Synthesis and Antimicrobial Activities of Some New 1,2,4-Triazole Derivatives
Abstract
:1. Introduction
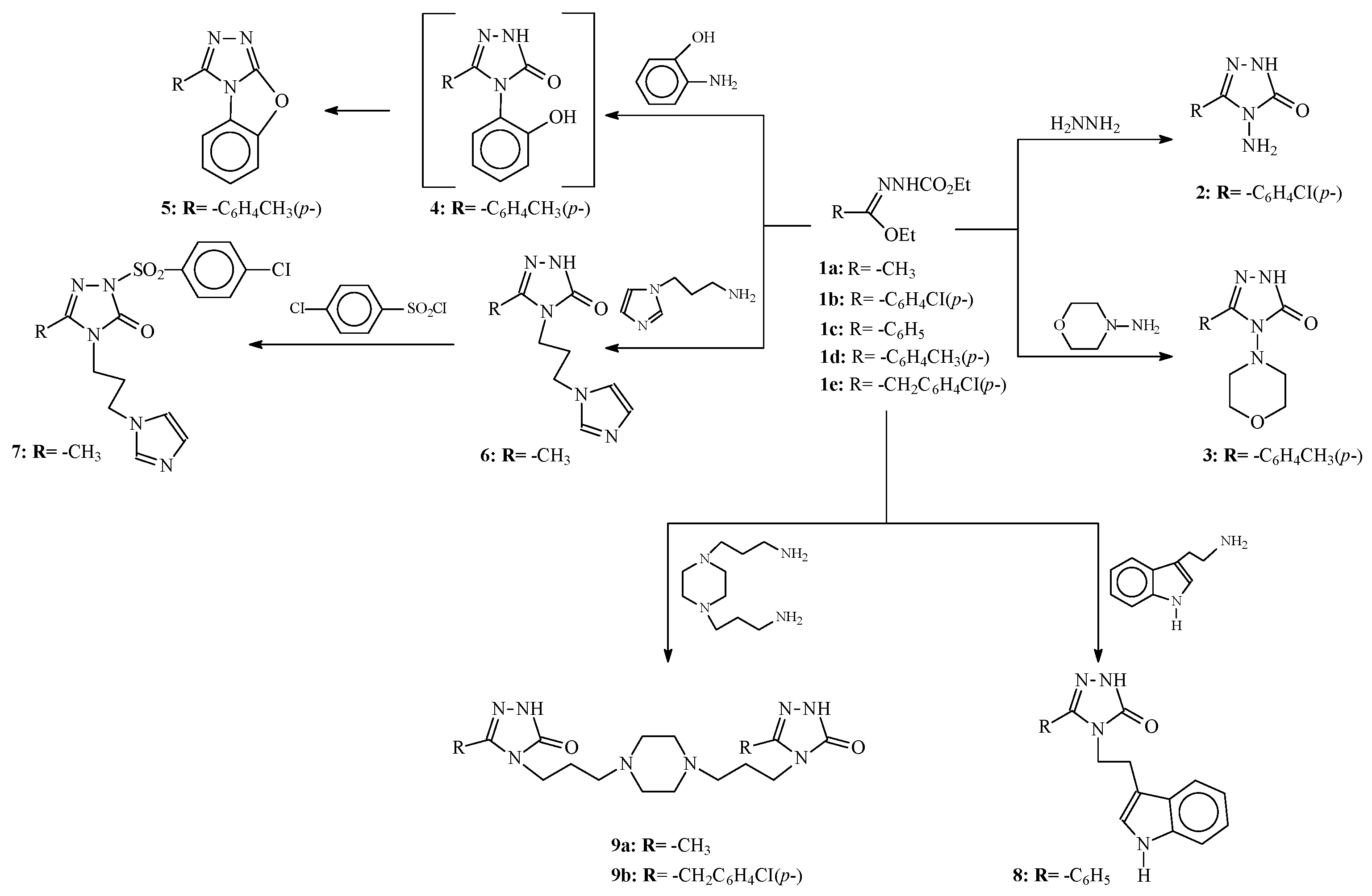
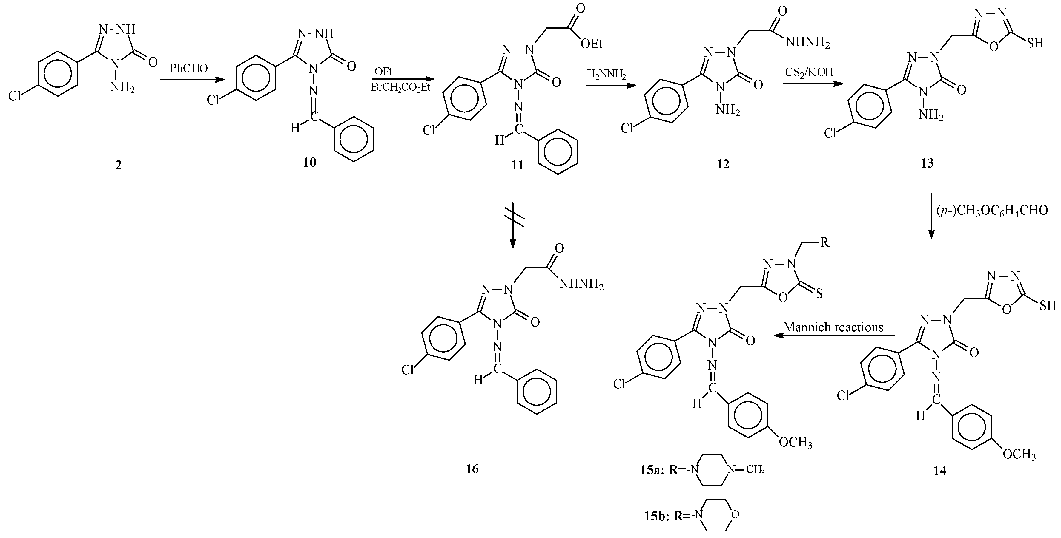
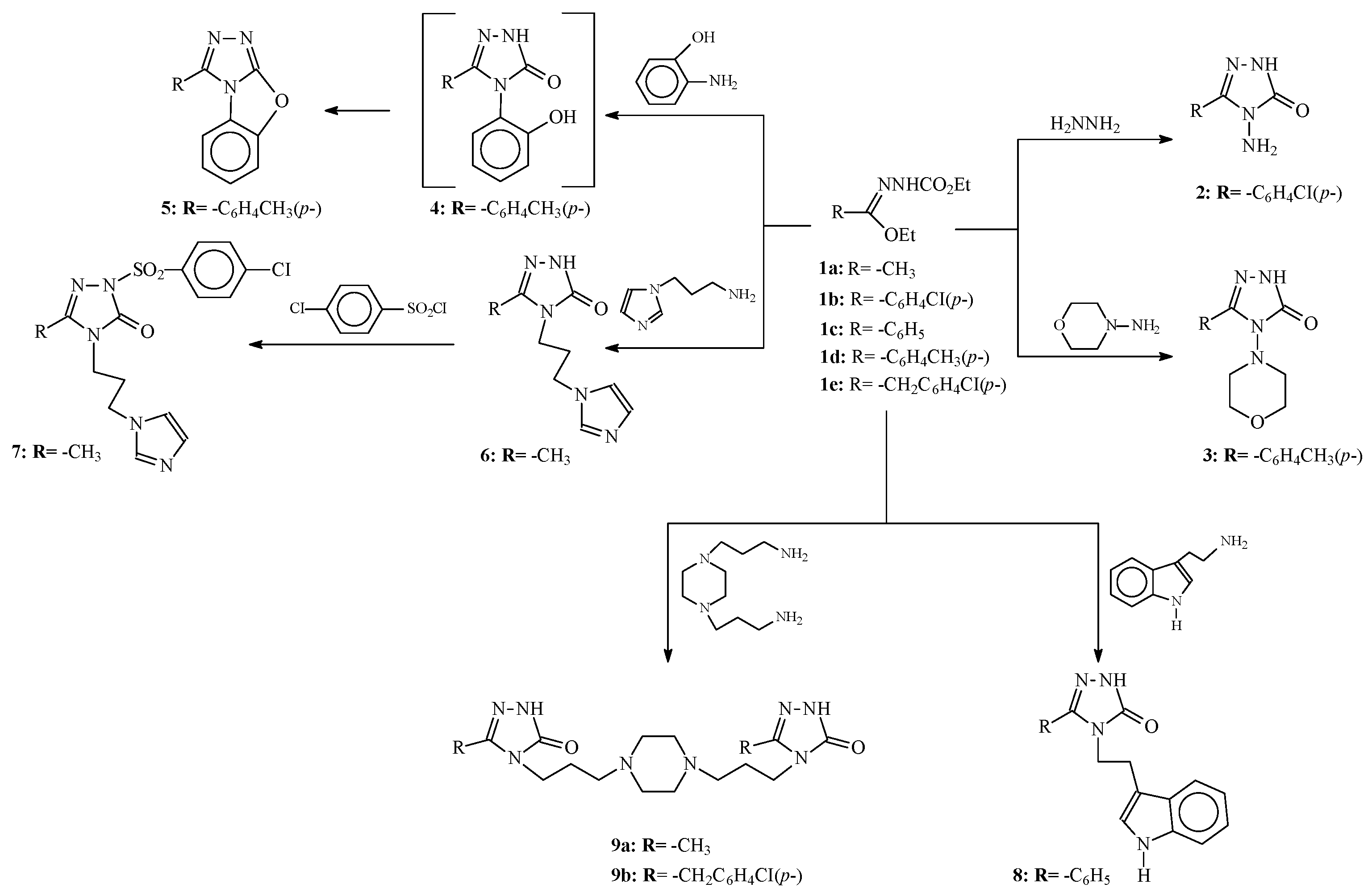
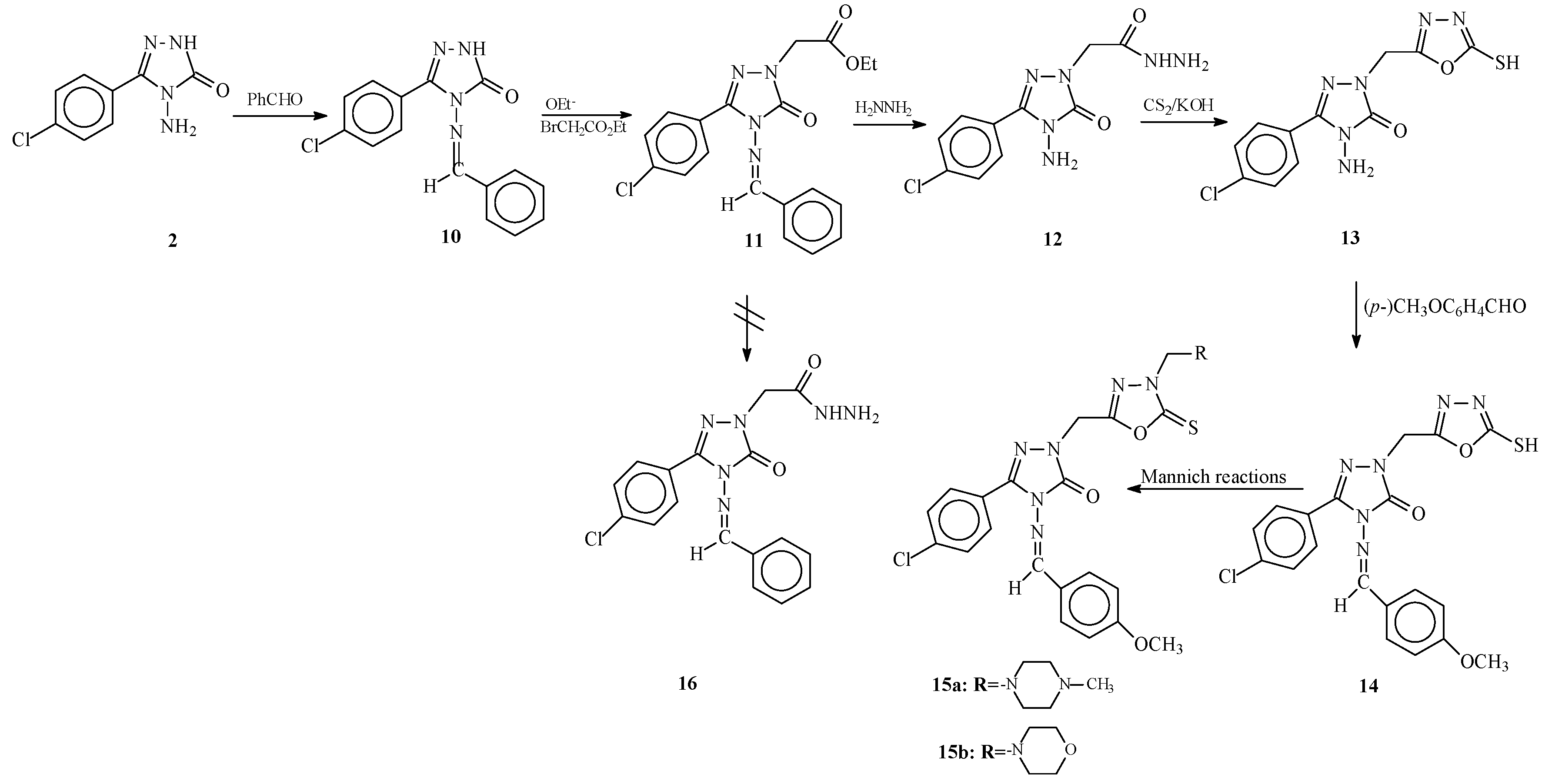
2. Results and Discussion
3. Experimental
3.1. General
3.2. General Method for the Synthesis of Compounds 3, 5, 6, 8, 9a,b
3.3. General Method for the synthesis of compounds 15a, 15b
3.4. Antimicrobial activity assessment
4. Conclusion
Acknowledgements
References
- Chavez, D.E.; Parrish, D.A. New Heterocycles from tetrazines and oxadiazoles. J. Heterocycl. Chem. 2009, 46, 88–90. [Google Scholar] [CrossRef]
- Yu, L.T.; Ho, M.T.; Chang, C.Y.; Yang, T.K. Asymmetric zinc-Reformatsky reaction of evans chiral imide with acetophenones and its application to the stereoselective synthesis of triazole antifungal agents. Tetrahedron: Asim. 2007, 18, 949–962. [Google Scholar] [CrossRef]
- Gupta, A.; Unadkat, J.D.; Mao, Q. Interactions of azole antifungal agents with the human breast cancer resistance protein. J. Pharm. Sci. 2007, 96, 3226–3235. [Google Scholar] [CrossRef] [PubMed]
- Schiller, S.D.; Fung, H.B. Maraviroc: A CCR5-Receptor antagonist for the treatment of HIV-1 infection. Clin. Ther. 2008, 29, 1862–1886. [Google Scholar] [CrossRef] [PubMed]
- Ashok, M.; Holla, B.S.; Poojary, B. Convenient one pot synthesis and antimicrobial evaluation of some new Mannich bases carrying 4-methylthiobenzyl moiety. Eur. J. Med. Chem. 2007, 42, 1095–1101. [Google Scholar] [CrossRef] [PubMed]
