Next Article in Journal
Total Synthesis and the Biological Activities of (±)-Norannuradhapurine
Previous Article in Journal
Enaminones as Building Blocks in Heterocyclic Syntheses: Reinvestigating the Product Structures of Enaminones with Malononitrile. A Novel Route to 6-Substituted-3-Oxo-2,3-Dihydropyridazine-4-Carboxylic Acids
 
 
Font Type:
Arial Georgia Verdana
Font Size:
Aa Aa Aa
Line Spacing:
Column Width:
Background:
Article

Synthesis of 5-Substituted 3-Amino-1H-Pyrazole-4-Carbonitriles as Precursors for Microwave Assisted Regiospecific Syntheses of Pyrazolo[1,5-a]Pyrimidines

by
Fawzia Al-Qalaf
1,
Faisal Mandani
2,
Mervat Mohammed Abdelkhalik
1,* and
Abeer Abdulrahman Bassam
1
1
Applied Science Department, College of Technological Studies, Public Authority for Applied Education and Training, P. O. Box 42325 Safat, 70654 Kuwait
2
Chemical Engineering Technology Department, College of Technological Studies, Public Authority for Applied Education and Training, P. O. Box 42325 Safat, 70654 Kuwait
*
Author to whom correspondence should be addressed.
Molecules 2009, 14(1), 78-88; https://doi.org/10.3390/molecules14010078
Submission received: 23 November 2008 / Revised: 15 December 2008 / Accepted: 17 December 2008 / Published: 29 December 2008

Abstract

:
A simple route to 3-oxoalkanonitrile 5, a precursor of the title compounds is described. Reaction of enaminones 2 with hydroxylamine hydrochloride in ethanol yielded aldoximes 3 that were converted readily into 5 in basic medium. This method has been successfully applied with a number of substrates and resulted in excellent yields of the products. Reacting 5 with trichloroacetonitrile afforded 3-amino-2-aroyl-4,4,4-trichloro-2-butenenitriles 6 that condensed with hydrazines to yield 3-amino-1H-pyrazole-4-carbonitrile derivatives 8. Substituted pyrazolo[1,5-a]pyridmidines have been prepared with regioselective condensation reactions of 8 with nonsymmetrical dielectrophiles. The structures of compounds obtained were deduced based on 1H-NMR, 1H-15N HMBC- measurements.

Graphical Abstract

Introduction

Interest in pyrazolo[1,5-a]pyrimidine-3-carbonitrile derivatives has been reviewed [1,2,3]. Among them are zaleplon (1, Figure 1) analogues, that have been classified as sedative/hypnotic drugs, and as such, are expected to possess considerable biological activity [4,5,6]. With the aim of obtaining compounds possessing the above properties, we examined the condensation of 5-substituted 3-amino-1H-4-pyrazolecarbonitriles 8 with bidentate electrophiles and investigated if such compounds would facilitate regioselective syntheses of substituted 7-aryl-pyrazolo[1,5-a]pyrimidine-3-carbonitriles that are structurally related to compound 1. Compound 8a is readily available from the reaction of 3-oxo-3-phenylpropanenitrile 5a with trichloroacetonitrile followed by condensation with hydrazine hydrate [7]. This methodology was extended and adapted to the synthesis of several 5-substituted aryl and heteroaryl-pyrazolecarbonitriles using oxoalkanonitriles as precursors. We initially investigated developing a novel route to 3-oxoalkanonitrile derivatives 5.
Figure 1. Zaleplon.
Figure 1. Zaleplon.
Molecules 14 00078 g001

