Next Article in Journal
Polyanionic Drugs and Viral Oncogenesis: a Novel Approach to Control Infection, Tumor-associated Inflammation and Angiogenesis
Previous Article in Journal
Synthesis, Characterization and Antimicrobial Activity of New 1,2,3-Selenadiazoles
 
 
Font Type:
Arial Georgia Verdana
Font Size:
Aa Aa Aa
Line Spacing:
Column Width:
Background:
Article

Synthesis with Nitriles: Synthesis of Some New Mercaptopyridazine, Mercaptopyridazino[1,6-a]quinazoline and Thiophene Derivatives

by
Mariam A. Al-Sheikh
Chemistry, Girls College of Education, Jeddah, P. O. Box 138016, Jeddah 21323, Kingdom of Saudi Arabia
Molecules 2008, 13(11), 2750-2757; https://doi.org/10.3390/molecules13112750
Submission received: 17 July 2008 / Revised: 20 October 2008 / Accepted: 28 October 2008 / Published: 4 November 2008

Abstract

:
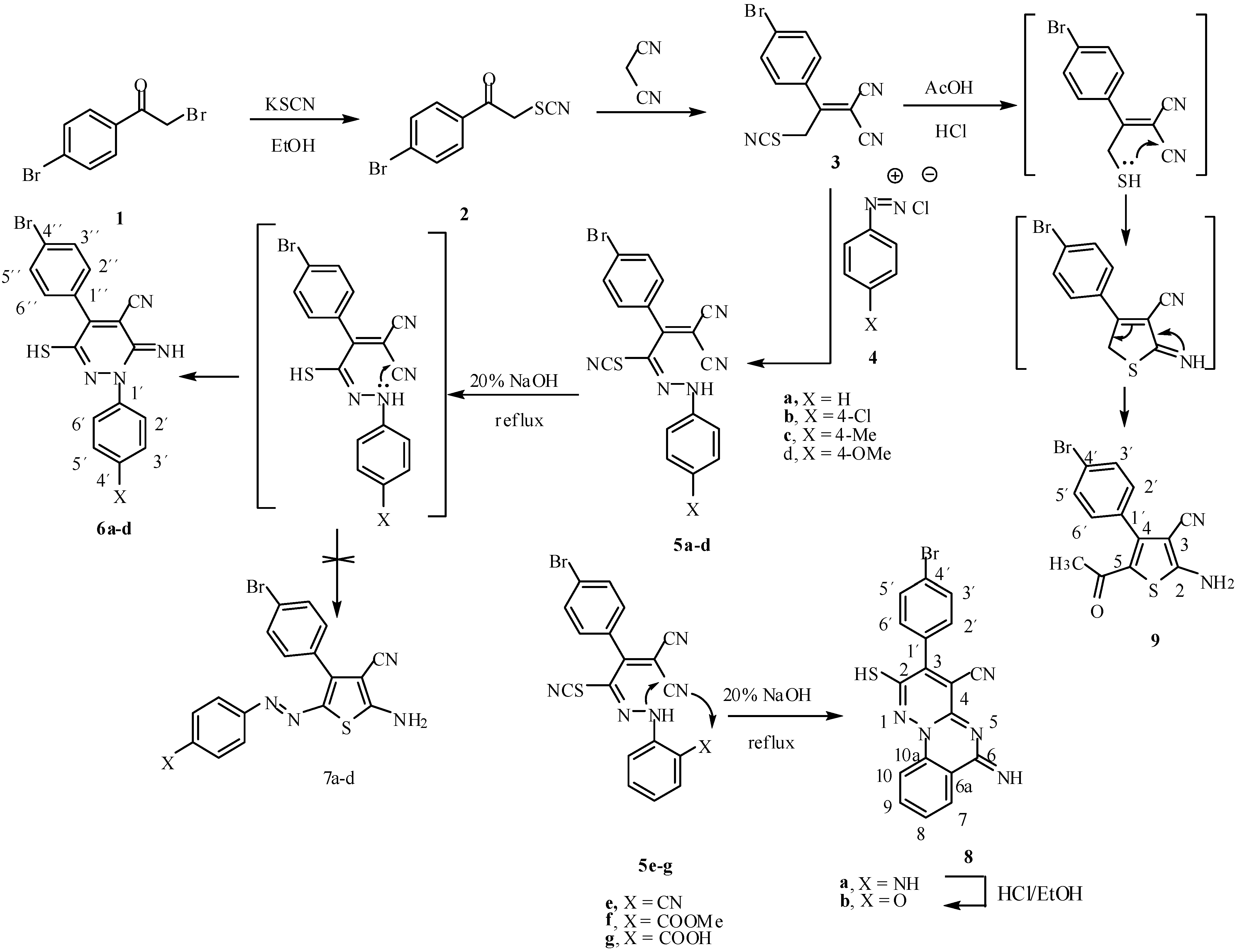
2-(1-(4-Bromophenyl)-2-thiocyanatoethylidene)malononitrile (3) undergoes azo coupling with diazotized aromatic amines to afford arylhydrazone derivatives, which are readily cyclized to afford the corresponding 3(2H)-pyridazinimine derivatives upon reflux in aqueous NaOH. Under similar condition an o-cyanoarylhydrazone derivative was cyclized into 6H-pyridazino[1,6-a]quinazolin-6-imine, which in turn was easily transformed into 6H-pyridazino[1,6-a]quinazolin-6-one on reflux in ethanolic/HCl. Compound 3 afforded substituted 5-acetylthiophene derivatives upon reflux in AcOH/HCl mixtures.