- Ghannoum, M.; Rice, L.B. Antifungal agents: Mode of action, mechanism of resistance, and correlation of these mechanisms with bacterial resistance. Clin. Microbiol. Rev. 1999, 12, 501–517. [Google Scholar] [PubMed]
- Giraud, F.; Guillon, R.; Logé, C.; Pagniez, F.; Picot, C.; Le Borgne, M.; Le Pape, P. Design of new antifungal agents: Synthesis and evaluation of 1-[(1H-indol-5-ylmethyl)amino]-2-phenyl-3-(1H-1,2,4-triazol-1-yl)propan-2-ols. Bioorg. Med. Chem. Lett. 2009, 19, 301–304. [Google Scholar] [CrossRef] [PubMed]
- Hester, S.D.; Nesnow, S. Transcriptional esponses in thyroid tissues from rats treated with a tumorigenic and a non-tumorigenic triazole conazole fungicide. Toxycol. Appl. Pharm. 2008, 227, 357–369. [Google Scholar] [CrossRef] [PubMed]
- Ezabadi, I.R.; Camoutsis, C.; Zoumpoulakis, P.; Geronikaki, A.; Sokovic´, M.; Glamocˇilija, J.; C´ iric, A. Sulfonamide-1,2,4-triazole derivatives as antifungal and antibacterial agents: Synthesis, biological evaluation, lipophilicity, and conformational studies. Bioorg. Med. Chem. 2008, 16, 1150–1161. [Google Scholar] [CrossRef] [PubMed]
- Sbardella, G.; Mai, A.; Artico, M.; Loddo, R.; Setzuc, M.G.; La Collac, P. Synthesis and in vitro antimycobacterial activity of novel 3-(1H-pyrrol-1-yl)-2-oxazolidinone analogues of PNU-100480. Bioorg. Med. Chem. Lett. 2004, 14, 1537–1541. [Google Scholar] [CrossRef] [PubMed]
- Yu, D.; Huiyuan, G. Synthesis and antibacterial activity of linezolid analogues. Bioorg. Med. Chem. Lett. 2002, 12, 857–859. [Google Scholar] [CrossRef]