Results and Discussion

Recently we reported that the reaction of enaminones 2 with hydroxylamine hydrochloride gave the aldoximes 3 in good yields. These were converted to oxoalkanonitriles 5 via treatment with diethyl oxalate in the presence of sodium hydride [8]. We now describe a second more efficient process for the preparation of 5 by addition of a solution of hydroxylamine hydrochloride to enaminones 2a-c in alcoholic KOH. Such a transformation apparently results via initial formation of an isoxazole 4 that then undergoes base catalyzed ring opening furnishing 5a-c (cf. Scheme 1).
Scheme 1. Synthesis of 3-oxo-3-arylpropanenitriles 5a-c from enaminones 2a-c.
Scheme 1. Synthesis of 3-oxo-3-arylpropanenitriles 5a-c from enaminones 2a-c.
Molecules 14 00078 g002
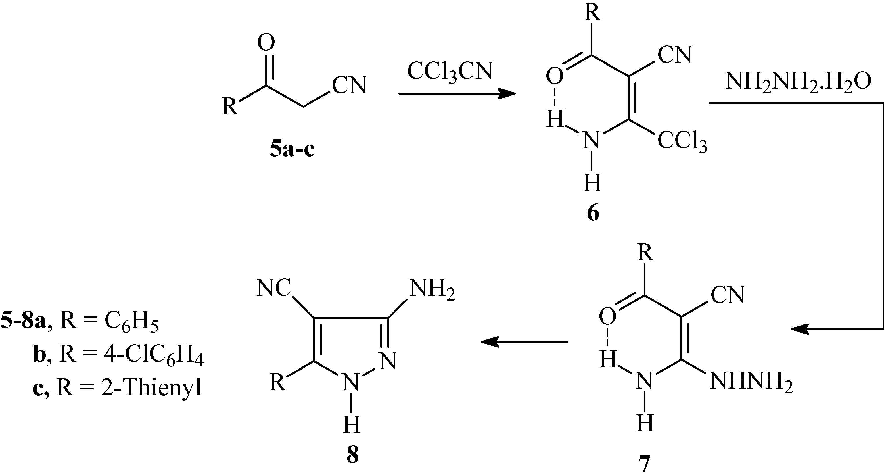
The oxoalkanonitrile derivatives 5a-c so obtained were reacted with trichloroacetonitrile to yield adducts 6a-c. Condensation of these adducts with hydrazine hydrate afforded 7a-c, that cyclized under reflux in dioxane yielding 8a-c in good yields (cf. Scheme 2). The doublet splitting of amino group signals observed in the 1H-NMR spectra of adducts 6a-c at ca. δH = 10 and 12 ppm indicates a non-equivalence of the amino protons, which is probably related to the involvement of one amino proton in an intramolecular H-bond with the carbonyl moiety. Similar features were observed in 7a-c at ca. δH = 9 and 10 ppm. There are alternative procedures described in the literature for the preparation of 8a,b by treating arylmethylenemalononitrile with hydrazine [9,10] or via transformation of isothiazoles and isoxazoles into pyrazoles 8a,b using hydrazines [11]. In the present article, the condensation reaction of 3-amino-1H-4-pyrazolecarbonitrile derivatives 8a-c with enaminone 2c and enaminonitrile 9, recently prepared in our laboratory [12], is examined.
Scheme 2. Synthesis of 3-amino-5-aryl-1H-4-pyrazolecarbonitrile 8a-c from 3-oxo-3-arylpropanenitrile 5a-c.
Scheme 2. Synthesis of 3-amino-5-aryl-1H-4-pyrazolecarbonitrile 8a-c from 3-oxo-3-arylpropanenitrile 5a-c.
Molecules 14 00078 g003
The site at which nucleophiles attack occurs on 1H-3-aminopyrazole derivatives has been a subject of considerable debate in the past [13,14]. Reactions of unsymmetrical 1,3-diketones with 3(5)-aminopyrazoles often lead to the formation of inseparable mixtures of two regioisomeric pyrazolo[1,5-a]pyrimidines due to comparable reactivity’s of the two electrophilic centers in the initial diketone. Recently, use of 1,3-dimethyluracil as the electrophile was reported to involve the attack on both endocyclic and exocyclic nitrogen affording either the pyrazolo[1,5-a]pyrimidin-5-one or 7-one isomers, depending on the reaction conditions [15], whereas the reaction of 1H-3-aminopyrazole with benzylidenemalononitrile [16] and with 1-arylbutane-1,3-diones [17] are established to involve exocyclic amino group. It is thought that there is an equilibrium between possible initial attack at the ring nitrogen and the exocyclic amino group. Structures of the products resulting from reactions of a,b-unsaturated compounds with aminoazoles should be determined in each case, as the outcome of the reactions would be dependent on several factors, including steric consideration, relative basicities and solubility of both isomers in reaction medium. Although it is generally accepted that 3(5)-aminopyrazoles reacts with enaminones to yield the 7-substituted isomers, we noticed that this pattern is not always followed, as the reaction product proved to be dependent on both reaction conditions as well as nature of reagents. In the present article we have found that reaction of 8a-c with enaminonitrile 2c in acetic acid at reflux temperature over a long period of time resulted in selective formation of pyrazolo[1,5-a]pyrimidines derivatives in good yields (cf. Scheme 3).
Scheme 3. Proposed mechanism for the formation of pyrazolo[1,5-a]pyrimidines 12a-c, 13a-c and 15a-c in acetic acid.
Scheme 3. Proposed mechanism for the formation of pyrazolo[1,5-a]pyrimidines 12a-c, 13a-c and 15a-c in acetic acid.
Molecules 14 00078 g004