Graphical Abstract

Introduction

During the past few decades there has been increasing interest in the synthesis and properties of pyridazines, pyridazinones and pyridopyridazinones. Pyridazines and pyridazino[1,6-a]quinazolines show diuretic [1], antihyprertensive [2,3], anticonvulsant, antispasmodic and muscle relaxant activities [3,4]. They inhibit blood platelet aggregation [5] and are active in the treatment of diabetic complications [6]. In addition, these compounds have been tested as cardiac [7] and tuberculostatic agents, as fungicides [4] and as herbicides [8]. Their use as antiasthmatics, analgesics and inflammation inhibitors has also claimed [9]. Recently, the pyridazinone nucleus has been extensively studied in a variety of medicinal agents [10], particularly as an important pharmacophore in the search for drugs acting on the cardiovascular system [11].
Continuing our interest in synthesis of pyridazines [12,13,14], some new functionally substituted pyridazine and pyridazinoquinazoline derivatives were required. 2-(1-(4-Bromophenyl)-2-thiocyanato-ethylidene)malononitrile (3) seemed a good candidate to fulfil this objective via its coupling with the diazotized aromatic amines 4a-d to afford the arylhydrazone derivatives 5a-d, followed by cyclization to the pyridazines 6a-d (Scheme 1), by analogy with previously reported work on related systems [15,16].

