Next Article in Journal
Effects of Quercetin on Mushroom Tyrosinase and B16-F10 Melanoma Cells
Previous Article in Journal
Lupane Triterpenoids from Acacia mellifera with Cytotoxic Activity
 
 
Font Type:
Arial Georgia Verdana
Font Size:
Aa Aa Aa
Line Spacing:
Column Width:
Background:
Article

Synthesis and Antibacterial Properties of New 8-Nitrofluoroquinolone Derivatives

by
Yusuf M. Al-Hiari
*,
Inas Saleh Al-Mazari
,
Ashok K. Shakya
,
Rula M. Darwish
and
Rana Abu-Dahab
Department of Pharmaceutical Sciences, Faculty of Pharmacy, University of Jordan, Amman 11942 Jordan
*
Author to whom correspondence should be addressed.
Molecules 2007, 12(6), 1240-1258; https://doi.org/10.3390/12061240
Submission received: 13 May 2007 / Revised: 19 June 2007 / Accepted: 20 June 2007 / Published: 30 June 2007

Abstract

:
The objective of this research was the preparation of new 8-nitrofluoro-quinolone models and investigation of their antibacterial properties. The work initially involved large scale preparation of the synthon 7-chloro-1-cyclopropyl-6-fluoro-8-nitro-4-oxo-1,4-dihydroquinoline-3-carboxylic acid (3), followed by introduction of substituted primary amine appendages 9a-g at the C-7 position to give derivatives 9a-g, in which the amino group is appended to substituted benzenes or aromatic heterocycles, is part of a primary α-amino acid or just a simple primary aliphatic amine. This nucleophilic aromatic substitution step was a very simple procedure since the 8-nitro group of the above synthon facilitated the addition of weak nucleophiles at C-7. All compounds prepared were fully identified and characterized using NMR, IR, EA and MS, and were consistent with expected structures. The prepared targets and the intermediates have shown interesting antibacterial activity against gram positive and/or gram negative strains. In particular, the p-toluidine, p-chloro aniline and aniline derivatives showed good activity against S. aureus with MIC range ≈ 2-5 µg/mL. In conclusion, more lipophilic groups seem to enhance activity against gram positive strains.

Introduction

In recent years, the numbers of life threatening infections caused worldwide by multi-drug resistant Gram-positive and Gram negative pathogenic bacteria have reached an alarming level. The quinolone antibacterials constitute a major addition with a broad spectrum of in-vitro and in-vivo chemotherapeutic efficiency. A number of quinolines like ciprofloxacin (1), norfloxacin (2), levofloxacin and moxifloxacin are being marketed and many are nowadays under in clinical trials [1].
In our search for potent fluoroquinolone derivatives, it has been found that although some were based on modifications on other positions, the most successful agents were compounds developed were based on modifications at C-7. It, and it has been found that the spectrum and extentlevel of antibacterial activity is highly affected by the nature of the C-7 substituent group. In addition to the inhibition of DNA gyrase and cell permeability, the C-7 substituents were have been proposed as the domain that interacts with the enzyme for to further strengthening drug binding [2,3]. In general, C-7 substitution should beinvolve an electron donating group in order to increase electron density on the carbonyl oxygen at C-4 position of the standard structure of 4-quinolone-3-carboxylic acid (Figure 1) [2,3].
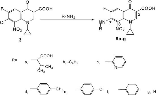
Figure 1. General route for introducing substituted primary amine groups.
Figure 1. General route for introducing substituted primary amine groups.
Molecules 12 01240 g001
Arylalkyl or haloalkyl substitution on the nitrogen at C-7 gives compounds with acceptable activity. Medium sized N-heterocyclic rings (5- and 6-membered) located at C-7 of the quinolone have contributed most significantly to their antibacterial activity. Linear substituents with one or two heteroatomheteroatoms (usually N) were investigated and gave compounds that were not very effective. Groups larger than piperazine led to less active compounds [4,5,6]. Methyl-, chloro-, and acyclic amino- groups at C-7 (e.g. -NHNH2, -NHR, -NHCH2CH2NH2) resulted in moderate to weak biological activity, compared to ciprofloxacin [5,7].
Although substitution on C-7 has been thoroughly investigated, not much information about (substituted aliphatic or aromatic) primary amines ishas been reported. Most synthesized 7-amino derivatives were appendages consisting of secondary amines, mostly as part of heterocyclic rings. This was thought to be due to the fact that primary amine (aliphatic or aromatic) might not exhibit biological activity and were therefore not worthy of investigation. Moreover, the weak nucleophilcity of the amine, especially in case of aromatic systems, toward C-7 and the harsh reaction conditions needed hindered real attempts to produce large scale active derivatives. Our literature survey revealed that compounds with substituted primary amine derivatives are also potent antimicrobial agents [8]. On the basis of above mentioned findings, this work involves the synthesis of novel C-7 substituted derivatives of 1-cyclopropyl-6-fluoro-8-nitro-4-oxo-1,4-dihydroquinoline-3-carboxylic acid (3) having an 8-nitro substituent as an electron withdrawing group and the evaluation of the biological activity of the new derivatives (Figure 1). This synthon contains an electron withdrawing group (the 8-nitro group) ortho- to C-7, which is the target position for new substitutions. This nitro group at C-8 allows the increment of the nucleophilicity at position 7 and facilitates amino substitution at C-7 by nucleophilic aromatic substitution (Addition-Elimination) reactionaddition-elimination) reactions.

Results and Discussion

Synthesis of 7-chloro-1-cyclopropyl-6-fluoro-8-nitro-4-oxo-1,4-dihydro-quinoline-3-carboxylic acid (3)