The 1H-NMR spectra gave no reliable information on the structure of the products; on the other hand they indicate that only one of the possible isomeric structures, 12 or 14, are formed, rather than their mixture. The condensation products were assigned structures 12a-c on the basis of 1H-15N HMBC measurements. For example compound 12a, showed chemical shifts for N-7a at δ (15N) = 215 ppm, N-4 at δ (15N) = 268 ppm. and N-1 at δ (15N) = 285 ppm. Cross peak correlations for the coupling of the shielded proton H-6 at δ (1H) = 8.05 ppm is observed with N-7a at δ (15N) = 215 ppm 3J (H-6, N-7a), N-4 at δ (15N) = 268 ppm 3J (H-6, N-4) and with N-1 at δ (15N) = 285 ppm 4J (H-6, N-1). Coupling of the deshielded proton at δ (1H) = 8.83 ppm with N-7a at δ (15N) = 215 ppm 4J (H-5, N-7a) and with N-4 at δ (15N) = 268 ppm 2J (H-5, N-4) are also observed. Alternative structure 14 would show coupling of the deshielded H-7 proton to be with N-1 in the spectrum at δ (15N) = 285 ppm. The correlations in the 1H-15N HMBC measurements for compounds 12b,c showed similar coupling correlations as 12a. Reaction of 3-amino-5-aryl-1H-4-pyrazolecarbonitriles 8a-c with enaminonitrile 9 (X = CN) in acetic acid under the same reaction conditions afforded a mixture of (5)7-substituted pyrazolo[1,5-a]pyrimidine derivatives 13a-c and 15a-c, which could not be separated by chromatographical means. Both isomers showed the same molecular weights in LC-MS. Moreover, the 1H-NMR spectra of the reaction products of 8a-c with 9 showed two singlets for two deshielded protons at ca. δH = 9.0 and 9.3 ppm. Based on these data, it is concluded that the compounds obtained are isomeric mixtures of 13 and 15, whose ratio (approximately 1:3) was estimated by integration of the deshielded protons in the corresponding 1H-NMR spectra. Apparently, in AcOH where the aminopyrazoles are most likely protonated, both adducts 10 and 11 are formed, as outlined in Scheme 3. Competing cyclization leading to the 5-isomer would also be possible and mixtures are thus formed.
On the other hand, reaction of 3-amino-5-aryl-1H-4-pyrazolecarbonitriles 8a-c with enaminonitrile 9 (X = CN) by heating in a direct beam microwave oven and under solvent free conditions proceeded regiospecifically to yield the 5-substituted pyrazolo[1,5-a]pyrimidine-3-carbonitrile derivatives 15a-c in good yield. The addition reaction occurs in a manner different to the formation of the 7-substituted pyrazolo[1,5-a]pyrimidine derivatives, as outlined in Scheme 4. The structure 15 of the products obtained was assigned on the basis of 1H-15N HMBC measurements. The major discrepancy between the two isomers 13 and 15 was the cross peak correlation observed between the deshielded proton at δ (1H) = 9.06 ppm with N-1 at δ (15N) = 283 ppm, 3J (H-7, N-1). Alternate structure 13 in which the deshielded proton is on C-5, would not show this correlation and thus structure 13 could be ruled out. There is no doubt that adducts at both exocyclic and endocyclic nitrogen atoms occur, but in this case, the latter cyclize more readily into the 5-substituted pyrazolo[1,5-a]pyrimidines derivatives thus shifting the equilibrium. It should be noted that the isomers 12a-c were also obtained as sole products when the reactions of 8a-c with 2c was carried out by heating in a direct beam microwave oven and under solvent free conditions.
Scheme 4. Cyclocondensation reaction of 8a-c with 2c and 9 by heating in a direct beam microwave oven and solvent free conditions resulted in selective formation of pyrazolo[1,5-a]pyrimidines 12a-c and 15a-c.
Scheme 4. Cyclocondensation reaction of 8a-c with 2c and 9 by heating in a direct beam microwave oven and solvent free conditions resulted in selective formation of pyrazolo[1,5-a]pyrimidines 12a-c and 15a-c.
Molecules 14 00078 g005
The behavior of 8a-c with 9 under microwave irradiation may be attributed to the formation of hot spots that affect the reaction selectivity due to the increase in heating rate. This may lead to the formation of thermodynamically stable products in preference to the kinetic ones [18,19]. One can thus conclude that this solvent-free reactions proceeds in a regiospecific fashion by the relative reactivity of exocyclic nitrogen and ring nitrogen atoms.

