Next Article in Journal
A New Furostanol Glycoside from Tribulus terrestris
Previous Article in Journal
Roy et al. On Two Novel Parameters for Validation of Predictive QSAR Models. Molecules, 2009, 14, 1660-1701
 
 
Font Type:
Arial Georgia Verdana
Font Size:
Aa Aa Aa
Line Spacing:
Column Width:
Background:
Article

Caloxanthones O and P: Two New Prenylated Xanthones from Calophyllum inophyllum

1
Key Laboratory of Tropical Crop Biotechnology, Ministry of Agriculture, Institute of Tropical Bioscience and Biotechnology, Chinese Academy of Tropical Agricultural Sciences, Haikou 571101, Hainan, China
2
International Joint Laboratory for Research and Development of Tropical Medicinal Plants, Chinese Academy of Tropical Agricultural Sciences, Haikou 571101, China
3
State Key Laboratory of Phytochemistry and Plant Resources in West China, Kunming Institute of Botany, Chinese Academy of Sciences, Kunming 650204, Yunnan, China
*
Author to whom correspondence should be addressed.
Molecules 2010, 15(2), 606-612; https://doi.org/10.3390/molecules15020606
Submission received: 30 November 2009 / Revised: 4 January 2010 / Accepted: 8 January 2010 / Published: 27 January 2010

Abstract

:
Chemical investigation of the EtOH extract of the twigs of Calophyllum inophyllum collected in Hainan Province of China resulted in the isolation of two new prenylated xanthones, caloxanthone O (1) and caloxanthone P (2). Their structures were elucidated by a study of their physical and spectral data. Compound 1 exhibited cytotoxicity against human gastric cancer cell line (SGC-7901), with an IC50 value of 22.4 μg mL−1.

Introduction

Calophyllum inophyllum Linn, which belongs to the family Clusiaceae, is an evergreen shrub widely distributed in tropical areas. It is used in traditional Chinese folk medicine for the treatment of eye diseases, wounds, rheumatism and inflammations [1,2]. The chemical literature reflects the existence of wide variety of natural products in this plant, such as pyranocoumarins [3,4,5,6,7,8,9], xanthones [4,5,8], triterpenes [9,10], and flavonoids [11], which possessed various bioactivities such as anti-HIV-1 [3], anti-microbial [9], and cytotoxic activities [9,12]. Previously, we isolated a new cytotoxic prenylated xanthone from the twigs of C. inophyllum collected in Hainan Province of China [12]. In the continuous search for bioactive constituents, two new prenylated xanthones, named caloxanthones O (1) and P (2) were obtained. Compound 1 exhibited cytotoxicity against human gastric cancer cell line. The present paper discusses their structural elucidation and cytotoxicity.