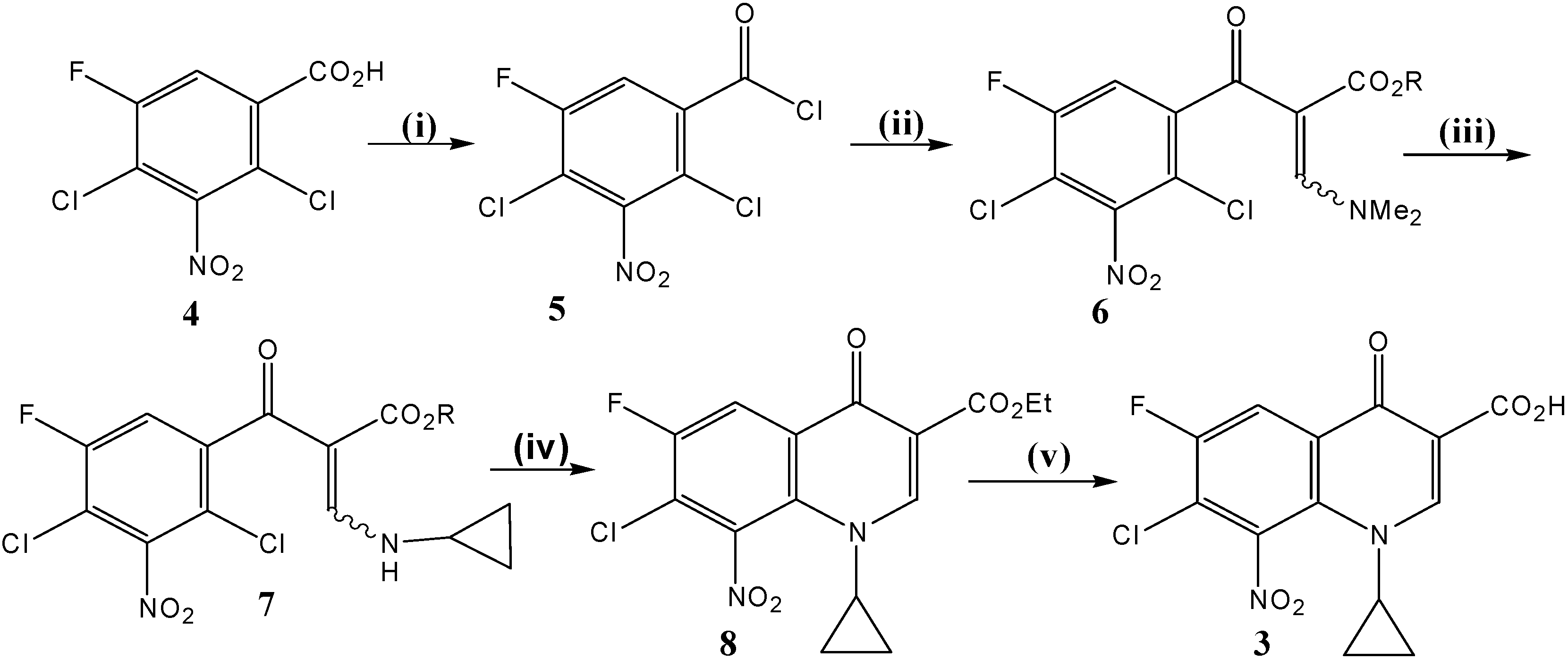
Our initial exploration of routes for the preparation of synthon 3 started by with nitration of the fluoroquinolone nucleus using fuming HNO3. These attempts failed to introduce a nitro group at C-8. as the final product resulted from obtained was the result of decarboxylation followed by nitration of at C-3. The starting material 3 was then synthesized by reported methods [7,9] with major modification. (Scheme 1). 2,4-Dichloro-5-fluoro-3-nitrobenzoic acid (4) was heated with thionyl chloride in benzene to produce 2,4-dichloro-5-fluoro-3-nitrobenzoyl acid chloride (5), which upon treatment with ethyl 3-(N,N-dimethyl-amino) acrylate gave ethyl-3-(N,N-dimethylamino)-2-(2,4-dichloro-5-fluoro-3-nitrobenzoyl) acrylate (6). Compound 6 reacted with cyclopropylamine and producedto produce ethyl 3-(N-cyclopropylamino)-2-(2,4-dichloro-5-fluoro-3-nitrobenzoyl) acrylate (7), which upon heating with DMF and K2CO3 was converted into ethyl 7-chloro-1-cyclopropyl-6-fluoro-8-nitro-4-oxo-1,4-dihydroquinoline-3-carboxylate (8).
Finally, methanolic HCl hydrolysis gave the target 7-chloro-1-cyclopropyl-6-fluoro-8-nitro-4-oxo-1,4-dihydroquinoline-3-carboxylic acid (3) in good yield (Scheme 1). This sequence was amenable to scale-up and fifty grams of synthon 3 were thus prepared and collected. The new modifications involved distillation of the reaction mixture upon preparation of compound 6. This step was carried out to remove excess thionyl chloride at an early stage. Purification of the intermediate 6 also did not require tedious purification of the final product using column chromatography, as carried out in previous reported procedures. The yield figures were significantly improved to about 91-95 %, while reported yields did not exceed 73 %.
This procedure involved dissolving compound 6 in methanol only (to prepare 7) without the need to use a mixture of expensive solvents (ethoxyethane). It was anticipatedassumed that, the previously reported solvent mixtures were used sincebecause compound 6 was not pure and a mixture of solvents were usedwas needed to dissolve all compounds in the sample. The new procedure developed produced a pure solid 7 which was collected as a white crude solid by filtering off the final precipitate as white crude solid. Washing with small amountamounts of ethanol was enough to produce the pure product 7 with significantly high yield (93 %).Hydrolysis with methanolic HCl gave the target 7-chloro-1-cyclopropyl-6-fluoro-8-nitro-4-oxo-1,4-dihydroquinoline-3-carboxylic acid (3) in good yield (93 %).
Scheme 1. Preparation of cipro ester 8 and cipro acid 3.
Scheme 1. Preparation of cipro ester 8 and cipro acid 3.
Molecules 12 01240 g002
Reagents and conditions: (i) SOCl2, dry benzene, reflux; (ii) EtOCOCH=CHNMe2, Et3N, dry benzene (iii) cyclopropylamine, MeOH; (iv) DMF, K2CO3; (v) HCl/EtOH
Preparation of ester 8 was reported to be a difficult step that needs column chromatography purification, yielding not more than 65 % in the best experiments. This work requires no chromatographic separation. The cyclization involved heating for a short time (2 h) but at lower temperature (85 °C instead of 160 °C). The reaction was terminated by pouring the reaction mixture onto crushed ice, and precipitate was collected and dried. The purification step in this work was carried out by simple cyclization step to produce the pure ester 8 in more than 89 % yield. The nextfinal hydrolysis step was carried out in acidic media to get pure acid 3 in 92 % yield. In conclusion, the proposed procedure gave significantly higher overall yields (above 95 %). It also uses cheaper and safer solvents, involves much simpler techniques and fewer steps, which ultimately save money and efforts. In addition, costly chromatographic techniques are avoided to further reduce the cost.

Introduction of primary amine appendages at C-7

Preparation of the novel quinolone compounds 9a-g was carried out employing a regiospecific nucleophilic aromatic substitution of the 7-chloro-1-cyclopropyl-6-fluoro-8-nitro-4-oxo-1,4-dihydro-quinoline-3-carboxylic acid (3) with appropriate substituted primary amineamines (Scheme 2). This was based on introducing different groups regarding the type of substitution on the primary amine group (screening process), utilizing the new procedure which is facilitated by the existence of the C-8 nitro group on synthon 3.
The previous procedures to introduce nucleophiles at C-7 involved using DMF, DMSO, pyridine and heating at very high temperature [10]. This involves harsh conditions, long times and produced low yields, due to difficulties in separation and purification.
The aqueous procedure involves adding three molar excess of the substituted primary amine to the synthon 3 in aqueous ethanol and 18 molesmolar excess of the base (NaHCO3). Stirring of the mixture for 2-5 days at moderate temperature (60-80 °C) furnished a yellow to orange crude mixture. After a third extraction process of the aqueous mixture at pH 3-4, the final product precipitated as bright yellow pure compound and in very high yield (abovegreater than 80 %) with most derivatives.
Scheme 2. Synthesis of compounds 9a-g from different amines.
Scheme 2. Synthesis of compounds 9a-g from different amines.
Molecules 12 01240 g003
The constitutionstructures of the prepared fluoroquinolone derivatives 9a-g and intermediates were confirmed based on IR, MS, 1H- and 13C-NMR spectral data, which were fully consistent with proposed structures. Signal assignments to various proton and carbons were mostly determined following DEPT and 2D COSY, HMQC and HMBC experiments. It was clearly evident that H-5 in all derivatives, which resonate at around 8.0 ppm (d, 3JH-F ≈ 13 Hz) showed a consistent doubling pattern in all compounds due to coupling with fluorine. This phenomenon was also clear in the neighboring carbons, according to their position. Long range correlations are observed between H-2 and each of C-8a, C-4 and 4a. Corresponding long range correlations are also observed between H-5 and its neighbor carbons.
All skeletal carbons of the fused benzene ring are recognizable by both; their signal splitting arising from coupling with fluorine atom (different value of J for each carbon) and from long range coupling with surrounding protons. It was evident from the new broad signal at around 7 to 8 ppm for NH at C-7 that the primary amine constituent was introduced. The cyclopropyl methine proton (H-1´) experienced a downfield shift in all derivatives (3.7 ppm) probably due to de-shielding effect of the adjacent nitrogen at position 1.
Low-resolution mass analysis was carried out for some models, however, the available electron impact (EI) technique failed to detect the exact mass when the compounds analyzed as acids. Only the ester (8) showed the exact mass upon high resolution analysis. Those which showed the molecular ion at low resolution analysis are reported within experimental part.
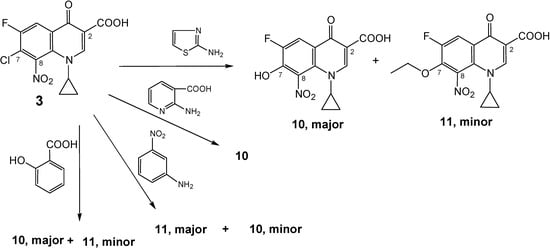
Synthesis of novel compound having 7–(thiazolthaizol-2-yl-)amino-, 7(3-carboxy-pyridine-2-yl)amino-, 7-(3-nitrophenyl)-amino- and 7-(2-carboxy-phenoxy)- functional group did not worked with the current method (Scheme 3). These reactions produce entirely different major and minor side compounds (10 and 11) which are mentioned in the experimental part and are identified by spectral techniques. Both products were isolated from different experiments and fully identified.
Scheme 3. Side products obtained with different amines (failed attempts).
Scheme 3. Side products obtained with different amines (failed attempts).
Molecules 12 01240 g004

