Synthesis and Antimicrobial Activity of Some Pyridinium Salts
Abstract
:Introduction

Results and Discussion
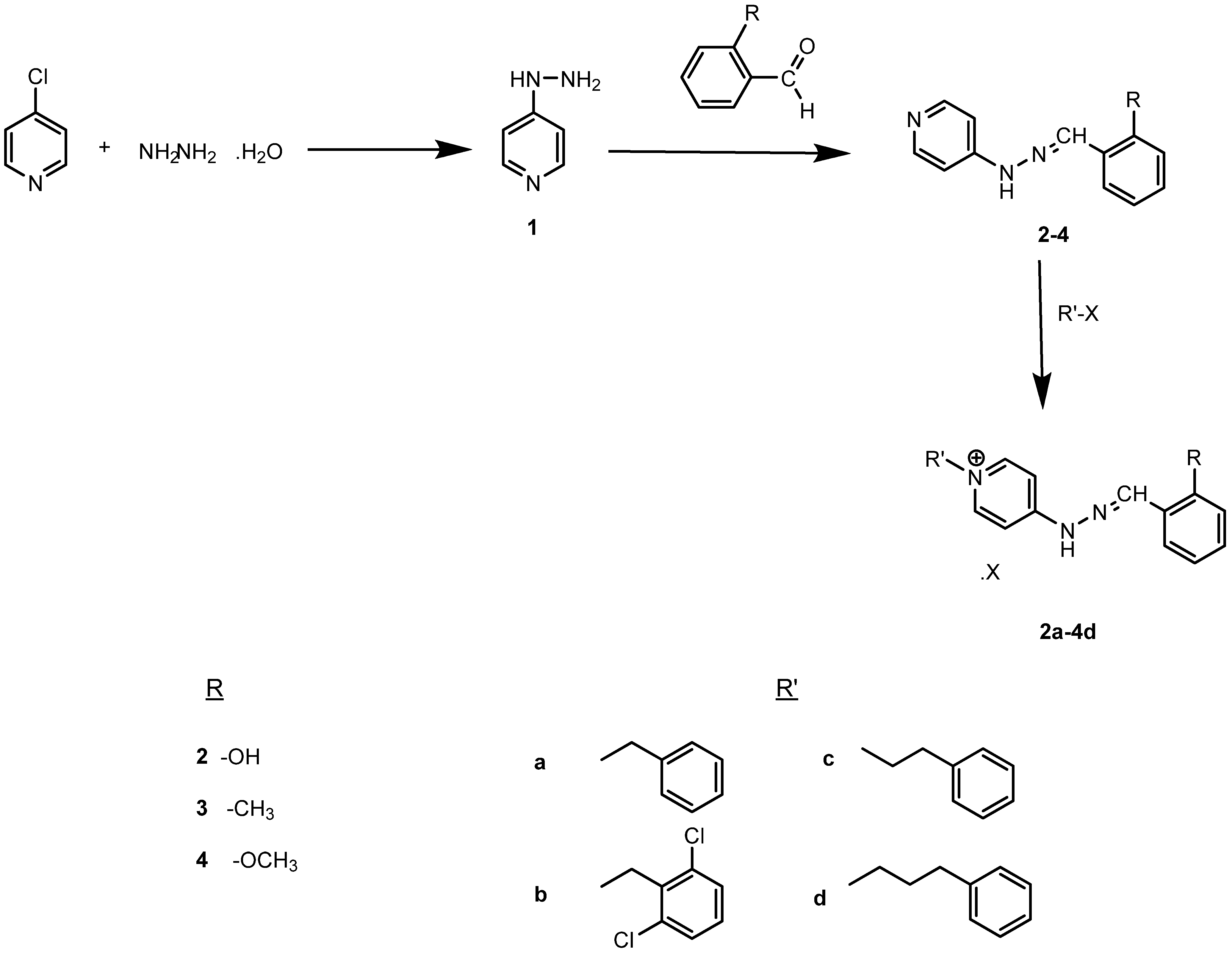
Chemistry

Antimicrobial Activity
| Compound No | Minimum Inhibitory Concentration (MIC) (μg/mL) | |||
|---|---|---|---|---|
| E. coli | P. aeruginosa | S. aureus | C. albicans | |
| 2a | 64 | 1024 | 64 | 128 |
| 3a | 32 | 512 | 16 | 64 |
| 4a | 64 | 512 | 32 | 128 |
| 2b | >2,048 | >2,048 | 32 | >2,048 |
| 3b | >2,048 | >2,048 | 64 | 1,024 |
| 4b | >2,048 | >2,048 | 128 | 2,048 |
| 2c | 64 | 512 | 32 | 64 |
| 3c | 32 | 256 | 16 | 64 |
| 4c | 64 | 512 | 32 | 64 |
| 2d | 64 | >2,048 | 8 | 32 |
| 3d | 32 | 256 | 4 | 32 |
| 4d | 128 | 1,024 | 8 | 64 |
| Ceftazidime | <0.125 (0.06–0.5)* | 1 (1–4)* | 4 (4–16)* | - |
| Fluconazole | - | - | - | (0.25–1.0)* |
Experimental
General
Synthesis of 4-Hydrazinopyridine Hydrochloride (1)
General Procedure for Synthesis of Benzylidenehydrazinylpyridine Derivatives 2–4
General Procedure for Synthesis of the Final Compounds 2a-4d
Antimicrobial Activity
Conclusions
Acknowledgements
- Sample Availability: Samples of compounds 2a-2d, 3a-3d, 4a-4d are available from the corresponding author.
