Synthesis of Lysophospholipids
Abstract
:Abbreviations
| PL | phospholipid |
| LPL | lysophospholipid |
| GPC | sn-glycero-3-phosphorylcholine |
| LPA | lysophosphatidic acid |
| LPC | lysophosphatidylcholine |
1. Introduction
1.1. Phospholipids (PLs)
1.2. Lysophospholipids (LPLs)

1.3. 2-Lysophosphatidylcholine (2-LPC)

1.4. Lysophosphatidic acid (LPA)

1.5. LPLs availability
2. Chemical Synthesis

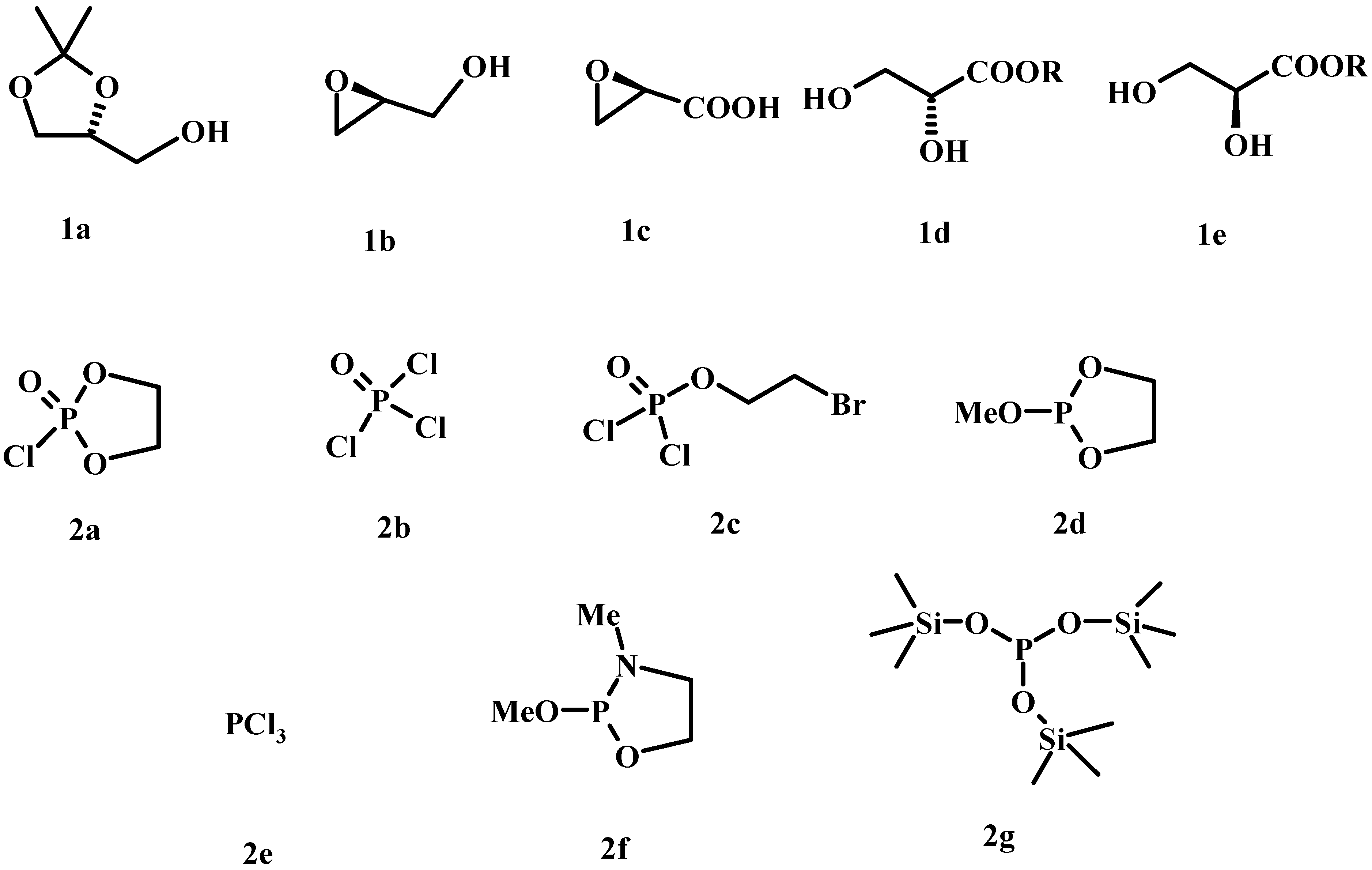
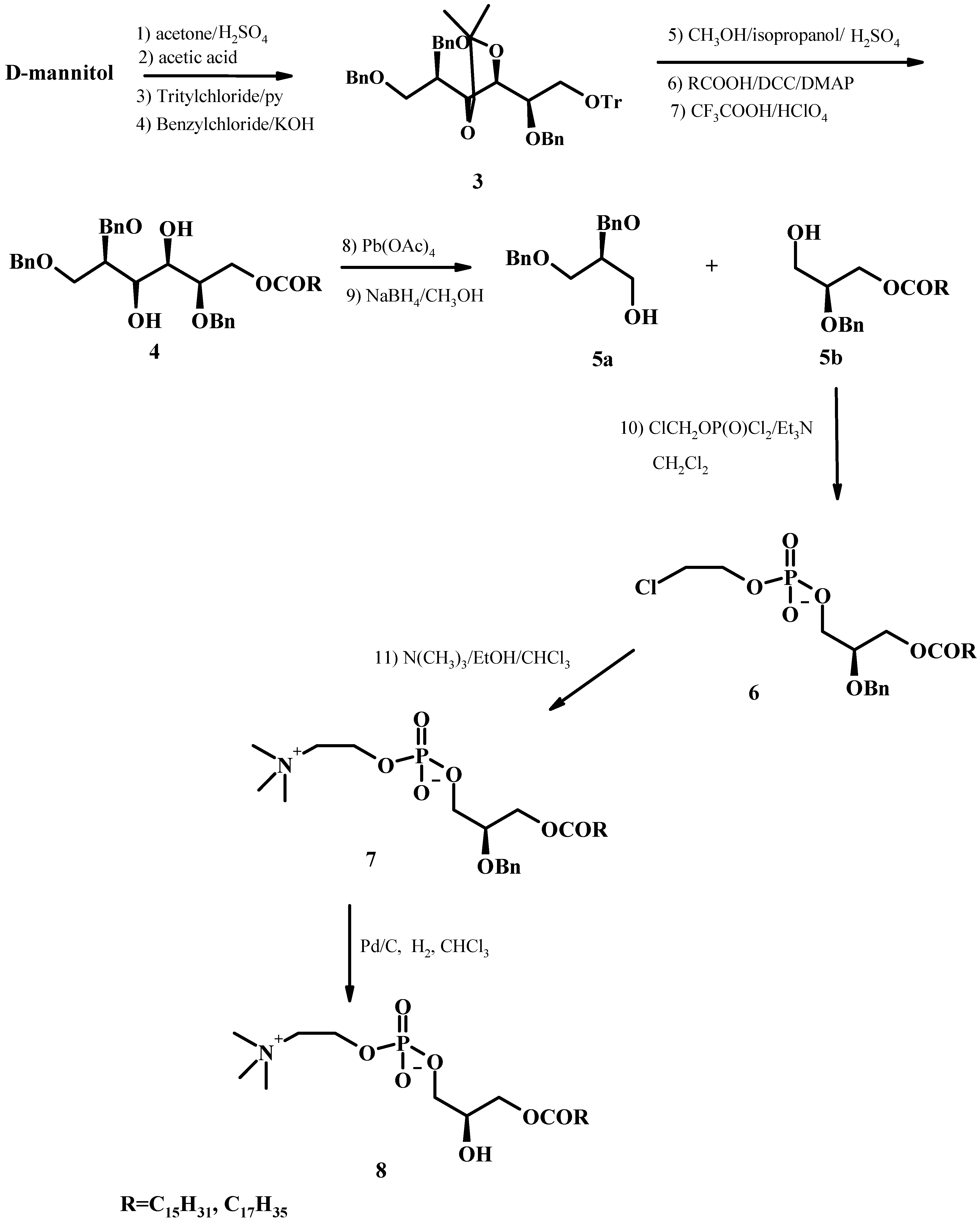
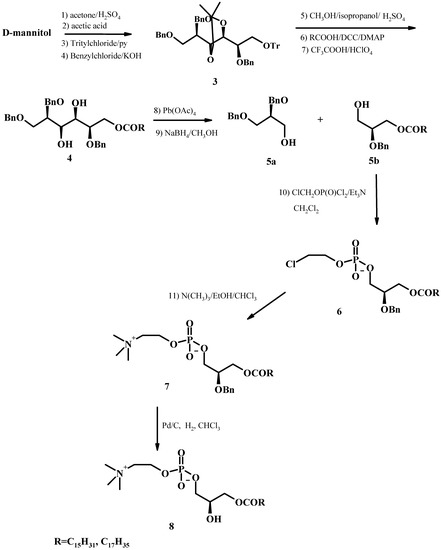
2.1. From D-mannitol
2.2. From glycidol



2.3. From glyceric acid

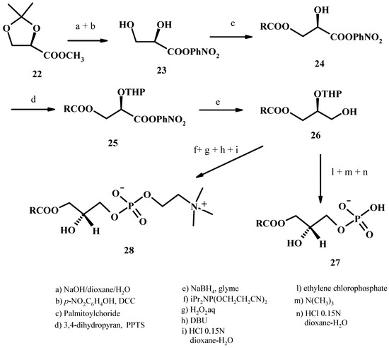
2.4. Use of p-nitrophenyl glycerate

2.5. Use of p-toluensulfonate for hydroxyl group protection

2.6. From sn-glycero-3-phosphorylcholine

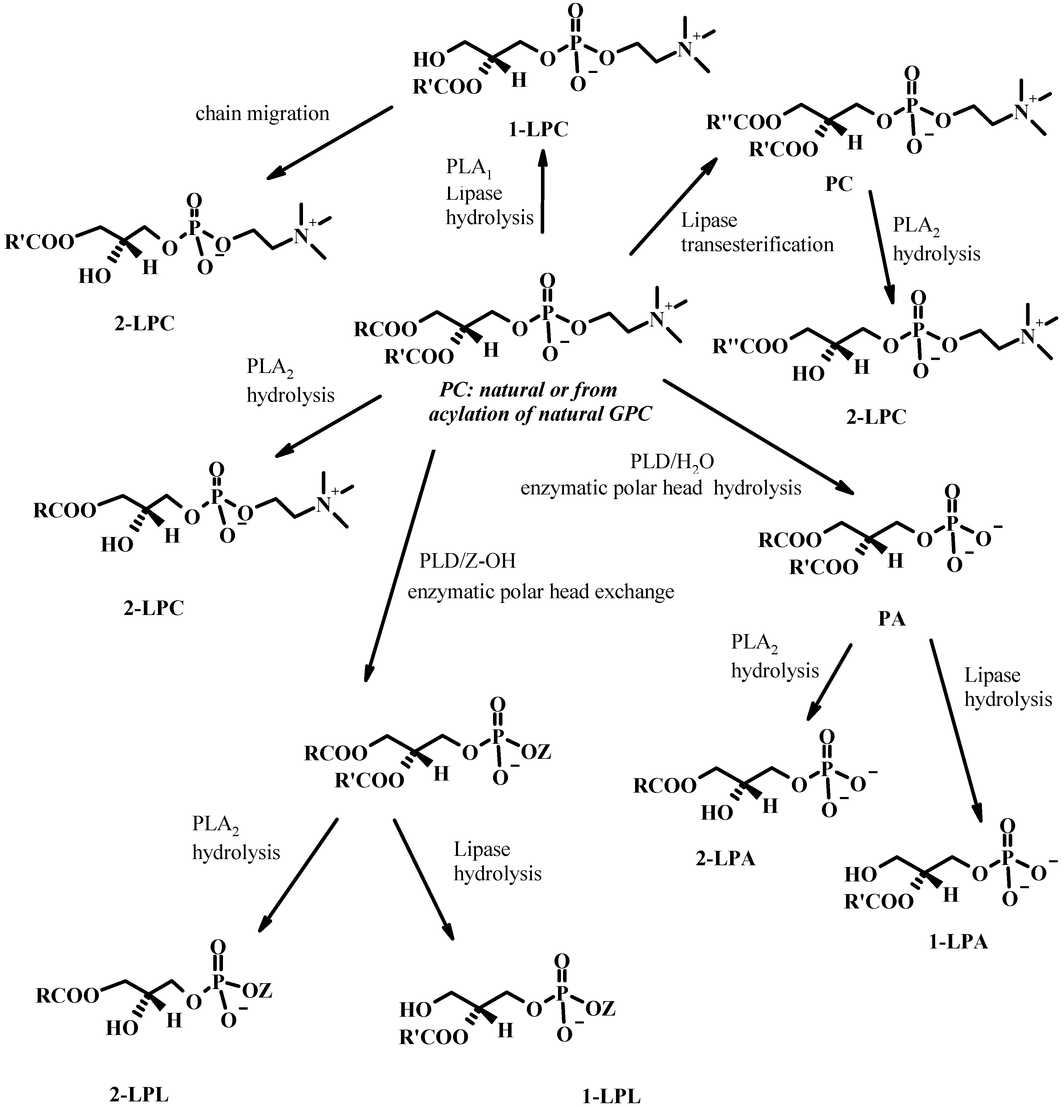
3. Enzymatic Synthesis

3.1. Use of phospholipases A
3.1.1. Phospholipase A1 (PLA1) and lipases
3.1.2. Phospholipase A2 (PLA2)
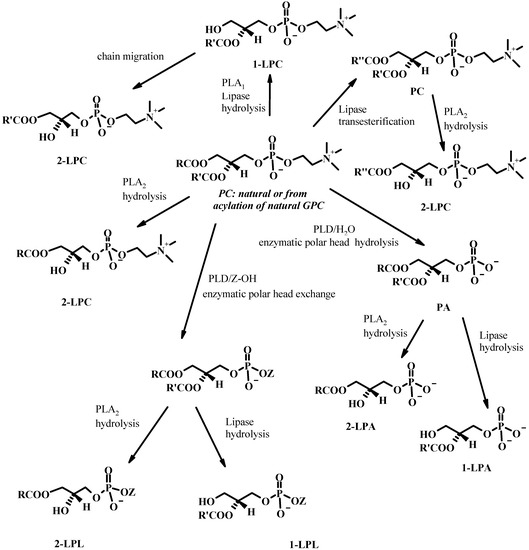
3.1.3. Enzymatic production of LPLs using PLA1, PLA2 and lipases


3.2. Use of phospholipase D

4. Concluding Remarks
References
- Vance, D.E.; Vance, J.E. Biochemistry of Lipids, Lipoproteins and membranes, 4th ed.; Elsevier Science: Amsterdam, The Netherlands, 2002; pp. 315–340. [Google Scholar]
- Dowhan, W. The role of phospholipids in cell function. Adv. Lipobiol. 1997, 2, 79–107. [Google Scholar] [CrossRef]
- Vares, L.; Koulov, A.; Atanas, V.; Smith, B.D. Synthesis and supramolecolar properties of conformationally restricted and flexible phospholipids. J. Org. Chem. 2003, 68, 10073–10078. [Google Scholar] [CrossRef]
- Barenholz, Y.; Cevc, G. Structure and Properties of Membranes. In Physical Chemistry of Biological Interfaces; Baskin, A., Norde, W., Eds.; Marcel Dekker: New York, NY, USA, 2000; pp. 171–242. [Google Scholar]
- Goetzl, E.J.; An, S. Diversity of cellular receptors and functions for the lysophospholipid growth factors lysophosphatidic acid and sphingosine 1-phosphate. FASEB J. 1998, 12, 1589–1598. [Google Scholar]
- Dowhan, W. Molecular basis for membrane phospholipids diversity: Why are there so many phospholipids. Ann. Rev. Biochem. 1997, 66, 199–232. [Google Scholar] [CrossRef]
- Stora, T.; Dienes, Z.; Vogel, H.; Duschl, C. Histidine-tagged amphiphiles for the reversible formation of lipid bilayer aggregates on chelator-functionalized gold surfaces. Langmuir 2000, 16, 5471–5478. [Google Scholar] [CrossRef]
- Uhumwangho, M.U.; Okor, R.S. Current trends in the production and biomedical applications of liposomes: A review. J. Med. Biomed. Res. 2005, 4, 9–21. [Google Scholar]
- Gabizon, A.; Goren, D.; Horowitz, T.; Tzemach, A; Losos, A.; Siegal, T. Long-circulating liposomes for drug delivery in cancer therapy: A review of biodistribution in tumor-bearing animals. Adv. Drug Deliv. Rev. 1997, 24, 337–344. [Google Scholar] [CrossRef]