Antibacterial activity

Evidence in the literature showed that the nature of the functional group at the C-7 position of the quinolone system has a great influence on the spectrum and extent of the antibacterial activity [2,3]. It has been demonstrated by other workers that the activity against bacteria was related to the lipophilicity of the side chain at C-7 of the compounds as well as the lipophilicity of the substitution at N-1 [11]. It is generally assumed that the more lipophilic quinolones should have best ability to penetrate the lipophilic wall of Gram positive bacteria and thus have better activity against these bacteria. Moreover, it has been reported that reducing the lipophilicity of the fluoroquinolone molecule resulted in urinary recovery of the unchanged compound at a higher ratio [12].
The pure synthesized compounds 9a-g (Scheme 2), side reaction products 10 and 11 (Scheme 3), synthon 3 and ester 8 (Scheme 1) were evaluated for, in vitro, antibacterial activity against E. coli and S. aureus. These microorganisms were chosen to represent species of Gram negative and Gram positive bacteria, respectively. The initial investigation by agar diffusion method (Table 1) show that all the tested compounds have some antimicrobial activity against either E. coli and/or S. aureus; except for the ester 8 that shows no activity against both types of bacteria. Compound 8 is an ester form of the synthon 3; it is expected for any fluoroquinolone ester not to have any in vitro activity but might have same in vivo activity due to its hydrolysis to the acid form [13].
MIC results have indicated that the full structure of the C-7 appendages played an important role in determination of the activity. It was evident that both lipophilicity and solubility have affected the activity of these compounds and consequently antimicrobial results.
Table 1. Zones of inhibition (mm) of some synthesized compounds (at saturated concentration / mg/mL) against E. coli and S. aureus.
Table 1. Zones of inhibition (mm) of some synthesized compounds (at saturated concentration / mg/mL) against E. coli and S. aureus.
New Compound NumberSaturated concentration mg/mLInhibition zone (mm)
E. coli ATCC 8739S. aureus ATCC 6538
3162933
82677
9a96.23435
9c18.6127
9d2.4717
9g73033
106.82329
119.42835
DMSO-77
Ciprofloxacin2.64642
Note: diameter of wells = 7 mm
Compounds 3 and 9g showed the good antibacterial activity against both, Gram positive and Gram negative bacteria. Both compounds showed higher activity against S. aureus with MIC ≈ 0.97 and 1.2 µg/mLml, respectively (Table 2), compared to their activity against E. coli with MIC ≈ 4.7 and 8.8 µg/mL, respectively.
Table 2. MIC for the prepared 8-nitrofluoroquinolones against E. coli and S. aureus.
Table 2. MIC for the prepared 8-nitrofluoroquinolones against E. coli and S. aureus.
Compound No.E. coli ATCC 8739S. aureus ATCC 6538
34.70.97
9a37.5above100
9b150.65
9cabove 100ND*
9dND3.5
9e104
9f105
9g8.81.20
107537.5
1137.50.58
Ciprofloxacin0.009150.22
* Note: ND means antibacterial activity was not detected.
Reduction of activity upon introduction of the amino group is possibly due to the electron-withdrawing chloro group on the nucleus at C-7. Such an observation was also reported upon comparing different 6-fluoro-7-substitutions on the 1-ethyl-1,4-dihydro-4-oxo-6-flouroquinoline-3-carboxylic acid nucleus [5].
Among the tested compounds, compounds 11 and 9b showed best antibacterial activity against Gram positive bacteria with MIC ≈ 0.58 µg/mLmL and 0.65 µg/mLmL respectively (Table 2). It is clearly shown that substitution of the 7-chloro group of 7-Chlorochloro-1-cyclopropyl-6-fluoro-8-nitro-4-oxo-1,4-dihydroquinoline-3-carboxylic acid (3) by 7-ethoxy (11) or 7-n-butyl (9b) groups resulted in an interesting activity against Gram positive bacteria, which is much stronger than that seen against Gram negative bacteria with MIC ≈ 37.5 and 15 µg/mLmL, respectively (Table 2). This behavior can be correlated to the lipophilic groups that shifted activity towards Gram positive bacterial in both compounds.
In the same vein, the highly lipophilic groups as in p-toluidine derivative 9d, p-chloro derivative 9e and aniline 9f showed a strong activity against Gram positive bacteria with MIC ≈ 3.5 µg/mL, 4.0 µg/mL and 5 µg/mL, respectively (Table 2). It is evident by those results that addition of more lipophilic groups to the quinolones standard structure has shifted activity against gram positive bacteria since the ability to penetrate the lipophilic wall of Gram positive bacteria has increased. This finding does have precedent in the literature with other fluoroquinolones [12].
Moreover, such results would eliminate the outer layers of Gram negative bacteria as site of action. It is thus concluded that their mechanism of action is similar to other known fluoroquinolones which were reported to have their activity on DNA enzymes. Again, this is supported by previous literature reports of other fluoroquinolones [4,14].

Cytotoxicity on cancerous epithelial cells

Preliminary cytotoxicity studies were carried out for the 7 candidate compounds with MCF-7 cells, a human breast adenocarcinoma cell line, to test whether these compounds are toxic to epithelial cells or they would have a potential as anticancer agents. All compounds did not change the proliferation rate of the cells as compared to controls (cells incubated with media only). This would suggest that these derivatives are not toxic to epithelial cells. Further evaluation should be carried out for exact determination of the IC50.

Conclusions

In conclusion, this work has successfully introduced new substituted primary amine appendages at 8-nitro-fluoroquinolone nucleus utilizing new procedure developed within the course of this work. The fluoroquinolone derivatives were fully identified and characterized using NMR, IR, EA and MS. The antimicrobial properties of all pure compounds were evaluated against E. coli and S. aureus bacteria. Although the selected structures did not follow a specific pattern (structure), they were chosen to have different hydrophilic/lipophilic properties as lead models for further antibacterial investigation.
The results indicate clearly that all new compounds, in addition to the side products, have interesting antimicrobial activity ranging from weak to strong against both strains of bacteria. For the targeted compounds, it is concluded that more hydrophilic groups supported antimicrobial activity against Gram negative bacteria; while more lipophilic groups supported antimicrobial activity against Gram positive bacteria as in p-toluidine. This work is consistent with previous findings that an electron-releasing group is still required at C-7, and more lipophilic cyclic structures direct the activity against Gram positive bacteria. Finally, this work has opened the door for new C-7 appendages at 8-nitro-fluoroquinolone systems that may produce new clinical antibacterial agents in the future on bulk scale.