Experimental

General

Melting points were determined on a Shimadzu-Gallenkamp apparatus and are uncorrected. Microwave mediated chemistry was conducted in heavy-walled Pyrex tubes fitted with PCS cap. and performed with a single mode cavity Explorer Microwave Synthesizer (CEM Corporation, NC, USA), producing continuous irradiation and equipped with simultaneous external air-cooling system. Elemental analyses were obtained on a LECO CHNS-932 Elemental Analyzer. 1H-NMR spectra were obtained in DMSO-d6 on a Bruker DPX 400 MHz superconducting spectrometer in DMSO-d6 with TMS as an internal standard. Two-dimensional NMR spectra were determined on Bruker Avance II 600 MHz superconducting spectrometer in DMSO-d6 and FT-IR measurements were recorded in KBr disks on a Perkin Elmer 2000 FT-IR system. Mass spectrometric analyses were recorded on a VG-Autospec-Q high performance tri-sector GC/MS/MS.

General procedure for the preparation of compounds 5a-c

A mixture of each enaminone 2a-c (10 mmol) and NH2OH.HCl (0.69 g, 10 mmol) in EtOH (30 mL), was added a solution of KOH (5.60 g, 10 mmol) in H2O (8 mL). The reaction mixture was heated under reflux and deemed completed when the yellow color of the solution changed to brown (in 30-60 min.). The reaction mixtures were then poured onto water and neutralized with HCl. The solid products so obtained were collected by filtration and crystallized from benzene.
3-Oxo-3-phenylpropanenitrile (5a): White crystals, yield (89 %, 1.30 g); mp 79-81 oC (Lit. [12,13] mp. 80-82); IR (cm-1): 2255 (CN) and 1689 (CO); MS m/z (M)+ = 145; 1H-NMR: d = 4.78 (s, 2H, CH2), 7.57 (t, 2H, J = 6.8 Hz, Ph-H), 7.72 (t, 1H, J = 7.4 Hz, Ph-H), 7.94 (d, 2H, J = 6.8 Hz, Ph-H); Anal. calcd. for C9H7NO: (145.16): C, 74.47; H, 4.86; N, 9.65. Found: C, 74.50; H, 4.75; N, 9.57.
3-(4-Chlorophenyl)-3-oxopropanenitrile (5b): Yellow crystals, yield (86 %, 1.54 g); mp 126-128 oC (Lit. [12,13] mp. 128 oC); IR (cm-1): 2255 (CN) and 1680 (CO); MS m/z (M)+ = 179; 1H-NMR: d = 4.75 (s, 2H, CH2), 7.60 (d, 2H, J = 8.1 Hz, arom-H), 7.75 (d, 2H, J = 8.3 Hz, arom-H); Anal. calcd. for C9H6Cl NO: (179.01): C, 60.19; H, 3.37; N, 7.80. Found: C, 59.87; H, 3.30; N, 7.67.
3-Oxo-3-(2-thienyl)propanenitrile 5c: Yellow crystals, yield (88 %, 1.32 g); mp 112-114 oC (Lit. [12,13] mp. 110-112 oC); IR (cm-1): 3243 (NH2), 2255 (CN) and 1666 (CO); MS m/z (M)+ = 151; 1H-NMR: d = 4.72 (s, 2H, CH2), 7.30 (t, 1H, J = 4.4 Hz, thienyl H-4), 7.99 (d, 1H, J = 4.8 Hz, thienyl H-3), 8.14 (d, 1H, J = 4.8 Hz, thienyl H-5); Anal. calcd. for C7H5NOS: (151.19): C, 55.61; H, 3.33; N, 9.26; S, 21.21. Found: C, 55.72; H, 3.31; N, 9.28; S, 21.00.

General procedure for the preparation of compounds 6a-c

To a stirred mixture of each of oxoalkanonitrile 5a-c (10 mmol) in EtOH (20 mL) and in the presence of anhydrous NaOAc (1 g), was added 3,3,3-trichloropropanenitrile (10 mmol, 1.57 g). The resulting mixture was stirred for six hrs at r.t., then evaporated under vacuum to half its volume. The reaction mixture was then poured onto water. The solid product obtained was collected by filtration and crystallized from ethanol.
(Z)-3-Amino-2-benzoyl-4,4,4-trichloro-2-butenenitrile (6a): Pale yellow crystals, yield (82 %, 2.36 g); mp 182-184 oC; IR (cm-1): 3267 and 3250 (NH2), 2210 (CN) and 1613 (CO); MS m/z (M+-1) = 288; 1H-NMR: d = 7.48 (t, 2H, J = 7.8 Hz, Ph-H), 7.57 (t, 1H, J = 7.9 Hz, Ph-H), 7.68 (d, 2H, J = 7.8 Hz, Ph-H), 9.96 (s, 1H, NH2), 11.94 (s, 1H, NH2); Anal. calcd. for C11H7Cl3N2O: (289.55): C, 45.63; H, 2.44; N, 9.67. Found: C, 45.90; H, 2.41; N, 9.56.
(Z)-3-Amino-4,4,4-trichloro-2-(4-chlorobenzoyl)-2-butenenitrile (6b): Yellow crystals, yield (76 %, 2.46 g); mp 221-222 oC; IR (cm-1): 3260 (NH2), 2214 (CN) and 1610 (CO); MS m/z (M+-1) = 322; 1H-NMR: d = 7.58 (d, 2H, J = 8.0 Hz, arom-H), 7.71 (d, 2H, J = 8.2 Hz, arom-H), 10.05 (s, 1H, NH2), 11.87 (s, 1H, NH2); Anal. calcd. for C11H6Cl4N2O: (323.99): C, 40.78; H, 1.87; N, 8.65. Found: C, 40.90; H, 2.02; N, 8.80.
(Z)-3-Amino-4,4,4-trichloro-2-(thiophene-2-carbonyl)-2-butenenitrile (6c): Brown crystals, yield (85 %, 2.50 g); mp 168-170 oC; IR (cm-1): 3243 (NH2), 2216 (CN) and 1624 (CO); MS m/z (M+-1) = 294; 1H-NMR: d = 7.25 (t, 1H, J = 4.0 Hz, thienyl H-4), 8.01 (d, 1H, J = 5.2 Hz, thienyl H-3), 8.17 (d, 1H, J = 4.0 Hz, thienyl H-5), 9.96 (s, 1H, NH2), 12.01 (s, 1H, NH2); Anal. calcd. for C9H5Cl3N2OS: (295.57): C, 36.57; H, 1.71; N, 9.48; S, 10.85. Found: C, 36.25; H, 1.96; N, 9.25; S, 10.50.

