The Solubility of Hen Lysozyme in Ethylammonium Nitrate/H2O Mixtures and a Novel Approach to Protein Crystallization
Abstract
:1. Introduction
2. Results and Discussion
2.1. Solubility
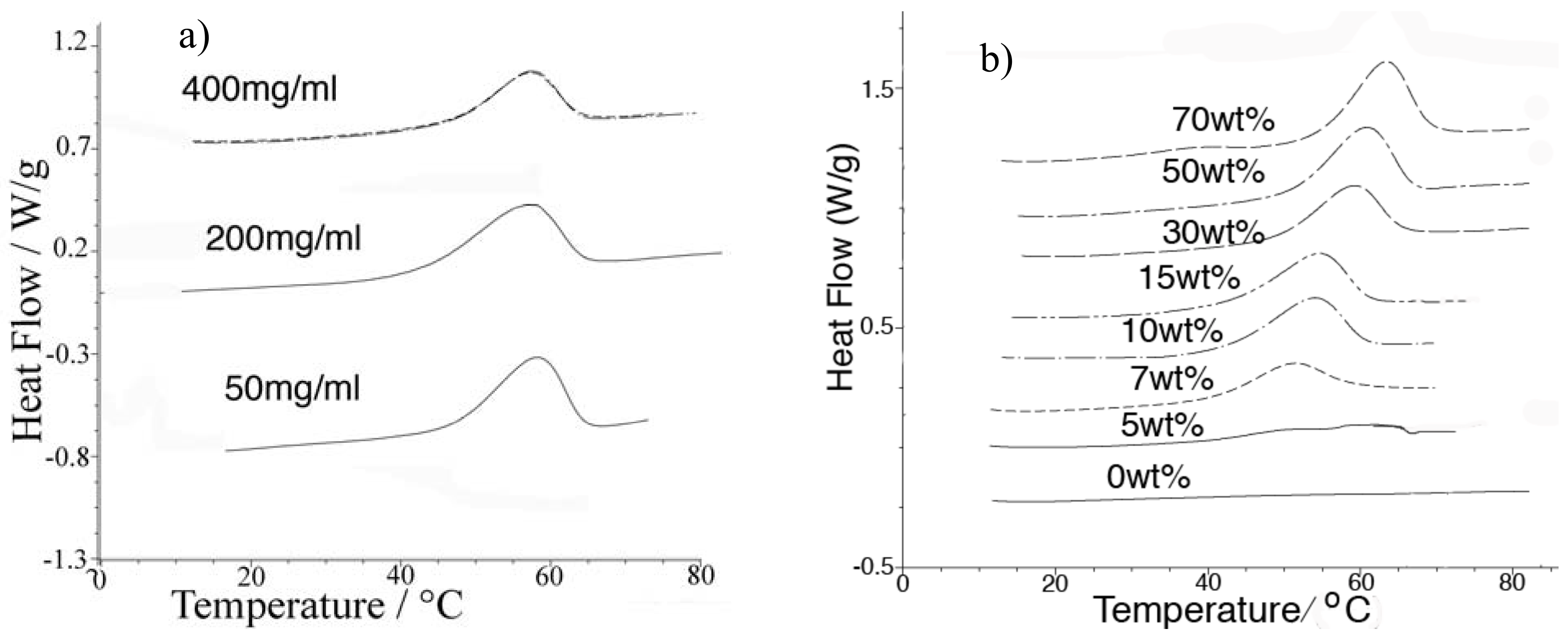
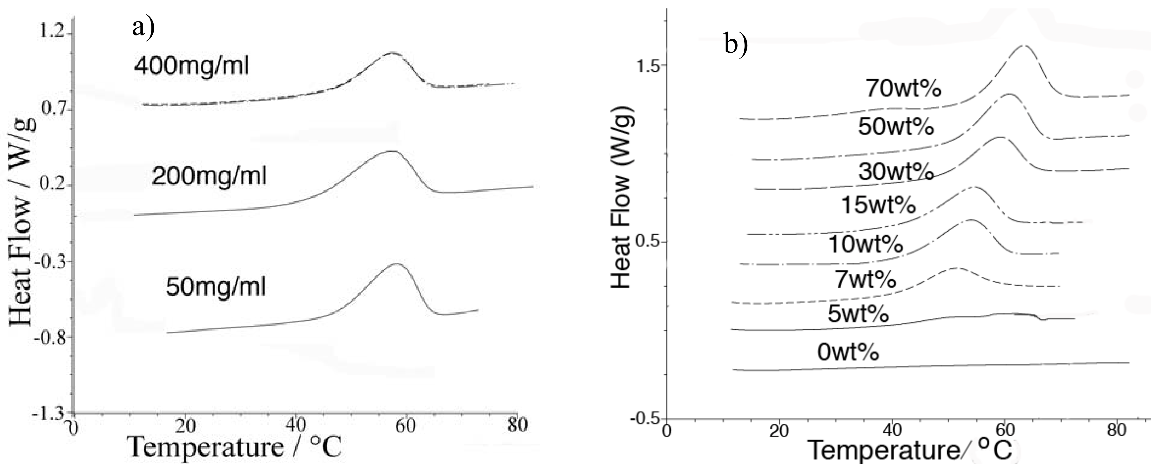
2.2. Stability
2.3. Formation of protein crystals from concentrated hydrated EAN solutions
3. Experimental
3.1. Sample preparation
3.2. DSC
3.3. Solubility
3.4. Growth of protein crystals
4. Conclusions
Acknowledgements
References and Notes
- Lee, K.H.; Ryu, H.S.; Rhee, K.C. Protein Solubility characteristics of commercial soy protein products. J. Amer. Oil Chem. Soc. 2003, 80, 85–90. [Google Scholar] [CrossRef]
- Jornitz, M.J.; Meltzer, T.H. Filtration and Purification in the Biopharmaceutical Industry, 2nd ed.; Informa Healthcare: New York, NY, USA, 2007. [Google Scholar]
- Crommelin, D.J.A.; Sindelar, R.D. Pharmaceutical Biotechnology: An Introduction for Pharmacists and Pharmaceutical Scientists, 2nd ed.; Hardwood Academic Publishers: New York, NY, USA, 1997. [Google Scholar]
- Tanford, C. Physical Chemistry of Macromolecules; Wiley: New York, NY, USA, 1961; pp. 238–253. [Google Scholar]
- Ries-Kautt, M.; Duruix, A.; Van Dorsselaer, A. Crystallization of previously desalted lysozyme in the presence of sulfate ions. Acta Cryst. 1994, D50, 366–369. [Google Scholar] [CrossRef] [PubMed]
- Ries-Kautt, M.; Duruix, A. Inferences Drawn from Physicochemical Studies of Crystallogenesis and Precrystalline State. In Methods in Enzymology; Academic Press: New York, NY, USA, 1997; pp. 23–59. [Google Scholar]
- Retallieau, P.; Ries-Kautt, M.; Ducruix, A. No salting-in of lysozyme chloride observed at low ionic strength over a large range of pH. Biophys. J. 1997, 73, 2156–2163. [Google Scholar] [CrossRef]
- Wiencek, J.M. New strategies for protein crystal growth. Annu. Rev. Biomed. Eng. 1999, 1, 505–534. [Google Scholar] [CrossRef] [PubMed]
- Durbin, S.D.; Feher, G. Protein crystallization. Annu. Rev. Chem. 1996, 47, 171–204. [Google Scholar] [CrossRef] [PubMed]
- Bergfors, T.M. Protein Crystallization: Techniques, Strategies and Tips, 2nd ed.; International University Line: San Diego, CA, USA, 1999. [Google Scholar]
- Li, X.X.; Xu, X.D.; Dan, Y.Y.; Zhang, M.L. The factors during protein crystallization: A review. Crystal Rep. 2008, 53, 1261–1282. [Google Scholar] [CrossRef]
