Synthesis and Biological activity of 4-(4,6-Disubstituted-pyrimidin-2-yloxy)phenoxy Acetates
Abstract
:1. Introduction
2. Results and Discussion
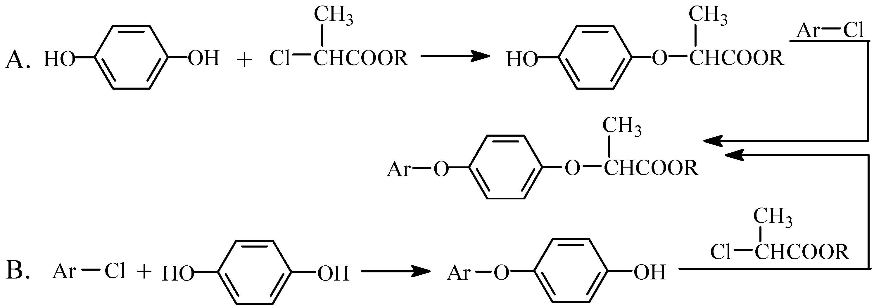
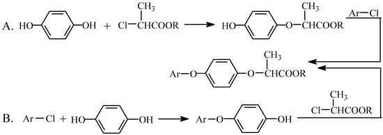
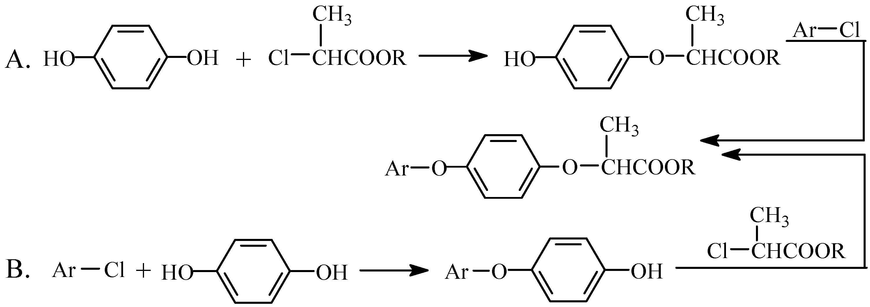
2.1. Synthesis


2.2. Biological Activity
| Compd. | Inhibitory rate (%) | |||||
|---|---|---|---|---|---|---|
| Brassica napus L. | Echinochloa crusgalli L. | |||||
| 100 mg/L 50 mg/L 10 mg/L | 100 mg/L 50 mg/L 10 mg/L | |||||
| 3a | 39.8 | 34.4 | 22.9 | 100 | 98.5 | 42.8 |
| 3b | 41.1 | 31.0 | 13.4 | 100 | 96.2 | 39.9 |
| 3c | 15.9 | 13.1 | 10.1 | 100 | 95.2 | 32.5 |
| 3d | 25.1 | 21.0 | 14.6 | 100 | 96.5 | 32.7 |
| 3e | 28.3 | 13.4 | 9.5 | 100 | 96.9 | 41.8 |
| 3f | 44.7 | 26.7 | 11.9 | 100 | 97.3 | 44.7 |
| 3g | 58.4 | 32.7 | 14.2 | 100 | 98.4 | 38.5 |
| 3h | 54.5 | 33.9 | 12.1 | 100 | 97.5 | 36.9 |
| 3i | 26.4 | 14.3 | 9.2 | 100 | 95.1 | 35.0 |
| 3j | 50.2 | 34.2 | 21.5 | 100 | 97.6 | 42.6 |
| quizalofop-P-ethyl | 51.2 | 39.2 | 33.8 | 100 | 95.3 | 63.5 |
3. Experimental
3.1. General
3.2. General method for the synthesis of 2-(4-hydroxyphenoxy)-4,6-disubstitutedpyrimidines 2a, 2b
3.3. General method for the preparation of 4-(4,6-disubstitutedpyrimidin-2-yloxy)phenoxy acetates 3a–3j
3.4. Biological activity
4. Conclusions
Acknowledgements
References and Notes
- Ren, K.T.; Li, Y.H.; Yang, H.Z. The mechanisms of action of APP and CHD herbicides. Chin. J. Pesticides 1999, 38, 1–4. [Google Scholar]
- Zhu, X.L.; Zhang, L.; Chen, Q.; Wan, J.; Yang, G.F. Interactions of aryloxyphenoxypropionic acids with sensitive and resistant acetyl-coenzyme A carboxylase by homology modeling and molecular dynamic simulations. J. Chem. Inf. Model. 2006, 46, 1819–1826. [Google Scholar] [CrossRef]
- Zhu, X.L.; Hao, G.F.; Zhan, C.G.; Yang, G.F. Computational simulations of the interactions between acetyl-coenzyme-A carboxylase and clodinafop: Resistance mechanism due to active and nonactive site mutations. J. Chem. Inf. Model. 2009, 49, 1936–1943. [Google Scholar] [CrossRef]
- Li, H.P. Developing progress and characteristics of herbicides of novel varieties in the world from 1980s. Pestic. Sci. Adm. 2004, 25, 28–32. [Google Scholar]
- Wang, H.Q.; Liu, H.; Liu, Z.J. Synthesis and herbicidal activities of 1-phenyl-1,5-dihydro-2-methylthio-methylsulfonyl-5-aryl-6-(4-ethyloxycarbonylmethoxyphenyloxy)-pyrazolo[3,4-d] pyrimidin-4-one. Chin. J. Org. Chem. 2004, 24, 1563–1568. [Google Scholar]
- Liu, C.L. Recent advance on the development of sulfonylurea herbicide. Pestic. Sci. Adm. 2000, 21, 35–39. [Google Scholar]
- Xi, Z.; Yu, Z.H.; Niu, C.W.; Ban, S.R.; Yang, G.F. Development of a general quantum-chemical descriptor for steric effects: density functional theory based QSAR study of herbicidal sulfonylurea analogues. J. Comput. Chem. 2006, 27, 1572–1576. [Google Scholar]