Experimental

General

Melting points (M. p.) were determined in open capillaries on a Stuart scientificScientific electrothermal melting point apparatus, U.K. and were uncorrected. Infra red (IR) spectra were recorded on an Avatar Thermo Nicolet Impact 400 FT-IR spectrophotometer (University of Jordan) using the Smart Omni-Transmission software., USA All samples were prepared as potassium bromide (Acros, Belgium) discs. Nuclear magnetic resonance (NMR) 1H- and 13C-NMR spectra were measured on a Bruker Ultra shieldShield- instrument (Al-Albeit University, Jordan) operating at 300 (1H) and 75 MHz (13C), respectively. Chemical shifts are given in δ (ppm) using trimethylsilane (Me3Si) as internal reference; deuteriateddeuterated solvents were used and are stated with each compound. Elemental analysis (EA) of C, H and N were performed on a Euro Elemental analyzer model (EA3000 A), Italy, at Al-Albeit University. The analytical results of the elements were within ± 0.4 % of the theoretical values. Thin layer chromatography (TLC) was performed on 10 x 10 cm2 aluminum plates pre-coated with fluorescent silica gel GF254 (ALBET, Germany) and was visualized using UV lamp (at 254nm wave length/ short wave length/ long wavelength). Mobile phase mixtures were: 94:5:1 chloroform: -methanol: -formic acid (CHCl3-MeOH-FA) 94: 5: 1 (system 1)) and (90:10:1 CHCl3-MeOH-FA) 90: 10: 1 (system 2)).

Synthesis of synthon 3 (Scheme 1)

i) Ethyl- 3-(N,N-dimethylamino)-2-(2,4-dichloro-5-fluoro-3-nitrobenzoyl) acrylate (6). A mixture of 2,4-dichloro-5-fluoro-3-nitrobenzoic acid (4, 10.2 g, 40 mmol), and thionyl chloride (SOCl2) (19.0 g, 160 mmol), dissolved in dry benzene (120 mL) was refluxed at 75-80 °C for 3–4 h under anhydrous conditions. The mixture was then distilled off under reduced pressure to remove solvent and excess thionyl chloride. Dry benzene was then added twice (2 x 20 mL) into the reaction vessel and the mixture was re-distilled so as to remove traces of thionyl chloride. The resulting 2,4-dichloro-5-fluoro-3-nitrobenzoyl chloride (5), formed as thick oil, was used as such for the next step without further purification. To a stirred and cooled (5-10 °C) solution of ethyl 3-(N,N-dimethyl-amino)acrylate (6.3 g, 44 mmol) and triethylamine (4 mLml, 8.1 g, 80 mmol) in dry benzene (50 mLml), a solution of the crude acid chloride (prepared above) in dry benzene (25 mLml) was added drop by drop. The resulting mixture was stirred continuously for 2 h at room temperature under anhydrous conditions. Then, the solution was refluxed at 90 °C for 90 minutes. This crude product was evaporated to dryness, re-dissolved in chloroform; the chloroform was extracted with water (30 mL) and dried (with anhydrous MgSO4). The solvent, chloroform, was then evaporated to dryness under reduced pressure. The residual product (about 20 mL) was soaked in methanol (10 mL) whereby the title compound 6 was produced as yellowish powder that was collected by suction filtration and dried. Yield ≈ 13.8 g (91 %). 1H-NMR (CDCl3): δ 0.95 (t, J = 7.1 Hz, 3H, CH3), 2.97 (s, 3H) and 3.37 (s, 3H) [N (CH3)2], 3.94 (q, J = 7.1 Hz, 2H, CH2Me), 7.27 (d, 3JH-F = 8.2 Hz, 1H, H-6), 7.91 (br s, 1H, N-C(3′′)-H); 13C -NMR (CDCl3): δ 13.8 (CH3CH2), 43.3, 48.4 [N (CH3)2], 60.2 (CH2Me), 100.9 (C-2′′), 114.5 (d, 2JC-F = 23.3 Hz, C-4), 116.9 (d, 2JC-F = 23.1 Hz, C-6), 118.2 (d, 3JC-F = 4.5 Hz, C-1), 144.2 (d, 3JC-F = 6 Hz, C-3), 148.8 (br d, 4JC-F = 1.3 Hz, C-2), 156.6 (d, 1JC-F = 254 Hz, C-5), 160.5 (N-C-3′′), 166.5 (CO2Et), 185.1 (C=O); IR (KBr): ν 3431, 3073, 2987, 2928, 2864, 1689, 1619, 1553, 1455, 1421, 1374, 1344, 1321, 1278, 1205, 1177, 1129, 1030 cm-1.; Anal. Calcd. for C14H13Cl2FN2O5 (379.17): C, 44.35; H, 3.46; N, 7.39. Found: C, 44.30; H, 3.38; N, 7.62; mp = 139-141 °C (decomposition); Rf value in system 1 = 0.89 and in system 2 = 0.90.
ii) Ethyl 3-(N-cyclopropylamino)-2-(2,4-dichloro-5-fluoro-3-nitrobenzoyl) acrylate (7). A stirred solution of ethyl- 3-(N,N-dimethylamino)-2-(2,4-dichloro-5-fluoro-3-nitrobenzoyl) acrylate (6, 14.4 g, 38 mmol) in methanol (10 mL) was treated drop-wise with cyclopropyl amine (3.2 g, 56 mmol). Methanol (50 mL) was then added and the reaction mixture was stirred at R.T. for 1–2 h. The precipitated white solid product was filtered, washed with cold ethanol (95 %, 10 mL) and dried. Yield ≈ 11.0 g; a second crop of 7 (1.7 g) was obtained upon concentration of the mother liquor. All yield ≈ 12.7 g (93 %). 1H-NMR (CDCl3): δ0.88 (m, 4H, H2-2′/H2-3′), 1.01, 0.92 (Z/E, 2t, J = 7.1 Hz, 3H, CH3), 3.00 (m, 1H, H-1′), 3.99, 3.73 (Z/E, 2q, J = 7.1 Hz, 2H, CH2Me), 7.10, 7.16 (Z/E, 2d, 3JH-F = 8.1 Hz, 1H, H-6), 8.26, 8.35 (Z/E, 2d, J = 14 Hz, 1H, N-C(3′′)-H), 11.01, 9.77 (Z/E, 2 br d, J = 14 Hz, 1H, exchangeable N-H); 13C-NMR (CDCl3): δ 6.7 (C-2′/C-3′), 13.9, 13.3 (Z/E, CH3), 31.0, 30.3 (Z/E, C-1′), 60.2, 60.1 (Z/E, CH2Me), 100.3, 99.8 (Z/E, C-2′′), 114.1, 114.0 (Z/E, 2d, 2JC-F = 23.3 Hz, C-4), 115.7, 116.0 (Z/E, 2d, 2JC-F = 23.3 Hz, C-6), 117.7, 117.9 (Z/E, 2d, 3JC-F = 4.7 Hz, C-1), 143.9, 143.7 (Z/E, 2d, 3JC-F = 6.2 Hz, C-3), 148.6 (br d, 4JC-F = 1.4 Hz, C-2), 156.7 (d, 1JC-F = 254 Hz, C-5), 161.9, 161.4 (Z/E, N-C-3′′), 165.7, 167.8 (Z/E, CO2Et), 188.4, 186.2 (Z/E, C = O); IR (KBr): ν 3431, 3196, 3068, 3032, 2985, 2906, 1679, 1617, 1545, 1426, 1367, 1316, 1253, 1192, 1151, 1112, 1063, 1021 cm--1. ; Anal. Calcd. for C15H13Cl2FN2O5 (390.18): C, 46.06; H, 3.35; Cl, 18.13; N, 7.16. Found: C, 46.34; H, 3.26; N, 7.19; mp = 142-145 °C (decomposition); Rf value in system 1 = 0.94 and in system 2 = 0.925.
iii) Ethyl 7-chloro-1-cyclopropyl-6-fluoro-8-nitro-4-oxo-1,4-dihydroquinoline-3-carboxylate (8). To the pure ethyl 3-(N-cyclopropylamino)-2-(2,4-dichloro-5-fluoro-3-nitrobenzoyl) acrylate (7, 11.7 g, 30 mmol) was added potassium carbonate (11.7 g, 85 mmol) in dimethyl-formamide (DMF, 50 mL) and the mixture was heated at 85 °C under reflux with continuous stirring. The progress of the cyclization reaction was monitored by TLC (eluent was AcOEt: n-hexane, 1:1 v/v) and was completed within 90-120 min. The reaction mixture was then poured slowly onto crushed ice (500 g) under vigorous stirring for 10-15 min. The gum layer formed was treated with little amount of MeOH. The precipitated pale yellow solid product 8 was collected, washed with water and left to dry in dark. Yield ≈ 9.5 g (89 %). 1H-NMR (CDCl3): δ 1.11 (m, 4H, H2-2′/H2-3′), 1.33 (t, J = 7.1 Hz, 3H, CH3CH2), 3.57 (m, 1H, H-1′), 4.30 (q, J = 7.1 Hz, 2H, OCH2Me), 8.27 (d, 3JH-F = 8.0 Hz, 1H, H-5), 8.56 (s, 1H, H-2); 13C- NMR (CDCl3): δ 11.1 (C-2′/C-3′), 14.4 (CH3CH2), 37.9 (C-1′), 61.4 (OCH2Me), 111.8 (C-3), 115.6 (d, 2JC-F = 23.0 Hz, C-5), 122.0 (d, 2JC-F = 23.7 Hz, C-7), 130.1 (d, 3JC-F = 5.0 Hz, C-4a), 130.8 (d, 4JC-F = 3.0 Hz, C-8a), 140.8 (d, 3JC-F = 1.6 Hz, C-8), 151.8 (C-2), 154.4 (d, 1JC-F = 258 Hz, C-6), 164.0 (CO2Et), 170.8 (d, 4JC-F = 2.0 Hz, C-4); EI MS m/z (%): 354(28, M+), 337(10), 309(35), 282(61), 265(42), 252(100), 236(57), 226(72), 196(72), 172(32), 160(17), 132(25), 117(7); HRMS: calcd. For C15H12ClFN2O5: 354.04184, found 354.04281; IR (KBr): ν 3225, 3091, 2983, 2909, 2361, 1729, 1634, 1603, 1545, 1463, 1426, 1387, 1344, 1271, 1238, 1173, 1129, 1046 cm-1.; Anal. Calcd. for C15H12ClFN2O5 (354.72): C, 50.79; H, 3.41; N, 7.90. Found: C, 50.96; H, 3.35; N, 7.71; mp = 165-167 °C (decomposition); Rf value in system 1 = 0.90 and in system 2 = 0.788.
iv) 7-Chloro-1-cyclopropyl-6-fluoro-8-nitro-4-oxo-1,4-dihydroquinoline-3-carboxylic acid (3). A vigorously stirred suspension of ethyl 7-chloro-1-cyclopropyl-6-fluoro-8-nitro-4-oxo-1,4-dihydro-quinoline-3-carboxylate (8, 5.3 g, 15 mmol) in 12N HCl (100 mL) and ethanol (30 mL) was heated at 80-85 °C under reflux conditions. Progress of the ester hydrolysis was monitored by TLC and was completed within 36-48 h. Thereafter, the reaction mixture was cooled, poured onto crushed ice (250 g) and the resulting heavy faint yellow precipitate was collected, washed with cold water (2 x 20 mL), dried and recrystallized from a mixture of chloroform and methanol. Yield ≈ 4.5 g (92 %). 1H- NMR (DMSO-d6): δ1.02, 1.16 (2m, 4H, H2-2′/H2-3′), 3.71 (m, 1H, H-1′), 8.45 (d, 3JH-F = 8 Hz, 1H, H-5), 8.78 (s, 1H, H-2), 13.70 (s, 1H, CO2H); 13C-NMR (DMSO-d6): δ 11.2 (C-2′/C-3′), 39.5 (C-1′), 109.7 (C-3), 115.3 (d, 2JC-F = 23 Hz, C-5), 122.7 (d, 2JC-F = 23.6 Hz, C-7), 128.3 (d, 3JC-F = 6.8 Hz, C-4a), 131.9 (d, 4JC-F = 2.3 Hz, C-8a), 141.1 (d, 3JC-F = 1.6 Hz, C-8), 153.4 (C-2), 154.5 (d, 1JC-F = 250 Hz, C-6), 164.8 (CO2H), 175.4 (d, 4JC-F = 2.2 Hz, C-4);IR (KBr): ν 3076, 2642, 1718, 1603, 1575, 1541, 1441, 1357, 1329, 1262, 1230, 1195, 1125, 1051 cm-1.; Anal. Calcd. for C13H8ClFN2O5 (326.66): C, 47.80; H, 2.47; N, 8.58. Found: C, 47.39; H, 2.43; N, 8.98; mp = 243–250 °C(decomposition) (Lit. [9] M. p. =261 °C, decomposition); Rf value in system 1 = 0.72 and in system 2 = 0.363.

