New Cucurbitane Triterpenoids and Steroidal Glycoside from Momordica charantia
Abstract
:1. Introduction
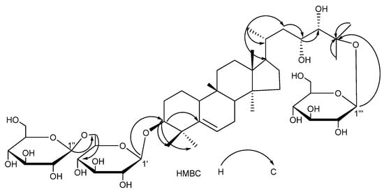
2. Results and Discussion
3. Experimental
3.1. General
3.2. Plant Material
3.3. Extraction and Isolation
3.4. Acid Hydrolysis of Compounds 1–4
3.5. Spectral Data
4. Conclusion
Acknowledgements
References and Notes
- Basch, E.; Gabardi, S.; Ulbricht, C. Bitter melon (Momordica charantia): a review of efficacy and safety. Am. J. Health-Syst. Pharm. 2003, 60, 356–359. [Google Scholar] [PubMed]
- Tan, M.J.; Ye, J.M.; Turner, N.; Cordula, H.B.; Ke, C.Q.; Tang, C.P.; Chen, T.; Weiss, H.C.; Gesing, E.R.; Rowland, A.; James, D.E.; Ye, Y. Antidiabetic activities of triterpenoids isolated from bitter melon associated with activation of the AMPK pathway. Chem. Biol. 2008, 15, 263–273. [Google Scholar] [CrossRef] [PubMed]
- Chen, J.C.; Tian, R.R.; Qiu, M.H.; Lu, L.; Zheng, Y.T.; Zhang, Z.Q. Trinorcucurbitane and cucurbitane triterpenoids from the roots of Momordica charantia. Phytochemistry 2008, 69, 1043–1048. [Google Scholar] [CrossRef] [PubMed]
- Akihisa, T.; Higo, N.; Tokuda, H.; Ukiya, M.; Akazawa, H.; Tochigi, Y.; Kimura, Y.; Suzuki, T.; Nishino, H. Cucurbitane-type triterpenoids from the fruits of Momordica charantia and their cancer chemopreventive effects. J. Nat. Prod. 2007, 70, 1233–1239. [Google Scholar] [CrossRef] [PubMed]
- Nakamuran, S.; Murakami, S.; Nakamura, J. Structures of new cucurbitane-type triterpenes and glycosides, karavilagenins and karavilosides, from the dried fruit of Momordica charantia L. in Sri Lanka. Chem. Pharm. Bull. 2006, 54, 1545–1550. [Google Scholar] [CrossRef]
- Yoshikawa, M.; Yamaguchi, S.; Kunimi, K.; Matsuda, K.; Okuno, Y.; Yamahara, J.; Murakami, N. Stomachic principles in ginger. III. An anti-ulcer principle, 6-gingesulfonic acid, and three monoacyldigalactosylglycerols, gingerglycolipids A, B, and C, from Zingiberis Rhizoma originating in Taiwan. Chem. Pharm. Bull. 1994, 42, 1226–1230. [Google Scholar] [CrossRef] [PubMed]
- Chen, J.C.; Lu, L.; Zhang, X.M.; Zhou, L.; Li, Z.R.; Qiu, M.H. Eight new cucurbitane glycosides, kuguaglycosides A-H, from the root of Momordica charantia L. Helv. Chim. Acta. 2008, 91, 920–929. [Google Scholar] [CrossRef]
- Okabe, H.; Miyahara, Y.; Yamauchi, T. Structures of momordicine I, II and III. The bitter principles in the leaves and vines of Momordica charantia L. Chem. Pharm. Bull. 1982, 30, 4334–4340. [Google Scholar] [CrossRef]
