Next Article in Journal
Effect of Dehydroaltenusin-C12 Derivative, a Selective DNA Polymerase α Inhibitor, on DNA Replication in Cultured Cells
Next Article in Special Issue
Total Synthesis and the Biological Activities of (±)-Norannuradhapurine
Previous Article in Journal
Cytotoxic Steroidal Saponins from the Flowers of Allium leucanthum
 
 
Font Type:
Arial Georgia Verdana
Font Size:
Aa Aa Aa
Line Spacing:
Column Width:
Background:
Article

Total Synthesis and Antimicrobial Activity of (±)-Laurelliptinhexadecan-1-one and (±)-Laurelliptinoctadecan-1-one

by
Surachai Nimgirawath
1,*,
Phansuang Udomputtimekakul
1,
Samathi Pongphuttichai
1,
Asawin Wanbanjob
1 and
Thongchai Taechowisan
2
1
Department of Chemistry, Faculty of Science, Silpakorn University, Nakorn Pathom 73000, Thailand
2
Department of Microbiology, Faculty of Science, Silpakorn University, Nakorn Pathom 73000, Thailand
*
Author to whom correspondence should be addressed.
Molecules 2008, 13(12), 2935-2947; https://doi.org/10.3390/molecules13122935
Submission received: 8 November 2008 / Revised: 19 November 2008 / Accepted: 25 November 2008 / Published: 28 November 2008
(This article belongs to the Special Issue Aporphines and Oxoaporphines)

Abstract

:
The structures previously assigned to (+)-laurelliptinhexadecan-1-one (1a) and (+)-laurelliptinoctadecan-1-one (1b) from Cocculus orbiculatus (L.) DC. (Menispermaceae) have been confirmed by total synthesis of the racemic alkaloids. The key step of the synthesis involved formation of ring C of the aporphines by a radical-intiated cyclisation. Both (±)-laurelliptinhexadecan-1-one (1a) and (±)-laurelliptinoctadecan-1-one (1b) were inactive against Staphylococcus aureus ATCC25932, Escherichia coli ATCC10536 and Candida albicans ATCC90028.

Graphical Abstract

Introduction

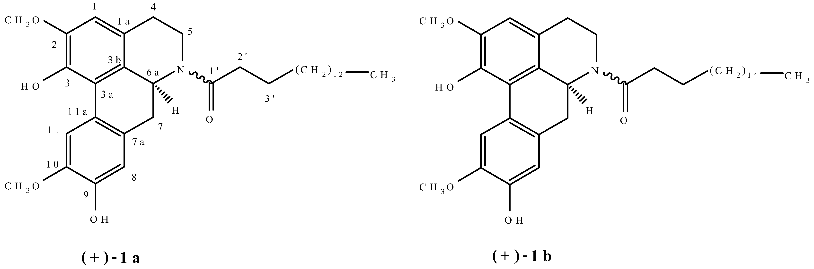
Amidic aporphine alkaloids usually occur as N-formyl, N-acetyl and N-methoxycarbonyl derivatives [1]. (+)-Laurelliptinhexadecan-1-one (1a) and (+)-laurelliptinoctadecan-1-one (1b) are two unique amidic aporphine alkaloids in which a palmitoyl and a stearoyl functional group is attached to the nitrogen of the aporphine nucleus, respectively (Figure 1)[2].
Figure 1. Structures of (+)-laurelliptinhexadecan-1-one (1a) and (+)-laurelliptinoctadecan-1-one (1b).
Figure 1. Structures of (+)-laurelliptinhexadecan-1-one (1a) and (+)-laurelliptinoctadecan-1-one (1b).
Molecules 13 02935 g001
These two unique alkaloids were isolated as an inseparable mixture from Cocculus orbiculatus (Menispermaceae). Based on detailed spectroscopic analysis of the mixture, structures 1a and 1b were assigned to (+)-laurelliptinhexadecan-1-one and (+)-laurelliptinoctadecan-1-one, respectively. The mixture of 1a and 1b was found to exhibit weak activity toward the human hepatoma cell line HepG2 and breast cancer cell line MDA-MB-231. No antimicrobial activity has been reported. In view of the fact that (+)-laurelliptinhexadecan-1-one (1a) and (+)-laurelliptinoctadecan-1-one (1b) occur as an inseparable mixture, it is therefore desirable to carry out a total synthesis of these two alkaloids to confirm their structures and to study the biological activities of the pure alkaloids.