- Demirbas, A.; Sahin, D.; Demirbas, N.; Alpay-Karaoglu, S. Synthesis of some new 1,3,4-thiadiazol-2-ylmethyl-1,2,4-triazole derivatives and investigation of their antimicrobial activities. Eur. J. Med. Chem. 2009, 44, 2896–2903. [Google Scholar] [CrossRef] [PubMed]
- Bayrak, H.; Demirbas, A.; Demirbas, N.; Alpay-Karaoglu, S. Synthesis of some new 1,2,4-triazoles, their Mannich and Schiff bases and evaluation of their antimicrobial activities. Eur. J. Med. Chem. 2009, 44, 1057–1066. [Google Scholar] [CrossRef] [PubMed]
- Demirbas, A.; Ceylan, S.; Demirbas, N. Synthesis of some new five membered heterocycles, a facile synthesis of oxazolidinones. J. Heterocycl. Chem. 2007, 44, 1271–1280. [Google Scholar] [CrossRef]
- Demirbaş, N.; Uğurluoğlu, R. Synthesis of novel 4-alkylidene- and 4-alkylamino-5-oxo-4,5-dihydro-[1,2,4]triazole derivatives and investigation of their antitumor activities. Turk. J. Chem. 2004, 28, 559–571. [Google Scholar]
- Demirbaş, N.; Uğurluoğlu, R. Synthesis and antitumor activities of some new 4-(1-naphthylidenamino)- and 4-(1-naphthylmethylamino)-1,2,4-triazol-5-one derivatives. Turk. J. Chem. 2004, 28, 679–690. [Google Scholar]
- Demirbas, N.; Demirbas, A.; Alpay-Karaoğlu, S. Synthesis and biological activities of new 1,2,4-triazol-3-one derivatives. Russian J. Bioorg. Chem. 2005, 31, 430–440. [Google Scholar] [CrossRef]
- İkizler, A.; Demirbas, A.; İkizler, A.A. A Convenient Synthesis of 4-Amino 3,5-dialkyl-4H-1,2,4-Triazoles. J. Heterocycl. Chem. 1996, 33, 1765–1769. [Google Scholar] [CrossRef]
- Demirbas, N.; Ugurluoglu, R.; Demirbas, A. Synthesis of 3-alkyl(aryl)-4-alkylidenamino-4,5-dihydro-1H-1,2,4-triazol-5-ones and 3-alkyl-4-alkylamino-4,5-dihydro-1H-1,2,4-triazol-5-ones as antitumor agents. Bioorg. Med. Chem. 2002, 10, 3717–3723. [Google Scholar] [CrossRef]