Results and Discussion

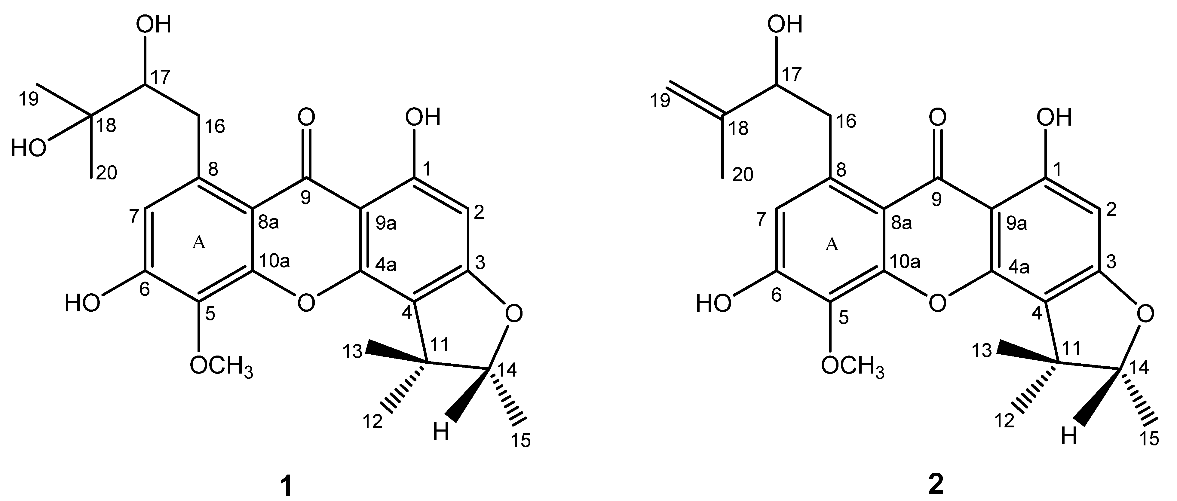
Compound 1, was obtained as a yellow powder that reacted positively to the Gibbs and FeCl3 reagent, indicating the presence of phenolic groups. Its HR-ESI-MS spectrum showed the quasi-molecular [M+Na]+ ion peak at m/z 467.1681 (calc. 467.1676), corresponding to the molecular formula C24H28O8. This formula could also be validated through its 1H-NMR, 13C-NMR and DEPT data. The IR spectrum displayed free hydroxyl (3,560 cm−1), chelated hydroxyl (3,160 cm−1), conjugated carbonyl (1684 cm−1), and aromatic ring (1,589, 1,540 cm−1) absorptions. These data, together with those obtained from the UV spectrum [λmax (MeOH) 217, 222, 252, 282, 321 nm] were consistent with the presence of a xanthone skeleton [4, 5]. In the 1H-NMR spectrum, a chelated hydroxyl group δH 13.73 (s, 1H), two isolated aromatic protons δH 6.19 (s, 1H), 6.78 (s, 1H) and one methoxyl (δH 3.84) were observed. The 1H-NMR spectrum of 1 also showed two methyl singlets (δH 1.25 and δH 1.55), a methyl doublet (δH 1.36, J = 6.5 Hz) and one-proton quartet (δH 4.56, J = 6.2 Hz), which suggested the presence of an α,α,β-trimethyldihydrofuran ring [4]. Furthermore, two methyl singlets (δH 1.15, δH 1.17), an oxymethine proton (δH 3.41, 1H, dd, J = 6.3, 9.6 Hz ), and two methylene protons (δH 2.62 and 3.78, each 1H) were observed in the 1H-NMR spectrum, which indicated the presence of a C5 unit characterized as a 2,3-dihydroxy-3-methylbutyl chain in 1 [13]. Assignment of the 13C-NMR spectral data are shown in Table 1. A combination of the 1H-1H COSY and HMQC experiments permitted the assignment of all the protonated carbons. It remained to establish the positions of the substituents on the xanthone skeleton. In the HMBC spectrum (Figure 2), the proton of chelated hydroxyl group 1-OH (δH 13.73) was correlated to three carbons C-9a (δC 102.7), C-2 (δC 92.9), and C-1 (δC 163.5), which suggested that the chelated hydroxyl group was located at C-1. Aromatic carbons with an oxygen function were observed at C-1 (δC 163.5), C-3 (δC 164.9) and C-4a (δC 151.3) in the 13C-NMR spectrum, which indicated that this aromatic ring was a phloroglucinol ring [14]. Therefore, the α,α,β-trimethyldihydrofuran ring was clearly fused at C-4 through an oxygen at C-3 position. This result was further confirmed by the long-range correlations of H-12 (δH 1.25) and H-13 (δH 1.55) with C-4 (δC 112.0) and H-14 (δH 4.56) with C-3 (δC 164.9) in the HMBC spectrum. The positions of the 2,3-dihydroxy-3-methylbutyl chain and the