- Li, Q.Y.; Chen, H.B.; Liu, Z.M.; Wang, B.; Zhao, Y.Y. Cucurbitane triterpenoids from Momordica charantia. Magn. Reson. Chem. 2007, 45, 451–456. [Google Scholar] [CrossRef] [PubMed]
- Okabe, H.; Miyahara, Y.; Yamauchi, T.; Mirahara, K.; Kawasaki, T. Studies on the constituents of Momordica charantia L. I. Isolation and characterization of momordicosides A ang B, glycosides of a pentahydroxy-cucurbitane triterpene. Chem. Pharm. Bull. 1980, 28, 2753–2762. [Google Scholar] [CrossRef]
- Yumi, Y.; Hikaru, O.; Tatsuo, Y. Studies on the constituents of Momordica charantia L. II. Isolation and characterization of minor seed glycosides, momordicosides C, D and E. Chem. Pharm. Bull. 1981, 29, 1561–1566. [Google Scholar]
- Toshiyuki, M.; Akihito, E.; Hisashi, M.; Yoshikawa, M. Structures of new cucurbitane-type triterpene glycosides, goyaglycosides-a,-b,-c,-d,-e,-f,-g,and -h, and new oleanane-type triterpene saponins, goyasaponins I, II, III, from the fresh fruit of Japanese Momordica charantia L. Chem. Pharm. Bull. 2001, 49, 54–63. [Google Scholar]
- Zhang, L.H.; Fan, C.L.; Zhang, X.T.; Yan, Z.Q.; Ye, W.C. A new steroidal glycoside from lygodium japonicum. J. China Pharm. Univ. 2006, 37, 491–493. [Google Scholar]
Sample Availability: Samples of the compounds are available from the authors. |





| Atom No. | 1 | 2 | 3 | |||
| σC | σH | σC | σH | σC | σH | |
| 1 | 19.6 | 1.30~1.33 (1H, m) | 22.8 | 1.97~2.00,1.52~1.55 (2H, 2m) | 22.8 | 1.80~1.84,1.60~1.58 (2H, 2m) |
| 2 | 27.4 | 2.20~2.24, 1.72~1.76 (2H, 2m) | 28.8 | 2.45~2.49 (2H, m) | 29.1 | 2.58 (1H, dd, J = 10.9, 3.8) |
| 3 | 83.7 | 3.73, 1H, br s | 87.9 | 3.63, 1H, br s | 87.6 | 3.68, 1H, br s |
| 4 | 39.2 | 41.9 | 41.8 | |||
| 5 | 85.4 | 146.5 | 143.3 | |||
| 6 | 133.2 | 6.15 (1H, d, J = 9.6) | 122.5 | 6.08 (1H,d, J = 4.9 ) | 118.8 | 5.46 (1H, d, J = 5.4) |
| 7 | 131.6 | 5.63 (1H, dd, J = 9.6, 3.5) | 67.4 | 4.23~4.27 (1H, m) | 24.5 | 1.65~1.68,1.70~1.74 ( 2H, 2m) |
| 8 | 42.3 | 3.10~3.15 (1H, m) | 53.8 | 2.27, 1H, s | 43.8 | 1.61, 1H (overlap) |
| 9 | 48.1 | 34.6 | 34.7 | |||
| 10 | 41.6 | 2.43 (1H, dd, J = 12.3, 5.5) | 40.9 | 2.10~2.12 (1H, m) | 38.6 | 2.23 (1H, overlap) |
| 11 | 23.3 | 1.60~1.65, 1.71~1.76 (2H, 2m) | 33.1 | 1.45~1.50,1.40~1.43 (2H, 2m) | 32.5 | 1.29~1.32,1.50~1.55 (2H, 2m) |
| 12 | 30.9 | 1.47~1.51, 1.59~1.63 (2H, 2m) | 30.7 | 1.52~1.57,1.41~1.46 (2H, 2m) | 30.9 | 1.40~1.45,1.50~1.55 (2H, 2m) |
| 13 | 45.3 | 46.5 | 46.6 | |||
| 14 | 48.3 | 48.4 | 49.6 | |||
| 15 | 33.9 | 1.20~1.29 (2H, m) | 35.2 | 1.32~1.36 (2H, m) | 35.0 | 1.14 (1H, overlap) |
| 16 | 28.2 | 1.85~1.93, 1.25~1.29 (2H, 2m) | 27.9 | 1.85~1.88 (2H, m) | 28.5 | 1.90~1.96,1.40~1.45 (2H, 2m) |
