Evaluation of the Antiradical Activity of Schisandra Chinensis Lignans Using Different Experimental Models
Abstract
:1. Introduction
2. Results and Discussion

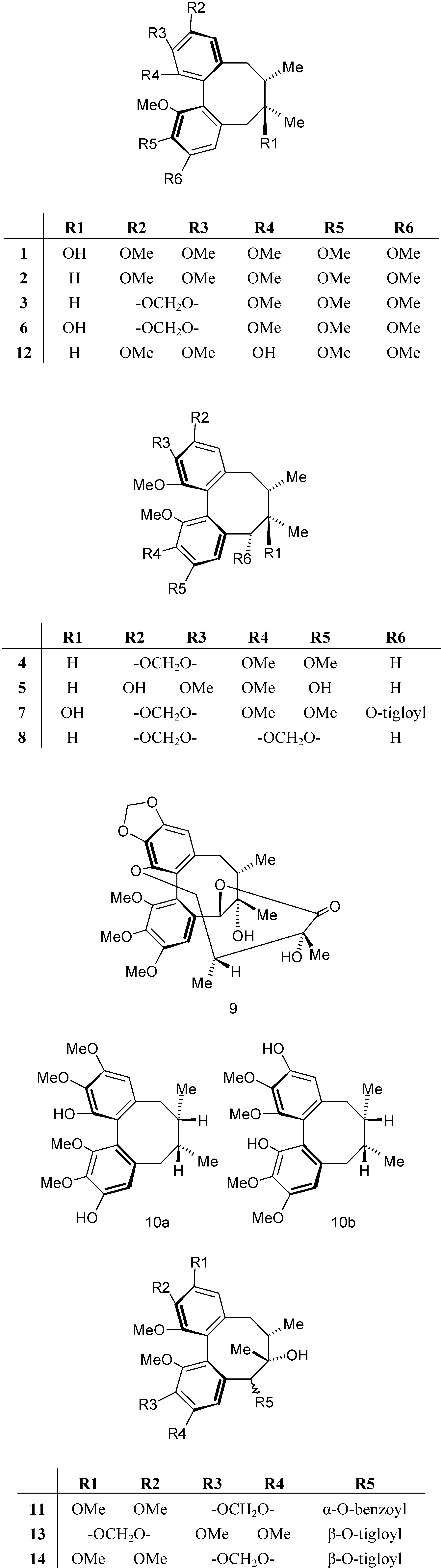
| Compound | Antioxidative activity expressed as TEAC | |||
|---|---|---|---|---|
| DPPH• | ABTS•+ | Fenton reaction inhibition | Tyrosine nitration inhibition | |
| 1 | 0.0108 | 0.0038 | 0.0060 | 0.016 |
| 2 | 0.0067 | 0.0044 | -a | 0.047 |
| 3 | 0.0083 | 0.0095 | 0.0179 | 0.048 |
| 4 | 0.0025 | -a | 0.0095 | 0.017 |
| 5 | 0.0160 | 0.0214 | 0.0145 | 0.765 |
| 6 | 0.0040 | 0.0031 | 0.0090 | 0.016 |
| 7 | 0.0046 | 0.0152 | 0.0158 | -a |
| 8 | 0.0036 | 0.0035 | 0.0083 | 0.027 |
| 9 | 0.1096 | -b | 0.0159 | 0.791 |
| 10 | -b | -b | -b | 0.046 |
| 11 | 0.0073 | -b | 0.0170 | 0.132 |
| 12 | 0.0739 | -b | 0.0748 | 0.315 |
| 13 | 0.0002 | -b | 0.0115 | -a |
| 14 | -a | -b | 0.0134 | -b |
3. Experimental
3.1. Plant material
3.2. Extraction and isolation
3.3. In vitro DPPH•, ABTS•+ and chemiluminescence inhibition assays
3.4. Inhibition of tyrosine-nitration assay
3.5. Cytoprotective effect against alloxan-induced diabetes in vivo
4. Conclusions
Acknowledgements
- Sample Availability: Samples of compounds 1–8 are available from authors.