- Demirbas, N.; Karaoglu, S.A.; Demirbas, A.; Sancak, K. Synthesis and antimicrobial activities of some new 1-(5-phenylamino-[1,3,4]thiadiazol-2-yl)methyl-5-oxo-[1,2,4]triazole and 1-(4-phenyl-5-thioxo-[1,2,4]triazol-3-yl)methyl-5-oxo-{1,2,4]triazole derivatives. Eur. J. Med. Chem. 2004, 39, 793–804. [Google Scholar] [CrossRef] [PubMed]
- İkizler, A.; Demirbaş, N.; Demirbaş, A.; İkizler, A.A. The reaction of ester ethoxycarbonylhydrazones with carboxylic acid hydrazides. Polish J. Chem. 1996, 70, 1114–1120. [Google Scholar]
- İkizler, A.A.; Uçar, F.; Demirbas, N.; Yasa, I.; Demirbas, A.; Genzer, T. Antibicrobial Activities of some 4H-1,2,4-Triazoles. Indian J. Pharm. Sci. 1999, 61, 271–274. [Google Scholar]
- Demirbas, N.; Demirbas, A.; Alpay-Karaoğlu, S.; Çelik, E. Synthesis and antimicrobial activities of some new [1,2,4] triazolo[3,4-b][1,3,4]thiadiazoles and [1,2,4]triazolo[3,4-b][1,3,4]thiadiazines. Arkivoc 2005, (i), 75–91. [Google Scholar]
- Reiter, J.; Pongo, L.; Dvortsak, P. On Triazoles .6. The Acylation of 5-amino-1,2,4-triazoles. J. Heterocycl. Chem. 1987, 24, 1685–1695. [Google Scholar] [CrossRef]
- Holla, B.S.; Poorjary, N.K.; Rao, S.B.; Shivananda, M.K. New bis-aminomercaptotriazoles and bis-triazolothiadiazoles as possible anticancer agents. Eur. J. Med. Chem. 2002, 37, 511–517. [Google Scholar] [CrossRef]
- Holla, B.S.; Akberali, P.M.; Shivananda, M.K. Studies on nitrophenylfuran derivatives - Part XII. Synthesis, characterization, antibacterial and antiviral activities of some nitrophenylfurfurylidene-1,2,4-triazolo[3,4-b]-1,3,4-thiadiazines. II Farmaco 2001, 56, 919–927. [Google Scholar] [CrossRef]