- Reblova, Z.; Pokorny, J. Effect of Lecithin on the Stabilization of Foods. In Phospholipids: Characterization, Metabolism, and Novel Biological Applications; Cevc, G., Paltauf, F., Eds.; AOCS Press: Champain, IL, USA, 1995; pp. 378–383. [Google Scholar]
- Dennis, E.A.; Brown, H.A.; Deems, R.A.; Glass, C.K.; Merrill, A.H.; Murphy, R.C.; Raetz, C.R.H.; Shaw, W.; Subramaniam, S.; Russell, D.W.; VanNieuwenhze, M.S.; White, S.H.; Witztum, J.L.; Wooley, J. Functional lipodomics; CRC Press: Boca Raton, FL, USA, 2006; pp. 1–15. [Google Scholar]
- Birgbauer, E.; Chun, J.N. New developments in the biological functions of lysophospholipids. Cell. Mol. Life Sci. 2006, 63, 2695–2701. [Google Scholar] [CrossRef]
- Moolenaar, W.H. Development of our current understanding of bioactive lysophospholipids. Ann. N. Y. Acad. Sci. 2000, 905, 1–10. [Google Scholar] [CrossRef]
- Torkhovskaya, T.I.; Ipatova, O.M.; Zakharova, T.S.; Kochetova, M.M.; Khalilov, T.S. Lysophospholipids receptors in cell signaling. Biochemistry (Moscow) 2007, 72, 125–131. [Google Scholar] [CrossRef]
- Parrill, A.L. Lysophospholipid interactions with protein targets. Biochim. Biophys. Acta 2008, 1781, 540–546. [Google Scholar] [CrossRef]
- Karliner, J.S. Mechanisms of cardioprotection by lysophospholipids. J. Cell. Biochem. 2004, 92, 1095–1103. [Google Scholar] [CrossRef]
- Chun, J. Lysophospholipids in the nervous system. Prostaglandins Other Lipid Mediat. 2005, 77, 46–51. [Google Scholar] [CrossRef]
- Gardell, S.E.; Dubin, A.E.; Chun, J. Emerging medicinal roles for lysophospholipid signalling. Trends Mol. Med. 2006, 12, 65–75. [Google Scholar] [CrossRef]
- Mills, G.B.; Moolenaar, W.H. The emerging role of lysophosphatidic acid in cancer. Nat. Rev. Cancer 2003, 3, 582–591. [Google Scholar] [CrossRef]
- Kim, K.S.; Sengupta, S.; Berk, M.; Kwak, Y.G.; Escobar, P.F.; Belinson, J.; Mok, S.C.; Xu, Y. Hypoxia enhances lysophosphatidic acid responsiveness in ovarian cancer cells and lysophosphatidic acid induces ovarian tumor metastasis in vivo. Cancer Res. 2006, 66, 7983–7990. [Google Scholar] [CrossRef]
- Xu, Y.; Shen, Z.; Wiper, D.W.; Wu, M.; Morton, R.E.; Elson, P.; Kennedy, A.W.; Belinson, J.; Markman, M.; Casey, G. Lysophosphatidic acid as a potential biomarker for ovarian and other gynecologic cancers. J. Am. Med. Assoc. 1998, 280, 719–723. [Google Scholar]
- Sutphen, R.; Xu, Y.; Wilbanks, G.D.; Fiorica, J.; Grendys, E.C.; LaPolla, J.P.J.; Arango, H.; Hoffman, M.S.; Martino, M.; Wakeley, K.; Griffin, D.; Blanco, R.W.; Cantor, A.B.; Xiao, Y.J.; Krischer, J.P. Lysophospholipids are potential biomarkers of ovarian cancer. Cancer Epidemiol. Biomarkers Prev. 2004, 13, 1185–1191. [Google Scholar]
- Zhao, Z.; Xiao, Y.; Elson, P.; Tan, H.; Plummer, S.J.; Berk, M.; Aung, P.P.; Lavery, I.C.; Achkar, J.P.; Li, L.; Casey, G.; Xu, Y. Plasma lysophosphatidylcholine levels: Potential biomarkers for colorectal cancer. J. Clin. Oncol. 2007, 25, 2696–2701. [Google Scholar]