Results and Discussion

It has been found that reaction of compound 1 with potassium thiocyanate in ethanol produced the thiocyanate derivative 2 in 80% yield. Compound 2 condensed with malononitrile in ethanol in the presence of piperidine to afford the Knoevenagel condensation product 3 in 74 % yield. Compound 3 undergoes azo coupling reaction with diazotized aromatic amines to afford the arylhydrazone derivatives 5a-g. Analytical and spectral data of these new arylhydrazone compounds were in complete agreement with the proposed structures. It had been previously reported [17] that similar systems could be cyclized in acidic media, however, in our hands prolonged reflux under such acidic conditions did not produce the desired pyridazine derivatives 6a-d, and we were only able to effect the cyclization of these arylhydrazone derivatives by refluxing in 20% ethanolic sodium hydroxide solution, although the SCN group was simultaneously hydrolysed to a SH group. Thus, compounds 5a-d were cyclized to give the corresponding 3(2H)-pyridazinimine derivatives 6a-d, respectively (Scheme 1). This cyclization is assumed to proceed via the hydrazonothiol intermediate, and the other possibility of cyclization to give the thiophene derivatives 7a-d was readily ruled out on the basis of the 1H-NMR spectra of the products, which revealed the SH and NH signals at δ = 6.81 and 8.27 ppm, respectively, besides the aromatic protons at 7.52 ppm. In the case of compound 6d, the 13C-NMR and mass spectra were also in agreement with the proposed structure.
The arylhydrazone derivatives 5e underwent a cyclization reaction under conditions similar to those used for compounds 5a-d to afford the 2-mercapto-6H-pyridazino[1,6-a]quinazolin-6-imine derivative 8a, which was assumed to result from a double internal Michael addition of the NH to the neighboring CN group. The IR spectrum of 8a showed a broad NH absorption band at 3435, 3324 and a CN absorption band at 2224 cm-1. Its 1H-NMR spectrum revealed two singlets at 6.88 and 8.31 ppm, which were attributed to the SH and NH protons, respectively. The aromatic protons appeared at 7.72 ppm. The elemental analysis of 8a was in good agreement with the proposed structure.
Compounds 5f and 5g underwent a similar cyclization under the same conditions to produce the 2-mercapto-6H-pyridazino[1,6-a]quinazolin-6-one derivative 8b, apparently via loss of water or methanol, respectively. The IR spectrum of 8b showed absorption bands at 2214 and 1674 cm-1 corresponding to CN and C=O groups, respectively. The 1H-NMR spectrum of 8b revealed only one proton singlet at 6.80 ppm, which was attributed to the SH group, in addition to the aromatic protons at 8.23 ppm. Compound 8b could be obtained quantitatively from 8a upon refluxing the latter in ethanolic hydrochloric acid solution. The two products were matched by mixed m.p. and TLC analysis.
Scheme 1. Reactivity of 2-(1-(4-bromophenyl)-2- thiocyanatoethylidene)malononitrile (3).
Scheme 1. Reactivity of 2-(1-(4-bromophenyl)-2- thiocyanatoethylidene)malononitrile (3).
Molecules 13 02750 g001
On the other hand, thiophene derivative 9 could be obtained in quantitative yield from compound 3 by refluxing in AcOH/HCl mixture for 3 h. The IR spectrum of 9 showed absorption bands at 3402, 2221, 1680 cm-1, corresponding to NH2, CN and C=O groups, respectively. The 1H-NMR spectrum of 9 revealed a singlet at 1.65 ppm (3H) and a singlet at 6.67 ppm (2H), which were attributed to the CH3 and NH2 groups, respectively, in addition to the four aromatic protons at 7.2 ppm. In the 13C-NMR of compound 9, 11 signals was found; the ones at 28.5, 114.4 and 186.1 ppm were attributed to the CH3, CN and CO groups, respectively. A similar result was previously reported [18]. From these data the reaction product could be formulated as the 5-acetyl-2-aminothiophene-3-carbonitrile derivative 9. The elemental analysis of 9 was in good agreement with the proposed structure (Scheme 1).

Conclusions

Pyridazinimine derivatives 6, pyridazino[1,6-a]quinazoline 8 and 5-acetylthiophene derivative 9 have been synthesized in good yield via 2-thiocyanatoethylidene malononitrile (3).

Experimental

General

Melting points were measured on a Gallenkamp Electrothermal melting point apparatus and are uncorrected. IR spectra (KBr pellets) were recorded on a Pye Unicam SP 3-300 Spectrophotometer. NMR spectra were recorded in DMSO-d6 on Varian Gemini 200/300 MHz NMR spectrometers using tetramethylsilane (TMS) as an internal reference. Mass spectra were registered on a Shimadzu GCMS-QP 1000 Ex mass spectrometer at 70 eV. Elemental analyses were carried out at the Microanalytical Center of Cairo University.

1-(4-Bromophenyl)-2-thiocyanatoethanone (2)

To a solution of 1 (10 mmol) in EtOH (60 mL) was added KSCN (10 mmol). The reaction mixture was refluxed for 1.5 h. The mixture was then poured on ice-cold water, the solid collected by filtration and recrystallized from EtOH to give yellow crystals, 80% yield, mp. 148-149oC; IR (cm-1): 2175 (SCN), 1680 (CO); 1H-NMR δ: 5.07 (s, 2H, CH2), 7.77 (d, 2H, J = 8 Hz, Ar-H-3´,5´), 7.94 (d, 2H, J = 8 Hz, Ar-H-2´,6´); 13C-NMR δ: 41.56 (CH2), 112.75 (SCN), 128.51 (C-4´), 130.54 (C-2´, 6´), 132.03 (C-3´, 5´), 133.35 (C-1´), 190.67 (C-1); MS: 256 (M+79Br, 14%); 258 (M++2 81Br, 13%); Anal. Calcd. for C9H6BrNOS (256.12): C, 42.21; H, 2.36; N, 5.47. Found: C, 42.51; H, 2.65; N, 5.70.