References and Notes
- Lu, Y.; Chen, D.-F. Analysis of Schisandra chinensis and Schisandra sphenanthera. J. Chromatogr. A 2009, 1216, 1980–1990. [Google Scholar]
- Opletal, L.; Sovová, H.; Bártlová, M. Dibenzo[a,c]cyclooctadiene lignans of the genus Schisandra: importance, isolation and determination. J. Chromatogr. B 2004, 812, 357–371. [Google Scholar]
- Panossian, A.; Wikman, G. Pharmacology of Schisandra chinensis Bail.: An overview of Russian research and uses in medicine. J. Ethnopharmacol. 2008, 118, 183–212. [Google Scholar] [CrossRef]
- Slanina, J.; Glatz, Z. Separation procedures applicable to lignan analysis. J. Chromatogr. B 2004, 812, 215–229. [Google Scholar]
- Hancke, J.L.; Burgos, R.A.; Ahumada, F. Schisandra chinensis (Turcz.) Baill. Fitoterapia 1999, 70, 451–471. [Google Scholar] [CrossRef]
- Lenzen, S.; Panten, U. Alloxan: history and mechanism of action. Diabetologia 1988, 31, 337–342. [Google Scholar] [CrossRef]
- Lenzen, S. The mechanisms of alloxan- and streptozotocin-induced diabetes. Diabetologia 2008, 51, 216–226. [Google Scholar] [CrossRef]
- Holmgren, A.; Lyckerborg, C. Enzymatic reduction of alloxan by thioredoxin and NADPH-thioredoxin reductase. Proc. Nat. Acad. Sci. 1980, 77, 5149–5152. [Google Scholar] [CrossRef]
- Kubisch, H.; Wang, J.; Luche, R.; Carlson, E.; Bray, T. Transgenic copper/zinc superoxide dismutase modulates susceptibility to type 1 diabetes. Proc. Nat. Acad. Sci. 1994, 91, 9956–9959. [Google Scholar] [CrossRef]
- Lenzen, S.; Drinkgern, J.; Tiedge, M. Low antioxidant enzyme gene expression in pancreatic islets compared with various other mouse tissues. Free Radical Biol. Med. 1996, 20, 463–466. [Google Scholar] [CrossRef]
- Zhang, H.; Ollinger, K.; Brunk, U. Insulinoma cells in culture show pronounced sensitivity to alloxan-induced oxidative stress. Diabetologia 1995, 38, 635–641. [Google Scholar] [Green Version]
- Sabu, M.C.; Kuttan, R. Anti-diabetic activity of medicinal plants and its relationship with their antioxidant property. J. Ethnopharmacol. 2002, 81, 155–160. [Google Scholar] [CrossRef]
- El-Alfy, A.T.; Ahmed, A.A.E.; Fatani, A.J. Protective effect of red grape seeds proanthocyanidins against induction of diabetes by alloxan in rats. Pharmacol. Res. 2005, 52, 264–270. [Google Scholar] [CrossRef]
- Beppu, H.; Koike, T.; Shimpo, K.; Chihara, T.; Hoshino, M.; Ida, C.; Kuzuya, H. Radical-scavenging effects of Aloe arborescens Miller on prevention of pancreatic islet B-cell destruction in rats. J. Ethnopharmacol. 2003, 89, 37–45. [Google Scholar] [CrossRef]
- Seyoum, A.; Asres, K.; El-Fiky, F.K. Structure–radical scavenging activity relationships of flavonoids. Phytochemistry 2006, 67, 2058–2070. [Google Scholar] [CrossRef]
- Heo, H.J.; Kim, Y.J.; Chung, D.; Kim, D.-O. Antioxidant capacities of individual and combined phenolics in a model system. Food Chem. 2007, 104, 87–92. [Google Scholar]
- Parejo, I.; Petrakis, C.H.; Kefalas, P. A transition metal enhanced luminol chemiluminescence in the presence of a chelator. J. Pharmacol. Toxicol. Methods 2000, 43, 183–190. [Google Scholar] [CrossRef]
- Vančo, J.; Marek, J.; Trávníček, Z.; Račanská, E.; Muselík, J.; Švajlenová, O. Synthesis, structural characterization, antiradical and antidiabetic activities of copper(II) and zinc(II) Schiff base complexes derived from salicylaldehyde and β-alanine. J. Inorg. Biochem. 2008, 102, 595–605. [Google Scholar] [CrossRef]