| 17 | 50.4 | 1.46~1.52 (1H, m) | 46.5 | 1.80~1.84 (1H, m) | 51.9 | 1.60 (1H, overlap) |
| 18 | 14.7 | 0.91, 3H, s | 15.1 | 0.86, 3H, s | 15.7 | 0.84, 3H, s |
| 19 | 111.3 | 4.95, 1H, s | 30.0 | 1.35, 3H, s | 28.3 | 0.85, 3H, s |
| 20 | 36.7 | 1.49~1.53 (1H, m) | 39.3 | 2.32~2.36 (2H, m) | 32.7 | 2.19~2.23 (1H, m) |
| 21 | 18.9 | 0.97 (3H, d, J = 5.1) | 14.9 | 1.14 (1H, d, J = 6.6) | 19.2 | 1.15 (1H, d, J = 6.2) |
| 22 | 39.6 | 2.19~2.24, 1.79~1.85 (2H, 2m) | 76.8 | 3.98~4.04 (1H, m) | 42.9 | 1.10~1.14,2.00~2.03 (2H, 2m) |
| 23 | 124.5 | 7.21 (1H, br s) | 81.3 | 4.60~4.64 (1H, m) | 69.7 | 4.29~4.35 (1H, m) |
| 24 | 141.8 | 5.94 (1H, d, J = 8.7) | 124.7 | 5.51 (1H, d, J = 9.2) | 78.6 | 4.26 (1H,overlap) |
| 25 | 69.7 | 135.4 | 81.5 | |||
| 26 | 30.9 | 1.55. 3H, s | 26.3 | 1.60, 3H, s | 23.5 | 1.89, 3H, s |
| 27 | 30.8 | 1.55. 3H, s | 18.7 | 1.80, 3H, s | 24.6 | 1.78, 3H, s |
| 28 | 21.3 | 1.48, 3H, s | 28.8 | 1.07, 3H, s | 28.3 | 1.04, 3H, s |
| 29 | 24.9 | 0.85, 3H, s | 26.0 | 1.54, 3H, s | 26.0 | 1.49, 3H, s |
| 30 | 20.0 | 0.86, 3H, s | 18.1 | 0.74, 3H, s | 18.0 | 0.78, 3H, s |
| 1 | 2 | 3 | ||||||
| Atom No. | σC | σH | Atom No. | σC | σH | Atom No. | σC | σH |
| Glc-1′ | 105.3 | 4.96 (1H, d, J = 7.7) | All-1′ | 104.9 | 5.32 (1H, d, J = 7.8) | Glc-1′ | 107.1 | 4.81 (1H, d, J = 7.7) |
| 2′ | 76.3 | 4.06 (1H, t, J = 8.3) | 2′ | 72.3 | 3.90 (1H, dd, J = 7.6, 2.7) | 2′ | 75.5 | 3.83, 1H |
| 3′ | 78.0 | 4.20~4.26 (1H, m) | 3′ | 73.5 | 4.60~4.67 (1H, m) | 3′ | 78.5 | 3.85, 1H |
| 4′ | 71.9 | 4.17~4.21 (1H, m) | 4′ | 69.3 | 4.12~4.17 (1H, m) | 4′ | 71.8 | 4.03, 1H |
| 5′ | 78.8 | 3.97~4.00 (1H, m) | 5′ | 76.1 | 4.40~4.44 (1H, m) | 5′ | 77.5 | 4.02, 1H |
| 6′ | 63.0 | 4.55~4.60, 4.37~4.41 (2H, 2m) | 6′ | 63.3 | 4.46~4.51, 4.32~4.37 (2H, 2m) | 6′ | 70.3 | 4.27~4.31,4.79~4.85 (2H, 2m) |
| n-butyl-1′′ | 70.0 | 3.90~3.95,3.38~3.41 (2H, 2m) | All-1′′ | 103.7 | 5.61 (1H, d, J = 7.9) | Glc-1′′ | 105.4 | 5.21 (1H, d, J = 7.7) |
| 2′′ | 32.2 | 1.40~1.42 (2H, m) | 2′′ | 73.2 | 4.00~4.04 (1H, m) | 2′′ | 75.4 | 3.92~3.97 (1H, m) |
| 3′′ | 18.8 | 1.85~1.88, 1.40~1.42, (2H, 2m) | 3′′ | 73.1 | 4.69~4.72 (1H, m) | 3′′ | 78.6 | 3.86~3.90 (1H, m) |
| 4′′ | 14.0 | 0.80 (3H, t, J = 7.2) | 4′′ | 69.0 | 4.20~4.23 (1H, m) | 4′′ | 71.8 | 4.12~4.17 (1H, m) |
| 5′′ | 75.7 | 4.42~4.45 (1H, m) | 5′′ | 79.1 | 4.15~4.19 (1H, m) | |||
| 6′′ | 63.0 | 4.44~4.48, 4.30~4.32 (2H, 2m) | 6′′ | 62.8 | 4.29~4.31,4.47~4.51 (2H, 2m) | |||
| Glc-1′′′ | 97.9 | 5.30 (1H, d, J = 7.8) | ||||||
| 2′′′ | 75.3 | 3.97~4.00 (1H, m) | ||||||
| 3′′′ | 78.7 | 3.73~3.79(1H, m) | ||||||