Synthesis of novel title compounds 9a-g (Scheme 2)

General procedure

A stirred mixture of the substituted primary amine (9 mmol), 7-chloro-1-cyclopropyl-6-fluoro-8-nitro-4-oxo-1,4-dihydroquinoline-3-carboxylic acid (3, 1.0 g, 3 mmol) and sodium hydrogen carbonate (1.5 g, 18 mmol) in 50 % aqueous ethanol (140 mL) was heated at 75-80 °C for 144-156 h under reflux conditions. More sodium hydrogen carbonate was added (0.25 g, 3 mmol) and the mixture was heated for another 144-156 h under reflux conditions. Work-up of the resulting reaction mixture was carried out as described for 9a below, producing side products in all attempts.

a) (±)–7-(1-Carboxy-2-methylpropylamino)-1-cyclopropyl-6-fluoro-8-nitro-4-oxo-1,4-dihydro-quinoline -3-carboxylic acid (9a)

A solution of dl-valine (1.0 g, 9 mmol) and sodium hydrogen carbonate (NaHCO3) (1.5 g, 18 mmol) in aqueous ethanol (140 mL, 1:1 v/v) was added to (1.0 g, 3 mmol) of 7-chloro-1-cyclopropyl-6-fluoro-8-nitro-4-oxo-1,4-dihydroquinoline-3-carboxylic acid (3). The resulting stirred mixture was heated at 60-65 °C. The mixture slowly developed a light yellow color that changed into bright yellow, then into clear orange solution. The progress of the reaction was monitored by TLC (system (1)), and was completed within 100-120 h. The orange solution was extracted with chloroform (CHCl3, 2 x 50 mL). The aqueous layer was cooled, adjusted with 3.5N HCl addition to get a solution of pH 6-7 and another extraction with CHCl3 (50 mL) was carried out. Further acidification of the leftover of the aqueous layer was performed with 3.5N HCl to pH = 1-2, whereby the title compound was precipitated as yellowish solid which was filtered, washed with cold water (2 x 10 mL) and dried. Re-crystallization of the formed product was carried out from a mixture of chloroform and ethanol (1:1). Yield ≈ 1.1 g (90 %). 1H-NMR (DMSO-d6): δ 0.89, 0.95 (2d, J = 6.8 Hz, 6.0 H, (CH3)2-CH), 0.92 (m, 4H, H2-2′/H2-3′), 2.21 (m, 1H, CHMe2), 3.68 (m, 1H, H-1′), 4.50 (br d, J = 7.2 Hz, CH-CO2H), 7.21 (d, J = 8.0 Hz, 1H, N-H), 8.07 (d, 3JH-F = 13.5 Hz, 1H, H-5), 8.77 (s, 1H, H-2), 13.39 (br s, 1H, CH-CO2H), 14.55 (br s, 1H, C3-CO2H); 13C-NMR (DMSO-d6): δ 10.1 (C-2≈/C-3≈), 18.0, 18.5 ((CH3)2), 31.6 (CHMe2), 40.9 (C-1≈), 63.2 (d, JC-F = 11.3 Hz, CH-NH), 109.8 (C-3), 115.2 (d, 2JC-F = 22.7 Hz, C-5), 117.8 (d, 3JC-F = 7.1 Hz, C-4a), 129.3 (d, 3JC-F = 5.4 Hz, C-8), 135.8 (C-8a), 138.1 (d, 2JC-F = 14.9 Hz, C-7), 150.4 (d, 1JC-F = 248 Hz, C-6), 152.3 (C-2), 165.3 (C3-CO2H), 172.7 (CH-CO2H), 175.6 (d, 4JC-F = 2.5 Hz, C-4); IR (KBr): ν 3308, 3070, 2971, 1733, 1700, 1629, 1549, 1518, 1469, 1321, 1257, 1216, 1144, 1033 cm-1.; Anal. Calcd. for C18H18FN3O7 (407.35): C, 53.07; H, 4.45; N, 10.32. Found: C, 52.83; H, 4.69; N, 10.68; mp = 217–222 °C (decomposition); Rf value in system 1 = 0.44 and in system 2 = 0.175.

