Abstract
Two new dibenzocyclooctadiene lignans, neglschisandrins C-D (1-2), were isolated from the stems of Schisandra neglecta. Their structures and stereochemistries were elucidated by spectroscopic methods, including 1D- and 2D-NMR and HR-ESI-MS techniques.
Introduction
The stems or fruits of plants in the Schisandraceae family are widely used in China as tonics and astringent drugs for the treatment of rheumatic arthritis, traumatic injuries and related diseases [1]. Plants of the Schisandraceae are rich in lignans, especially dibenzocyclooctadiene ones, which have been found to possess some beneficial effects such as anti-HIV, antitumor, calcium antagonism and anti-lipid peroxidation properties, etc. [2,3,4,5,6]. In a previous study, two new dibenzocyclooctadiene lignans from the Schisandra neglecta were reported [7]. In our continuing efforts to identify bioactive natural products from the stems of Schisandra medicinal plants, a chemical investigation on the stems of Schisandra neglecta (Schisandraceae), indigenous to the Tibet Autonomous Region of China, was tested for inhibition of tumor cells growth and showed cytotoxic activity. Bioactivity-directed fractionation of this extract led to the isolation and identification of two new dibenzocyclooctadiene lignans, named neglschisandrins C-D (1-2). This paper deals with the isolation and characterization of these new compounds.
Results and Discussion
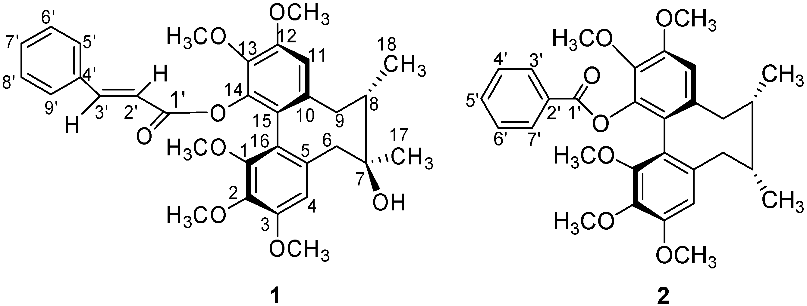
Repeated column chromatography of the Et2O-soluble fraction of the ethanol extract of the stems of S. neglecta yielded two new lignans 1 and 2 (Figure 1), which have been named neglschisandrins C-D, respectively.
Figure 1.
Structures of compounds 1-2.
Figure 1.
Structures of compounds 1-2.

Neglschisandrin C (compounds 1) was obtained as a colorless powder. A molecular formula of C32H36O8 was established by HR-ESI-MS (m/z 571.2302 [M+Na]+). The UV spectrum, with absorption maxima at 217, 252 and 280 nm, along with the 1H-NMR and 13C-NMR data mentioned below indicated that compound 1 was a dibenzocyclooctadiene lignan [8].
The 1H-NMR spectrum of 1 (Table 1) showed a singlet methyl signal (δH 1.28, 3H) and a doublet methyl signal (δH 0.88, J=7.2 Hz, 3H), indicating the presence of a tertiary methyl group attached to a carbon carrying a hydroxyl (δH 2.13, 1H, br s) and a secondary methyl group, which could be assigned to CH3-17 and CH3-18, respectively [9]. The presence of four methylene signals (δH 2.74, 1H, d, J=13.7 Hz; 2.37, 1H, d, J=13.7 Hz; 2.73, 1H, dd, J=14.3, 1.3 Hz and 2.44, 1H, dd, J=14.3, 7.7 Hz) indicated that, like the known heteroclitin H [10], compound 1 had no substitution at C-6 and C-9. Based on the HMQC spectrum, the protons at δH 2.74 and 2.37 were attached to the same carbon (δC 40.7), as were the protons at δH 2.73 and 2.44 (δC 34.4). Furthermore, HMBC correlations of δH 2.37 with δC 29.8 (C-17) and δC 71.9 (C-7) and of δH 2.73 with δC 15.9 (C-18) and δC 41.9 (C-8) indicated that δH 2.74 and 2.37 were H2-6 and that δH 2.73 and 2.44 were H2-9 (see Figure 2).
Table 1.