- He, Y.Z.; Li, Y.X.; Zhu, X.L.; Xi, Z.; Niu, C.W.; Wan, J.; Zhang, L.; Yang, G.F. Rational design based on bioactive conformation analysis of pyrimidinylbenzoates as acetohydroxyacid synthase inhibitors by integrating molecular docking, CoMFA, CoMSIA, and DFT calculations. J. Chem. Inf. Model. 2007, 47, 2335–2344. [Google Scholar] [CrossRef]
- Li, Y.X.; Luo, Y.P.; Xi, Z.; Niu, C.W.; He, Y.Z.; Yang, G.F. Design and syntheses of novel phthalazin-1(2H)-one derivatives as acetohydroxyacid synthase inhibitors. J. Agric. Food Chem. 2006, 54, 9135–9139. [Google Scholar]
- Tamaru, M.; Takehi, T.; Masuyama, N.; Hanai, R. Studies of the new herbicide KIH-6127. Part II. Synthesis and herbicidal activity of 6-acyl pyrimidin-2-yl salicylates and analogues against barnyard grass. Pestic. Sci. 1996, 47, 327–335. [Google Scholar] [CrossRef]
- Gerorge, L. Agricultural sulfonamides. U.S. Patent 4,394,506, 1983. [Google Scholar]
- Tang, C.C.; Li, Y.C.; Chen, B.; Yang, H.Z.; Jin, G.Y. Pesticide Chemistry; Nankai University Press: Tianjin, China, 1998; p. 558. [Google Scholar]
- Fan, Q.J.; Shen, D.L.; Chen, J.Q. Synthesis and application research of 4,6-dimethoxy-2-methylsulfonylpyrimidine. Fine Chem. Intermed. 2005, 35, 39–41. [Google Scholar]
- Wu, J.; Cheng, J.; Lu, L. N-(2-Bromophenyl)-2-(4,6-dimethoxypyrimidin-2-yloxy)benzylamine, a new selective postemergent herbicide for weed control in winter oilseed rape. J. Agric. Food Chem. 2006, 54, 5954–5957. [Google Scholar]
- Wu, Y.H. The new synthesis method of 2-(4-hydroxyphenoxy)-6-chlorobenzoxazole. Chin. J. Anhui Huagong 2005, 5, 22–23. [Google Scholar]
- Mu, L.Y. Research Method of Plant Chemical Protection; China Agriculture Press: Beijing, China, 1994; pp. 90–91. [Google Scholar]
- Wang, B.L.; Duggleby, R.G.; Li, Z.M.; Wang, J.G.; Li, Y.H.; Wang, S.H.; Song, H.B. Synthesis, crystal structure and herbicidal activity of mimics of intermediates of the KARI reaction. Pest Manag. Sci. 2005, 61, 407–412. [Google Scholar]
- Sample Availability: Samples of the target compounds are available from the authors.
© 2010 by the authors;
Share and Cite
Jiang, L.; Wang, H.; Wang, M.; Teng, X. Synthesis and Biological activity of 4-(4,6-Disubstituted-pyrimidin-2-yloxy)phenoxy Acetates. Molecules 2010, 15, 1074-1081. https://doi.org/10.3390/molecules15021074
Jiang L, Wang H, Wang M, Teng X. Synthesis and Biological activity of 4-(4,6-Disubstituted-pyrimidin-2-yloxy)phenoxy Acetates. Molecules. 2010; 15(2):1074-1081. https://doi.org/10.3390/molecules15021074
Chicago/Turabian StyleJiang, Lin, Hao Wang, Maorong Wang, and Xinhuan Teng. 2010. "Synthesis and Biological activity of 4-(4,6-Disubstituted-pyrimidin-2-yloxy)phenoxy Acetates" Molecules 15, no. 2: 1074-1081. https://doi.org/10.3390/molecules15021074
APA StyleJiang, L., Wang, H., Wang, M., & Teng, X. (2010). Synthesis and Biological activity of 4-(4,6-Disubstituted-pyrimidin-2-yloxy)phenoxy Acetates. Molecules, 15(2), 1074-1081. https://doi.org/10.3390/molecules15021074

