
| 1′′ β | 3.54 (dd, 14.5, 7.0 ) | ||
| 2′′ | 5.19 (t, 7.0 ) | 123.9 (d) | 1′′*, 4′′, 5′′ |
| 3′′ | - | 130.9 (s) | 1′′, 4′′*, 5′′* |
| 4′′ | 1.69 (s) | 18.1 (q) | 2′′, 5′′ |
| 5′′ | 1.66 (s) | 25.8 (q) | 2′′, 4′′ |
| 1′′′ | 2.89 (br t, 2.0) | 28.6 (d) | 2′′′*, 6′′′ |
| 2′′′ax | 1.82 (dd, 13.0, 1.5) | 35.1 (t) | 4′′′ |
| 2′′′eq | 2.21 (m) | ||
| 3′′′ | - | 74.6 (s) | 2′′′*, 4′′′*, 6′′′ |
| 4′′′ | 1.39 (s) | 29.2 (q) | - |
| 5′′′ax | 1.71 (m) | 37.5 (t) | 4′′′, 6′′′* |
| 5′′′eq | 1.42 (m) | ||
| 6′′′ax | 0.70 (m) | 22.3 (t) | 5′′′* |
| 6′′′eq | 1.25 (m) | ||
| 7′′′ | 2.05 (m) | 46.9 (d) | 2′′′, 6′′′*, 9′′′, 10′′′ |
| 8′′′ | - | 83.5 (s) | 6′′′, 9′′′*, 10′′′* |
| 9′′′ | 1.52 (s) | 29.8 (q) | 10′′′ |
| 10′′′ | 1.04 (s) | 23.8 (q) | 9′′′ |
| OH-6 | 4.83 (s) | - | - |
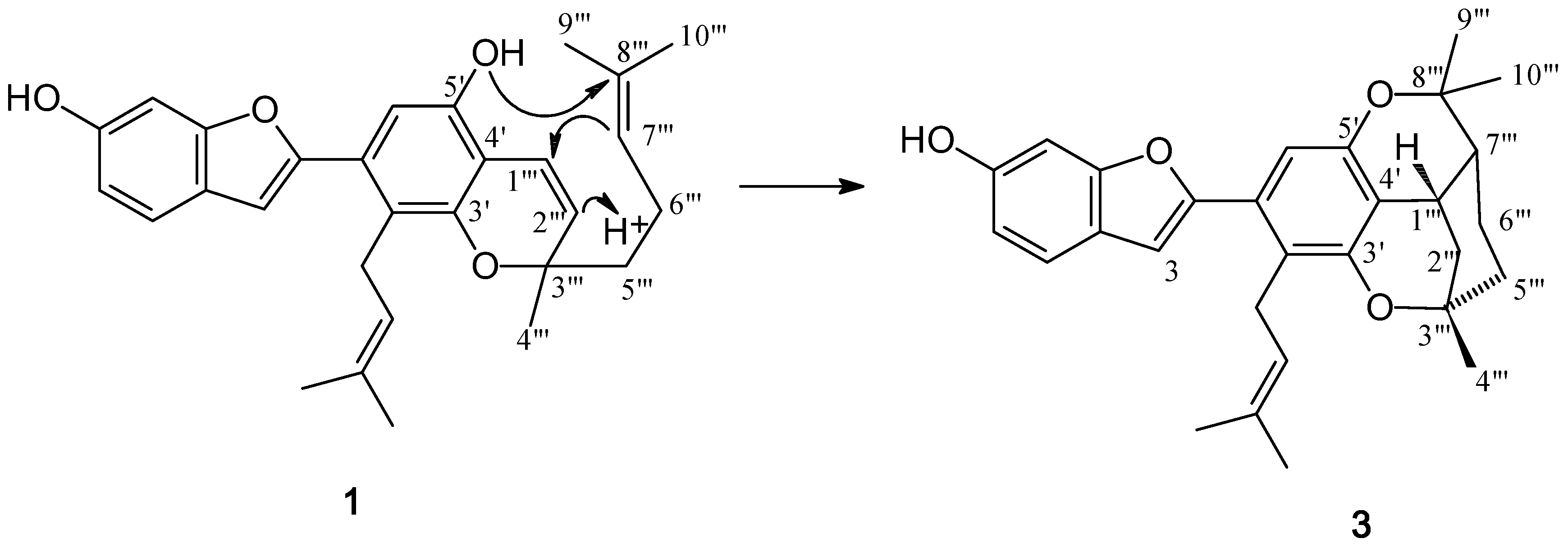
+19.2). In the CD spectrum (Figure 5), it appeared to show a negative Cotton effect at 243 nm, although two small positive peaks at 320 and 370 nm were observed. These findings reflected the influence of the stereochemistry at C-1′′′, which determined the arrangement of the tricyclic (D/E/F) ring system, on the optical properties of 3 as compared with those of 1 and 2.