NMR data of compounds 1-2 in CDCl3 (δ in ppm, J in Hz).
| No | Compound 1 | Compound 2 | ||
|---|---|---|---|---|
| δC | δH (mult., J ) | δC | δH (mult., J ) | |
| 1 | 151.8 | 151.2 | ||
| 2 | 140.4 | 139.4 | ||
| 3 | 152.5 | 152.9 | ||
| 4 | 110.3 | 6.72(s) | 107.4 | 6.44(s) |
| 5 | 132.9 | 140.1 | ||
| 6 | 40.7 | 6α: 2.74 (d, J=14.7) 6β: 2.37 (d, J=13.7) | 35.4 | 2.36 (dd, J=13.4/9.7) 2.04 (d, J=13.3) |
| 7 | 71.9 | 40.6 | 1.80 (m) | |
| 8 | 41.9 | 1.90 (m) | 33.8 | 1.94 (m) |
| 9 | 34.4 | 9α: 2.73 (dd, J=14.3/1.3) 9β: 2.44 (dd, J=14.3/7.7) | 39.1 | 9α: 2.56 (dd, J=13.6/1.8) 9β: 2.66 (dd, J=13.6/7.4) |
| 10 | 133.8 | 133.9 | ||
| 11 | 113.0 | 6.56 (s) | 113.1 | 6.74 ( s) |
| 12 | 151.7 | 151.5 | ||
| 13 | 139.8 | 139.7 | ||
| 14 | 142.2 | 142.4 | ||
| 15 | 123.1 | 123.5 | ||
| 16 | 122.6 | 120.9 | ||
| 17 | 29.8 | 1.28 (s) | 21.6 | 1.00 (d, J=7.1) |
| 18 | 15.9 | 0.88 (d, J=7.2) | 12.9 | 0.81 (d, J=7.1) |
| 7-OH | - | 2.13 (br s) | ||
| 1-OMe | 60.7 | 3.61 (s) | 60.5 | 3.53 (s) |
| 2-OMe | 60.9 | 3.78 (s) | 60.6 | 3.63 (s) |
| 3-OMe | 55.9 | 3.83 (s) | 55.8 | 3.78 (s) |
| 12-OMe | 56.1 | 3.93 (s) | 56.1 | 3.93 (s) |
| 13-OMe | 61.0 | 3.86 (s) | 60.9 | 3.85 (s) |
| Cin: 1' | 164.4 | - | ||
| 2' | 117.0 | 6.36 (d, J=16.0) | ||
| 3' | 145.8 | 7.62 (d, J=16.0) | ||
| 4' | 134.2 | - | ||
| 5'/9' | 128.1 | 7.44 (m) | ||
| 6'/8' | 128.9 | 7.35 (m) | ||
| 7' | 130.5 | 7.35 (m) | ||
| Ben: 1' | 164.1 | |||
| 2' | 129.8 | |||
| 3'/7' | 129.9 | 7.97 (d, J=7.3) | ||
| 4'/6' | 128.1 | 7.34 (t, J=7.8) | ||
| 5' | 132.9 | 7.49 (t, J=7.3) | ||
The 1H-NMR spectrum of compound1 also showed signals due to two aromatic protons (δH 6.72, 6.56, each s, 1H) and five methoxy group singlets (δH 3.61, 3.78, 3.83, 3.86 and 3.93, each 3H) on two aromatic rings. The 1H-NMR spectrum also showed the presence of a trans-cinnamic acid ester with proton signals at δH 6.36 and 7.62 (each 1H, d, J=16.0 Hz) and aromatic proton signals at δH 7.44 (2H, m) and 7.35 (3H, m). Carbon signals at δC 117.0, 145.8, 134.2, 128.1 (×2), 128.9 (×2) and 130.5, as well as carbonyl carbon at δC 164.4, supported this deduction [7].
Figure 2.
Key HMBC Correlations of compound 1.
Figure 2.
Key HMBC Correlations of compound 1.

HMBC correlations (Figure 2) of δH 6.56 with δC 40.7 (C-6) and δH 6.72 with δC 34.4 (C-9) suggested that these two protons were H-4 and H-11, respectively. Their corresponding carbon signals were assigned as δC 110.3 and 113.0, respectively, by HMQC techniques. Based on HMBC correlations of H-4 with the aromatic carbons at δC 140.4 and 152.5 and of H-11 with δC 139.8, 142.2 and 151.7, these five carbons were assigned to C-2, -3, -13, -14 and -12, respectively. The positions of the five methoxy substituents were elucidated from the HMBC cross peaks of δH 3.78, 3.61, 3.83, 3.86 and 3.93 with δC 140.4 (C-2), 151.8 (C-1), 152.5 (C-3), 139.8 (C-13) and 151.7 (C-12), respectively. Thus, the cinnamoxyl group should be located at C-14 position.