- Turan-Zitouni, G.; Kaplancikli, Z.A.; Erol, K.; Kiliç, F.S. Synthesis and analgesic activity of some triazoles and triazolothiadiazines. II Farmaco 1999, 54, 218–223. [Google Scholar] [CrossRef]
- Holla, B.S.; Sarojini, B.; Rao, S.B.; Akberali, P.M.; Kumari, N.S.; Shetty, V. Synthesis of some halogen-containing 1,2,4-triazolo-1,3,4-thiadiazines and their antibacterial and anticancer screening studies - Part I. II Farmaco 2001, 56, 565–570. [Google Scholar] [CrossRef]
- Kritsanida, M.; Mouroutsou, A.; Marakos, P.; Pouli, N.; Papakonstantinou-Garoufalias, S.; Pannecouque, C.; Witvouw, M.; De Clercq, E. Synthesis and antiviral activity evaluation of some new 6-substituted 3-(1-adamantyl)-1,2,4-triazolo[3,4-b][1,3,4]thiadiazoles. II Farmaco 2002, 57, 253–257. [Google Scholar] [CrossRef]
- Pesson, M.; Dupin, S.; Antoine, M. Recherches sur les Derives du Triazole-1,2,4 .3. Emploi De Lhydrazinocarbonate Dethyle Pour la synthese des hydroxy-3 triazoles-1,2,4. Bull. Soc. Chim. France 1962, 1364–1371. [Google Scholar]
- Milcent, R.; Redeuilh, C. Synthesis of 4-amino-3-aryl-1,2,4-triazol-5(4H) ones. J. Heterocycl. Chem. 1979, 16, 403–407. [Google Scholar] [CrossRef]
- Malbec, F.; Milcent, R.; Vicart, P.; Bure, A.M. Synthesis of new derivatives of 4-amino-2,4-dihydro-1,2,4-triazol-3-one as potential antibacterial agents. J. Heterocycl. Chem. 1984, 21, 1769–1774. [Google Scholar] [CrossRef]
- Galic, N.; Peric, B.; Kojic-Prodic, B.; Cimerman, Z. Structural and spectroscopic characteristics of aroylhydrazones derived from nicotinic acid hydrazide. J. Mol. Struct. 2001, 559, 187–194. [Google Scholar] [CrossRef]