3. Experimental
3.1. General
3.2. Plant Material
3.3. Extraction and Isolation
−86.1 (c = 0.03, MeOH); CD (MeOH, c 0.03): [θ]193.5 −3101, [θ]199 +30266, [θ]209 +2431, [θ]230 −12013, [θ]333.5 −8337 (Figure 3); IR (film) ν max : 3377, 2966, 2924, 2854, 1623, 1607, 1489, 1445 cm−1; HR-ESI-MS: [M+H]+ at m/z 445.2381 (calcd. for C29H33O4, 445.2379); 13C- (125 MHz) and 1H-NMR (500 MHz) spectral data see Table 1.
−117.6 (c = 0.03, MeOH); CD (MeOH, c 0.03): [θ]193.5 −14285, [θ]198.5 +11842, [θ]207 +2242, [θ]227 −14326, [θ]331 −9227 (Figure 3); IR (film) ν max : 3417, 2965, 2920, 2855, 1633, 1609, 1447, 1418 cm−1; HR-ESI-MS: [M+H]+ at m/z 461.2328 (calcd. for C29H33O5, 461.2332); 13C- (125 MHz) and 1H-NMR (500 MHz) spectral data see Table 1.
+19.2 (c = 0.02, MeOH); CD (MeOH, c 0.03): [θ]194 +18734, [θ]199 +2273, [θ]202 +3549, [θ]214.5 +447, [θ]229 −3300, [θ]243 −4939 (Figure 4); IR (film) ν max: 3365, 2925, 2873, 2854, 1622, 1489, 1445 cm−1; HR-ESI-MS: [M+H]+ at m/z 445.2391 (calcd. for C29H33O4, 445.2379); 13C- (125 MHz) and 1H-NMR (500 MHz) spectral data see Table 2.3.4. Assay of Anti-HSV Activity
3.5. Cytotoxicity Test
4. Conclusions
Acknowledgements
- Sample Availability: Samples of the compounds are available from the authors.
References
- Kochummen, K.M. The Flora of Malaya; Ministry of Primary Industries: Kuala Lumpur, Malaysia, 1978; Volume 3, pp. 119–133. [Google Scholar]
- Pavanasasivum, G.; Sultanbawa, M.U.S. Cycloartenyl acetate, cycloartenol and cycloartenone in the bark of Artocarpus species. Phytochemistry 1973, 12, 2725–2726. [Google Scholar] [CrossRef]
- Chauhan, J.S.; Kumari, G. A new glycoflavonol from the root bark of Artocarpus lakoocha. Planta Med. 1979, 37, 86–88. [Google Scholar] [CrossRef]
- Venkataraman, K. Wood phenolics in the chemotaxonomy of the Moraceae. Phytochemistry 1972, 11, 1571–1586. [Google Scholar] [CrossRef]
- Mongolsuk, S.; Robertson, A.; Towers, R. 2,4,3′,5′-Tetrahydroxystilbene from Artocarpus lakoocha. J. Chem. Soc. 1957, 2231–2233. [Google Scholar]
- Likhitwitayawuid, K.; Sritularak, B.; Benchanak, K.; Lipipun, V.; Mathew, J.; Schinazi, R.F. Phenolics with antiviral activity from Millettia erythrocalyx and Artocarpus lakoocha. Nat. Prod. Res. 2005, 19, 177–182. [Google Scholar] [CrossRef]
- Likhitwitayawuid, K.; Supudompol, B.; Sritularak, B.; Lipipun, V.; Rapp, K.; Schinazi, R.F. Phenolics with anti-HSV and anti-HIV activities from Artocarpus gomezianus, Mallotus pallidus, and Triphasia trifolia. Pharm. Biol. 2005, 43, 651–657. [Google Scholar] [CrossRef]
- Likhitwitayawuid, K.; Chaiwiriya, S.; Sritularak, B.; Lipipun, V. Antiherpetic flavones from the heartwood of Artocarpus gomezianus. Chem. Biodivers. 2006, 3, 1138–1143. [Google Scholar] [CrossRef]