- Cai, Y.-Z.; Sun, M.; Xing, J.; Luo, Q.; Corke, H. Structure–radical scavenging activity relationships of phenolic compounds from traditional Chinese medicinal plants. Life Sci. 2006, 78, 2872–2888. [Google Scholar]
- Wang, M.C.; Lai, Y.C.; Chang, C.L. High throughput screening and antioxidant assay of dibenzo[a,c]cyclooctadiene lignans in modified-ultrasonic and supercritical fluid extracts of Schisandra chinensis Baill by liquid chromatography-mass spectrometry and a free radical-scavenging method. J. Sep. Sci. 2008, 31, 1322–1332. [Google Scholar] [CrossRef]
- Li, Y.J.; Gong, M.X.; Konishi, T. Antioxidant synergism among component herbs of traditional Chinese medicine formula, ShengMai San studied in vitro and in vivo. J. Health Sci. 2007, 53, 692–699. [Google Scholar] [CrossRef]
- Chiu, P.Y.; Mak, D.H.F.; Poon, M.K.T.; Ko, K.M. In vivo antioxidant action of a lignan-enriched extract of Schisandra fruit and an anthraquinone-containing extract of Polygonum root in comparison with schisandrin B and emodin. Planta Med. 2002, 68, 951–956. [Google Scholar] [CrossRef]
- Choi, Y.-W.; Takamatsu, S.; Khan, S.I.; Srinivas, P.V.; Ferreira, D.; Zhao, J.; Khan, I.A. Schisandrene, a Dibenzocyclooctadiene Lignan from Schisandra chinensis: Structure−Antioxidant Activity Relationships of Dibenzocyclooctadiene Lignans. J. Nat. Prod. 2006, 69, 356–359. [Google Scholar]
- Kim, S.R.; Lee, M.K.; Koo, K.A.; Kim, S.H.; Sung, S.H.; Lee, N.G.; Markelonis, G.J.; Oh, T.H.; Yang, J.H.; Kim, Y.C. Dibenzocyclooctadiene lignans from Schisandra chinensis protect primary cultures of rat cortical cells from glutamate-induced toxicity. J. Neurosci. Res. 2004, 76, 397–405. [Google Scholar] [CrossRef]
- Zhu, M.; Yeung, R.Y.; Lin, K.F.; Li, R.C. Improvement of phase I drug metabolism with Schisandra chinensis against CCl4 hepatotoxicity in a rat model. Planta Med. 2000, 66, 521–525. [Google Scholar] [CrossRef]
© 2010 by the authors; licensee Molecular Diversity Preservation International, Basel, Switzerland. This article is an open-access article distributed under the terms and conditions of the Creative Commons Attribution license (http://creativecommons.org/licenses/by/3.0/).
Share and Cite
Šmejkal, K.; Šlapetová, T.; Krmenčík, P.; Kubínová, R.; Suchý, P.; Dall´Acqua, S.; Innocenti, G.; Vančo, J.; Kalvarová, K.; Dvorská, M.; et al. Evaluation of the Antiradical Activity of Schisandra Chinensis Lignans Using Different Experimental Models. Molecules 2010, 15, 1223-1231. https://doi.org/10.3390/molecules15031223
Šmejkal K, Šlapetová T, Krmenčík P, Kubínová R, Suchý P, Dall´Acqua S, Innocenti G, Vančo J, Kalvarová K, Dvorská M, et al. Evaluation of the Antiradical Activity of Schisandra Chinensis Lignans Using Different Experimental Models. Molecules. 2010; 15(3):1223-1231. https://doi.org/10.3390/molecules15031223
Chicago/Turabian StyleŠmejkal, Karel, Tereza Šlapetová, Pavel Krmenčík, Renata Kubínová, Pavel Suchý, Stefano Dall´Acqua, Gabbriella Innocenti, Ján Vančo, Karolína Kalvarová, Margita Dvorská, and et al. 2010. "Evaluation of the Antiradical Activity of Schisandra Chinensis Lignans Using Different Experimental Models" Molecules 15, no. 3: 1223-1231. https://doi.org/10.3390/molecules15031223
APA StyleŠmejkal, K., Šlapetová, T., Krmenčík, P., Kubínová, R., Suchý, P., Dall´Acqua, S., Innocenti, G., Vančo, J., Kalvarová, K., Dvorská, M., Slanina, J., Kramářová, E., Muselík, J., & Žemlička, M. (2010). Evaluation of the Antiradical Activity of Schisandra Chinensis Lignans Using Different Experimental Models. Molecules, 15(3), 1223-1231. https://doi.org/10.3390/molecules15031223