Results and Discussion

The syntheses of both (±)-laurelliptinhexadecan-1-one (1a) and (±)-laurelliptinoctadecan-1-one (1b) were based on the construction of ring C of the aporphine nucleus by a radical-initiated cyclisation [3]. It was initially anticipated that cyclisation of 2b and 2c would lead to the desired (±)-1a and (±)-1b after removal of the benzyl protecting groups. Thus, condensation of 5-benzyloxy-2-bromo-4-methoxyphenylacetyl chloride (3) [4] with 4-benzyloxy-3-methoxyphenethylamine (4) gave amide 5 which was converted to 6 in a Bischler-Napieralski reaction. Reduction of 6 with sodium borohydride gave (2a) which was treated with palmitoyl chloride and stearoyl chloride to give 2b and 2c respectively. Unfortunately, several attempts to effect cyclisation of both 2b and 2c by a radical-initiated cyclisation were fruitless. Subsequently, isoquinoline 2a was reacted with trifluoroacetic anhydride to give 2d, which was treated with tributyltin hydride and azobis(isobutyronitrile) to give 7a in 22.7% yield and the hydrogenolysis product 2e in 29.1% yield. Due to steric hindrance, the formation of 7a was accompanied by concurrent loss of the benzyl protecting group on the oxygen at C-1. Furthermore, the loss of the benzyl radical from the radical intermediate formed after initial cyclisation is also favoured electronically. The structure of 7a was supported by the presence of a singlet at δH 8.14 due to the proton at C-11, characteristic of aporphines bearing a proton at that position. Removal of the trifluoroacetyl protecting group was achieved using aqueous potassium carbonate to give 7b which was treated with palmitoyl chloride and stearoyl chloride to give (±)-9-benzyllaurelliptinhexadecan-1-one (7c) and (±)-9-benzyllaurelliptinoctadecan-1- one (7d), respectively. Hydrogenolysis of 7c and 7d gave (±)-1a and (±)-1b respectively. Both (±)-1a and (±)-1b exist as the Z and E conformers, the 1H-NMR spectral data of which are in good agreement with those of natural (+)-1a and (+)-1b (Table 1 and Table 3).
However, the 13C-NMR spectral data of synthetic (±)-1a and (±)-1b possess a number of signals which are different from those assigned to the same carbons in natural (+)-1a and (+)-1b (Table 2 and Table 4). These discrepancies may be due to the fact that in the original paper assignments of chemical shifts to the carbon atoms involved were carried out on the spectra measured on the mixture of (+)-1a and (+)-1b. Bearing this fact in mind, it can be concluded with good confidence that the structures previously assigned to (+)-laurelliptinhexadecan-1-one (1a) and (+)-laurelliptinoctadecan-1-one (1b) can be confirmed with our current syntheses of the racemic alkaloids. (±)-Laurelliptinhexadecan-1-one (1a) and (±)-laurelliptinoctadecan-1-one (1b) at the concentration value 256 μg/mL were inactive against Staphylococcus aureus ATCC25932, Escherichia coli ATCC10536 and Candida albicans ATCC90028.
Scheme 1. Synthetic routes to (±)-laurelliptinhexadecan-1-one (1a) and (±)-laurelliptinoctadecan-1-one (1b).
Scheme 1. Synthetic routes to (±)-laurelliptinhexadecan-1-one (1a) and (±)-laurelliptinoctadecan-1-one (1b).
Molecules 13 02935 g002
Reagents and conditions: A) 10% NaHCO3/ chloroform; B) POCl3/ benzene; C) NaBH4/ethanol; D) palmitoyl chloride, 10 % NaHCO3/ chloroform; E) stearoyl chloride, 10 % NaHCO3/ chloroform; F) (CF3CO)2O, Et3N/ chloroform; G) Bu3SnH, AIBN/ dry toluene; H) K2CO3/ methanol-water; I) H2, Pd/C / ethanol.
Table 1. Comparison of 1H-NMR spectral data between (+)-laurelliptinhexadecan-1-one (600 MHz, CDCl3) and (±)-laurelliptinhexadecan-1-one (300 MHz, CDCl3).
Table 1. Comparison of 1H-NMR spectral data between (+)-laurelliptinhexadecan-1-one (600 MHz, CDCl3) and (±)-laurelliptinhexadecan-1-one (300 MHz, CDCl3).
(+)-laurelliptin-hexadecan-1-one
Z-form
(±)-laurelliptin-hexadecan-1-one
Z-form
(+)-laurelliptin-hexadecan-1-one
E-form
(±)-laurelliptin-hexadecan-1-one
E-form
Position1H1H1H1H
Aporphine moiety
16.55 (s)6.56 (s)6.59 (s)6.60 (s)
1a
2
3
3a
3b
42.66/2.83 (m)2.52-2.91 (m)2.66/2.83 (m)2.52-2.91 (m)
53.23 (pseudo ax., br t, 12.0)3.24 (pseudo ax., br t, 12.11)2.75 (pseudo ax., br t, 12.0)2.75-2.82 (pseudo ax., m)
4.02 (pseudo eq., br d, 12.0)4.00 (pseudo eq., br d, 12.11)4.95 (pseudo eq., br d, 12.0)4.96 (pseudo eq., br d, 8.03)
6a5.11 (br d, 12.5)5.12 (br d, 10.5)4.60 (br d, 12.5)4.61 (br d, 12.1)
72.61 (pseudo ax., br t, 12.5)2.58-2.75 (pseudo ax., m)2.99 (pseudo ax., br t, 12.5)2.91-3.10 (pseudo ax., m)
2.95 (pseudo eq., br d, 12.5)2.91-3.10 (pseudo eq., m)2.61 (pseudo eq., br d, 12.5)2.58-2.75 (pseudo eq., m)
7a
86.82 (s)6.83 (s)6.82 (s)6.83 (s)
9
10
118.06 (s)8.07 (s)8.09 (s)8.10 (s)
11a
OCH3 x 2ca. 3.90 (s)3.92 (s)ca. 3.90 (s)3.92 (s)
Fatty acid moiety
1′
2′2.44 (m)2.51-2.40 (m)2.34 (m)2.40-2.30 (m)