2-(1-(4-Bromophenyl)-2-thiocyanatoethylidene)malononitrile (3)

A mixture of 2 (10 mmol) and malononitrile (10 mmol) was refluxed in EtOH (30 mL) in the presence of piperidine (2 mL) for 3 h, then left to cool at room temperature and the solid product was collected by filtration, washed with EtOH and recrystallized from EtOH to give green crystals, 74 % yield, mp. 258-260oC; IR (cm-1): 2210 (CN), 2175 (SCN); 1H-NMR δ: 5.41 (s, 2H, CH2), 7.64-7.72 (m, 4H, Ar-H); MS: 304 (M+79Br, 56%); 306 (M+ +2 81Br, 53%); Anal. Calcd. for C12H6BrN3S (304.17): C, 47.38; H, 1.99; N, 13.81. Found: C, 47.67; H, 2.31; N, 14.15.

General procedure for preparation of arylhydrazone derivatives 5a-g

To a stirred cold solution of 3 (10 mmol) and sodium acetate (10 g) in EtOH (50 mL) or pyridine (25 mL) was added dropwise over about 30 minutes a cold solution of a diazotized amine (aniline, 4-chloro-, 4-methyl-, 4-methoxyaniline, anthranilic acid, methyl anthranilate or anthranilonitrile, 10 mmol). The stirring was continued for 1h more. The coloured solids were collected by filtration, washed with cold water, and recrystallized from EtOH or 1:1 EtOH/DMF to afford 5a-g, respectively.
2-[1-(4-Bromophenyl)-2-(phenylhydrazono)-2-thiocyanatoethylidene] malononitrile (5a): Brown crystals (78%); mp. 204-206oC; IR (cm-1): 44308, 3310 (NH), 2214 (CN), 2178 (SCN); 1H-NMR δ: 7.34-7.60 (m, 5H, Ar-H), 7.82 (d, 2H, J = 8Hz, Ar-H), 7.95 (d, 2H, J = 8 Hz, Ar-H), 9.90 (s, 1H, NH).; MS: 408 (M+, 79Br, 38%); 410 (M++2, 81Br, 35%); Anal. Calcd. for C18H10BrN5S (408.28): C, 52.95; H, 2.47; N, 17.15. Found: C, 53.23; H, 2.71; N, 16.98.
2-[1-(4-Bromophenyl)-2-[(4-chlorophenyl)hydrazono]-2-thiocyanatoethylidene] malononitrile (5b): Yellow solid (81%); mp. 210-212oC; IR (cm-1): 4388, 3330 (NH), 2218 (CN), 2175 (SCN); 1H-NMR δ: 7.27-7.31 (m, 4H, Ar-H), 7.39-7.43 (m, 4H, Ar-H), 9.95 (bs, 1H, NH); Anal. Calcd. for C18H9BrClN5S (442.72): C, 48.83; H, 2.05; N, 15.82. Found: C, 49.12; H, 2.11; N, 16.17.
2-[1-(4-Bromophenyl)-2-thiocyanato-2-(p-tolylhydrazono)ethylidene] malononitrile (5c): Yellow solid (74%); mp. 218-219oC; IR (cm-1): 4395, 3318 (NH), 2221 (CN), 2177 (SCN); 1H-NMR δ: 2.27 (s, 3H, CH3), 7.10 (d, 2H, J = 9Hz, Ar-H), 7.47 (d, 2H, J = 9 Hz, Ar-H), 7.64 (d, 2H, J = 8 Hz, Ar-H), 7.92 (d, 2H, J = 8 Hz, Ar-H), 9.65 (s, 1H, NH); Anal. Calcd. for C19H12BrN5S (422.30): C, 54.04; H, 2.86; N, 16.58. Found: C, 54.34; H, 3.12; N, 16.44.
2-[1-(4-Bromophenyl)-2-[(4-methoxyphenyl)hydrazono]-2-thiocyanatoethylidene] malononitrile (5d): Yellow solid (74%); mp. 214-216oC; IR (cm-1): 4395, 3325 (NH), 2224 (CN), 2174 (SCN); 1H-NMR δ: 3.81 (s, 3H, OCH3), 7.02 (d, 2H, J = 9 Hz, Ar-H), 7.44 (d, 2H, J = 9 Hz, Ar-H), 7.49 (d, 2H, J = 8 Hz, Ar-H), 7.91 (d, 2H, J = 8 Hz, Ar-H), 11.05 (s, 1H, NH); Anal. Calcd. for C19H12BrN5OS (438.30): C, 52.07; H, 2.76; N, 15.98. Found: C, 52.37; H, 3.03; N, 16.24.
2-[1-(4-Bromophenyl)-2-[(2-cyanophenyl)hydrazono]-2-thiocyanatoethylidene] malononitrile (5e): Yellow solid (71%); mp. 205-207oC; IR (cm-1): 4385, 3330 (NH), 2220, 2212 (CN), 2177 (SCN); 1H-NMR δ: 7.49-7.65 (m, 4H, Ar-H), 7.74-8.30 (m, 4H, Ar-H), 10.95 (s, 1H, NH); Anal. Calcd. for C19H9BrN6S (433.29): C, 52.67; H, 2.09; N, 19.40. Found: C, 52.39; H, 2.33; N, 19.24.
2-[N'-[2-(4-Bromophenyl)-3,3-dicyano-1-thiocyanatoethylidene] hydrazono]benzoic acid methyl ester (5f): Yellow solid (77%); mp. 199-201oC; IR (cm-1): 3439, 3310 (NH), 2210 (CN), 2175 (SCN), 1668 (CO) cm-1; 1H-NMR δ: 2.62 (s, 3H, CH3), 7.27-7.49 (m, 4H, Ar-H), 7.65-8.30 (m, 4H, Ar-H), 11.10 (s, 1H, NH). MS: 465 (M+-1,79Br, 31%); 467 (M++1, 81Br, 32%); Anal. Calcd. for C20H12BrN5O2S (466.31): C, 51.51; H, 2.59; N, 15.02. Found: C, 51.72; H, 2.71; N, 15.30.
2-[ N'-[2-(4-bromophenyl)-3,3-dicyano-1-thiocyanatoallylidene]hydrazino)benzoic acid (5g): Yellow solid (70%); mp. 225-227oC; IR (cm-1): 3414, 3335 (NH), 2214 (CN), 2178 (SCN), 1685 (CO); 1H-NMR δ: 7.09-7.49 (m, 4H, Ar-H), 7.65-7.98 (m, 4H, Ar-H), 10.66 (s, 1H, NH), 14.03 (s, 1H, COOH); Anal. Calcd. for C19H10BrN5O2S (452.29): C, 50.46; H, 2.23; N, 15.48. Found: C, 50.81; H, 2.11; N, 15.61.