- Raynal, P.; Montagner, A.; Dance, M.; Yart, A. Lysophospholipids and cancer: Current status and perpespectives. Pathol. Biol. 2005, 53, 57–62. [Google Scholar] [CrossRef]
- Yan, Y.; Schoenwaelder, S.M.; Salem, H.H., Jackson. The Bioactive phospholipid, lysophosphatidylcholine, induces cellular effects via G-protein-dependent activation of adenylyl cyclase. J. Biol. Chem. 1996, 271, 27090–27098. [Google Scholar]
- Sasagawa, T.; Okita, M.; Murakami, J.; Kato, T.; Watanabe, A. Abnormal serum lysophospholipids in multiple myeloma patients. Lipids 1999, 34, 17–21. [Google Scholar] [CrossRef]
- Drobnik, W.; Liebisch, G.; Audebert, F.X.; Frohlich, D.; Gluck, T.; Vogel, P.; Rothe, G.; Schmitz, G. Plasma ceramide and lysophosphatidylcholine inversely correlate with mortality in sepsis patients. J. Lipid Res. 2003, 44, 754–761. [Google Scholar] [CrossRef]
- Fuchs, B.; Schiller, J.; Wagner, U.; Hantzschel, H.; Arnold, K. The phosphatidylcholine/lysophosphatidylcholine ratio in human plasma is an indicator of the severity of rheumatoid arthritis: Investigations by 31P NMR and MALDI-TOF MS. Clin. Biochem. 2005, 38, 925–933. [Google Scholar] [CrossRef]
- Ehehalt, R.; Wagenblast, J.; Erben, G.; Lehmann, W.D.; Hinz, U.; Merle, U.; Stremmel, W. Phosphatidylcholine and lysophosphatidylcholine in intestinal mucus of ulcerative colitis patients. A quantitative approach by nano Electrospray-tandem mass spectrometry. Scand. J. Gastroenterol. 2004, 39, 737–742. [Google Scholar] [CrossRef]
- Takatera, A.; Takeuchi, A.; Saiki, K.; Morisawa, T.; Yokoyama, N.; Matsuo, M. Quantification of lysophosphatidylcholines and phosphatidylcholines using liquid chromatography-tandem mass spectrometry in neonatal serum. J. Chromatogr. B Analyt. Technol. Biomed. Life Sci. 2006, 838, 31–36. [Google Scholar] [CrossRef]
- Chun, J.; Rosen, H. Lysophospholipid receptors as potential drug targets in tissue transplantation and autoimmune diseases. Curr. Pharm. Des. 2006, 12, 161–171. [Google Scholar] [CrossRef]
- Prokazova, N.V.; Zvezdina, N.D.; Korotaeva, A.A. Effect of lysophosphatidylcholine on transmembrane signal transduction. Biochemistry (Moscow) 1998, 63, 31–37. [Google Scholar]
- Silliman, C.C.; Elzi, D.J.; Ambruso, D.R.; Mursters, R.J.; Hamiel, C.; Harbeck, R.J.; Paterson, A.J.; Bjornsen, A.J.; Wyman, T.H.; Kehler, M.; England, K.M.; McLaughlin-Malaxecheberria, N.; Barnett, C.C.; Aiboshi, J.; Bannerjee, A. Lysophosphatidylcholines prime the NADPH oxidase and stimulate multiple neutrophil functions through changes in cytosolic calcium. J. Leucoc. Biol. 2003, 73, 511–524. [Google Scholar] [CrossRef]
- Asaoka, Y.; Yoshida, K.; Sasaki, Y.; Nishizuka, Y.; Murakami, M.; Kudo, I.; Inoue, K. Possible role of mammalian secretory group II phospholipase A2 in T-lymphocyte activation: implication in propagation of inflammatory reaction. Proc. Natl. Acad. Sci. USA 1993, 90, 716–719. [Google Scholar]