b) 1-Cyclopropyl-6-fluoro-8-nitro-4-oxo-7-(butyl-amino)-1,4-dihydro-quinoline-3-carboxylic acid (9b).

A stirred mixture of n-butyl amine (0.66 g, 0.90 mL, 9 mmol), 7-chloro-1-cyclopropyl-6-fluoro-8-nitro-4-oxo-1,4-dihydroquinoline-3-carboxylic acid (3, 1.0 g, 3 mmol) and sodium hydrogen carbonate (1.5 g, 18 mmol) in 50 % aqueous ethanol (140 mL) was heated at 40-45 °C for 136 h under reflux conditions. Work-up of the resulting reaction mixture carried out by extracting the orange solution formed with chloroform (CHCl3) (2 x 80 mL). The aqueous layer pH was adjusted with 3.5N HCl addition to get a solution of pH 6-7 and another extraction with CHCl3 was performed. These two chloroform extracts were collected, dried and the product collected was re-crystallized from ethanol and acetone (1:1) in addition to the early two chloroform extracts (at pH 8-9) producing the title compound 9b as orange crystals. Yield ≈ 0.93 g (85 %). 1H-NMR (CDCl3): δ 0.88, 0.94 (2m, 4H, H2-2′/H2-3′), 1.12-1.19 (t, J = 6.6 Hz, 3H, CH3-), 1.39-1.53 (m, 2H, CH3-CH2-), 1.65-1.83 (m, 2H, -CH2-CH2CH2-), 3.0 (m, 2H, -CH2-NH), 3.68 (m, 1H, H-1′), 7.02 (br s, 1H, NH), 8.10 (d, 3JH-F = 13.5 Hz, 1H, H-5), 8.84 (s, 1H, H-2), 14.55 (s, 1H, CO2H); IR (KBr): ν 3389, 3081, 2960, 2929, 2866, 2638, 2517, 2369, 1627, 1593, 1502, 1462, 1373, 1351, 1318, 1271, 1236, 1189, 1113, 1032 cm-1.; Anal. Calcd. for C17H18FN3O5 (363.34): C, 56.20; H, 4.99; N, 11.56. Found: C, 56.32; H, 5.51; N, 11.65; mp = 185–190 °C (decomposition); Rf value in system 1 = 0.84 and in system 2 = 0.90.

c) 1-Cyclopropyl-6-fluoro-8-nitro-4-oxo-7-(pyridin-2-yl amino)-1,4-dihydro-quinoline-3-carboxylic acid (9c).

A stirred mixture of 2-aminopyridine (3.46 g, 9 mmol), 7-chloro-1-cyclopropyl-6-fluoro-8-nitro-4-oxo-1,4-dihydroquinoline-3-carboxylic acid (3, 1.0 g, 3 mmol) and sodium hydrogen carbonate (1.5 g, 18 mmol) in 50 % aqueous ethanol (140 mL) was heated at 75-80 °C for 156-162 h under reflux conditions. Work-up of the resulting reaction mixture was carried out as described for 9a above, producing 9c as yellow solid. Yield ≈ 0.65 g (57 %). 1H-NMR (DMSO-d6): δ 0.89, 0.91 (2m, 4H, H2-2′/H2-3′), 3.58 (m, 1H, H-1′), 6.81 (dd, J = 6.61 Hz, 6.56 Hz, 1H, H-5′′), 6.91 (d, J = 7.8 Hz, 1H, H-3′′), 7.56 (d, 3JH-F = 11.73 Hz, 1H, H-5), 7.83-7.89 (m, 3H, superimposed H-3′′ and H-6′′ and N-H), 8.45 (s, 1H, H-2), 16.06 (br s, 1H, C(3)-CO2H); 13C-NMR (DMSO-d6): δ 10.4 (C-2≈/C-3≈), 40.7 (C-1≈), 106.9 (d, 3JC-F = 7.0 Hz, C-4a), 107.5 (C-3), 108.7 (d, 2JC-F = 20.6 Hz, C-5), 112.6 (C-3≈′), 113.7 (C-5≈′), 133.0 (d, 3JC-F = 7.4 Hz, C-8), 136.4 (C-8a), 136.9 (C-4≈′), 144.3 (C-6≈′), 148.6 (C-2), 154.6 (NH-C-2≈′), 155.6 (d, 1JC-F = 247 Hz, C-6), 160.4 (d, 2JC-F = 20.4 Hz, C-7), 166.7 (C(3)-CO2H), 174.7 (d, 4JC-F = 3.6 Hz, C-4); IR (KBr): ν3372, 3194, 2691, 1706, 1669, 1627, 1541, 1445, 1404, 1316, 1227, 1111, 1054 cm-1.; Anal. Calcd. for C18H13FN4O5 (384.32): C, 56.25; H, 3.41; N, 14.58. Found: C, 56.07; H, 3.29; N, 14.95; mp = 234–237 °C (decomposition); Rf value in system 1 = 0.075 and in system 2 = 0.013.

d) 1-Cyclopropyl-6-fluoro-8-nitro-4-oxo-7-p-tolylamino-1,4-dihydro-quinoline-3-carboxylic acid (9d)

A stirred mixture of p-toluidine (0.97 g, 9 mmol), 7-chloro-1-cyclopropyl-6-fluoro-8-nitro-4-oxo-1,4-dihydroquinoline-3-carboxylic acid (3, 1.0 g, 3 mmol) and sodium hydrogen carbonate (0.75 g, 9 mmol) in 50 % aqueous ethanol (140 mL) was heated at 70-75 °C for about 120 h. Then extra p-toluidine (0.97 g, 9 mmol) and sodium hydrogen carbonate (0.25 g, 3 mmol) were added and the mixture was heated for 65 h under reflux conditions. The resulting reaction mixture was a suspension; suction filtration was carried out to get the precipitate, which was not pure. Re-crystallization of the crude product from chloroform (20 mL) was carried out to yield the pure 9d as orange solid. Yield ≈ 1.13 g (92 %). 1H-NMR (DMSO-d6): δ 0.99 (m, 4H, H2-2′/H2-3′), 2.22 (s, 3H, CH3), 3.70 (m, 1H, H-1′), 6.93 (d, J = 8.0 Hz, 2H, H-2′′/H-6′′), 7.05 (d, J = 8.2 Hz, 2H, H-3′′/H-5′′), 8.13 (d, 3JH-F = 11.91 Hz, 1H, H-5), 8.80 (s, 1H, H-2), 8.95 (br s, 1H, NH-Ar), 14.48 (br s, 1H, COOH); 13C-NMR (DMSO-d6): δ 10.54 (C-2≈/C-3≈), 20.9 (CH3), 40.4 (C-1≈), 109.4 (C-3), 114.7 (d, 2JC-F = 21.83 Hz, C-5), 119.2 (C-4≈′), 120.0 (C-2≈′, C-6≈′), 120.6 (d, 3JC-F = 7.8 Hz, C-4a), 129.7 (C-3≈′, C-5≈′), 133.0 (C-8a), 133.5 (d, 2JC-F = 15.4 Hz, C-7), 134.3 (C-8), 139.4 (C-1≈′), 152.5 (C-2), 152.8 (d, 1JC-F = 253 Hz, C-6), 165.4 (C(3)-CO2H), 175.8 (C-4); IR (KBr): ν 3449, 3360, 3063, 2921, 1730, 1620, 1531, 1450, 1362, 1318, 1223, 1102, 1048, 1020 cm-1; Anal. Calcd. for C20H16FN3O5 (397.36): C, 60.45; H, 4.06; N, 10.57. Found: C, 60.71; H, 3.76; N, 10.65; mp = 240–247 °C (decomposition); Rf value in system 1 = 0.78 and in system 2 = 0.39.