3′1.65 (m)1.78-1.60 (m)1.65 (m)1.78-1.60 (m)
Aliphatic CH21.18-1.30 (m)1.15-1.40 (m)1.18-1.30 (m)1.15-1.40 (m)
Terminal CH30.86 (t, 6.8)0.88 (t, 6.8)0.86 (t, 6.8)0.88(t, 6.8)
Table 2. Comparison of 13C-NMR spectral data between (+)-laurelliptinhexadecan-1-one (150 MHz, CDCl3) and (±)-laurelliptinhexadecan-1-one (75 MHz, CDCl3).
Table 2. Comparison of 13C-NMR spectral data between (+)-laurelliptinhexadecan-1-one (150 MHz, CDCl3) and (±)-laurelliptinhexadecan-1-one (75 MHz, CDCl3).
(+)-laurelliptin-hexadecan-1-one
Z-form
(±)-laurelliptin-hexadecan-1-one
Z-form
(+)-laurelliptin-hexadecan-1-one
E-form
(±)-laurelliptin-hexadecan-1-one
E-form
position13C13C13C13C
Aporphine moiety
1108.3 (d)108.5 (d)108.8 (d)108.9 (d)
1a111.9 (s)124.2 (s)112.0 (s)125.3 (s)
2144.98-145.2 (s)a144.8-145.9 (s)a144.98-145.2 (s)a144.8-145.9 (s)a
3141.0 (s)141.1 (s)140.9 (s)141.1 (s)
3a125.86 (s)120.6 (s)124.0 (s)120.1 (s)
3b120.5 (s)125.6 (s)120.0 (s)126.2 (s)
434.5 (t)30.7 (t)30.6 (t)29.7 (t)
541.4 (t)41.4 (t)36.8 (t)36.7 (t)
6a50.8 (d)50.8 (d)53.4 (d)53.4 (d)
733.2 (t)33.3 (t)35.9 (t)36.1 (t)
7a123.5 (s)123.7 (s)128.8 (s)123.9 (s)
8114.5 (d)114.6 (d)113.9 (d)113.9 (d)
9144.98-145.2 (s)a144.8-145.9 (s)a144.98-145.2 (s)a144.8-145.9 (s)a
10144.98-145.2 (s)a144.8-145.9 (s)a144.98-145.2 (s)a144.8-145.9 (s)a
11118.8 (d)111.9 (d)111.9 (d)112.0 (d)
11a125.4 (s)130.3 (s)125.0 (s)129.6 (s)
OCH3 x 256.0 (q) and 56.2 (q)56.1 (q) and 56.3 (q)56.0 (q) and 56.2 (q)56.1 (q) and 56.3 (q)
Fatty acid moiety
1′172.1 (s)171.8 (s)172.6 (s)172.5 (s)
2′33.2 (t)33.3 (t)34.2 (t)34.6 (t)
3′25.3 (t)25.3 (t)25.5 (t)25.6 (t)
Aliphatic CH229-32 (t)29-32 (t)29-32 (t)29-32 (t)
Terminal CH314.1 (q)14.1 (q)14.1 (q)14.1 (q)
a assignments may be interchangeable
Table 3. Comparison of 1H-NMR spectral data between (+)-laurelliptinoctadecan-1-one (600 MHz, CDCl3) and (±)-laurelliptinoctadecan-1-one (300 MHz, CDCl3).
Table 3. Comparison of 1H-NMR spectral data between (+)-laurelliptinoctadecan-1-one (600 MHz, CDCl3) and (±)-laurelliptinoctadecan-1-one (300 MHz, CDCl3).
(+)-laurelliptin-octadecan-1-one
Z-form
(±)-laurelliptin-octadecan-1-one
Z-form
(+)-laurelliptin-octadecan-1-one
E-form
(±)-laurelliptin-octadecan-1-one
E-form
position1H1H1H1H
Aporphine moiety
16.55 (s)6.53 (s)6.59 (s)6.57 (s)
1a
2
3
3a
3b
42.66/2.83 (m)2.52-2.88 (m)2.66/2.83 (m)2.52-2.88 (m)
53.23 (pseudo ax., br t, 12.0)3.21 (pseudo ax., br t, 12.0)2.75 (pseudo ax., br t, 12.0)2.66-2.78 (pseudo ax., m)
4.02 (pseudo eq., br d, 12.0)4.00 (pseudo eq., br d, 12.0)4.95 (pseudo eq., br d, 12.0)4.95 (pseudo eq., br d, 7.95)
6a5.11 (br d, 12.5)5.12 (br d, 13.8)4.60 (br d, 12.5)4.61 (br d, 12.1)
72.61 (pseudo ax., br t, 12.5)2.54-2.72 (pseudo ax., m)2.99 (pseudo ax., br t, 12.5)2.88-3.50 (pseudo ax., m)
2.95 (pseudo eq., br d, 12.5)2.88-3.50 (pseudo eq., m)2.61 (pseudo eq., br d, 12.5)2.54-2.72 (pseudo eq., m)
7a
86.82 (s)6.82 (s)6.82 (s)6.82 (s)
9
10
118.06 (s)8.06 (s)8.09 (s)8.10 (s)
11a
OCH3 x 2ca. 3.90 (s)3.89 (s)ca. 3.90 (s)3.89 (s)
Fatty acid moiety
1′
2′2.44 (m)2.50-2.39 (m)2.34 (m)2.39-2.29 (m)
3′1.65 (m)1.73-1.60 (m)1.65 (m)1.73-1.60 (m)
Aliphatic CH21.18-1.30 (m)1.15-1.40 (m)1.18-1.30 (m)1.15-1.40 (m)
Terminal CH30.86 (t, 6.8)0.87 (t, 6.9)0.86 (t, 6.8)0.87(t, 6.9)
Table 4. Comparison of 13C-NMR spectral data between (+)-laurelliptinoctadecan-1-one (150 MHz, CDCl3) and (±)-laurelliptinoctadecan-1-one (75 MHz, CDCl3).
Table 4. Comparison of 13C-NMR spectral data between (+)-laurelliptinoctadecan-1-one (150 MHz, CDCl3) and (±)-laurelliptinoctadecan-1-one (75 MHz, CDCl3).
(+)-laurelliptin-octadecan-1-one
Z-form
(±)-laurelliptin-octadecan-1-one
Z-form
(+)-laurelliptin-octadecan-1-one
E-form
(±)-laurelliptin-octadecan-1-one
E-form
position13C13C13C13C
Aporphine moiety
1108.3 (d)108.5 (d)108.8 (d)109.0 (d)
1a111.9 (s)124.2 (s)112.0 (s)125.6 (s)
2144.98-145.2 (s)a145.1-145.9 (s)a144.98-145.2 (s)a145.1-145.9 (s)a
3141.0 (s)141.2 (s)140.9 (s)141.1 (s)
3a125.86 (s)120.7 (s)124.0 (s)120.1 (s)
3b120.5 (s)126.0 (s)120.0 (s)125.2 (s)
434.5 (t)30.7 (t)30.6 (t)29.7 (t)
541.4 (t)41.5 (t)36.8 (t)36.8 (t)
6a50.8 (d)50.9 (d)53.4 (d)53.5 (d)
733.2 (t)33.3 (t)35.9 (t)36.1 (t)
7a123.5 (s)123.6 (s)128.8 (s)123.9 (s)
8114.5 (d)114.7 (d)113.9 (d)114.1 (d)
9144.98-145.2 (s)a145.1-145.9 (s)a144.98-145.2 (s)a145.1-145.9 (s)a
10144.98-145.2 (s)a145.1-145.9 (s)a144.98-145.2 (s)a145.1-145.9 (s)a
11118.8 (d)112.1 (d)111.9 (d)112.1 (d)
11a125.4 (s)130.1 (s)125.0 (s)129.5 (s)
OCH3 x 256.0 (q) and 56.2 (q)56.1 (q) and 56.3 (q)56.0 (q) and 56.2 (q)56.1 (q) and 56.3 (q)
Fatty acid moiety
1′172.1 (s)172.1 (s)172.6 (s)172.6 (s)
2′33.2 (t)33.3 (t)34.2 (t)34.5 (t)
3′25.3 (t)25.4 (t)25.5 (t)25.5 (t)
Aliphatic CH229-32 (t)29-32 (t)29-32 (t)29-32 (t)
Terminal CH314.1 (q)14.1 (q)14.1 (q)14.1 (q)
a assignments may be interchangeable