- Daleau, P. Lysophosphatidylcholine, a metabolite which accumulates early in myocardium during ischemia, reduces gap junctional coupling in cardiac cells. J. Mol. Cell. Cardiol. 1999, 31, 1391–1401. [Google Scholar] [CrossRef]
- Van Leeuwen, F.N.; Giepsmans, B.N.G; Van Meeteren, L.A.; Moolenar, W.H. Lysophosphatidic acid: Mitogen and motility factor. Biochem. Soc. Trans. 2003, 31, 1209–1212. [Google Scholar] [CrossRef]
- Moolenar, W.H. Lysophosphatidic acid, a multifunctional phospholipid messenger. J. Biol. Chem. 1995, 270, 12949–12952. [Google Scholar]
- Moolenaar, W.H.; van Meeteren, L.A.; Giepmans, B.N. The ins and outs of lysophosphatidic acid signalling. Bioassays 2004, 26, 870–881. [Google Scholar] [CrossRef]
- Xu, Y.; Xiao, Y.J.; Zhu, K.; Baudhuin, L.M.; Lu, J.; Hong, G.; Kim, K.S.; Cristina, K.L.; Song, L.; Elson, P.; Markman, M.; Belinson, J. Unfolding the pathophysiological role of bioactive lysophospholipids. Curr. Drug Targets Immune Endocr. Metabol. Disord. 2003, 3, 23–32. [Google Scholar] [CrossRef]
- Karliner, J.S. Lysophospholipids and the cardiovascular system. Biochim. Biophys. Acta 2002, 1582, 216–221. [Google Scholar] [CrossRef]
- Sengupta, S.; Wang, Z.; Tipps, R.; Xu, Y. Biology of LPA in health and disease. Semin. Cell Dev. Biol. 2004, 15, 503–512. [Google Scholar]
- Ren, J.; Xiao, Y.J.; Singh, L.S.; Zhao, X.; Zhao, Z.; Feng, L.; Rose, T.M.; Prestwich, G.D.; Xu, Y. Lysophosphatidic acid is constitutively produced by human peritoneal mesothelial cells and enhances adhesion, migration, and invasion of ovarian cancer cells. Cancer Res. 2006, 66, 3006–3014. [Google Scholar]
- Murph, M.; Mills, G.B. Targeting the lipids LPA and S1P and their signaling pathways to inhibit tumour progression. Expert Rev. Mol. Med. 2007, 9, 1–18. [Google Scholar]
- Vaz, S.; Persson, M.; Svensson, I.; Adlercreutz, P. Lipase-catalyzed fatty acid exchange in digalactosyldiacylglycerol. Improvement of yield due to the addition of phenylboronic acid. Biocatal. Biotransfor. 2000, 18, 1–12. [Google Scholar] [CrossRef]
- Adlercreutz, D.; Budde, H.; Wehtje, E. Synthesis of Phosphatidylcholine with defined fatty acid in the sn-1 position by lipase-catalyzed esterification and transesterification reaction. Biotechnol. Bioeng. 2002, 78, 403–411. [Google Scholar] [CrossRef]
- Bittman, R. Chemical preparation of glycerophospholipids: A review of recent syntheses. In Phospholipids Handbook; Cevc, G., Ed.; Marcel Dekker: New York, NY, USA, 1995; pp. 141–232. [Google Scholar]
- Xia, J.; Hui, Y.Z. The stereospecific synthesis of mixed-acid phospholipids with polyunsaturated fatty acid from D-mannitol. Tetrahedron Asymmetry 1997, 8, 451–458. [Google Scholar] [CrossRef]
- Lindberg, J.; Ekeroth, J.; Konradsson, P. Efficient synthesis of phospholipids from glycidyl phosphates. J. Org. Chem. 2002, 67, 194–199. [Google Scholar] [CrossRef]