remaining phenolic hydroxyl group were established as follows. In the HMBC spectrum (Figure 2), the methylene protons H2-16 (δH 3.78 and δH 2.62) were correlated to three aromatic carbons C-8a (δC 110.8), C-7 (δC 117.7), and C-8 (δC 139.4). The latter resonance at C-8 also gave cross-peak with the oxymethine proton H-17 (δH 3.41). These results demonstrated clearly that the 2,3-dihydroxy-3-methylbutyl moiety was located at C-8. The cross-peaks from the aromatic proton (δH 6.78) to C-16 (δC 36.7), C-8a (δC 110.8), and C-5 (δC 132.8) in the HMBC spectrum indicated that the aromatic proton (δH 6.78) was assigned at C-7 position. The methoxyl group was deduced to be located at C-5 position by ROESY experiment revealing the cross-peak from the 5-OMe (δH 3.84) to H-13 (δH 1.55) (Figure 2). The downfield shifts of C-6 (δC 155.3) and C-18 (δC 71.9) revealed that each carbon should be connected to a hydroxyl group. The configuration at C-17 has not been determined in this study because the amount of compound 1 is too low. On the basis of the above results, the structure of compound 1 was thus elucidated and named caloxanthone O.
Figure 1. Structures of compounds 1 and 2.
Figure 1. Structures of compounds 1 and 2.
Molecules 15 00606 g001
Compound 2, was obtained as yellow powder and reacted positively to the Gibbs and FeCl3 reagent. The [M+Na]+ at m/z 449.1576 in the HR-ESI-MS spectrum corresponds to the molecular formula C24H26O7 (calc. 449.1571). The IR and UV spectra were suggestive of a xanthone derivative. The 1H- and 13C-NMR were closely related to those of 1, except for the substitution of C5 unit side chain in ring A. The 1H-NMR spectrum of 2 showed a methyl singlet (δH 1.86), an olefinic methylene (δH 4.77 and 4.96, each 1H), an oxymethine (δH 4.35, dd, J = 8.8, 3.6 Hz) and a methylene (δH 3.02, dd, J = 12.6, 3.6 Hz and δH 3.76, dd, J = 12.6, 3.6 Hz), which established a 2-hydroxy-3-methylbut-3-enyl group. The positions of the substitutions in 2 were established by HMBC and ROESY spectra (Figure 2). The configuration at C-17 has not been determined in this study because the amount of compound 2 is too low. From the above evidence, the structure of the compound 2 was thus confirmed, and given the trivial name caloxanthone P.
Compounds 1 and 2 were evaluated for their cytotoxic activity against human gastric cancer cell line (SGC-7901) using the MTT method. Compound 1 showed cytotoxic activity against the SGC-7901 cell line with the IC50 value of 22.4 μg mL−1, while compound 2 was inactive (IC50 > 100 μg mL−1).