Experimental

General

Melting points were determined on a Stuart Scientific SMP 2 melting point apparatus and are uncorrected. Infrared spectra were recorded on CH2Cl2-films with a Perkin Elmer Spectrum GX FT-IR spectrophotometer. Ultraviolet spectra were recorded on methanol solutions with a Perkin Elmer Lambda 35 UV-VIS spectrophotometer. 1H- and 13C-NMR spectra were recorded for deutero- chloroform solutions, unless otherwise stated, at 300 MHz for 1H and 75 MHz for 13C with a Bruker AVANCE 300 spectrometer. Tetramethylsilane was used as the internal standard. Mass spectra were recorded on a POLARIS Q mass spectrometer. Elemental analysis was performed on a Perkin Elmer 2400 Elemental Analyser.
2-(2-Bromo-5-benzyloxy-4-methoxyphenyl)-N-(4-benzyloxy-3-methoxyphenethyl)acetamide (5). A mixture of 5-benzyloxy-4-methoxy-2-bromophenylacetic acid (26.0 g, 0.07 mol) and thionyl chloride (22.0 g, 0.19 mol) in benzene (150 mL) was refluxed for 1 h. Removal of the solvent under vacuum gave 5-benzyloxy-2-bromo-4-methoxyphenylacetyl chloride (3) [4] which was dissolved in ethanol-free chloroform (150 mL) and added to a mixture of 4-benzyloxy-3-methoxyphenethylamine (4) (18.1 g, 0.07 mol) in chloroform (150 mL) and 10% sodium hydrogen carbonate (120 mL). The mixture was then stirred for 4 h and the chloroform layer was washed with water (100 mL), 10% hydrochloric acid (100 mL), water (100 mL), then dried over anhydrous sodium sulfate. Removal of the solvent under vacuum gave a residue which was triturated with ethanol to give 2-(2-bromo-5-benzyloxy-4-methoxyphenyl)-N-(4-benzyloxy-3-methoxyphenethyl)acetamide (5) as white prisms (38.7 g, 93.3%); m.p. 133-134 °C (lit. [5] m.p. 135 °C); 1H-NMR: δ 7.45-7.29 (10H, m, Ph-H); 6.99 (1H, s, Ar-H); 6.81 (1H, s, Ar-H); 6.72 (1H, d, J = 8.1 Hz, Ar-H); 6.64 (1H, d, J = 1.8 Hz, Ar-H); 6.48 (1H, dd, J = 8.1, 1.8 Hz, Ar-H); 5.40 (1H, br s, NH); 5.10 (2H, s, CH2Ph); 5.08 (2H, s, CH2Ph); 3.85 (3H, s, OCH3); 3.84 (3H, s, OCH3); 3.54 (2H, s, CH2CON); 3.42 (2H, apparent q, J = 6.6 Hz, CH2N); 2.65 (2H, t, J = 6.9 Hz, CH2); 13C-NMR: δ 170.0 (C), 149. (C), 147.8 (C), 146.9 (C), 137.3 (C), 136.4 (C), 131.6 (C), 128.6 (CH), 128.5 (CH), 128.1 (CH), 127.8 (CH), 127.5 (CH), 127.3 (CH), 126.3 (C), 120.6 (CH), 116.4 (CH), 116.1 (CH), 115.4 (C), 114.2 (CH), 112.4 (CH), 109.5 (C), 71.1 (CH2), 56.3 (OCH3), 56.0 (OCH3), 43.5 (CH2), 40.7 (CH2), 35.0 (CH2).
1-(5-Benzyloxy-2-bromo-4-methoxybenzyl)-7-benzyloxy-6-methoxy-3,4-dihydroisoquinoline (6). Phosphorus oxychloride (75.0 g, 0.49 mol) was added to a solution of 2-(2-bromo-5-benzyloxy-4-methoxyphenyl)-N-(4-benzyloxy-3-methoxyphenethyl)acetamide (5) (25.0 g, 0.04 mol) in benzene (150 mL) and the solution was refluxed with stirring for 3 h. The reaction mixture was then evaporated under vacuum to yield a brown liquid which was shaken with water (150 mL) and chloroform (150 mL). The mixture was then basified with concentrated ammonia and the chloroform layer was dried over anhydrous sodium sulfate. Removal of the solvent under vacuum gave a dark orange solid which was triturated with ethanol to yield dihydroisoquinoline (6) as a pale yellow solid (21.8 g, 90.1%); m.p. 108-110 °C (lit. [6] m.p. 105-106 °C); UV (MeOH) λmax nm (log ε): 207 (4.76), 230 (4.49), 283 (4.00), 311 (3.85); IR νmax (film): 3063, 3032, 3005, 2933, 2838, 1621, 1603, 1568, 1506, 1455, 1439, 1378, 1357, 1322, 1256, 1214, 1160, 1142, 1073, 1026, 981, cm-1; 1H-NMR: δ 7.45-7.20 (10H, m, Ph-H); 7.02 (1H, s, Ar-H); 6.99 (1H, s, Ar-H); 6.78 (1H, s, Ar-H); 6.64 (1H, s, Ar-H); 5.04 (2H, s, CH2Ph); 5.03 (2H, s, CH2Ph); 4.08 (2H, s, CH2); 3.90 (3H, s, OCH3); 3.84 (3H, s, OCH3); 3.65 (2H, t, J = 7.8 Hz, CH2N); 2.55 (2H, t, J = 7.8 Hz, CH2); 13C-NMR: δ 167.0 (C), 149.1 (C), 147.7 (C), 146.7 (C), 136.7 (C), 136.6 (C), 132.4 (C), 128.5 (CH), 128.4 (CH), 128.0 (CH), 127.7 (CH), 127.5 (CH), 127.1 (CH), 115.8 (CH), 114.9 (CH), 114.5 (C), 112.9 (C), 112.3 (CH), 110.7 (CH), 106.0 (C), 105.4 (C), 71.2 (CH2), 70.9 (CH2), 56.2 (OCH3), 56.1 (OCH3), 46.1 (CH2), 41.2 (CH2), 25.7 (CH2).