- Bibak, N.; Hajdu, J. A new approach to the synthesis of lysophosphatidylcholines and related derivatives. Tetrahedron Lett. 2003, 44, 5875–5877. [Google Scholar] [CrossRef]
- Rossetto, R.; Bibak, N.; Hajdu, J. A new approach to the synthesis of lysophospholipids: Preparation of lysophosphatidic acid and lysophosphatidylcholine from p-nitrophenylglycerate. Tetrahedron Lett. 2004, 45, 7371–7373. [Google Scholar]
- Rossetto, R.; Bibak, N.; DeOcampo, R.; Shah, T.; Grabriellian, A.; Hajdu, J. A new synthesis of lysophosphatidylcholines and related derivatives. Use of p-toluensulfonate for hydroxyl Group Protection. J. Org. Chem. 2007, 72, 1691–1698. [Google Scholar]
- Baer, E.; Kates, M. L-alfa-Glycerylphosphorylcholine. J. Am. Chem. Soc. 1948, 70, 1394–1399. [Google Scholar] [CrossRef]
- Chada, J.S. Preparation of crystalline L-alfa-glycerophosphorylcholine-cadmium chloride adduct from commercial egg lecithin. Chem. Phys. Lipids 1970, 4, 104–108. [Google Scholar] [CrossRef]
- Ichihara, K.; Iwasaki, H.; Ueda, K.; Takisawa, R.; Naito, H.; Tomosugi, M. Synthesis of phosphatidylcholine: An improved method without using the cadmium chloride complex of sn-glycero-3-phosphocholine. Chem. Phys. Lipids 2005, 137, 94–99. [Google Scholar] [CrossRef]
- Fasoli, E.; Arnone, A.; Caligiuri, A.; D’Arrigo, P.; de Ferra, L.; Servi, S. Tin-mediated synthesis of lyso-phospholipids. Org. Biomol. Chem. 2006, 4, 2974–2978. [Google Scholar] [CrossRef]
- D’Arrigo, P.; Fasoli, E.; Pedrocchi-Fantoni, G.; Rossi, C.; Saraceno, C.; Servi, S.; Tessaro, D. A practical selective synthesis of mixed short/long chains glycerophosphocholines. Chem. Phys. Lipids 2007, 147, 113–118. [Google Scholar] [CrossRef]
- Dennis, E.A. Phospholipases. In Methods in Enzymology; Academic Press, Inc.: San Diego, CA, USA, 1991; Volume 197. [Google Scholar]
- D’Arrigo, P.; Servi, S. Using phospholipases for phospholipid modification. Trends Biotech. 1997, 15, 90–96. [Google Scholar] [CrossRef]
- Frohman, M.A.; Morris, A.J. Phospholipase D structure and regulation. Chem. Phys. Lipids 1999, 98, 127–140. [Google Scholar] [CrossRef]
- Murakami, M.; Kudo, I. Signaling phospholipase A2. J. Biochem. 2002, 131, 285–292. [Google Scholar] [CrossRef]
- Heinz, D.W.; Essen, L.O.; Williams, R.L. Structural and mechanistic comparison of prokaryotic and eukaryiotic phosphoinositide-specific phospholipase C. J. Mol.Biol. 1998, 275, 635–650. [Google Scholar] [CrossRef]
- Heller, M. Phospholipase D. Adv. Lipid Res. 1978, 16, 267–284. [Google Scholar]
- Mustranta, A.; Forsell, P.; Aura, A.M.; Suortti, T.; Poutanen, K. Modification of phospholipids with lipases and phospholipases. Biocatalysis 1994, 9, 181–194. [Google Scholar] [CrossRef]
- Servi, S. Phospholipases as synthetic catalysts. Top. Curr. Chem. 1999, 200, 127–158. [Google Scholar] [CrossRef]
- Ulbrich-Hofman, R. Phospholipases used in lipid transformation. In Enzymes in Lipid Modification; Bornscheuer, U.T., Ed.; Wiley-VCH: Weinheim, Germany, 2000; pp. 219–262. [Google Scholar]