- Pusey, M.L.; Paley, M.S.; Turner, M.B; Rogers, R.D. Protein crystallization using room temperature ionic liquids. Cryst. Growth Des. 2007, 787–793. [Google Scholar] [CrossRef]
- Hekmat, D.; Hebel, D.; Sebastian, J.; Schmidt, M.; Weuster-Botz, D. Advanced protein crystallization using water-soluble ionic liquids as crystallization additives. Biotech. Lett. 2007, 29, 1703–1711. [Google Scholar] [CrossRef] [PubMed]
- Garlitz, J.A.; Summers, C.A.; Flowers, R.A; Borgstahl, G.E.O. Ethylammonium nitrate: A protein crystallization reagent. Acta Cryst. 1999, D55, 2037–2038. [Google Scholar] [CrossRef]
- Judge, R.A.; Takahashi, S.; Longenecker, K.L.; Fry, E.H.; Abad-Zapatero, C.; Chi, M.L. The effect of ionic liquids on protein crystallization and X-ray diffraction resolution. Cryst. Growth Des. 2009, 9, 3463–3469. [Google Scholar] [CrossRef]
- Welton, T. Room temperature ionic liquids. Solvents for synthesis and catalysis. Chem. Rev. 1999, 99, 2071. [Google Scholar] [CrossRef] [PubMed]
- Turner, M.B.; Holbrey, J.D.; Spear, S.K.; Pusey, M.L.; Rogers, R.D. Ionic Liquids IIIB: Fundamentals, Progress, Challenges, and Opportunities; Rogers, R.D., Seddon, K.R., Eds.; American Chemical Society: Washington, DC, USA, 2004; Volume 902, pp. xiii–xiv. [Google Scholar]
- Angell, C.A.; Xu, W.; Yoshizawa, M.; Hayashi, A.; Belieres, J.P.; Lucas, P. Electrochemical Aspects of Ionic Liquids; Wiley: London, UK, 2005; Chapter 2; pp. 5–23. [Google Scholar]
- Wasserscheid, P.; Welton, T. Ionic Liquids in Synthesis; Wiley-VCH: Weinheim, Germany, 2003. [Google Scholar]
- Macfarlane, D.R.; Forsyth, M. The Handbook of Ionic liquids: Electrochemistry; Wiley and Sons: Weinheim, Germany, 2009. [Google Scholar]
- Byrne, N.; Wang, L.M.; Belieres, J.P.; Angell, C.A. Reversible folding-unfolding aggregation protection, and multi-year stabilisation, in high concentration protein solutions, using ionic liquids. Chem. Commun. 2007, 2714–3716. [Google Scholar] [CrossRef] [PubMed]
- Fujita, K.; MacFarlane, D.R.; Forsyth, M. Protein solubilising and stabilising ionic liquids. Chem. Commun. 2005, 4804–4806. [Google Scholar] [CrossRef] [PubMed]
- Chin, J.T.; Wheeler, S.L.; Klibanov, A.M. On protein solubility in organic solvents. Biotech. Bioeng. 1994, 44, 140–145. [Google Scholar] [CrossRef] [PubMed]