Experimental

General

Melting points were obtained on a Beijing Taike X-5 stage apparatus and are uncorrected. Optical rotation was recorded using a Rudolph Autopol III polarimeter (Rudolph Research Analytical, NJ, USA). The UV spectra were measured on a Shimadzu UV-2550 spectrometer. The IR spectra were obtained on a Nicolet 380 FT-IR instrument, as KBr pellets. The NMR spectra were recorded on a Bruker AV-400 spectrometer, using TMS as an internal standard. The HRESIMS spectra were measured with an API QSTAR Pulsar mass spectrometer. Column chromatography was performed with silica gel (Marine Chemical Industry Factory, Qingdao, China) and Sephadex LH-20 (Merck). TLC was preformed with silica gel GF254 (Marine Chemical Industry Factory, Qingdao, China).

Plant Material

The twigs of Calophyllum inophyllum L. were collected in Wenchang county, Hainan Province, China in May 2006, the plant was identified by Associate Professor Zheng-Fu Dai of the Institute of Tropical Bioscience and Biotechnology, Chinese Academy of Tropical Agricultural Sciences, where a voucher specimen (No. 20060508) of C. inophyllum was deposited.

Extraction and Isolation

The dried and crushed twigs of C. inophyllum (19.9 kg) were extracted with 95% EtOH (70 L) three times at room temperature. After removal of EtOH by evaporation, the EtOH extract was suspended in water (6.0 L) and successively partitioned with petroleum ether (4 L) three times to give a Petro-soluble extract (290.0 g) and an aqueous residue. The Petro-soluble extract (290.0 g) was applied to a silica gel (200-300 mesh) column packed in CHCl3. The column was then eluted in gradient elution with CHCl3-acetone (1:0, 20:1, 10:1, 5:1, 2:1, 0:1) to afford 16 fractions. The active fraction (fraction 16, 44.0 g) was then subjected to repeated column chromatography over silica gel using Pet-EtOAc as eluent and further separated by column chromatography over Sephadex LH-20 using 95% EtOH as eluent to afford 1 (5.6 mg). The 95% MeOH fraction (245.0 g) was subjected to vacuum liquid chromatography (VLC) over silica gel, eluting with gradient elution CHCl3-MeOH to afford 10 fractions. The active fraction (fraction 3, 5.7 g) was then subjected to repeated column chromatography over silica gel using Pet-acetone as eluent and further separated by column chromatography over Sephadex LH-20 using 95% EtOH as eluent to afford 2 (6.2 mg).
Caloxanthone O: Yellow powder, M.p. 228– 230 ºC. [α] D 25 = + 32.0 (c = 0.50, MeOH). UV (MeOH): λmax (log εmax): 217 (1.25), 222 (sh), 252 (0.51), 282 (0.32), 321 (0.28) nm. IR (KBr): ν = 3560, 3160, 2314, 1684, 1589, 1540, 1419, 1384, 843 cm−1. HRMS ((+)-ESI): m/z = 467.1681 (calcd. 467.1676 for C24H28O8Na, [M + Na]+). 1H and 13C-NMR: see Table 1.
Caloxanthone P: Yellow powder, M.p. 203 − 204 ºC. [α] D 25 = + 56.0 (c = 0.50, MeOH). UV (MeOH): λmax (log εmax): 219 (1.95), 258 (2.17), 281 (1.36), 325 (1.47) nm. IR (KBr): ν = 3556, 3473, 3414, 2414, 2230, 1725, 1619, 1585, 1343, 1276, 1048, 907, 861, 830 cm−1. HRMS ((+)-ESI): m/z = 449.1576 (calcd. 449.1571 for C24H26O7Na, [M + Na]+). 1H and 13C-NMR: see Table 1.

Bioassay

The 3-(4,5-dimethylthiazol-2-yl)-2,5-diphenyltetrazolium bromide (MTT) assay was performed according to the previously reported method [15]. The inhibition rates (IR%) were calculated using OD mean values from IR% = (ODcontrol − ODsample)/ODcontrol. The IC50 value, which was defined as the concentration of sample needed to reduce 50% of absorbance relative to the vehicle-treated control, was determined using the Bliss method. The same experiment was repeated independently three times to obtain a mean IC50 and its standard deviation.

4. Conclusions

It was reported that a wide variety of bioactive natural products exist in the plant Calophyllum inophyllum, such as pyranocoumarins, triterpenes, and flavonoids, together with xanthones, especially prenylated xanthones. In our continuous search for bioactive constituents, two new prenylated xanthones, named caloxanthones O (1) and P (2) were obtained. Compound 1 showed cytotoxic activity against the SGC-7901 cell line with the IC50 value of 22.4 μg mL−1, while compound 2 was inactive (IC50 > 100 μg mL−1).

Acknowledgements

This research was financially supported by National Nonprofit Institute Research Grant of CATAS-ITBB (ITBBZD0742) and National Programs for Science and Technology Development of China (2007BAI27B04).