- Adlercreutz, P.; Lyberg, A.M.; Adlercreutz, D. Enzymatic fatty acid exchange in glycerophospholipids. Eur. J. Lipid Sci. Technol. 2003, 105, 638–645. [Google Scholar] [CrossRef]
- Kim, I.H.; Garcia, H.S.; Graham, C. Phospholipase A1-catalyzed synthesis of phospholipids enriched in ω-3-polyunsaturated fatty acid residues. Enzyme Microb. Technol. 2007, 40, 1130–1135. [Google Scholar] [CrossRef]
- Haas, M.J.; Cichowicz, D.J.; Philipps, J.; Moreau, R. The hydrolysis of phosphatidylcholine by an immobilized lipase: Optimization of hydrolysis in organic solvents. J. Am. Oil Chem. Soc. 1993, 70, 111–117. [Google Scholar] [CrossRef]
- Morimoto, T.; Murakami, N.; Nagatsu, A.; Sakikibara, J. Regiospecific deacylation of glycerophospholipids by use of Mucor javanicus lipase. Tetrahedron Lett. 1993, 34, 2487–2490. [Google Scholar] [CrossRef]
- Paltauf, F. Preparation of choline and ethanolamine plasmalogens by enzymatic hydrolysis of the accompanying diacyl analogs. Lipids 1978, 13, 165–166. [Google Scholar] [CrossRef]
- Slotboom, A.J.; de Haas, G.H.; Bonsen, P.P.M.; Burbach-Westerhuis, G.J.; van Deenen, L.L.M. Hydrolysis of phosphoglycerides by purified lipase preparations I. Substrate-, positional- and stereo-specificity. Chem. Phys. Lipids 1970, 4, 15–29. [Google Scholar] [CrossRef]
- Kucera, G.L.; Sisson, P.J.; Thomas, M.J.; Waite, M. On the substrate specificity of rat liver phospholipase A1. J. Biol. Chem. 1988, 263, 1920–1928. [Google Scholar]
- Kim, M.K.; Rhee, J.S.J. Production of medium-chain glycerides by immobilized lipase in a solvent-free system. J. Am. Oil Chem. Soc. 1991, 68, 499–503. [Google Scholar] [CrossRef]
- Haas, M.J.; Cichowicz, D.J.; Jun, W.; Scott, K. The Enzymatic hydrolysis of triglyceride-phospholipid mixtures in an organic solvent. J. Am. Oil Chem. Soc. 1995, 72, 519–525. [Google Scholar] [CrossRef]
- Yagi, T.; Nakanishi, T.; Yoshizawa, Y.; Fukui, F. The Enzymatic acyl exchange of phospholipids with Lipases. J. Ferment. Bioeng. 1990, 69, 23–25. [Google Scholar] [CrossRef]
- Haas, M.J.; Scott, K.; Jun, W.; Janssen, G. Enzymatic phosphatidylcholine hydrolysis in organic solvents: An examination of selected commercially available lipases. J. Am. Oil Chem. Soc. 1994, 71, 483–490. [Google Scholar] [CrossRef]
- Six, D.A.; Dennis, E.A. The expanding superfamily of phospholipase A2 enzymes: Classification and characterization. Biochim. Biophys. Acta 2000, 1488, 1–19. [Google Scholar]
- Kim, J.; Lee, C.S.; Oh, J.; Kim, B.G. Production of egg yolk lysolecithin with immobilized phospholipase A2. Enzyme Microb. Technol. 2001, 29, 587–592. [Google Scholar] [CrossRef]
- Egger, D.; Wehtje, E.; Adlercreutz, P. Characterization and optimization of phospholipase A2 catalyzed synthesis of phosphatidylcholine. Biochim. Biophys. Acta 1995, 1259, 49–55. [Google Scholar]