e)1-Cyclopropyl-6-fluoro-8-nitro-4-oxo-7-(4-chloro-phenylamino)-1,4-dihydro-quinoline-3-carboxylic acid (9e)

A stirred mixture of 4-chloroaniline (1.15 g, 9 mmol), 7-chloro-1-cyclopropyl-6-fluoro-8-nitro-4-oxo-1,4-dihydroquinoline-3-carboxylic acid (3, 1.0 g, 3 mmol) and sodium hydrogen carbonate (1.5 g, 18 mmol) in 50 % aqueous ethanol (140 mL) was heated at 70-75 °C for 230-240 h under reflux conditions. Work-up of the resulting reaction mixture was carried out as described for 9a above, producing the title compound as pale brown solid. Crystallization of the crude mixture gave two spots on TLC; one was faint and the other was condensed. NMR analysis showed more than one compound but the peaks of 9e were distinct and could be recognized. First attempt: The 7-hydroxy product 10 was major but not the product. Second attempt: Minor with the 7-ethoxy side product 11. 1H-NMR (DMSO-d6/CO(CD3)2), minor: δ 1.01 (m, 4H, H2-2′/H2-3′), 3.87 (m, 1H, H-1′), 7.05 (d, J = 8.7 Hz, 2H, H-2′′/H-6′′), 7.31 (d, J = 8.7 Hz, 2H, H-3′′/H-5′′), 8.22 (d, 3JH-F = 11.4 Hz, 1H, H-5), 8.84 (s, 1H, H-2), 9.10 (br s, 1H, NH-Ar), 14.25 (br s, 1H, COOH); IR (KBr): ν 3376, 3093, 2918, 2849, 2362, 1621, 1585, 1542, 1472, 1366, 1285, 1175, 1090, 1015 cm-1.; mp = 175–180 °C (decomposition); Rf value in system 1 = 0.81 and in system 2 = 0.875.

f) 1-Cyclopropyl-6-fluoro-8-nitro-4-oxo-7-phenylamino-1,4-dihydro-quinoline-3-carboxylic acid (9f).

A stirred mixture of aniline (0.84 g, 0.82 mL, 9 mmol), 7-chloro-1-cyclopropyl-6-fluoro-8-nitro-4-oxo-1,4-dihydroquinoline-3-carboxylic acid (3, 1.0 g, 3 mmol) and sodium hydrogen carbonate (1.5 g, 18 mmol) in 50 % aqueous ethanol (140 mL) was heated at 40-45 °C for 132-144 h under reflux conditions. Work-up of the resulting reaction mixture was carried out as indicated for 7b to give a dark yellow powder. NMR analysis of the product showed that the 7-ethoxy compound 11 was the major product, but the presence of the title compound was detected. Chromatography failed to separate the product in pure form. Yield ≈ 0.43 g (44 %); 1H-NMR (DMSO-d6), minor: δ 0.92, 1.10 (2m, 4H, H2-2′/H2-3′), 3.65 (m, 1H, H-1′), 6.95-7.27 (m, 5H, Ar-H), 7.85 (br s, 1H, NH), 8.33 (d, 3JH-F = 13.0 Hz, 1H, H-5), 8.62 (s, 1H, H-2), 14.30 (s, 1H, CO2H); IR (KBr): ν 3430, 3083, 2924, 2851, 1702, 1604, 1539, 1464, 1390, 1340, 1265, 1191, 1096, 1039 cm-1; Anal. Calcd. for C19H14 FN3O5 (383.33): C, 59.53; H, 3.68; N, 10.96. Found: C, 59.40; H, 3.61; N, 10.90; mp = 250-256 °C (decomposition); Rf value in system 1 = 0.70 and in system 2 = 0.85;

g) 7-Amino-1-cyclopropyl-6-fluoro-8-nitro-4-oxo-1,4-dihydroquinoline-3-carboxylic acid (9g).

Method A: A mixture of 7-chloro-1-cyclopropyl-6-fluoro-8-nitro-4-oxo-1,4-dihydroquinoline-3-carboxylic acid (3, 1.3 g, 4 mmol), ammonium hydroxide (28 %, 8 mL) and pyridine (8 mL) was stirred for 17 hours in a round bottom flask at R.T. Excess ammonia (4 mmol) was added every 2-3 h until the starting material spot disappeared on TLC. The reaction mixture was evaporated to dryness to give an orange residue. The orange residue was triturated with water-acetic acid (10:1, 44 mL), filtered, washed with water, and then re-crystallized to give 7-amino-1-cyclopropyl-6-flouro-8-nitro-1,4-dihydro-4-oxo-3-quinoline carboxylic acid 9g as orange crystals (Scheme 2). Yield ≈ 0.92 g (75 %); 1H-NMR (CDCl3): δ 1.17, 1.29 (2m, 4H, H2-2′/H2-3′), 3.78 (m, 1H, H-1′), 6.7 (br s, 2H, NH2, exchangeable), 8.47 (d, 3JH-F = 7.8 Hz, 1H, H-5), 8.94 (s, 1H, H-2), 13.71 (s, 1H, CO2H); 13C- NMR (CDCl3): δ 11.3 (C-2′/C-3′), 38.8(C-1′), 109.9 (C-3), 115.0 (d,2JC-F = 23 Hz, C-5), 127.6 (d, 3JC-F = 6.7 Hz, C-4a), 131.0 (C-8), 134.3 (d, 2JC-F = 23.2 Hz, C-7), 140.0 (C-8a), 151.8 (C-2), 155.1 (d, 1JC-F = 255 Hz, C-6), 164.7 (CO2H), 175.8 (d, 4JC-F = 1.8 Hz, C-4); IR (KBr): ν 3435, 3076, 2923, 1718, 1604, 1539, 1436, 1385, 1330, 1261, 1193, 1125, 1051 cm-1; Anal. Calcd. for C13H10FN3O5 (307.23): C, 50.82; H, 3.28; N, 13.68. Found: C, 50.76; H, 3.33; N, 13.49; mp = 264-267 °C (decomposition); Rf value in system 1 = 0.725 and in system 2 = 0.875.
Method B: This compound was also prepared by acid hydrolysis of ethyl 7-Aminoamino-1-cyclopropyl-6-flouro-8-nitro-4-oxo-1,4-dihydroquinoline-3-carboxylate [15]. 1H-NMR (DMSO-d6): δ 1.06, 1.18 (2m, 4H, H2-2′/H2-3′), 3.74 (m, 1H, H-1′), 6.8 (br s, 2H, NH2, exchangeable), 8.51 (d, 3JH-F = 8.4 Hz, 1H, H-5), 8.82 (s, 1H, H-2), 13.81 (s, 1H, CO2H).

Side products:

a) 1-Cyclopropyl-6-fluoro-7-hydroxy-8-nitro-4-oxo-1,4-dihydro-quinoline-3-carboxylic acid (10).