- Wyrzykiewicz, E.; Prukah, D. Isomeric N-substituted hydrazones of 2-, 3- and 4-pyridinecarboxaldehydes. J. Heterocycl. Chem. 1998, 35, 381–387. [Google Scholar] [CrossRef]
- Perez, C.; Pauli, M.; Bazerque, P. An antibiotic assay by the agar-well diffusion method. Acta Biol. Med. Exp. 1990, 15, 113. [Google Scholar]
- Ahmad, I.; Mehmood, Z.; Mohammed, F. Screening of some Indian medicinal plants for their antimicrobial properties. J. Ethnopharmacol. 1998, 62, 183. [Google Scholar] [CrossRef]
Sample Availability: Samples of the compounds are available from authors. |


| Compound No. | Microorganisms and inhibition zone (mm) | |||||||||
|---|---|---|---|---|---|---|---|---|---|---|
| Ec | Kp | Yp | En | Pa | Sa | Ef | Bc | Ca | Ct | |
| 3 | 250 | 250 | >500 | >500 | >500 | >500 | >500 | >500 | >500 | >500 |
| 5 | >500 | >500 | >500 | >500 | >500 | >500 | >500 | >500 | >500 | >500 |
| 6 | >500 | >500 | >500 | >500 | >500 | >500 | >500 | >500 | >500 | >500 |
| 7 | >500 | >500 | >500 | >500 | >500 | >500 | >500 | >500 | >500 | >500 |
| 8 | 250 | 250 | >500 | >500 | >500 | >500 | >500 | >500 | >500 | >500 |
| 9a | >500 | >500 | >500 | >500 | >500 | >500 | >500 | >500 | >500 | >500 |
| 9b | >500 | >500 | >500 | >500 | >500 | >500 | >500 | >500 | >500 | >500 |
| 11 | >500 | >500 | >500 | >250 | >500 | 250 | 250 | >250 | >500 | >500 |
| 12 | >500 | >500 | >500 | 62.5 | >500 | 125 | 125 | 62.5 | >500 | >500 |
| 13 | <1.95 | <1.95 | <1.95 | <1.95 | <1.95 | <1.95 | <1.95 | <1.95 | >500 | >500 |