- Peng, L.; Xu, X.; Mu, H.; Hoy, C.E.; Adler-Nissen, J. Production of structurated phospholipids by lipase-catalyzed acidolysis: Optimization using surface response methodology. Enzyme Microb. Technol. 2002, 31, 523–532. [Google Scholar] [CrossRef]
- Sarney, D.B.; Fregapane, G.; Vulson, E.N. Lipase-catalyzed synthesis of lyso-PLs in a continuous bioreactor. J. Am. Oil Chem. Soc. 1994, 71, 93–96. [Google Scholar] [CrossRef]
- Mazur, A.W.; Hiler, G.D.II; Lee, S.S.C.; Amstrong, M.P.; Wendel, J.D. Regioselective and stereoselective enzymatic esterification of glycerol and its derivatives. Chem. Phys. Lipids 1991, 60, 189–199. [Google Scholar] [CrossRef]
- Kim, J.; Kim, B.G. Lipase-catalysed synthesis of lysophosphatidylcholine. Ann. N.Y. Acad. Sci. 1998, 864, 341–344. [Google Scholar] [CrossRef]
- Virto, C.; Adlercreutz, P. Lysophosphatidylcholine synthesis with Candida Antarctica lipase B (Novozyme 435). Enzyme Microb. Technol. 2000, 26, 630–635. [Google Scholar] [CrossRef]
- Abousalam, A.; Riviere, M.; Teissere, M.; Verger, R. Improved purification and characterization of phospholipase D from cabbage. Biochim. Biophys. Acta 1993, 1158, 1–7. [Google Scholar]
- Ueki, J.; Morioka, S.; Komari, T.; Kumashiro, T. Purification and characterization of phospholipase D (PLD) from rice (Oryza sativa L.) and cloning of cDNA for PLD from rice and maize (Zea mays L.). Plant Cell Physiol. 1995, 36, 903–914. [Google Scholar]
- Wang, X.; Xu, L.; Zheng, L. Cloning and expression of phosphatidylcholine-hydrolyzing phospholipase D from Ricinus communis L. J. Biol. Chem. 1994, 269, 20312–20317. [Google Scholar]
- Ulbrich-Hofmann, R.; Lerchner, A.; Oblozinsky, M.; Bezakova, L. Phospholipase D and its application in biocatalysis. Biotech. Lett. 2005, 27, 535–543. [Google Scholar]
- Madoery, R.R.; Gonzales, C. Silica-immobilized phospholipase D from Daucus carota. Inf. Technol. 1997, 8, 23–29. [Google Scholar]
- Carrea, G.; D'Arrigo, P.; Piergianni, V.; Roncaglio, S.; Secundo, F.; Servi, S. Purification and properties of two phospholipases D from Streptomyces sp. Biochim. Biophys. Acta. 1995, 1255, 273–279. [Google Scholar]
- Carrea, G.; D'Arrigo, P.; Secundo, F.; Servi, S. Purification and applications of a phospholipase D from a new strain of Streptomyces. Biotech. Lett. 1997, 19, 1083–1085. [Google Scholar] [CrossRef]
- Carrea, G.; D’Arrigo, P.; Mazzotti, M.; Secundo, F.; Servi, S. On the kinetic mechanism of phospholipase D from Streptomyces sp. in an emulsion system. Biocatal. Biotransfor. 1997, 15, 251–264. [Google Scholar] [CrossRef]
- Iwasaki, Y.; Mishima, N.; Mizumoto, K.; Nakano, H.; Yamane, T. Extracellular production of phospholipase D of Streptomyces antibioticus using recombinant Escherichia coli. J. Ferment. Bioeng. 1995, 79, 417–421. [Google Scholar] [CrossRef]
- Shimbo, K.; Yano, H.; Miyamoto, Y. Purification and Properties of Phospholipase D from Streptomyces lydicus. Agric. Biol. Chem. 1990, 54, 1189–1193. [Google Scholar] [CrossRef]