References
- Thorsteinsson, T.; Masson, M.; Kristinsson, K.G.; Hjalmarsdottir, M.A.; Hilmarsson, H.; Loftsson, T. Soft antimicrobial agents: Synthesis and activity of labile environmentally friendly long chain quaternary ammonium compounds. J. Med. Chem. 2003, 46, 4173–4181. [Google Scholar] [CrossRef]
- Vnutskikh, Z.A.; Shklyaev, Y.V.; Odegova, T.F.; Chekryshkin, Y.S.; Tolstikov, A.G.; El’chishcheva, N.V.; Syropyatov, B.Y. Synthesis and antimicrobial activity of mono-and biquaternized derivates of dipyridylethanes and dipyridylethylenes. Khim. Farm. Zh. 2006, 40, 19–22. [Google Scholar]
- Ovchinnikova, I.G.; Fedorova, O.V.; Rusinov, G.L.; Zueva, M.N.; Mordovskoi, G.G. Synthesis and antimicrobial activity of N-alkylpyridinium podands. Khim. Farm. Zh. 2003, 37, 17–19. [Google Scholar]
- Burke, J.R.; Frey, P.A. Correlation of electronic effects in N-alkylnicotinamides with NMR chemical shifts and hydride transfer reactivity. J. Org. Chem. 1996, 61, 530–533. [Google Scholar] [CrossRef]
- Clarissa, K.L.N.; Singhal, V.; Widmer, F.; Wright, L.C.; Sorrell, T.C.; Jolliffe, K.A. Synthesis, antifungal and haemolytic activity of a series of bis(pyridinium)alkanes. Bioorg. Med. Chem. 2007, 15, 3422–3429. [Google Scholar] [CrossRef]
- Zhao, T.; Sun, G. Hydrophobicity and antimicrobial activities of quaternarypyridinium salts. J. Appl. Microbiol. 2008, 104, 824–830. [Google Scholar] [CrossRef]
- Kourai, H.; Yabuhara, T.; Shirai, A.; Maeda, T.; Nagamune, H. Synthesis and antimicrobial activities of a series of new bis-quaternary ammonium compounds. Eur. J. Med. Chem. 2006, 41, 437–444. [Google Scholar] [CrossRef]
- Okazaki, K.; Maeda, T.; Nagamune, H.; Manabe, Y.; Kourai, H. Synthesis and antimicrobial characteristics of 4,4'-(α,ω-polymethylenedithio)bis-(1-alkylpyridinium iodide)s. Chem. Pharm. Bull. 1997, 45, 1970–1974. [Google Scholar] [CrossRef]
- Maeda, T.; Okazaki, K.; Nagamune, H.; Manabe, Y.; Kourai, H. Bactericidal action of 4,4'-(α,ω-polymethylenedithio)bis-(1-alkylpyridinium iodide)s. Biol. Pharm. Bull. 1998, 21, 1057–1061. [Google Scholar] [CrossRef] [Green Version]
- Maeda, T.; Manabe, Y.; Yamamoto, M.; Yoshida, M.; Okazaki, K.; Nagamune, H.; Hiroki, K. Synthesis and antimicrobial characteristics of novel biocides. 4,4'-(1,6-Hexamethylene dioxydicarbonyl)bis(1-alkylpyridinium iodide)s. Chem. Pharm. Bull. 1999, 47, 1020–1023. [Google Scholar] [CrossRef]
- Yoshida, M.; Maeda, T.; Okazaki, K.; Nagamune, H.; Kunikata, K.; Tsuchiya, H.; Tetsuto, N.; Hiroki, K. Synthesis and antimicrobial characteristics of N,N'-Hexamethylenebis(4-carbamoyl-1-decylpyridinium bromide). Biocontrol Sci. 2000, 5, 65–71. [Google Scholar] [CrossRef] [Green Version]
- Yoshida, M.; Maeda, T.; Okazaki, K.; Nagamune, H.; Kunikata, K.; Tsuchiya, H.; Namba, T.; Kourai, H. Synthesis of 4,4'-(tetramethylenedicarbonyldiamino)-bis(1-decylpyridinium bromide) and its antimicrobial and deodorant characteristics. Biocontrol Sci. 2001, 6, 75–80. [Google Scholar] [CrossRef] [Green Version]
- Shirai, A.; Maeda, T.; Hara, I.; Yoshinari, A.; Nagamune, H.; Kourai, H. Antimicrobial characteristics of bis-quaternary ammonium compounds possessing a p-phenylene group in their spacer chains. Biocontrol Sci. 2003, 8, 151–157. [Google Scholar] [CrossRef] [Green Version]