1-(5-Benzyloxy-2-bromo-4-methoxybenzyl)-7-benzyloxy-6-methoxy-1,2,3,4-tetrahydroisoquinoline (2a). Sodium borohydride (11.1 g, 0.29 mol) was added portionwise to a stirred solution of dihydroisoquinoline (6) (15.0 g, 0.03 mol) in ethanol (150 mL) and the mixture was stirred for 3 h. Removal of the ethanol under vacuum gave a residue which was shaken with water (100 mL) and chloroform (100 mL) and the chloroform layer was dried. Removal of the solvent gave a crude white solid which was triturated with ethanol to give tetrahydroisoquinoline 2a as a yellow solid (14.0 g, 93.0%); m.p. 91-93 °C (Lit. [7] m.p. 90-90.5 °C); UV (MeOH) λmax nm (log ε): 211 (4.48), 236sh (4.26), 290sh (3.79), 324 (3.70); IR νmax (film): 3585, 3063, 3032, 3007, 2936, 2839, 1592, 1567, 1506, 1456, 1438, 1410, 1383, 1356, 1334, 1320, 1267, 1217, 1173, 1143, 1081, 1053, 1024, 958 cm-1; 1H-NMR: δ 7.46-7.20 (10H, m, Ph-H); 7.06 (1H, s, Ar-H); 6.74 (1H, s, Ar-H); 6.71(1H, s, Ar-H); 6.59 (1H, s, Ar-H); 5.11(4H, s, 2 x CH2Ph); 4.05-3.97 (1H, m, H-1); 3.85 (6H, s, 2 x OCH3); 3.13-3.01 (2H, m, CH2); 2.87-2.64 (4H, m, 2 x CH2); 13C-NMR: δ 149.1 (C), 148.3 (C), 147.1 (C), 146.2 (C), 137.4 (C), 136.7 (C), 130.5 (C), 130.3 (C), 128.6 (CH), 128.0 (CH), 127.9 (C), 127.8 (CH), 127.4 (CH), 127.3 (CH), 117.3 (CH), 116.3 (CH), 115.4 (C), 112.9 (CH), 112.2 (CH), 71.4 (CH2), 71.1 (CH2), 56.3 (OCH3), 56.0 (OCH3), 55.1 (CH), 42.3 (CH2), 40.1 (CH2), 29.4 (CH2).
1-(5-Benzyloxy-2-bromo-4-methoxybenzyl)-7-benzyloxy-6-methoxy-2-trifluoroacetyl-1,2,3,4-tetra-hydroisoquinoline (2d). Trifluoroacetic anhydride (54.0 g, 0.26 mol) was added to a stirred solution of tetrahydroisoquinoline 2a (23.2 g, 0.04 mol) and triethylamine (36.0 g) in chloroform (300 mL) at 0-10 °C. Stirring was continued at room temperature for 3 h. Chloroform (200 mL) was added and the chloroform layer was washed with 10% NaHCO3 (4 x 300 mL), water (300 mL), 10% HCl (6 x 300 mL) and water (300 mL), then dried. Removal of the solvent under vacuum gave a brown solid which was triturated with ethanol to yield trifluoroacetyltetrahydroisoquinoline 2d as a pale yellow solid (17.3 g, 63.9%); m.p. 157-158 °C; UV (MeOH) λmax nm (log ε): 208 (4.75), 232sh (4.12), 287 (3.65); IR νmax (film): 3033, 2919, 2849, 1689, 1609, 1509, 1456, 1440, 1381, 1258, 1197, 1165, 1141, 1116, 1027, 912 cm-1; Anal. Calc. for C34H31NO5BrF3: C 60.90, H 4.66, N 2.09%. Found: C 60.72, H 4.81, N 2.25%. 1H-NMR: δ 7.45-7.30 (10H, m, Ph-H); 7.01 (1H, s, Ar-H); 6.61 (1H, s, Ar-H); 6.60 (1H, s, Ar-H); 6.45 (1H, s, Ar-H); 5.65-5.57 (1H, m, H-1); 5.00 (2H, s, CH2Ph); 4.98 (2H, s, CH2Ph); 4.02-3.91 (1H, m, H-3α); 3.88 (3H, s, OCH3); 3.85 (3H, s, OCH3); 3.64-3.53 (1H, m, H-3β); 3.28-2.68 (4H, m, 2 x CH2); 13C-NMR: δ (both conformers) 155.8 (C), 149.3 (C), 148.9 (C), 147.4 (C), 146.8 (C), 136.9(C), 136.7 (C), 128.7 (CH), 128.6 (CH), 128.3 (C), 128.1 (CH), 128.0 (CH), 127.4 (CH), 127.3 (CH), 127.2 (CH), 126.4 (C), 125.5 (C), 118.4 (C), 116.7 (CH), 116.5 (CH), 116.0 (C), 115.8 (CH), 114.6 (C), 112.9 (CH), 112.7 (CH), 111.8 (CH), 111.4 (CH), 71.4 (CH2), 71.3 (CH2), 71.2 (CH2), 56.6 (OCH3), 56.2 (OCH3), 56.1 (OCH3), 56.0 (OCH3), 54.1 (CH), 42.3 (CH2), 41.8 (CH2), 40.8 (CH2), 40.2 (CH2), 40.1 (CH2), 37.5 (CH2), 28.7 (CH2), 27.2 (CH2).
9-Benzyloxy-2,10-dimethoxy-1-hydroxy-6-trifluoroacetylnoraporphine (7a). A solution of azobis(isobutyronitrile) (3.7 g, 0.02 mol) and tributyltin hydride (25.2 g, 0.09 mol) in toluene (160 mL) was added dropwise in four equal portions over 3 h to a refluxing solution of trifluoroacetyltetrahydroisoquinoline 2d (16.0 g, 0.02 mol) in toluene (250 mL) and the resulting mixture was then refluxed for another 24 h. The solvent was then removed under vacuum and the residue was dissolved in acetonitrile (200 mL) and washed with hexane (3 x 200 mL), then dried. Removal of the solvent gave a brown solid which was triturated with ethanol to give crude noraporphine 7a (6.92 g), which was separated on a silica gel column using benzene-chloroform as eluent. The earlier fractions gave the hydrogenolysis product 2e as a white solid (4.1 g, 29.1%); m.p. 85-86 °C; 1H-NMR: δ 7.48-7.25 (10H, m, Ph-H of both conformers); 6.79 and 6.74 (total 1H, 2 d, J = 8.6 and 8.2 Hz, Ar-H of both conformers); 6.61-6.55 (total 2H, m, Ar-H of both conformers); 6.53-6.46 (total 1H, m, Ar-H of both conformers); 6.27 and 6.25 (total 1H, 2 s, Ar-H