- Puntumchai, A.; Kittakoop, P.; Rajviroongit, S.; Vimuttipong, S.; Likhitwitayawuid, K.; Thebtaranonth, Y. Lakoochins A and B, new antimycobacterial stilbene derivatives from Artocarpus lakoocha. J. Nat. Prod. 2004, 67, 485–486. [Google Scholar] [CrossRef]
- Yenesew, A.; Midiwo, J.O.; Guchu, S.M., Heydenreich; Peter, M.G. Three isoflav-3-enes and a 2-arylbenzofuran from the root bark of Erythrina burttii. Phytochemistry 2002, 59, 337–341. [Google Scholar] [CrossRef]
- Kapche, G.D.W.F.; Fozing, C.D.; Donfack, J.H.; Fotso, G.W.; Amadou, D.; Tchana, A.N.; Bezabih, M.; Moundipa, P.F.; Ngadjui, B.T. Prenylated arylbenzofuran derivatives from Morus mesozygia with antioxidant activity. Phytochemistry 2009, 70, 216–221. [Google Scholar]
- Ko, H.H.; Yu, S.M.; Ko, F.N.; Teng, C.M.; Lin, C.N. Bioactive constituents of Morus australis and Broussonetia papyrifera. J. Nat. Prod. 1997, 60, 1008–1011. [Google Scholar] [CrossRef]
- Asakawa, Y.; Kondo, K.; Tori, M.; Hashimoto, T.; Ogawa, S. Prenyl bibenzyls from the liverwort Radula kojana. Phytochemistry 1991, 30, 219–234. [Google Scholar]
- Hua, S.Z., Luo; Wang, X.B.; Wang, J.S.; Kong, L.Y. Two novel monoterpene-chalcone conjugates isolated from the seeds of Alpinia katsumadai. Bioorg. Med. Chem. Lett. 2009, 19, 2728–2730. [Google Scholar] [CrossRef]
- Reuß, S.H.; König, W.A. Corsifurans A-C, 2-arylbenzofurans of presumed stilbenoid origin from Corsinia coriandrina (Hepaticae). Phytochemistry 2004, 65, 3113–3118. [Google Scholar] [CrossRef]
© 2010 by the authors; licensee MDPI, Basel, Switzerland. This article is an open access article distributed under the terms and conditions of the Creative Commons Attribution license (http://creativecommons.org/licenses/by/3.0/).
Share and Cite
Sritularak, B.; Tantrakarnsakul, K.; Likhitwitayawuid, K.; Lipipun, V. New 2-Arylbenzofurans from the Root Bark of Artocarpus lakoocha. Molecules 2010, 15, 6548-6558. https://doi.org/10.3390/molecules15096548
Sritularak B, Tantrakarnsakul K, Likhitwitayawuid K, Lipipun V. New 2-Arylbenzofurans from the Root Bark of Artocarpus lakoocha. Molecules. 2010; 15(9):6548-6558. https://doi.org/10.3390/molecules15096548
Chicago/Turabian StyleSritularak, Boonchoo, Kullasap Tantrakarnsakul, Kittisak Likhitwitayawuid, and Vimolmas Lipipun. 2010. "New 2-Arylbenzofurans from the Root Bark of Artocarpus lakoocha" Molecules 15, no. 9: 6548-6558. https://doi.org/10.3390/molecules15096548
APA StyleSritularak, B., Tantrakarnsakul, K., Likhitwitayawuid, K., & Lipipun, V. (2010). New 2-Arylbenzofurans from the Root Bark of Artocarpus lakoocha. Molecules, 15(9), 6548-6558. https://doi.org/10.3390/molecules15096548