- Pernak, J.; Rogoz, J.; Mirska, I. Synthesis and antimicrobial activities of new pyridinium and benzimidazolium chlorides. Eur. J. Med. Chem. 2001, 36, 313–320. [Google Scholar] [CrossRef]
- Viscardi, G.; Quagliotto, P.; Barolo, C.; Savarino, P.; Barni, E.; Fisicaro, E. Synthesis and surface and antimicrobial properties of novel cationic surfactants. J. Org. Chem. 2000, 65, 8197–8203. [Google Scholar] [CrossRef]
- Kourai, H.; Takechi, H.; Horie, T.; Uchiwa, N.; Takeichi, K.; Shibasaki, I. The antimicrobial characteristics of quaternary ammonium salts. Part X. Antimicrobial characteristics and a mode of action of N-alkylpyridinium iodides against Escherichia coli. J. Antibact. Antifung. Agents 1985, 13, 3–10. [Google Scholar]
- Kourai, H.; Takechi, H.; Horie, T.; Takeichi, K.; Shibasaki, I. The antimicrobial characteristics of quaternary ammonium salts. Part XI. Quantitative structure-activity relationship of antimicrobial N-laurylpyridinium iodides. J. Antibact., Antifung. Agents 1985, 13, 245–253. [Google Scholar]
- Kourai, H.; Machikawa, F.; Horie, T.; Takeichi, K.; Shibasaki, I. The antimicrobial characteristics of quaternary ammonium salts. Part IX. Quantitative structure-activity correlation on antimicrobial activity and hydrophobicity of N-alkylypyridinium iodide derivatives. J. Antibact. Antifung. Agents 1983, 11, 553–562. [Google Scholar]
- Kourai, H.; Manabe, Y.; Matsutani, E.; Hasegawa, Y.; Nakagawa, K. Antimicrobial activities of alkylallyldimethylammonium iodides and alkylallyldiethylammonium iodides. J. Antibact. Antifung. Agents. 1995, 23, 271–280. [Google Scholar]
- Kourai, H.; Machikawa, F.; Horie, T.; Takeichi, K.; Shibasaki, I. The antimicrobial characteristics of quaternary ammonium salts. Part VII. Quantitative relation between antimicrobial activity and adsorbability of N-octylquinolinium iodide on Escherichia Coli K12. J. Antibact. Antifung. Agents 1983, 11, 51–54. [Google Scholar]
- Maeda, T.; Goto, S.; Manabe, Y.; Okazaki, K.; Nagamune, H.; Kourai, H. Bactericidal action of N-alkylcyanopyridinium bromides against Escherichia Coli K12 W3110. Biocontrol Sci. 1996, 1, 41–49. [Google Scholar] [CrossRef]
- Okazaki, K.; Maeda, T.; Nagamune, H.; Kourai, H. Quantitative structure-activity relationship of antibacterial dodecylpyridinium iodide derivatives. Biocontrol Sci. 1996, 1, 51–59. [Google Scholar] [CrossRef]
- Shirai, A.; Maeda, T.; Nagamune, H.; Matsuki, H.; Kaneshina, S.; Kourai, H. Biological and physicochemical properties of gemini quaternary ammonium compounds in which the positions of a cross-linking sulfur in the spacer differ. Eur. J. Med. Chem. 2005, 40, 113–123. [Google Scholar] [CrossRef]
- Sridhara, S.K.; Pandeyab, S.N.; Stablesc, J.P.; Ramesha, A. Anticonvulsant activity of hydrazones, Schiff and Mannich bases of isatin derivatives. Eur. J. Pharm. Sci. 2002, 16, 129–132. [Google Scholar] [CrossRef]
- Pandeya, S.N.; Sriram, D.; Nath, G.; De Clercq, E. Synthesis and antimicrobial activity of Schiff and Mannich bases of isatin and its derivatives with pyrimidine. Farmaco 1999, 54, 624–628. [Google Scholar] [CrossRef]