General procedure for preparation of compounds 6a-d and 8a,b

To a solution of each of 5a-g (10 mmol) in EtOH (25 mL) was added 20% aqueous NaOH solution (10 mL). The reaction mixture was refluxed for 2 h, then left to cool. The precipitated solid products formed were collected by filtration, washed with cold water, and recyrstallized from EtOH or 1:1 EtOH/DMF to afford 6a-d and 8a, b respectively.
5-(4-Bromophenyl)-3-imino-6-mercapto-2-phenyl-2,3-dihydropyridazine-4-carbonitrile (6a): Brown crystals (70%), mp. 233-235oC; IR (cm-1): 3404, 3318 (NH), 2206 (CN); 1H-NMR δ: 6.09 (s, 1H, SH), 7.14-7.42 (m, 2H, Ar-H), 7.52-7.60 (m, 3H, Ar-H), 7.75 (d, 2H, J = 8 Hz, Ar-H), 8.17 (d, 2H, J = 8 Hz, Ar-H), 8.33 (s, 1H, NH); MS: 383 (M+,79Br, 19%); 385 (M++2, 81Br, 18%); Anal. Calcd. for C17H11BrN4S (383.27): C, 53.27; H, 2.89; N, 14.62. Found: C, 53.33; H, 2.73; N, 14.53.
5-(4-Bromophenyl)-2-(4-chlorophenyl)-3-imino-6-mercapto-2,3-dihydropyridazine-4-carbonitrile (6b): Brown crystals (64%), mp. 263-265oC; IR (cm-1): 3400, 3322 (NH), 2209 (CN); 1H-NMR δ: 6.45 (s, 1H, SH), 7.54 (d, 2H, J = 8 Hz, Ar-H), 7.67 (d, 2H, J = 8 Hz, Ar-H), 7.89-8.10 (m, 4H, Ar-H), 8.29 (s, 1H, NH); Anal. Calcd. for C17H10BrClN4S (417.71): C, 48.88; H, 2.41; N, 13.41. Found: C, 48.69; H, 2.54; N, 13.77.
5-(4-Bromophenyl)-3-imino-6-mercapto-2-p-tolyl-2,3-dihydropyridazine-4-carbonitrile (6c): Brown crystals (64%), mp. 245-247oC; IR (cm-1): 3390, 3332 (NH), 2212 (CN); 1H-NMR δ: 2.34 (s, 3H, CH3), 5.87 (s, 1H, SH), 7.24 (d, 2H, J = 9 Hz, Ar-H), 7.44 (d, 2H, J = 9 Hz, Ar-H), 7.61 (d, 2H, J = 9 Hz, Ar-H), 8.26 (d, 2H, J = 9 Hz, Ar-H), 8.39 (s, 1H, NH); Anal. Calcd. for C18H13BrN4S (397.29): C, 54.42; H, 3.30; N, 14.10. Found: C, 54.75; H, 3.56; N, 14.34.
5-(4-bromophenyl)-3-imino-6-mercapto-2-(4-methoxyphenyl)-2,3dihydropyridazine-4-carbonitrile (6d): Brown crystals (69%), mp. 249-251oC; IR (cm-1): 3395, 3320 (NH), 2208 (CN); 1H-NMR δ: 3.65 (s, 3H, OCH3), 6.80 (s, 1H, SH), 7.26-7.87 (m, 8H, Ar-H), 8.27 (s, 1H, NH); 13C-NMR δ: 55.48 (OCH3), 89.81 (C-4), 112.43 (CN), 114.83 (C-3´5´), 115.93 (C-4´´), 118.59 (C-2´, 6´), 126.20 (C-2´´,6´´), 129.84 (C-3´´,5´´), 132.08 (C-1´´), 141.88 (C-1´), 148.97 (C-6), 155.42 (C-4´), 159.76 (C-5), 161.46 (C-3); Anal. Calcd. for C18H13BrN4OS (413.29): C, 52.31; H, 3.17; N, 13.56. Found: C, 52.45; H, 3.28; N, 13.84.
3-(4-Bromophenyl)-6-imino-2-mercapto-6H-pyridazino[1,6-a]quinazoline-4-carbonitrile (8a): Dark brown solid (59%), mp. 314-316oC; IR (cm-1): 3435 (NH), 2224 (CN); 1H-NMR δ: 6.88 (s, 1H, SH), 7.20 (d, 1H, J = 8 Hz, Ar-H10), 7.55-7.58 (m, 1H, Ar-H8), 7.68 (d, 1H, J = 8 Hz, Ar-H7), 7.77 (d, 2H, J = 9 Hz, Ar-H, 2´, 6´), 7.96-7.99 (m, 1H, Ar-H9), 8.24 (d, 2H, J = 9 Hz, Ar-H, 3´, 5´), 8.31 (s, 1H, NH); 13C-NMR δ: 105.46 (C-4), 116.20 (CN), 121.06 (C-10), 122.08 (C-6a), 125.53 (C-4´), 126.50 (C-7), 126.58 (C-2´, 6´), 128.97 (C-8), 129.98 (C-3´, 5´), 135.64 (C-9), 140.90 (C-1´), 141.22 (C-10a), 150.97 (C-2), 155.80 (C-3), 156.42 (C-4a), 161.95 (C-6); Anal. Calcd. for C18H10BrN5S (408.27): C, 52.95; H, 2.47; N, 17.15. Found: C, 52.79; H, 2.69; N, 17.34.
3-(4-Bromophenyl)-2-mercapto-6-oxo-6H-pyridazino[1,6-a]quinazoline-4-carbonitrile (8b): Violet crystals (77%), mp. 277-279oC; IR (cm-1): 2214 (CN), 1674 (C=O); 1H-NMR δ: 6.80 (s, 1H, SH), 7.61-7.66 (m, 1H, Ar-H10), 7.81-7.87 (m, 1H, Ar-H8), 7.91-7.99 (m, 1H, Ar-H9), 8.09 (d, 2H, J = 8 Hz, Ar-H, 2´,6´), 8.20-8.31 (m, 1H, Ar-H7), 8.86 (d, 2H, J = 9 Hz, Ar-H 3´,5´); Anal. Calcd. for C18H9BrN4OS (409.26): C, 52.83; H, 2.22; N, 13.69. Found: C, 53.12; H, 2.44; N, 14.04.