Reaction of 6a-c with hydrazine hydrate for the preparation of 7a-c

To each compound 6a-c (10 mmol), excess hydrazine hydrate (3 mL) was added and stirred for 3 min. (exothermic reaction). The reaction mixture is then allowed to cool to ambient temperature. During time a precipitate is formed that was filtered off and recrystallized from ethanol.
(E)-3-Amino-2-benzoyl-3-hydrazino-2-propenenitrile (7a): This compound was obtained as white crystals, yield (93 %, 1.90 g); mp 143-145 oC; IR (cm-1): 3444, 3345 and 3209 (NH and NH2), 2182 (CN) and 1656 (CO); MS m/z (M)+ = 202; 1H-NMR: d = 4.72 (s, 2H, NH2), 7.38-7.46 (m, 3H, arom. H), 7.48 (br s, 1H, NH), 7.58 (d, 2H, J = 7.8 Hz, arom-H), 8.51 (s, 1H, NH2), 9.69 (s, 1H, NH2); Anal. calcd. for C10H10N4O: (202.21): C, 59.40; H, 4.98; N, 27.71. Found: C, 59.36; H, 5.2; N, 27.95.
(E)-3-Amino-2-(4-chlorobenzoyl)- 3-hydrazino-2-propenenitrile (7b): Beige crystals, yield (89 %, 2.10 g); mp 238-240 oC; IR (cm-1): 3387, 3350 and 3305 (NH and NH2), 2185 (CN) and 1646 (CO); MS m/z (M)+ = 236; 1H-NMR: d = 4.73 (s, 2H, NH2), 7.48 (d, 2H, J = 8.0 Hz, arom-H), 7.53 (br s, 1H, NH), 7.59 (d, 2H, J = 8.0 Hz, arom-H), 8.54 (s, 1H, NH2), 9.97 (s, 1H, NH2); Anal. calcd. for C10H9ClN4O: (236.66): C, 50.75; H, 3.83; N, 23.67. Found: C, 50.81; H, 3.92; N, 23.38.
(Z)-3-Amino-3-hydrazino-2-(2-thienylcarbonyl)-2-propenenitrile (7c): Beige crystals, yield (94 %, 1.95 g); mp 175-177 oC; IR (cm-1): 3449, 3331 and 3217 (NH and NH2), 2189 (CN) and 1659 (CO); MS m/z (M)+ = 208; 1H-NMR: d = 4.72 (s, 2H, NH2), 7.14 (t, 1H, J = 4.0 Hz, thienyl H-4), 7.55 (br s, 1H, NH), 7.76 (d, 1H, J = 4.8 Hz, thienyl H-3), 7.90 (d, 1H, J = 4.2 Hz, thienyl H-2), 8.54 (s, 1H, NH2), 9.98 (s, 1H, NH2); Anal. calcd. for C8H8N4OS: (208.24): C, 46.14; H, 3.87; N, 26.90; S, 15.40. Found: C, 45.89; H, 4.09; N, 26.59; S, 15.25.

General procedure for the preparation of compounds 8a-c

Each compound 7a-c (10 mmol) was refluxed in dioxane (20 mL) for 30 min. then left to cool at r.t. The target compounds separated as crystals that were collected by filtration and crystallized from the appropriate solvent.
3-Amino-5-phenyl-1H-4-pyrazolecarbonitrile (8a): Buff crystals from dioxane, yield (93 %, 1.71 g) mp 200-202 oC; IR (cm-1): 3348, 3303 (NH2), 3193 (NH) and 2230 (CN); MS m/z (M)+ = 184; 1H- NMR: d = 6.50 (s, 2H, NH2), 7.41-7.46 (m, 3H, arom. H), 7.80 (d, 2H, J = 7.2 Hz, arom-H), 12.16 (br s, 1H, NH); Anal. calcd. for C10H8N4: (184.20): C, 65.21; H, 4.38; N, 30.42. Found: C, 65.03; H, 4.57; N, 30.12.
3-Amino-5-(4-chlorophenyl)-1H-4-pyrazolecarbonitrile (8b): Brownish crystals from dioxane, yield (95 %, 2.07 g); mp 218-220 oC; IR (cm-1): 3348, 3302 (NH2), 3137 (NH) and 2223 (CN); MS m/z (M)+ = 218; 1H-NMR: d = 6.40 (s, 2H, NH2), 7.53 (d, 2H, J = 8.4 Hz, arom-H), 7.80 (d, 2H, J = 8.4 Hz, arom-H), 12.06 (br s, 1H, NH); Anal. calcd. for C10H7ClN4: (218): C, 54.93; H, 3.23; N, 25.62. Found: C, 55.07; H, 3.46; N, 25.54.
3-Amino-5-(2-thienyl)-1H-4-pyrazolecarbonitrile (8c): Beige crystals from n-propanol, yield (93 %, 1.76 g); mp 238-240 oC; IR (cm-1): 3325, 3298 (NH2), 3177 (NH) and 2228 (CN); MS m/z (M)+ = 190;1H-NMR: δ = 6.38 (s, 2H, NH2), 7.14 (t, 1H, J = 4.4 Hz, thienyl H-4), 7.70 (d, 1H, J = 4.4 Hz, thienyl H-3), 7.93 (d, 1H, J = 4.2 Hz, thienyl H-2), 12.00 (br s, 1H, NH); Anal. calcd. for C8H6N4S: (190.23): C, 50.51; H, 3.18; N, 29.45; S, 16.86. Found: C, 50.63; H, 3.02; N, 29.57; S, 17.02.