| 4′′′ | 71.7 | 3.86~3.91(1H, m) | ||||||
| 5′′′ | 79.1 | 4.00~4.10 (1H, m) | ||||||
| | | | | | | 6′′′ | 62.8 | 4.30~4.35,4.50~4.55 (2H, 2m) |
| Atom No. | σC | σH | Atom No. | σC | σH |
| 1 | 33.1 | 2.01~2.09,1.40~1.47(2H, 2m) | 19 | 17.0 | 1.52, 3H, s |
| 2 | 29.9 | 2.18~2.24,1.95~1.99(2H, 2m) | 20 | 35.9 | 1.38~1.44 (1H, m) |
| 3 | 75.0 | 4.90~4.98 (1H, m) | 21 | 18.9 | 0.96 (3H, d, J = 6.4) |
| 4 | 38.7 | 2.76~2.83,2.44~2.49(2H, 2m) | 22 | 34.0 | 1.29~1.34,0.96~1.00 (2H, 2m) |
| 5 | 75.5 | 23 | 26.8 | 1.29~1.34 (2H, m) | |
| 6 | 76.3 | 4.10~4.15 (1H, m) | 24 | 49.8 | 1.81~1.88 (1H, m) |
| 7 | 35.7 | 2.17~2.22,1.89~1.93(2H, 2m) | 25 | 147.7 | |
| 8 | 31.2 | 2.11~2.16 (1H, m) | 26 | 112.0 | 4.85 (1H, s), 4.78 (1H, d, J = 2.1) |
| 9 | 45.8 | 1.86~1.91 (1H, m) | 27 | 17.8 | 1.59, 3H, s |
| 10 | 39.2 | 28 | 29.8 | 1.31~1.38, 1.19~1.25 (2H, 2m) | |
| 11 | 21.7 | 1.43~1.50,1.40~1.46(2H, 2m) | 29 | 12.4 | 0.83 (3H, t, J = 7.4) |
| 12 | 40.6 | 2.00~2.03,1.15~1.19(2H, 2m) | Glu-1′ | 102.3 | 4.95 (1H, d, J = 7.7) |
| 13 | 43.1 | 2′ | 75.3 | 4.04 (1H, t, J = 8.3) | |
| 14 | 56.6 | 1.17~1.18 (1H, m) | 3′ | 78.6 | 3.70~3.74 (1H, m) |
| 15 | 24.7 | 1.59~1.63,1.05~1.10(2H, 2m) | 4′ | 71.5 | 4.21~4.25 (1H, m) |
| 16 | 28.6 | 1.72~1.79,1.19~1.22(2H, 2m) | 5′ | 78.3 | 4.10~4.17 (1H, m) |
| 17 | 56.5 | 1.02~1.07 (1H, m) | 6′ | 62.7 | 4.40~4.47,4.31~4.36 (2H, 2m) |
| 18 | 12.3 | 0.72, 3H, s |
© 2009 by the authors; licensee Molecular Diversity Preservation International, Basel, Switzerland. This article is an open-access article distributed under the terms and conditions of the Creative Commons Attribution license (http://creativecommons.org/licenses/by/3.0/).
Share and Cite
Liu, J.-Q.; Chen, J.-C.; Wang, C.-F.; Qiu, M.-H. New Cucurbitane Triterpenoids and Steroidal Glycoside from Momordica charantia. Molecules 2009, 14, 4804-4813. https://doi.org/10.3390/molecules14124804
Liu J-Q, Chen J-C, Wang C-F, Qiu M-H. New Cucurbitane Triterpenoids and Steroidal Glycoside from Momordica charantia. Molecules. 2009; 14(12):4804-4813. https://doi.org/10.3390/molecules14124804
Chicago/Turabian StyleLiu, Jie-Qing, Jian-Chao Chen, Cui-Fang Wang, and Ming-Hua Qiu. 2009. "New Cucurbitane Triterpenoids and Steroidal Glycoside from Momordica charantia" Molecules 14, no. 12: 4804-4813. https://doi.org/10.3390/molecules14124804
APA StyleLiu, J.-Q., Chen, J.-C., Wang, C.-F., & Qiu, M.-H. (2009). New Cucurbitane Triterpenoids and Steroidal Glycoside from Momordica charantia. Molecules, 14(12), 4804-4813. https://doi.org/10.3390/molecules14124804