Transformation of 8a into 8b (General procedure)

To a solution of 8a (50 mmol) in ethanol (25 mL) was added concentrated HCl (5 mL) and the mixture was refluxed for 1 h. After cooling to room temperature, the reaction mixture was diluted with cold water and neutralized with ammonia. The solid formed were collected by filtration and recrystalized from EtOH/DMF (1:1) to afford products identical in all respects (mp, mixed mp and TLC) with 8b.

5-Acetyl-2-amino-4-(4-bromophenyl)thiophene-3-carbonitrile (9)

To a solution of 3 (50 mmol) in acetic acid (25 mL) was added concentrated HCl (10 mL) and the mixture was refluxed for 3 h. After cooling to room temperature, the reaction mixture was diluted with cold water and neutralized with ammonia. The solid formed was collected by filtration and recrystalized from EtOH/DMF (1:1) to afford 9. Yellow crystals (65%), mp. 237-239oC; IR (cm-1): 3402 (NH2), 2221 (CN), 1680 (C=O); 1H-NMR δ: 1.65 (s, 3H, CH3), 6.67 (s, 2H, NH2), 7.08 (d, 2H, J = 9 Hz, Ar-H), 7.39 (d, 2H, J = 9 Hz, Ar-H); 13C-NMR δ: 28.54 (CH3), 88.59 (C-3), 114.47 (C-3´,5´), 114.68 (CN), 118.20 (C-4´), 127.92 (C-2´,6´), 132.21 (C-5), 135.20 (C-1´), 147.45 (C-2), 159.37 (C-4), 186.15 (CO); MS: 321 (M+); Anal. Calcd. for C13H9BrN2OS (321.19): C, 48.61; H, 2.82; N, 8.72. Found: C, 48.87; H, 3.12; N, 8.89.