Reaction of 8a-c with enaminone 2c and with enaminonitrile 9

Procedure A: a mixture of each of compound 8a-c (10 mmol) and each of 2c or 9 (10 mmol) was heated under reflux in AcOH (15 mL) for 4h, during which time a precipitate is formed. The reaction mixture was filtered off and recrystallized from acetone.
Procedure B: a mixture of each of compound 8a-c (10 mmol) and each of 2c or 9 (10 mmol) was dissolved in ethanol (2 mL) in a small beaker. The reaction mixture was dried in air and the beaker was put in a domestic microwave oven 290 W and irradiate for 15 min. The progress of the reaction was monitored every 3 min. The product was extracted with acetone (2 x 10 mL). The solvent was removed by distillation under reduced pressure to obtain the crude product that was further recrystallized from the appropriate solvent.
2-Phenyl-7-(2-thienyl)pyrazolo[1,5-a]pyrimidine-3-carbonitrile (12a): Yellow crystals from acetone, yield (89 %, 2.68 g); mp 237-239 oC; IR (cm-1): 2222 (CN); MS m/z (M)+ = 302; 1H-NMR: d = 7.45 (t, 1H, J = 4.2 Hz, thienyl H-4), 7.62-7.70 (m, 3H, arom. H), 8.06 (d, 1H, J = 4.8 Hz, H-6), 8.20 (d, 2H, J = 8.0 Hz, arom. H), 8.24 (d, 1H, J = 4.2 Hz, thienyl H-3), 8.63 (d, 1H, J = 4.2 Hz, thienyl H-5), 8.82 (d, 1H, J = 4.8 Hz, H-5); Anal. calcd. for C17H10N4S: (302.35): C, 67.53; H, 3.33; N, 18.53; S, 10.61. Found: C, 67.64; H, 3.47; N, 18.47; S, 10.43.
2-(4-Chlorophenyl)-7-(2-thienyl)pyrazolo[1,5-a]pyrimidine-3-carbonitrile (12b): Brownish red crystals from ethanol, yield (86 %, 2.88 g); mp 252-254 oC; IR (cm-1): 2220 (CN); MS m/z (M)+ = 336; 1H-NMR: d = 7.36 (t, 1H, J = 4.2 Hz, thienyl H-4), 7.66 (d, 2H, J = 6.6 Hz, arom. H), 7.99 (d, 1H, J = 4.8 Hz, H-6), 8.12 (d, 2H, J = 6.6 Hz, arom. H), 8.16 (d, 1H, J = 4.2 Hz, thienyl H-3), 8.54 (d, 1H, J = 4.2 Hz, thienyl H-5), 8.74 (d, 1H, J = 4.8 Hz, H-5); Anal. calcd. for C17H9ClN4S: (336.8): C, 60.62; H, 2.69; N, 16.64; S, 9.52. Found: C, 60.32; H, 3.07; N, 16.87; S, 9.64.
2,7-Di(2-thienyl)pyrazolo[1,5-a]pyrimidine-3-carbonitrile (12c): Beige crystals from acetone, yield (88 %, 2.71 g); mp 251-253 oC; IR (cm-1): 2222 (CN); MS m/z (M)+ = 308; 1H-NMR: d = 7.34 (t, 1H, J = 4.8 Hz, thienyl H-4), 7.45 (t, 1H, J = 4.8 Hz, thienyl H-4), 7.91 (d, 1H, J = 4.8 Hz, thienyl H-3), 7.96 (d, 1H, J = 4.8 Hz, thienyl H-3), 8.03 (d, 1H, J = 5.2 Hz, H-6), 8.25 (d, 1H, J = 4.8 Hz, thienyl H-5), 8.60 (d, 1H, J = 4.8 Hz, thienyl H-5), 8.79 (d, 1H, J = 5.2 Hz, H-5); Anal. calcd. for C15H8N4S2: (308.38): C, 58.42; H, 2.61; N, 18.17; S, 20.80. Found: C, 58.12; H, 2.67; N, 18.09; S, 20.63.
2-Phenyl-5-(2-thienyl)pyrazolo[1,5-a]pyrimidine-3,6-dicarbonitrile (15a): Grey crystals from acetone, yield (88 %, 2.87 g); mp 291-293 oC; IR (cm-1): 2226 (CN); MS m/z (M)+ = 327; 1H-NMR: d = 7.46 (t, 1H, J = 4.2 Hz, thienyl H-4), 7.56-7.60 (m, 3H, arom. H), 8.12 (d, 2H, J = 8.2 Hz, arom. H), 8.39 (d, 1H, J = 4.2 Hz, thienyl H-3), 8.67 (d, 1H, J = 4.2 Hz, thienyl H-5), 9.09 (s, 1H, H-7); Anal. calcd. for C17H10N4S: (327.36): C, 66.04; H, 2.77; N, 21.39; S, 9.79. Found: C, 66.25; H, 2.96; N, 21.17; S, 10.03.
2-(4-Chlorophenyl)-5-(2-thienyl)pyrazolo[1,5-a]pyrimidine-3,6-dicarbonitrile (15b): Brown crystals from acetone, yield (85 %, 3.06 g); mp 294-295 oC; IR (cm-1): 2230 (CN); MS m/z (M)+ = 361; 1H- NMR: d = 7.46 (t, 1H, J = 4.2 Hz, thienyl H-4), 7.67 (d, 2H, J = 8.2 Hz, arom. H), 8.08 (d, 2H, J = 8.2 Hz, arom. H), 8.39 (d, 1H, J = 4.2 Hz, thienyl H-3), 8.65 (d, 1H, J = 4.2 Hz, thienyl H-5), 9.08 (s, 1H, H-7); Anal. calcd. for C17H9ClN4S: (361.81): C, 59.75; H, 2.23; N, 19.36; S, 8.86. Found: C, 59.46; H, 2.49; N, 19.19; S, 8.82.
2,5-Di(2-thienyl)pyrazolo[1,5-a]pyrimidine-3,6-dicarbonitrile 15c: Brown crystals from acetone, yield (87 %, 2.89 g); mp 303-304 oC; IR (cm-1): 2227 (CN); MS m/z (M)+ = 333; 1H-NMR: d = 7.27 (t, 1H, J = 4.8 Hz, thienyl H-4), 7.45 (t, 1H, J = 4.8 Hz, thienyl H-4), 7.87 (d, 1H, J = 4.8 Hz, thienyl H-3), 7.92 (d, 1H, J = 4.8 Hz, thienyl H-3), 8.40 (d, 1H, J = 4.8 Hz, thienyl H-5), 8.63 (d, 1H, J = 4.8 Hz, thienyl H-5), 9.06 (s, 1H, H-7); Anal. calcd. for C15H8N4S2: (333.39): C, 57.64; H, 2.12; N, 21.01; S, 19.24. Found: C, 57.42; H, 2.43; N, 20.85; S, 19.57.