References

  1. Chen, H.Y. Flora of Hainanica; Science Press: Beijing, China, 1965; Volume 2, p. 56. [Google Scholar]
  2. Dai, H.F.; Mei, W.L. Modern Research on Medicinal Plants in Hainan; China Science and Technology Press: Beijing, China, 2007; p. 31. [Google Scholar]
  3. Patil, A.D.; Freyer, A.J.; Eggleston, D.S.; Haltiwanger, R.C.; Bean, M.F.; Taylor, P.B.; Caranfa, M.J.; Breen, A.L.; Bartus, H.R.; Johnson, R.K.; Hertzberg, R.P.; Westley, J.W. The inophyllums, novel inhibitors of HIV-1 reverse transcriptase isolated from the Malaysian tree, Calophyllum inophyllum Linn. J. Med. Chem. 1993, 36, 4131–4138. [Google Scholar] [CrossRef] [PubMed]
  4. Iinuma, M.; Tosa, H.; Tanaka, T.; Yonemori, S. Two xanthones from root bark of Calophyllum inophyllum. Phytochemistry 1994, 35, 527–532. [Google Scholar] [CrossRef]
  5. Iinuma, M.; Tosa, H.; Tanaka, T.; Yonemori, S. Two xanthones from roots of Calophyllum inophyllum. Phytochemistry 1995, 38, 725–728. [Google Scholar] [CrossRef]
  6. Spino, C.; Dodier, M.; Sotheeswaran, S. Anti-HIV coumarins from calophyllum seed oil. Bioorg. Med. Chem. Lett. 1998, 8, 3475–3478. [Google Scholar] [CrossRef]
  7. Itoigawa, M.; Ito, C.; Tan, H.T.W.; Kuchide, M.; Tokuda, H.; Nishino, H.; Furukawa, H. Cancer chemopreventive agents, 4-phenylcoumarins from Calophyllum inophyllum. Cancer Lett. 2001, 169, 15–19. [Google Scholar] [CrossRef]
  8. Wu, Y.; Zhang, P.C.; Chen, R.Y.; Yu, D.Q.; Liang, X.T. Two new xanthones from Calophyllum inophyllum. Acta. Chim. Sinica 2003, 61, 1047–1051. [Google Scholar]
  9. Yimdjo, M.C.; Azebaze, A.G.; Nkengfack, A.E.; Meyre, A.M.; Bodo, B.; Fomum, Z.T. Antimicrobial and cytotoxic agents from Calophyllum inophyllum. Phytochemistry 2004, 65, 2789–2795. [Google Scholar] [CrossRef] [PubMed]
  10. Govindachari, T.R.; Viswanathan, N.; Pai, B.R.; Rao, U.R.; Srinivasan, M. Triterpenes of calophyllum inophyllum linn. Tetrahedron 1967, 23, 1901–1910. [Google Scholar] [CrossRef]
  11. Li, Y.Z.; Li, L.Z.; Hua, H.M.; Li, Z.G.; Liu, M.S. Studies on flavonoids from stems and leaves of Calophyllum inophyllum. J. Chin. Materia Medica 2007, 32, 692–694. [Google Scholar]
  12. Xiao, Q.; Zeng, Y.B.; Mei, W.L.; Zhao, Y.X.; Deng, Y.Y.; Dai, H.F. Cytotoxic prenylated xanthones from Calophyllum inophyllum. J. Asian Nat. Prod. 2008, 10, 993–997. [Google Scholar] [CrossRef] [PubMed]
  13. Iinuma, M.; Tosa, H.; Toriyama, N.; Tanaka, T.; Ito, T.; Chelladurai, V. Six xanthones from Calophyllum austroindicum. Phytochemistry 1996, 43, 681–685. [Google Scholar] [CrossRef]
  14. Iinuma, M.; Ito, T.; Miyake, R.; Tosa, H.; Tanaka, T.; Chelladurai, V. A xanthone from Garcinia cambogia. Phytochemistry 1998, 47, 1169–1170. [Google Scholar] [CrossRef]
  15. Mosmann, T. Rapid colorimetric assay for cellular growth and survival: Application to proliferation and cytotoxicity assays. J. Immunol. Method. 1983, 65, 55–63. [Google Scholar] [CrossRef]
Sample Availability: Samples of the compound 1 and 2 are available from the authors.
Figure 2. Key HMBC and ROESY correlations of compounds 1 and 2.
Figure 2. Key HMBC and ROESY correlations of compounds 1 and 2.
Molecules 15 00606 g002
Table 1. 1H- and 13C-NMR data of 1 and 2. (1H at 400 and 13C at 100 MHz; J in Hz).
Table 1. 1H- and 13C-NMR data of 1 and 2. (1H at 400 and 13C at 100 MHz; J in Hz).
No.1a2b
δCδHδCδH
1163.5 (s) 166.5 (s)
292.9 (d)6.19 (1H, s)95.1 (d)6.13 (1H, s)
3164.9 (s) 167.7 (s)
4112.0 (s) 114.1 (s)
5132.8 (s) 135.4 (s)
6155.3 (s) 153.8 (s)
7117.7 (d)6.78 (1H, s)119.5 (d)6.83 (1H, s)
8139.4 (s) 140.6 (s)
9181.5 (s) 184.2 (s)
4a151.3 (s) 153.9 (s)
8a110.8 (s) 113.8 (s)
9a102.7 (s) 105.3 (s)
10a151.3 (s) 156.8 (s)
1143.0 (s) 45.5 (s)
1221.1 (q)1.25 (3H, s)22.7 (q)1.33 (3H, s)
1325.0 (q)1.55 (3H, s)26.9 (q)1.63 (3H, s)
1490.3 (d)4.56 (1H, q, 6.2 Hz)92.6 (d)4.57 (1H, q, 6.5 Hz)
1513.9 (q)1.36 (3H, d, 6.5 Hz)15.5 (q)1.41 (3H, d, 6.6 Hz)
1636.7 (t)3.78 (1H, d, 12.8 Hz, H-16a)
2.62 (1H, t, 11.3 Hz, H-16b)
43.5 (t)3.76 (1H, dd, 12.6, 3.6 Hz, H-16a)
3.02 (1H, dd, 12.6, 3.6 Hz, H-16b)
1777.2 (d)3.41 (1H, dd, 9.6, 6.3 Hz)77.0 (d)4.35( 1H, dd, 3.6, 8.8 Hz)
1871.9 (s) 150.6 (s)
1925.5 (q)1.15 (3H, s)111.0 (t)4.96 (1H, s, H-19a)
4.77 (1H, s, H-19b)
2025.7 (q)1.17 (3H, s)19.6 (q)1.86 (3H, s)
OMe−560.7 (q)3.84 (3H, s)62.8 (q)3.96 (3H, s)
OH−1 13.73 (1H, s) 13.68 (1H, s)
a In DMSO-d6. b In acetone-d6.