References

  1. Oka, Y.; Omura, K.; Miyake, A.; Itoh, K.; Tomimoto, M.; Tada, N.; Yurugi, S. Studies on the Syntheses of N-Heterocyclic Compounds. XXV. Syntheses of Pyrido[3,4-d]pyridazine Derivatives. Chem. Pharm. Bull. 1975, 23, 2239–2250. [Google Scholar] [CrossRef]
  2. Oka, Y.; Omura, K.; Miyake, A.; Itoh, K.; Tomimoto, M.; Tada, N.; Yurugi, S. Studies on synthesis of N-Heterocyclic compounds XXV. Synthesis of pyrido[3,4-d]pyridazine derivatives 2. Chem. Pharm. Bull. 1975, 23, 1488–1499. [Google Scholar] [CrossRef]
  3. Matsuura, I.; Yoneda, F.; Nitta, Y. Pyridazines. XI. Pyrido[2, 3-d]pyridazines. II. Chem. Pharm. Bull. 1966, 14, 1010–1016. [Google Scholar] [CrossRef]
  4. Tigler, M.; Stanovnik, B. Condensed Pyridazines Including Cinnolines and Phthalazines; Castle, R.N., Ed.; John Wiley & Sons, Inc.: New York, NY, USA, 1973; pp. 968–1012. [Google Scholar]
  5. Matyus, P. 3(2H)-Pyridazinones: Some Recent Aspects of Synthetic and Medicinal Chemistry. J. Heterocycl. Chem. 1998, 35, 1075–1089. [Google Scholar] [CrossRef]
  6. Mylari, B.L.; Zembrowski, W.J. Pyrido[2,3-d]pyridazinones as aldose reductase inhibitors. US Pat. 4,954,629, 1990. [Chem. Abstr. 1991, 114, 62105u]. [Google Scholar]
  7. Barrett, J.A.; Woltmann, R.F.; Swillo, R.S.; Kasiewski, C. Pharmacology of RG W-2938: a cardiotonic agent with vasodilator activity. J. Cardiovasc. Pharm. 1990, 16, 537–45. [Google Scholar]
  8. Hewett, R.; Pettit, S.N.; Smith, P. Pyrido [2,3-d] pyridazine derivatives as herbicides. Can. Pat. Appl. CA 2,086,898, 1993. [Chem. Abstr. 1994, 121, 9415p]. [Google Scholar]
  9. Sahin, M.F.; Badiçoglu, B.; Gökçe, M.; Küpeli, E.; Yesilada, E. Synthesis and analgesic and antiinflammatory activity of methyl 6-substituted-3(2H)-pyridazinone-2-ylacetate derivatives. Arch Pharm (Weinheim) 2004, 337, 445–452. [Google Scholar] [CrossRef]
  10. Frank, H.; Heinisch, G. Pharmacologically Active Pyridazines Part I. In Progress in Medicinal Chemistry; Ellis, G.P., West, G.B., Eds.; Elsevier: Amsterdam, The Netherlands, 1990; Volume 27, pp. 1–49. [Google Scholar]
  11. Frank, H.; Heinisch, G. Pharmacologically Active Pyridazines Part II. In Progress in Medicinal Chemistry; Ellis, G.P., Luscombe, D.K., Eds.; Elsevier: Amsterdam, The Netherlands, 1992; Volume 29, pp. 141–183. [Google Scholar]
  12. Al-Sheikh, M.A.; Medrassi, H.Y.; Elnagdi, M.H.; Hafez, E.A. Substituted hydrazonals as building blocks in heterocyclic synthesis: a new route to arylhydrazonocinnolines. J. Chem. Res. 2007, 432–436. [Google Scholar]