of both conformers); 5.44 (1H, apparent t, J = 6.2 Hz, H-6a of both conformers); 5.17, 4.90 (total 2H, 2 AB q, J = 12.2 and 12.4 Hz, CH2Ph of both conformers); 5.08, 4.98 (total 2H, 2 s, CH2Ph of both conformers); 3.93, 3.90, 3.84 and 3.82 (total 6H, 4 s, 2 x OCH3 of both conformers); 3.33-3.20 (1H, m, CH2 of both conformers); 3.00-2.50 (5H, m, CH2 of both conformers); 13C-NMR: δ (both conformers) 155.8 (C), 148.9 (C), 148.7 (C), 148.0 (C), 146.5 (C), 137.0 (C), 136.9 (C), 129.3 (C), 128.6 (CH), 128.5 (CH), 127.9 (CH), 127.8 (CH), 127.4 (CH), 127.2 (CH), 126.4 (C), 125.7 (C), 122.6 (CH), 118.5 (C), 115.4 (CH), 113.1 (CH), 111.6 (CH), 111.5 (CH), 70.9 (CH2), 70.9 (CH2), 56.3 (OCH3), 56.2 (OCH3), 56.0 (OCH3), 55.2 (CH), 41.0 (CH2), 40.6 (CH2), 28.5 (CH2). The later fractions gave pure noraporphine 7a as a yellow-white solid (2.7 g, 22.7%); m.p. 232-234 °C; UV (MeOH) λmax nm (log ε): 213 (4.57), 272sh (3.99), 281 (4.08), 306 (4.12); IR νmax (film): 3373, 2920, 2850, 1682, 1605, 1513, 1463, 1401, 1383, 1371, 1337, 1310, 1281, 1255, 1202, 1169, 1139, 1099, 1049, 1025, 928 cm-1; Anal. Calc. for C27H24NO5F3: C 64.93, H 4.84, N 2.80%. Found: C 65.09, H 4.68, N 2.65%. 1H-NMR: δ 8.14 (1H, s, H-11), 7.60-7.30 (5H, m, Ph-H); 6.80 (1H, s, H-8), 6.57 (1H, s, H-3), 6.23 (1H, s, OH), 5.18 (2H, AB q, J = 12.3 Hz, CH2Ph), 5.09-5.00 (1H, m, H-6a), 4.25-4.14 (1H, m, H-5α), 3.94 (3H, s, OCH3), 3.93 (3H, s, OCH3), 3.38-3.26 (1H, m, H-5β), 3.04-2.66 (4H, m, 2 x CH2); 13C-NMR: δ 155.9 (C), 148.0 (C), 147.5 (C), 146.0 (C), 141.6 (C), 137.1 (C), 128.6 (CH), 128.3 (C), 127.9 (CH), 127.3 (CH), 124.6 (C), 124.1 (C), 123.7 (C), 120.2 (C), 118.3 (C), 113.8 (CH), 113.1 (CH), 108.7 (CH), 70.9 (CH2), 56.3 (OCH3), 56.2 (OCH3), 52.6 (CH), 41.4 (CH2), 32.9 (CH2), 30.2 (CH2).
9-Benzyloxy-2,10-dimethoxy-1-hydroxynoraporphine (7b). A mixture of the noraporphine 7a (1.6 g, 3.21 mmol), potassium carbonate (3.0 g), methanol (150 mL) and water (9 mL) was refluxed for 4 h. The solvent was then removed under vacuum and 5% sodium bicarbonate (100 mL) was added to the residue, which was extracted with chloroform (3 x 30 mL), then dried over anhydrous sodium sulfate. Removal of the solvent gave a dark-brown solid which was triturated with ethanol to give noraporphine 7b as a brown solid (996.7 mg, 77.3%); m.p. 197-198 °C; UV (MeOH) λmax nm (log ε): 217 (4.62), 270sh (4.12), 280 (4.22), 305 (4.23); IR νmax (film): 3583, 3292, 2919, 2849, 1603, 1509, 1463, 1455, 1398, 1373, 1284, 1252, 1213, 1124, 1102, 1038, 1025, 992 cm-1; MS (EI) m/z (%): 403 (M+, 32), 312 (100), 91 (7); Anal. Calc. for C25H25NO4: C 74.42, H 6.24, N 3.47%. Found: C 74.26, H 6.38, N 3.66%. 1H-NMR: δ 8.09 (1H, s, H-11); 7.50-7.28 (5H, m, Ph-H); 6.76 (1H, s, H-8); 6.54 (1H, s, H-3); 5.17 (2H, s, CH2Ph); 3.91 (3H, s, OCH3); 3.89 (3H, s, OCH3); 3.40-3.31 (1H, m, H-5α); 3.05-2.58 (6H, m, H-5β, CH, 2 x CH2); 13C-NMR: δ 147.9 (C), 146.9 (C), 145.9 (C), 140.8 (C), 137.3 (C), 128.7 (C), 128.5 (CH), 128.4 (C), 127.8 (CH), 127.3 (CH), 125.5 (C), 124.1 (C), 119.1 (C), 113.6 (CH), 113.0 (CH), 109.4 (CH), 71.0 (CH2), 56.2 (OCH3), 56.1 (OCH3), 53.8 (CH), 43.3 (CH2), 36.9 (CH2), 29.0 (CH2).
9-Benzyloxy-2,10-dimethoxy-1-hydroxy-6-palmitoylnoraporphine (7c). A solution of palmitoyl chloride (389.0 mg, 1.42 mmol) in chloroform (80 mL) was added to a stirred mixture of noraporphine 7b (400.0 mg, 0.99 mmol) in chloroform (80 mL) and 10% sodium bicarbonate (120 mL). Stirring was continued overnight. The chloroform layer was separated, then dried. Removal of the solvent gave a brown solid which was recrystallized with ethanol to give palmitoylnoraporphine 7c as a yellow-white solid (530.0 mg, 83.3%); m.p. 85-86°C; UV (MeOH) λmax nm (log ε): 218 (4.45), 273sh (3.98), 281(4.04), 306 (4.10), 314sh (4.07); IR νmax (film): 3503, 2923, 2852, 1635, 1605, 1515, 1463, 1456, 1428, 1398, 1338, 1277, 1249, 1215, 1192, 1165, 1123, 1098, 1027 cm-1; MS (EI) m/z (%): 641(M+, 63), 550(10), 386(100), 295(79), 91 (15); Anal. Calc. for C41H55NO5: C 76.72, H 8.64, N 2.18%. Found: C 76.62, H 8.80, N 2.35%. 