The circular dichroism (CD) spectrum showed a negative Cotton effect at 215 nm and a positive Cotton effect at 249 nm, indicating that compound 1 has a R-biphenyl configuration [11]. The NOESY cross peaks (see Figure 3) for H-11/CH3-18, H-11/H-9α, H-4/H-6β and H-9α/CH3-18 in compound 1 suggested a twist-boat-chair (TBC) conformation for the cyclooctadiene ring [12]. The stereochemical assignments in the cyclooctadiene ring of compound 1 were supported by other NOESY correlations of H-4/3-OMe, H-11/12-OMe, 2-OMe/H-2', 2-OMe/H-3', H-6β/CH3-17, H-4/CH3-17 and H-8/CH3-17. From the above data, the structure of compound 1 was elucidated as (6R,7S,R-biar)-3-phenylacrylic acid-7-hydroxy-2,3,10,11,12-pentamethoxy-6,7-dimethyl-5,6,7,8-tetrahydrodibenzo[a,c]cycloocten-1-yl ester.
Figure 3.
Key NOESY Correlations of compound 1.
Figure 3.
Key NOESY Correlations of compound 1.

Neglschisandrin D (2), obtained as a colorless powder, had the molecular formula C30H34O7 according to HR-ESI-MS [m/z 529.2180 ([M+Na]+)]. The UV absorptions (226, 250 and 279 nm) and NMR spectra (Table 1) indicated that compound 2 was also a dibenzocyclooctadiene-type lignan. Its IR, UV, CD and NMR spectra were similar to those of compound 1, the differences between both compounds being the substituents at C-14 and the C-7.
In the cyclooctadiene ring, two doublet methyl signals (δ1.00, 0.81, each 3H, J=7.1Hz) were assigned to 7-Me and 8-Me, respectively. This suggested that there was no substitution at C-7 and C-8, and these two methyl groups were in cis-orientation [13]. Comparing the NMR spectrum of compound 2 with that of compound 1 (Table 1), the aromatic proton signals at δH 7.97 (2H, d, J=7.3Hz), 7.34 (2H, t, J=7.8 Hz) and 7.49 (1H, t, J=7.3 Hz) and carbon signals at δC 129.8, 129.9(x2), 128.1(x2) and 132.9, as well as carbonyl carbon at δC 164.1, showed that the cinnamoyl group in compound 1 was replaced by an benzoyl group in compound 2 (see Figure 4).
Figure 4.
Key HMBC and NOESY Correlations of compound 2.
Figure 4.
Key HMBC and NOESY Correlations of compound 2.

The circular dichroism (CD) spectrum showed a negative Cotton effect at 210 nm and a positive one at 247 nm, indicating that compound 1 has a R-biphenyl configuration. The NOESY cross peaks (Figure 5) for H-4 with CH3-17, H-4/H-6β, H-11 with H-9α and H-11 with CH3-18 in compound 2 suggested a twist-boat-chair (TBC) conformation for the cyclooctadiene ring. The stereochemical assignments in the cyclooctadiene ring of 1 were supported by other NOESY correlations of H-4/3-OMe, H-11/12-OMe, H-6β/H-7, H-4/H-7, CH3-17/CH3-18, H-7'/1-OMe and H-7'/2-OMe (see Figure 4). From the above data, the structure of compound 2 was elucidated as (6S,7S,R-biar)benzoic acid 2,3,10,11,12-pentamethoxy-6,7-methyl-5,6,7,8-tetrahydrodibenzo[a,c]cycloocten-1- yl ester.
Figure 5.
Key NOESY Correlations of 2.
Figure 5.
Key NOESY Correlations of 2.