  13. Al-Sheikh, M.A.; Salaheldin, A.M.; Hafez, E.A.; Elnagdi, M.H. 2-Arylhydrazono-3-oxopropanals in Heterocyclic synthesis: Synthesis of arylazopyrazole, arylazoisoxazole and dialkylpyridazine-5,6-dicarboxylate Derivatives. New one-step synthesis of arylazopyrimidines. J. Heterocycl. Chem. 2004, 41, 647–654. [Google Scholar] [CrossRef]
  14. Al-Sheikh, M.A.; Salaheldin, A.M.; Elnagdi, M.H.; Hafez, E.A. α-Enonesin heterocyclic synthesis, Part I. Classical synthetic and environmentally friendly synthetic approaches to alkyl and acyl azoles and azines. J. Chem. Res. 2004, 174. [Google Scholar]
  15. Hafez, E.A.; Khalifa, M.A.E.S.; Guda, K.; Elnagdi, M.H. Reactions with the arylhydrazones of a-cyanoketones: Utility of arylhydrazonomesoxalonitriles for the synthesis of azoles and azolines. Z. Naturforsch. 1980, 35b, 485. [Google Scholar]
  16. Gewald, K.; Hain, U. Substituted 2-aminopyrroles and 2-hydroxypyrroles from ylidene nitriles. Synthesis 1984, 62. [Google Scholar] [CrossRef]
  17. Elnagdi, M.H.; Sadek, K.U.; Taha, N.M.; Yassin, Y.M. The structure of products of coupling of arenediazonium salts with 3-aminocrotononitrile derivatives. Collect. Czech. Chem. Commun. 1990, 55, 734. [Google Scholar] [CrossRef]
  18. Abderazek, F.M. Heterocyclic synthesis with nitriles: A novel synthesis of some thiophene and thieno[2,3-d]pyrimidine derivatives. Z. Naturforsch. 1989, 44b, 488. [Google Scholar]
  • Sample Availability: Contact the author.

Share and Cite

MDPI and ACS Style

Al-Sheikh, M.A. Synthesis with Nitriles: Synthesis of Some New Mercaptopyridazine, Mercaptopyridazino[1,6-a]quinazoline and Thiophene Derivatives. Molecules 2008, 13, 2750-2757. https://doi.org/10.3390/molecules13112750

AMA Style

Al-Sheikh MA. Synthesis with Nitriles: Synthesis of Some New Mercaptopyridazine, Mercaptopyridazino[1,6-a]quinazoline and Thiophene Derivatives. Molecules. 2008; 13(11):2750-2757. https://doi.org/10.3390/molecules13112750

Chicago/Turabian Style

Al-Sheikh, Mariam A. 2008. "Synthesis with Nitriles: Synthesis of Some New Mercaptopyridazine, Mercaptopyridazino[1,6-a]quinazoline and Thiophene Derivatives" Molecules 13, no. 11: 2750-2757. https://doi.org/10.3390/molecules13112750

APA Style

Al-Sheikh, M. A. (2008). Synthesis with Nitriles: Synthesis of Some New Mercaptopyridazine, Mercaptopyridazino[1,6-a]quinazoline and Thiophene Derivatives. Molecules, 13(11), 2750-2757. https://doi.org/10.3390/molecules13112750

Article Metrics

Back to TopTop