1H-NMR: δ (both conformers) 8.15, 8.13 (total 1H, 2 s, H-11); 7.50-7.28 (total 5H, m, Ph-H); 6.81, 6.79 (total 1H, 2 s, H-8); 6.59, 6.55 (total 1H, 2 s, H-3); 6.23 (1H, br s, OH); 5.26-5.15 (total 2H, m, CH2Ph); 5.13, 4.60 (total 1H, 2 br d, J = 3.8 and 13.2 Hz, H-6a); 4.94, 4.01 (total 1H, 2 br d, J = 8.1 and 10.1 Hz, H-5); 3.92 (3H, s, OCH3); 3.89 (3H, s, OCH3); 3.21 and 2.78-2.68 (total 1H, br t, J = 12.1 Hz, and m, H-5); 3.03-2.87 and 2.74-2.54 (total 2H, m, CH2-7); 2.97-2.59 (total 2H, m, CH2-4); 2.43-2.31 ( total 2H, m, CH2-2′); 1.75-1.55 (2H, m, CH2-3′); 1.45-1.15 (24H, m, aliphatic CH2); 0.88 (3H, t, J = 6.6 Hz, terminal CH3); 13C-NMR: δ (both conformers) 172.6 (C), 172.0 (C), 148.2 (C), 147.7 (C), 147.3 (C), 145.9 (C), 145.7 (C), 141.4 (C), 141.3 (C), 137.2 (C), 137.0 (C), 129.5 (C), 128.5 (CH), 127.8 (CH), 127.3 (CH), 126.1 (C), 125.6 (C), 125.1 (C), 124.8 (C), 124.2 (C), 120.4 (C), 119.9 (C), 113.8 (CH), 113.3 (CH), 113.1 (CH), 109.1 (CH), 108.7 (CH), 71.1 (CH2), 70.8 (CH2), 56.3 (OCH3), 56.2 (OCH3), 53.4 (CH), 50.9 (OCH3), 41.4 (CH2), 36.8 (CH2), 36.2 (CH2), 34.5 (CH2), 34.0 (CH2), 33.4 (CH2), 31.9 (CH2), 30.7 (CH2), 29.7 (CH2), 29.5 (CH2), 29.4 (CH2), 29.3 (CH2), 29.2 (CH2), 25.6 (CH2), 25.3 (CH2), 24.9 (CH2), 22.7 (CH2), 14.1 (CH3).
9-Benzyloxy-2,10-dimethoxy-1-hydroxy-6-stearoylnoraporphine (7d). In a similar manner, stearoylnoraporphine 7d was obtained in 88.4% yield as a yellow-white solid from ethanol; m.p. 83-84 °C; UV (MeOH) λmax nm (log ε): 218 (4.37), 272sh (3.69), 281 (3.79), 305 (3.87), 314sh (3.82); IR νmax (film): 3393, 2923, 2852, 1641, 1603, 1513, 1464, 1428, 1399, 1337, 1255, 1214, 1115, 1100, 1026 cm-1; MS (EI) m/z (%): 669 (M+, 6), 578 (1), 386 (10), 296 (100), 91 (3); Anal. Calc. for C43H59NO5: C 77.09, H 8.88, N 2.09%. Found: C 77.26, H 8.65, N 2.23%. 1H-NMR: δ (both conformers) 8.15, 8.13 (total 1H, 2 s, H-11); 7.50- 7.28 (total 5H, m, Ph-H); 6.82, 6.79 (total 1H, 2 s, H-8); 6.60, 6.56 (total 1H, 2 s, H-3); 6.19 (1H, br s, OH); 5.20-5.11 (total 2H, m, CH2Ph); 5.10, 4.60 (total 1H, 2 br d, J = 9.7 and 12.6 Hz, H-6a); 4.95, 4.03 (total 1H, 2 br d, J = 7.7 and 13.6 Hz, H-5); 3.92 (3H, s, OCH3); 3.89 (3H, s, OCH3); 3.22 and 2.76-2.68 (total 1H, br t, J = 12.1 Hz and m, H-5); 3.07-2.89 and 2.71-2.55 (total 2H, m, CH2-7); 2.90-2.55 (total 2H, m, CH2-4); 2.43-2.33 (total 2H, m, CH2-2′); 1.75-1.55 (2H, m, CH2-3′); 1.40-1.15 (28H, m, aliphatic CH2); 0.88(3H, t, J = 6.7 Hz, terminal CH3); 13C-NMR: δ (both conformers) 172.5 (C), 171.9 (C), 148.3 (C), 147.8 (C), 147.3 (C), 145.9 (C), 145.7 (C), 141.4 (C), 137.2 (C), 137.1 (C), 129.5 (C), 128.5 (CH), 127.8 (CH), 127.3 (CH), 126.2 (C), 125.6 (C), 125.2 (C), 124.8 (C), 124.2 (C), 120.4 (C), 120.0 (C), 113.8 (CH), 113.3 (CH), 113.1 (CH), 109.1 (CH), 108.7 (CH), 71.1 (CH2), 70.9 (CH2), 56.3 (OCH3), 56.2 (OCH3), 53.4 (CH), 50.9 (CH), 41.4 (CH2), 36.8 (CH2), 36.3 (CH2), 34.5 (CH2), 33.4 (CH2), 31.9 (CH2), 30.7 (CH2), 29.7 (CH2), 29.5 (CH2), 29.4 (CH2), 25.6 (CH2), 25.3 (CH2), 22.7 (CH2), 14.1 (CH3).
(±)-Laurelliptinhexadecan-1-one (1a). A solution of noraporphine 7c (300.5 mg, 0.47 mmol) in ethanol (70 mL), was hydrogenolysed over Pd/C (31.1 mg) at atmospheric pressure for 48 h. The catalyst was filtered off and the solvent removed under vacuum. The resulting white residue was recrystallized from ethanol to give (±)-laurelliptinhexadecan-1-one (1a) as a gray-white solid (182.0 mg, 70.5%); m.p. 147-148 °C; UV (MeOH) λmax nm (log ε): 221 (4.57), 272sh (4.13), 282 (4.20), 305 (4.27), 315sh (4.24); IR νmax (film): 3370, 2923, 2852, 1622, 1602, 1513, 1464, 1431, 1413, 1366, 1330, 1279, 1246, 1193, 1122, 1096, 1035, 960 cm-1; MS (EI) m/z (%): 551 (M+, 26), 296 (100); Anal. Calc. for C34H49NO5: C 74.01, H 8.95, N 2.54%. Found: C 74.19, H 9.07, N 2.68%. 1H-NMR and 13C-NMR see Table 1 and Table 2.
(±)-Laurelliptinoctadecan-1-one (1b). In a similar manner, (±)-laurelliptinoctadecan-1-one (1b) was obtained in 79.2% yield as a gray-white solid from ethanol; m.p. 146-147 °C; UV (MeOH) λmax nm (log ε): 221 (4.61), 271sh (4.11), 282 (4.20), 305 (4.28), 313sh (4.25); IR νmax (film): 3383, 2923, 2852, 1625, 1600, 1509, 1463, 1413, 1366, 1330, 1279, 1246, 1193, 1122, 1096, 1034, 960 cm-1; MS (EI) m/z (%): 579 (M+, 17), 296 (100); Anal. Calc. for C36H53NO5: C 74.57, H 9.21, N 2.42%. Found: C 74.7, H 9.12, N 2.36%.1H-NMR and 13C-NMR see Table 3 and Table 4.