- Vicini, P.; Zani, F.; Cozzini, P.; Doytchinova, I. Hydrazones of 1,2-benzisothiazole hydrazides: synthesis, antimicrobial activity and QSAR investigations. Eur. J. Med. Chem. 2002, 37, 553–564. [Google Scholar] [CrossRef]
- Gössnitzera, E.; Feierlb, G.; Wagnerb, U. Synthesis, structure investigations, and antimicrobial activity of selected s-trans-6-aryl-4-isopropyl-2-h2-[(E)-1-phenylalkylidene]-(E)-hydrazino 1,4-dihydropyrimidine hydrochlorides. Eur. J. Pharm. Sci. 2002, 15, 49–61. [Google Scholar] [CrossRef]
- Küçükgüzel, Ş.G.; Mazi, A.; Şahin, F.; Öztürk, S.; Stables, J.P. Synthesis and biological activities of diflunisal hydrazide-hydrazones. Eur. J. Med. Chem. 2003, 38, 1005–1009. [Google Scholar] [CrossRef]
- Loncle, C.; Brunel, J.; Vidal, N.; Dherbomez, M.; Letourneux, Y. Synthesis and antifungal activity of cholesterol-hydrazone derivatives. Eur. J. Med. Chem. 2004, 39, 1067–1071. [Google Scholar] [CrossRef]
- Masunari, A.; Tavares, L.C. A new class of nifuroxazide analogues: Synthesis of 5-nitrophene derivatives with antimicrobial activity against multidrug-resistant Staphylococcus aureus. Bioorg. Med. Chem. 2007, 15, 4229–4236. [Google Scholar] [CrossRef]
- Savini, L.; Chiasserini, L.; Gaeta, A.; Pellerano, C. Synthesis and anti-tubercular evaluation of quinolylhydrazones. Bioorg. Med. Chem. 2002, 10, 2193–2198. [Google Scholar] [CrossRef]
- Kaymakçıoğlu, B.K.; Rollas, S. Synthesis, characterization and evaluation of antituberculosis activity of some hydrazones. Il Farmaco. 2002, 57, 595–599. [Google Scholar] [CrossRef]
- Gemma, S.; Savini, L.; Altarelli, M.; Tripaldi, P.; Chiasserini, L.; Coccone, S.S.; Kumar, V.; Camodeca, C.; Campiani, G.; Novellino, E.; Clarizio, S.; Delogu, G.; Butini, S. Development of antitubercular compounds based on a 4-quinolylhydrazone scaffold. Further structure–activity relationship studies. Bioorg. Med. Chem. 2009, 17, 6063–6072. [Google Scholar] [CrossRef]
- Pandey, J.; Pal, R.; Dwivedi, A.; Hajela, K. Synthesis of some new diaryl and triaryl hydrazone derivatives as possible estrogen receptor modulators. Arzneimittelforschung 2002, 52, 39–44. [Google Scholar]
- Savini, L.; Chiasserini, L.; Travagli, V.; Pellerano, C.; Novellino, E.; Cosentino, S.; Pisano, M.B. New α-heterocyclichydrazones: evaluation of anticancer, anti-HIV and antimicrobial activity. Eur. J. Med. Chem. 2004, 39, 113–122. [Google Scholar] [CrossRef]
- Cocco, M.T.; Congiu, C.; Lilliu, V.; Onnis, V. Synthesis and in vitro antitumoral activity of new hydrazinopyrimidine-5-carbonitrile derivatives. Bioorg. Med. Chem. 2005, 14, 366–372. [Google Scholar]
- Salgın-Gökşen, U.; Gökhan-Kelekçi, N.; Göktaş, Ö.; Köysal, Y.; Kılıç, E.; Işık, Ş.; Aktay, G.; Özalp, M. 1-Acylthiosemicarbazides, 1,2,4-triazole-5(4H)-thiones, 1,3,4-thiadiazoles andhydrazones containing 5-methyl-2-benzoxazolinones: Synthesis, analgesic-anti-inflammatory and antimicrobial activities. Bioorg. Med. Chem. 2007, 15, 5738–5751. [Google Scholar] [CrossRef]