Acknowledgements

This research was done by the financial support of the Public Authority for Applied Education and Training (Transform grant TS-06-14) of Kuwait.

References and Notes

  1. Chen, C.; Wilcoxen, K. M.; Huang, C. Q.; McCarthy, J. R.; Chen, T.; Grigoriadis, D. E. Optimization of 3-phenylpyrazolo[1,5-a]pyrimidines as potent corticotrophin-releasing factor-1 antagonists with adequate lipophilicity and water solubility. Bioorg. Med. Chem. Lett. 2004, 14, 3669–3673. [Google Scholar] [CrossRef]
  2. Wang, S. Q.; Fang, L.; Liu, X. J.; Zhao, K. Design, synthesis, and hypnotic activity of pyrazolo[1,5-a]pyrimidine derivatives. Chin. Chem. Lett. 2004, 15, 885–888. [Google Scholar]
  3. Emelina, E. E.; Petrov, A. A.; Firsov, A. V. Aminoazoles in heterocycles synthesis: II. Trifluoromethyl-containing diketones in the synthesis of pyrazolo[1,5-a]pyrimidines. Russ. J. Org. Chem. 2001, 37, 852–858. [Google Scholar] [CrossRef]
  4. Bain, K. T. Management of chronic insomnia in elderly persons. Am. J. Geriatr. Pharmacother. 2006, 4, 168–192. [Google Scholar] [CrossRef]
  5. Dundar, Y.; Dodd, S.; Strobl, J.; Boland, A.; Dickson, R.; Walley, T. Comparative efficacy of newer hypnotic drugs for the short-term management of insomnia: a systematic review and meta-analysis. Hum. Psychopharmacol. 2004, 19, 305–322. [Google Scholar] [CrossRef]
  6. Noguchi, H.; Kitazumi, K.; Mori, M.; Shiba, T. Electroencephalographic properties of zaleplon, a non-benzodiazepine sedative/hypnotic, in rats. J. Pharmacol. Sci. 2004, 94, 246–251. [Google Scholar] [CrossRef]
  7. Ibrahim, N. S.; Abdelrazek, F. M.; Aziz, S. I.; Elnagdi, M. H. Nitriles in organic synthesis: the reaction of trichloroacetonitrile with active methylene reagents. Monatsh. Chem. 1985, 116, 551–556. [Google Scholar] [CrossRef]
  8. Al-Awadi, N. A.; Abdelkhalik, M. M.; Abdelhamid, I. A.; Elnagdi, M. H. Pyrolytic methods in organic synthesis: novel routes for the synthesis of 3-oxoalkanenitriles, 2-acyl anilines, and 2-aroyl anilines. Synlett. 2007, 19, 2979–2982. [Google Scholar]
  9. Tominaga, Y.; Matsuoka, Y.; Kohra, S.; Hosomi, A. A novel preparation of polarized ethylenes by the reaction of thioamides or dithiocarboxylates with tetracyanoethylene oxide. Synthesis of pyrazoles and pyrimidines. Heterocycles 1987, 26, 613–616. [Google Scholar] [CrossRef]
  10. Southwick, P. L.; Dhawan, B. Preparation of 4,6-diaminopyrazolo[3,4-d]pyrimidines with variations in substitutions at the 1- and 3-positions. J. Heterocycl. Chem. 1975, 12, 1199–1205. [Google Scholar] [CrossRef]
  11. Chritoforou, I. C.; Koutentis, P. A. New regiospecific isothiazole C-C coupling chemistry. Org. Biomol. Chem. 2006, 4, 3681–3693. [Google Scholar] [CrossRef]
  12. Al-Qalaf, F.; Abdelkhalik, M. M.; Al-Enzy, A.; Al-Agamy, G. Studies with functionally substituted enamines: synthesis of 2-aroyl-3-dimethylamino-2-propenenitrile and their reactivity toward nitrogen nucleophiles. Heterocycles 2008, 75, 145–156. [Google Scholar] [CrossRef]