Experimental
General
TLC: Silica-gel plates GF254 (Yan-tai Institute of Chemical Technology). Column chromatography (CC): Silica gel (200-300 mesh or 300-400 mesh: Qingdao Marine Chemical Factory). Prep HPLC: Amersham UV-900, with RP-C18 column (250×10 mm). UV [in anh. MeOH; λmax in nm (log ε)]: Hitachi U-3010 spectrophotometer. CD Spectra [λ in nm (∆ε in mdeg)]: Jasco-810 spectropolarimeter. Optical rotation (ORD): JASCO P-1020 spectropolarimeter. IR Spectra (KBr pellets; in cm-1): Avatar 360-ESP spectrophotometer (Thermo Nicolet). 1H- (400 MHz) and 13C-NMR (100 MHz) spectra in CDCl3 soln.; δ in ppm rel. to Me4Si, J in Hz): Bruker DRX400 Spectrometer. ESI-MS (m/z): Bio TOF Q spectrometer; HR-ESI-MS (m/z): Bruker Dalonics-BioToF Q spectrometer.
Plant Material
Stems of Schisandra neglecta were collected in Lin-zhi County, Xi-zang Autonomous Region, People’s Republic of China, in September of 2004, and identified by Associate Professor Hong-ping Deng of the School of Life Sciences, SouthWest University. A voucher specimen (MC-LZ-040901) is deposited in the Herbarium of Medicinal Plant, School of Life Sciences, SouthWest University, Chongqing, People’s Republic of China.
Extraction and Isolation
Air-dried stems of Schisandra neglecta (5 kg) were ground and extracted exhaustively with 95% ethanol at room temperature. The EtOH extract was evaporated in vacuo to yield a semisolid (430 g), which was suspended in H2O (1 L) and extracted with Et2O (5×1L). This ether solution was concentrated to yield 112 g of residue, which was subjected to CC [SiO2, 1.5 kg, petroleum ether (PE)/acetone gradient]. Fraction 4 (eluted with PE/acetone 9:1) was subjected to repeated CC (eluted with PE/EtOAc 15:1) and prep. RP-HPLC (MeOH/H2O 70:30) to yield compound 2 (2 mg). Fraction 5 (eluted with PE/acetone 8:2) was subjected to repeated CC (eluted with PE/CHCl3 1:1) and prep. RP-HPLC (MeOH/H2O 80:20) to give compound 1 (29 mg).
(6R,7S,R-biar)-3-phenylacrylic acid-7-hydroxy-2,3,10,11,12-pentamethoxy-6,7-dimethyl-5,6,7,8-tetra-hydrodibenzo[a,c]cycloocten-1-yl ester (neglschisandrin C, 1). Colorless powder; UV: 217 (4.44), 252 (4.05), 280 (3.23); CD (c=0.08, MeOH): nm (Δε) 249 (+39.76), 234 (+55.71), 215 (-76.79);
=+72.1°(c=0.48, MeOH); IR: 3415, 1726, 1636, 1594, 1494; 1H-NMR and 13C-NMR: see Table 1; ESI-MS m/z: 571.1 ([M+Na]+); HR-ESI-MS: found 571.2290 ([M+Na]+, C32H36O8Na, calc. 571.2302).
=+72.1°(c=0.48, MeOH); IR: 3415, 1726, 1636, 1594, 1494; 1H-NMR and 13C-NMR: see Table 1; ESI-MS m/z: 571.1 ([M+Na]+); HR-ESI-MS: found 571.2290 ([M+Na]+, C32H36O8Na, calc. 571.2302).(6S,7S,R-biar)-benzoic acid-2,3,10,11,12-pentamethoxy-6,7-methyl-5,6,7,8-tetrahydrodibenzo[a,c]-cycloocten-1-yl ester (neglschisandrin D, 2). Colorless powder; UV: 226 (4.42), 250 (4.12), 279 (3.71); CD (c=0.4, MeOH): nm (Δε) 247 (+312.52), 233 (+389.88), 211 (-278.28);
=+79.6°(c=1.30, MeOH); IR: 1738, 1597, 1493, 707; 1H-NMR and 13C-NMR: see Table 1; ESI-MS m/z: 529.5 ([M+Na]+); HR-ESI-MS: found 529.2180 ([M+Na]+, C30H34O7Na, calc. 529.2197).
=+79.6°(c=1.30, MeOH); IR: 1738, 1597, 1493, 707; 1H-NMR and 13C-NMR: see Table 1; ESI-MS m/z: 529.5 ([M+Na]+); HR-ESI-MS: found 529.2180 ([M+Na]+, C30H34O7Na, calc. 529.2197).Acknowledgements
This investigation was supported in part by grants from the Natural Science Foundation Project of CQ CSTC (2006BB5343), and the foundation for the Doctoral Programs of SouthWest University, P.R. China (SWNUB2004014).