- Silva, G.A.; Costa, L.M.M.; Brito, F.C.F.; Miranda, A.L.P.; Barreiro, E.J.; Fraga, C.A.M. New class of potent antinociceptive and antiplatelet 10H-phenothiazine-1-acylhydrazone derivatives. Bioorg. Med. Chem. 2004, 12, 3149–3158. [Google Scholar] [CrossRef]
- Vicini, P.; Incerti, M.; La Colla, P.; Loddo, R. Anti-HIV evaluation of benzo[d]isothiazole hydrazones. Eur. J. Med. Chem. 2009, 44, 1801–1807. [Google Scholar] [CrossRef]
- Alptüzün, V.; Taşlı, H.; Erciyas, E. Synthesis and antimicrobial activities of some pyridinium salts. J. Fac. Pharm, Ankara. 2006, 35, 177–188. [Google Scholar]
- Douglas, A.W.; Fisher, M.H.; Fishinger, J.J.; Gund, P.; Harris, E.E.; Olson, G.; Patchett, A.A.; Ruyle, W.V. Anticoccidial 1-Substituted 4(1H)-Pyridinone Hydrazones. J. Med. Chem. 1977, 20, 939–943. [Google Scholar] [CrossRef]
- Hegarty, A.F.; Moroney, P.J.; Scott, F.L. A change from rate-determining bromination to geometric isomerisation of pyridylhydrazones. J. Chem. Soc. Perkin Trans. 2 1973, 1466–1471. [Google Scholar]
- Vereshchagina, N.N.; Postovskii, I. Trudy Ural’skogo Politekhnicheskogo Instituta im. S. M. Kirova. 1960, 94, 24–33. [Google Scholar]
- Hesse, M.; Meier, H.; Zeeh, B. Spectroscopic Methods in Organic Chemistry; Enders, D., Noyori, R., Trost, B.M., Eds.; Georg Thieme Verlag Stuttgart: New York, NY, USA, 1997; p. 212. [Google Scholar]
- Clinical and Laboratory Standards Institute (CLSI). Performance standards for antimicrobial susceptibility testing; eighteen informational supplement M100–S18. CLSI, Wayne, PA, USA, 2008.
- The National Commmittee for Clinical Laboratory Standards (NCCLS). Reference method for broth dilution antifungal susceptibility testing of yeasts; approved standard-second edition, M27-A2. NCCLS, 2002, Wayne, PA, USA.
- Mann, F.G.; Prior, A.F.; Willcox, T.J. The structure and properties of certain polycyclic indolo- and quinolino-derivatives. Part XIII. The cyclisation of certain 4-pyridyl- and 4-quinolyl- hydraxones. J. Chem. Soc. 1959, 3830–3834. [Google Scholar]
- Comrie, A.M.; Stenlake, J.B. Antituberculosis agens. Part III. Pyridine-4-sulphonamides and –sulphonhydrazides. J. Chem. Soc. 1958, 3514–3518. [Google Scholar]
© 2009 by the authors; licensee Molecular Diversity Preservation International, Basel, Switzerland. This article is an open access article distributed under the terms and conditions of the Creative Commons Attribution license ( http://creativecommons.org/licenses/by/3.0/).
Share and Cite
Alptüzün, V.; Parlar, S.; Taşlı, H.; Erciyas, E. Synthesis and Antimicrobial Activity of Some Pyridinium Salts. Molecules 2009, 14, 5203-5215. https://doi.org/10.3390/molecules14125203
Alptüzün V, Parlar S, Taşlı H, Erciyas E. Synthesis and Antimicrobial Activity of Some Pyridinium Salts. Molecules. 2009; 14(12):5203-5215. https://doi.org/10.3390/molecules14125203
Chicago/Turabian StyleAlptüzün, Vildan, Sülünay Parlar, Hüseyin Taşlı, and Ercin Erciyas. 2009. "Synthesis and Antimicrobial Activity of Some Pyridinium Salts" Molecules 14, no. 12: 5203-5215. https://doi.org/10.3390/molecules14125203
APA StyleAlptüzün, V., Parlar, S., Taşlı, H., & Erciyas, E. (2009). Synthesis and Antimicrobial Activity of Some Pyridinium Salts. Molecules, 14(12), 5203-5215. https://doi.org/10.3390/molecules14125203