- Privalov, P.; Khechinashvili, N.N. A thermodynamic approach to the problem of stabilization of globular protein structure: A calorimetric study. J. Mol. Biol. 1974, 86, 665. [Google Scholar] [CrossRef]
- Byrne, N.; Angell, C.A. Protein unfolding, and the “Tuning in” of reversible intermediate states, in protic ionic liquid media. J. Mol. Biol. 2008, 378, 707–714. [Google Scholar] [CrossRef] [PubMed]
- Byrne, N.; Belieres, J.P.; Angell, C.A. The ‘Refoldability’ of selected proteins in ionic liquids as a stabilization criterion, leading to a conjecture on biogenesis. Aust. J. Chem. 2009, 62, 328–333. [Google Scholar] [CrossRef]
- Byrne, N.; Angell, C.A. Formation and dissolution of hen egg white lysozyme amyloid fibrils in protic ionic liquids. Chem. Commun. 2009, 1046–1048. [Google Scholar] [CrossRef] [PubMed]
- http://lysozyme.co.uk/crystallization.php/ accessed on 3 February 2010.
- Sauter, C.; Otalora, F.; Gavira, J.A.; Vidal, O.; Giege, R.; Garcia-Ruiz, J. Structure of tetragonal hen egg-white lysozyme at 0.94 Å resolution from crystals grown by the counter-diffusion method. Acta Cryst. D Biolog. Crystallog. 2001, 57, 1119. [Google Scholar] [CrossRef]
Sample Availability: Samples may be available by contacting the authors. |





© 2010 by the authors; licensee Molecular Diversity Preservation International, Basel, Switzerland. This article is an open-access article distributed under the terms and conditions of the Creative Commons Attribution license (http://creativecommons.org/licenses/by/3.0/).
Share and Cite
Byrne, N.; Angell, C.A. The Solubility of Hen Lysozyme in Ethylammonium Nitrate/H2O Mixtures and a Novel Approach to Protein Crystallization. Molecules 2010, 15, 793-803. https://doi.org/10.3390/molecules15020793
Byrne N, Angell CA. The Solubility of Hen Lysozyme in Ethylammonium Nitrate/H2O Mixtures and a Novel Approach to Protein Crystallization. Molecules. 2010; 15(2):793-803. https://doi.org/10.3390/molecules15020793
Chicago/Turabian StyleByrne, Nolene, and C. Austen Angell. 2010. "The Solubility of Hen Lysozyme in Ethylammonium Nitrate/H2O Mixtures and a Novel Approach to Protein Crystallization" Molecules 15, no. 2: 793-803. https://doi.org/10.3390/molecules15020793
APA StyleByrne, N., & Angell, C. A. (2010). The Solubility of Hen Lysozyme in Ethylammonium Nitrate/H2O Mixtures and a Novel Approach to Protein Crystallization. Molecules, 15(2), 793-803. https://doi.org/10.3390/molecules15020793