References
- Dictionary of Chinese Traditional Medicines; (Zhong Yao Da Ci Dian); Shanghai Science and Technology Publishing House: Shanghai, P.R. China, 1977.
- Chen, M.; Kilgore, N.; Lee, K. H.; Chen, D. F. Rubrisandrins A and B, Lignans and Related Anti-HIV Compounds from Schisandra rubriflora. J. Nat. Prod. 2006, 69, 1697–1701. [Google Scholar] [CrossRef]
- Chen, D. F.; Zhang, S. X; Kozuka, M.; Sun, Q. Z.; Feng, J.; Wang, Q.; Mukainaka, T.; Nobukuni, Y.; Tokuda, H.; Nishino, H.; Wang, H. K.; Morris-Natschke, S. L.; Lee, K. H. Interiotherins C and D, two new lignans from Kadsura interior and antitumour-promoting effects of related neolignans on Epstein-Barr virus activation. J. Nat. Prod. 2002, 65, 1242–1245. [Google Scholar] [CrossRef]
- Chen, D. F.; Zhang, S. X.; Xie, L.; Xie, J. X.; Chen, K.; Kashiwada, Y. B.; Zhou, N.; Wang, P.; Cosentino, L. M.; Lee, K. H. Structure-Activity Corelations of Gomisin G-Related Anti-HIV Lignans from Kadsura interior and of Related Synthetic Analogues. Bioorg. Med. Chem. 1997, 5, 1715–1723. [Google Scholar] [CrossRef]
- Zhang, X. M; Chen, D. F.; He, X. J.; Yang, S.; Zheng, P.; Jiang, M. H. The Blocking Effects of Heteroclitin D and Gomisin J on L-type Calcium Channels in Ventricular Cells of Guinea Pig. Acta Pharmacol. Sin. 2000, 21, 373–376. [Google Scholar]
- Peng, H. L.; Chen, D. F.; Lan, H. X.; Zhang, X. M.; Gu, Z.; Jiang, M. H. Anti-Lipid Peroxidation of Gomisin J on Liver Mitochodria and Cultured Myocardial Cells. Acta Pharmacol. Sin. 1996, 17, 538–541. [Google Scholar]
- Chen, M.; Xu, X. M.; Liao, Z. H.; Dong, L.; Li, L; Huang, C. Z. Neglschisandrins A-B: Two New Dibenzocyclooctadiene Lignans from Schisandra neglecta. Molecules 2008, 13 , 548–555. [Google Scholar] [CrossRef]
- Jia, Z. W.; Liao, Z. X.; Chen, D. F. Two new dibenzocyclooctadiene lignans from the water extract of Kadsura spp. Helv. Chim. Acta 2005, 88, 2288–2293. [Google Scholar] [CrossRef]
- Chen, M.; Liao, Z. X.; Chen, D. F. Four New Dibenzocyclooctadiene Lignans from Kadsura renchangiana. Helv. Chim. Acta 2004, 87, 1368–1376. [Google Scholar] [CrossRef]
- Chen, M.; Jia, Z. W.; Chen, D. F. Heteroclitin H, a New Lignans from Kadsura heteroclita. J. Asian Nat. Prod. Res. 2006, 8, 643–648. [Google Scholar] [CrossRef]
- Li, H. R.; Feng, Y. L.; Yang, Z. G.; Wang , J.; Daikonya, A.; Kitanaka, S.; Xu, L. Z.; Yang, S. L. New lignans from Kadsura coccinea and their nitric oxide inhibitory activities. Chem. Pharm. Bull. 2006, 54, 1022–1025. [Google Scholar] [CrossRef]
- Liu, J.S.; Li, L. Schisandtherins L-O and acetylschisantherin L from Kadsra coccinea. Phytochemistry 1993, 32, 1293–1296. [Google Scholar] [CrossRef]
- Ghera, E.; Ben-David, Y.; Becker, D. Desoxyschizandrin, stereochemistry and total synthesis. Tetrahedron Lett. 1977, 18, 463–467. [Google Scholar] [CrossRef]
- Sample Availability: Samples of compounds 1 and 2 are available from the authors.
© 2008 by the authors. Licensee Molecular Diversity Preservation International, Basel, Switzerland. This article is an open-access article distributed under the terms and conditions of the Creative Commons Attribution license ( http://creativecommons.org/licenses/by/3.0/).