Minimum inhibitory concentration (MIC)

The MICs of (±)-laurelliptinhexadecan-1-one and (±)-laurelliptinoctadecan-1-one were determined by the NCCLS microbroth dilution method [8]. (±)-Laurelliptinhexadecan-1-one and (±)-laurelliptinoctadecan-1-one were weighed and dissolved in DMSO to make a solution of concentration 2.56 mg/mL. From this stock solution two-fold serial dilution was carried out with culture medium in 96-well microplates (100 μl of total volume) to give a series of solutions ranging from 256 μg/mL to 0.50 μg/mL. Three different microorganisms were selected viz. Staphytolcoccus aureus ATCC25932, Escherichia coli ATCC10536 and Candida albicans ATCC90028. They were subcultured on nutrient broth supplemented with 10% glucose (NBG) (for bacteria) or Sabouraud glucose broth (for yeast) and incubated at 37 oC for 24 h. A final concentration of 1 x 105 cfu/mL of test bacteria or yeast was added to each dilution. The plates were incubated at 37 oC for 48 h. MIC was defined as the lowest concentration of test agent that inhibited bacterial or yeast growth, as indicated by the absence of turbidity. Test agent-free broth containing 5% DMSO was incubated as growth control.

References

  1. Shulgin, A. T.; Perry, W. E. The Simple Plant Isoquinolines; Transform Press: Berkeley, CA, USA, 2002. [Google Scholar]
  2. Chang, F-R.; Wu, Y-C. New bisbenzylisoquinolines, fatty acid amidic aporphines, and a protoberberine from Formosan Cocculus orbiculatus. J. Nat. Prod. 2005, 68, 1056–1060. [Google Scholar] [CrossRef]
  3. Estevez, J. C.; Villaverde, M. C.; Estevez, R J.; Castedo, L. Radical cyclization to aporphines. A new, efficient total synthesis of the aporphine glaucine and the 4,5-dioxoaporphine pontevedrine, and the first total synthesis of 5-oxoaporphines. Tetrahedron 1994, 50, 2107–2114. [Google Scholar]
  4. Nimgirawath, S.; Podoy, P. Synthesis of (±)-cathaformine. Aust. J. Chem. 2000, 53, 527–529. [Google Scholar] [CrossRef]
  5. Jackson, A. H.; Martin, J. A. The synthesis of isoboldine and glaucine. J. Chem. Soc. C. 1966, 2061–2069. [Google Scholar] [CrossRef]
  6. Vincze, Z.; Biro, A. B.; Csekei, M.; Timari, G.; Kotschy, A. The palladium-catalyzed preparation of condensed tetracyclic heterocycles and their application to the synthesis of rac-mangochinine. Synthesis 2006, 8, 1375–1385. [Google Scholar]
  7. Kametani, T.; Ihara, M. An alternative total synthesis of (±)-scoulerine and (±)-tetrahydropalmatine. J. Chem. Soc. C. 1967, 530–532. [Google Scholar] [CrossRef]
  8. National Committee for Clinical Laboratory Standards. Reference method for broth dilution antifungal susceptibility testing of yeasts. Approved standard M27-A; National Committee for Clinical Laboratory Standards: Wayne, PA, USA, 1997. [Google Scholar]
  • Sample Availability: All products reported in this paper are available from the authors.

Share and Cite

MDPI and ACS Style

Nimgirawath, S.; Udomputtimekakul, P.; Pongphuttichai, S.; Wanbanjob, A.; Taechowisan, T. Total Synthesis and Antimicrobial Activity of (±)-Laurelliptinhexadecan-1-one and (±)-Laurelliptinoctadecan-1-one. Molecules 2008, 13, 2935-2947. https://doi.org/10.3390/molecules13122935

AMA Style

Nimgirawath S, Udomputtimekakul P, Pongphuttichai S, Wanbanjob A, Taechowisan T. Total Synthesis and Antimicrobial Activity of (±)-Laurelliptinhexadecan-1-one and (±)-Laurelliptinoctadecan-1-one. Molecules. 2008; 13(12):2935-2947. https://doi.org/10.3390/molecules13122935

Chicago/Turabian Style

Nimgirawath, Surachai, Phansuang Udomputtimekakul, Samathi Pongphuttichai, Asawin Wanbanjob, and Thongchai Taechowisan. 2008. "Total Synthesis and Antimicrobial Activity of (±)-Laurelliptinhexadecan-1-one and (±)-Laurelliptinoctadecan-1-one" Molecules 13, no. 12: 2935-2947. https://doi.org/10.3390/molecules13122935

APA Style

Nimgirawath, S., Udomputtimekakul, P., Pongphuttichai, S., Wanbanjob, A., & Taechowisan, T. (2008). Total Synthesis and Antimicrobial Activity of (±)-Laurelliptinhexadecan-1-one and (±)-Laurelliptinoctadecan-1-one. Molecules, 13(12), 2935-2947. https://doi.org/10.3390/molecules13122935

Article Metrics

Back to TopTop