  13. Elnagdi, M. H.; Elmoghayar, M. R. H.; Elgemeie, G. E. H. Chemistry of pyrazolopyrimidines. In Advances in Heterocyclic Chemistry; Katritzky, A. R., Ed.; Academic Press Inc.: New York, USA, 1987; Vol. 41, pp. 319–376. [Google Scholar]
  14. Maquestiau, A.; Target, H.; Van Den Eyden, J. J. Preparation and characterization of pyrazolo[1,5-a] pyrimidines. Bull. Soc. Chim. Belg. 1992, 101, 131–136. [Google Scholar] [CrossRef]
  15. Gavrin, L.; Lee, A.; Provencher, B. A.; Massefski, W. W; Huhn, S. D; Ciszewski, G. M.; Cole, D. C; McKew, J. C. Synthesis of pyrazolo[1,5-α]pyrimidinone regioisomers. J. Org. Chem. 2007, 72, 1043–1046. [Google Scholar] [CrossRef]
  16. Anwar, H. F.; Fleita, D. H.; Kolshorn, H.; Meier, H.; Elnagdi, M. H. 2H-Pyrazol-3-ylamines as precursors for the synthesis of polyfunctionally substituted pyrazolo[1,5-a]pyrimidines. Arkivoc 2006, (xv), 133–141. [Google Scholar]
  17. Emelina, E. E.; Petrov, A. A.; Firsov, A.V. α-Aminoazoles in syntheses of heterocycles: 3(5)-aminopyrazole-4-carbonitriles in the synthesis of pyrazolo[1,5-a]pyrimidines. Russ. J. Org. Chem. 2007, 43, 471–473. [Google Scholar] [CrossRef]
  18. Michael, D.; Mingos, P.; Baghurst, D. R. Microwaves in chemical synthesis. In The New Chemistry, 3rd Ed.; Hall, N., Ed.; Cambridge University Press: Cambridge, MA, USA, 2000; Chapter 4; pp. 67–75. [Google Scholar]
  19. Hájek, M. Microwave activation of catalytic reactions. In Microwaves in Organic Synthesis; Loupy, A., Ed.; WILEY-VCH Verlag GmbH & Co: Weinheim, Germany, 2006; Vol. 2, Chapter 13; pp. 634–637. [Google Scholar]
  • Sample Availability: Samples of the compounds 8a-c, 12a-c and 15a-c are available from authors.

Share and Cite

MDPI and ACS Style

Al-Qalaf, F.; Mandani, F.; Abdelkhalik, M.M.; Bassam, A.A. Synthesis of 5-Substituted 3-Amino-1H-Pyrazole-4-Carbonitriles as Precursors for Microwave Assisted Regiospecific Syntheses of Pyrazolo[1,5-a]Pyrimidines. Molecules 2009, 14, 78-88. https://doi.org/10.3390/molecules14010078

AMA Style

Al-Qalaf F, Mandani F, Abdelkhalik MM, Bassam AA. Synthesis of 5-Substituted 3-Amino-1H-Pyrazole-4-Carbonitriles as Precursors for Microwave Assisted Regiospecific Syntheses of Pyrazolo[1,5-a]Pyrimidines. Molecules. 2009; 14(1):78-88. https://doi.org/10.3390/molecules14010078

Chicago/Turabian Style

Al-Qalaf, Fawzia, Faisal Mandani, Mervat Mohammed Abdelkhalik, and Abeer Abdulrahman Bassam. 2009. "Synthesis of 5-Substituted 3-Amino-1H-Pyrazole-4-Carbonitriles as Precursors for Microwave Assisted Regiospecific Syntheses of Pyrazolo[1,5-a]Pyrimidines" Molecules 14, no. 1: 78-88. https://doi.org/10.3390/molecules14010078

APA Style

Al-Qalaf, F., Mandani, F., Abdelkhalik, M. M., & Bassam, A. A. (2009). Synthesis of 5-Substituted 3-Amino-1H-Pyrazole-4-Carbonitriles as Precursors for Microwave Assisted Regiospecific Syntheses of Pyrazolo[1,5-a]Pyrimidines. Molecules, 14(1), 78-88. https://doi.org/10.3390/molecules14010078

Article Metrics

Back to TopTop