Share and Cite

MDPI and ACS Style

Dai, H.-F.; Zeng, Y.-B.; Xiao, Q.; Han, Z.; Zhao, Y.-X.; Mei, W.-L. Caloxanthones O and P: Two New Prenylated Xanthones from Calophyllum inophyllum. Molecules 2010, 15, 606-612. https://doi.org/10.3390/molecules15020606

AMA Style

Dai H-F, Zeng Y-B, Xiao Q, Han Z, Zhao Y-X, Mei W-L. Caloxanthones O and P: Two New Prenylated Xanthones from Calophyllum inophyllum. Molecules. 2010; 15(2):606-612. https://doi.org/10.3390/molecules15020606

Chicago/Turabian Style

Dai, Hao-Fu, Yan-Bo Zeng, Qi Xiao, Zhuang Han, You-Xing Zhao, and Wen-Li Mei. 2010. "Caloxanthones O and P: Two New Prenylated Xanthones from Calophyllum inophyllum" Molecules 15, no. 2: 606-612. https://doi.org/10.3390/molecules15020606

APA Style

Dai, H.-F., Zeng, Y.-B., Xiao, Q., Han, Z., Zhao, Y.-X., & Mei, W.-L. (2010). Caloxanthones O and P: Two New Prenylated Xanthones from Calophyllum inophyllum. Molecules, 15(2), 606-612. https://doi.org/10.3390/molecules15020606

Article Metrics

Back to TopTop