- Imamura, S.; Horiuchi, Y. Purification of Streptomyces chromofuscus phospholipase D by hydrophobic affinity chromatography on palmitoyl cellulose. J. Biochem. 1979, 85, 79–95. [Google Scholar]
- Wang, P.; Schuster, M.; Wang, Y.F.; Wong, C.H. Synthesis of phospholipid inhibitor conjugates by enzymatic transphosphatidylation with phospholipase-D. J. Am. Chem. Soc. 1993, 115, 10487–10491. [Google Scholar] [CrossRef]
- Ulbrich-Hofman, R. Enzyme-catalyzed transphosphatidylation. Eur. J. Lipid Sci. Technol. 2003, 105, 305–308. [Google Scholar] [CrossRef]
- English, D. Phosphatidic Acid: a lipid messenger involved in intracellular and extracellular signalling. Cell Signal 1996, 8, 341–347. [Google Scholar] [CrossRef]
- Yang, S.F.; Freer, S.; Benson, A.A. Transphosphatidylation by Phospholipase D. J. Biol. Chem. 1967, 242, 477–484. [Google Scholar]
- D'Arrigo, P.; deFerra, L.; Piergianni, V.; Ricci, A.; Scarcelli, D.; Servi, S. Phospholipase D from Streptomyces catalyses the transfer of secondary alcohols. J. Chem. Soc. Chem. Commun. 1994, 1709–1710. [Google Scholar]
- Leiros, I.; Hough, E.; D’Arrigo, P.; Carrea, G.; Pedrocchi-Fantoni, G.; Secundo, F.; Servi, S. Crystallization and preliminary X-ray diffraction studies of Phospholipase D from Streptomyces sp. Acta Crystallogr. 2000, D56, 466–468. [Google Scholar]
- Leiros, I.; Secundo, F.; Zambonelli, C.; Servi, S.; Hough, E. The first crystal structure of a phospholipase D. Structure 2000, 8, 655–667. [Google Scholar] [CrossRef]
- Rose, M.T.; Prestwich, G.D. synthesis and evaluation of fluorogenic substrates for phospholipase D and phospholipase C. Org. Lett. 2006, 8, 2575–2578. [Google Scholar]
- Long, C.; Odavic, R.; Sargent, E.J. The action of the cabbage-leaf phospholipase D upon lysolecithin. Biochem. J. 1967, 102, 221–229. [Google Scholar]
- Virto, C.; Svensson, I.; Adlercreutz, P. Hydrolytic and transphosphatidylation activities of phospholipase D from Savoy cabbage towards lysophosphatidylcholine. Chem. Phys. Lipids 2000, 106, 41–51. [Google Scholar] [CrossRef]
- Sample Availability: Not available.
© 2010 by the authors; licensee Molecular Diversity Preservation International, Basel, Switzerland. This article is an open-access article distributed under the terms and conditions of the Creative Commons Attribution license (http://creativecommons.org/licenses/by/3.0/).
Share and Cite
D’Arrigo, P.; Servi, S. Synthesis of Lysophospholipids. Molecules 2010, 15, 1354-1377. https://doi.org/10.3390/molecules15031354
D’Arrigo P, Servi S. Synthesis of Lysophospholipids. Molecules. 2010; 15(3):1354-1377. https://doi.org/10.3390/molecules15031354
Chicago/Turabian StyleD’Arrigo, Paola, and Stefano Servi. 2010. "Synthesis of Lysophospholipids" Molecules 15, no. 3: 1354-1377. https://doi.org/10.3390/molecules15031354
APA StyleD’Arrigo, P., & Servi, S. (2010). Synthesis of Lysophospholipids. Molecules, 15(3), 1354-1377. https://doi.org/10.3390/molecules15031354