| 14 | <1.95 | <1.95 | <1.95 | <1.95 | <1.95 | <1.95 | <1.95 | <1.95 | >500 | >500 |
| 15a | >500 | 500 | 250 | 7.81 | 250 | 15.63 | 125 | 1.95 | >500 | >500 |
| 15 b | <1.95 | <1.95 | <1.95 | <1.95 | <1.95 | <1.95 | <1.95 | <1.95 | >500 | >500 |
| Amp. | 10 | >128 | 18 | >128 | 18 | 35 | 10 | 15 | >500 | >500 |
| Flu. | <1 | 8 | ||||||||
© 2010 by the authors; licensee Molecular Diversity Preservation International, Basel, Switzerland. This article is an open-access article distributed under the terms and conditions of the Creative Commons Attribution license (http://creativecommons.org/licenses/by/3.0/).
Share and Cite
Bektaş, H.; Karaali, N.; Şahin, D.; Demirbaş, A.; Karaoglu, Ş.A.; Demirbaş, N. Synthesis and Antimicrobial Activities of Some New 1,2,4-Triazole Derivatives. Molecules 2010, 15, 2427-2438. https://doi.org/10.3390/molecules15042427
Bektaş H, Karaali N, Şahin D, Demirbaş A, Karaoglu ŞA, Demirbaş N. Synthesis and Antimicrobial Activities of Some New 1,2,4-Triazole Derivatives. Molecules. 2010; 15(4):2427-2438. https://doi.org/10.3390/molecules15042427
Chicago/Turabian StyleBektaş, Hakan, Nesrin Karaali, Deniz Şahin, Ahmet Demirbaş, Şengül Alpay Karaoglu, and Neslihan Demirbaş. 2010. "Synthesis and Antimicrobial Activities of Some New 1,2,4-Triazole Derivatives" Molecules 15, no. 4: 2427-2438. https://doi.org/10.3390/molecules15042427
APA StyleBektaş, H., Karaali, N., Şahin, D., Demirbaş, A., Karaoglu, Ş. A., & Demirbaş, N. (2010). Synthesis and Antimicrobial Activities of Some New 1,2,4-Triazole Derivatives. Molecules, 15(4), 2427-2438. https://doi.org/10.3390/molecules15042427