A stirred mixture of 2-aminonicotinic acid (1.25 g, 9 mmol), 7-chloro-1-cyclopropyl-6-fluoro-8-nitro-4-oxo-1,4-dihydroquinoline-3-carboxylic acid (3, 1.0 g, 3 mmol) and sodium hydrogen carbonate (1.5 g, 18 mmol) in 50 % aqueous ethanol (140 mL) was heated at 70-75 °C under reflux conditions. TLC of the resulted solution at different intervals showed that the reaction proceeded very slowly, producing two faint yellow spots. After 5 weeks, more NaHCO3 (0.25 g, 3 mmol) and 2-amino-nicotinic acid (0.6 g, 4.5 mmol) were added and the reaction mixture was heated at 80 °C under reflux conditions for another 3 weeks. Extraction with CHCl3 was carried out three times and a fourth extraction was also carried out after decreasing pH to 7 using 3.5 N HCL.HCl. The chloroform extracts were collected and, the side product 11 was re-crystallized from chloroform and ethanol (3:1) as yellow crystals. The pH of the aqueous solution was decreased to about 2 and the resulting precipitate was collected by suction filtration, washed with water and dried. Recrystallization from ethanol (30 mL) produced 10 as an off-white powder. Yield ≈ 0.75 g (75 %); 1H-NMR (DMSO-d6): δ 0.97, 1.07 (2m, 4H, H2-2′/H2-3′), 3.66 (m, 1H, H-1′), 4.95 (br s, 1H, OH, disappeared in acetone), 8.10 (d, 3JH-F = 10.57 Hz, 1H, H-5), 8.66 (s, 1H, H-2), 14.39 (br s, 1H, CO2H in acetone only, did not appear in DMSO); 13C-NMR (DMSO-d6): δ 10.8, 10.9 (C-2′/C-3′), 39.59 (C-1′), 108.38 (C-3), 113.0 (d,2JC-F = 19.4 Hz, C-5), 116.99 (d, 3JC-F = 5.2 Hz, C-4a), 132.36 (C-8), 133.05 (C-8a), 148.75 (d, 2JC-F = 20.8 Hz, C-7), 150.92 (d, 1JC-F = 247 Hz, C-6), 151.58 (C-2), 165.57 (CO2H), 175.92 (d, 4JC-F = 2.7 Hz, C-4); IR (KBr): ν 3431, 3076, 2362, 1717, 1619, 1538, 1470, 1339, 1292, 1253, 1220, 1113, 1032 cm-1.; Anal. Calcd. for C13H9FN2O6 (308.22): C, 50.66; H, 2.94; N, 9.09. Found: C, 49.98; H, 2.93; N, 9.01; mp = 240-249 °C (decomposition); Rf value in system 1 = 0.413 and in system 2 = 0.15.

b) 1-Cyclopropyl-7-ethoxy-6-fluoro-8-nitro-4-oxo-1,4-dihydro-quinoline-3-carboxylic acid (11).

The same reaction mentioned above for production of 10, also produced as an additional side product ethoxy cipro acid (1-cyclopropyl-7-ethoxy-6-fluoro-8-nitro-4-oxo-1,4-dihydro-quinoline-3-carboxylic acid, 11). Work up and re-crystallization were as mentioned above. This product was isolated from chloroform extracts at pH above 7. Yield ≈ 0.25 g (25 %); 1H-NMR (DMSO-d6): δ 1.02, 1.15 (2m, 4H, H2-2′/H2-3′), 1.28 (t,J = 7.0 Hz, 3H, CH3), 3.69 (m, 1H, H-1′), 4.46 (q,J = 6.95 Hz, 2H, OCH2CH3), 8.31 (d, 3JH-F = 11.47 Hz, 1H, H-5), 8.78 (s, 1H, H-2), 14.05 (br s, 1H, CO2H); 13C-NMR (CDCl3): δ 10.95 (C-2′/C-3′), 15.66 (CH3), 39.45 (C-1′), 72.96 (d, J = 7.5 Hz, OCH2CH3), 108.89 (C-3), 115.66 (d,2JC-F = 20.8 Hz, C-5), 122.74 (d, 3JC-F = 6.53 Hz, C-4a), 131.61 (C-8), 136.42 (C-8a), 145.78 (d, 2JC-F = 16.68 Hz, C-7), 152.11 (d, 1JC-F = 247.13 Hz, C-6), 152.72 (C-2), 165.06 (CO2H), 175.89 (C-4); IR (KBr): ν 3440, 3054, 2921, 2852, 2363, 1722, 1614, 1544, 1456, 1363, 1286, 1102, 1014 cm-1.; Anal. Calcd. for C15H13FN2O6 (336.27): C, 53.58; H, 3.90; N, 8.33. Found: C, 53.65; H, 4.31; N, 7.97; mp = 203–206 °C (decomposition); Rf value in system 1 = 0.825 and in system 2 = 0.925.

Antibacterial screening:

All the chemical compounds were tested for antibacterial activity against human pathogens Gram-negative (E. coli. ATCC 8739) and Gram-positive bacteria (Staphylococcus aureus ATCC 6538). The minimal inhibitory concentration (MICs) of the chemical compounds assays were carried out as described by Foroumadi et al. [2,3], with minor modification. Ciprofloxacin was used as reference antibacterial agent.

a) Determination of inhibition zones (agar diffusion method):

A drop of bacteria was added to sterile nutrient agar (20 mL), poured into a plate (9 cm in diameter) and allowed to solidify to obtain the seeded agar. The final concentration of the microorganisms in the agar plate was 1-4 x 105 cfu.mL-1 (checked by viable counting in normal saline). Aliquots of 25 µL of the freshly prepared saturated solutions of the synthesized compounds (Table 1) were poured in wells (7 mm in diameter). Plates were then incubated at 37 °C for 24 h. The zones of inhibition were determined as the diameter of the zone of inhibition around the well solution for each compound at its saturated concentration (Table 1). Solvent (DMSO) was included in every experiment of determining zones of inhibition as a control to ensure that it has no effect on the bacterial growth. Each experiment was done in duplicate.

b) Determination of minimum inhibitory concentration, MIC, (serial dilution method):

Stock solutions were prepared by dissolving each pure compound (5 mg) in 5 mL of DMSO then 1 mL of the compound stock solution was added to nutrient broth (4 mL). Progressive twofold serial dilutions of the stock solutions were made in nutrient broth starting from 100 µg/mL concentrations in the first test tubes and ending with a concentration of 3.05 x 10-3 µg/mL.
The standardization of bacterial test suspension was carried out according to Mcfarlandthe McFarland standard method as described by the National Committee for Clinical Laboratories Standard (NCCLS) (1993). One drop of bacterial suspension was added to the test tubes containing graded concentrations of test compounds to yield final consent-ration of 1-4 x 106 cfu.·mL -1. Test tubes were incubated at 37 °C for 24 h and were checked for turbidity. Each experiment was done in duplicate.
Control tests for each experiment were performed. Positive growth control was performed by adding one drop of each micro-organism suspensions to a test tube of the culture medium without the test compound. Negative growth control was also performed using un-inoculated tube of medium without the test compound. Both were incubated for 24 h at 37 °C for both types of bacteria following reported procedures.
Positive and negative controls were performed with DMSO at the same dilutions as in the experiment to ensure that it is incapable of inhibiting the growth of bacteria. Test tubes were incubated at 37 °C for 24 h and found to have no effect on microbial growth at tested concentrations. This procedure was modified from reported literature [2,3,16].

Cytotoxicity on cancerous epithelial cells

MCF-7 cells were trypsinizd, seeded in 96 well plates and incubated for 24 hours. The tested derivatives were diluted with RPMI 1640 cell culture media, added to the cells, and incubated at three concentrations of 10, 30, and 100 µg/mL. The cells were incubated with the compounds for 48 hours and sulphrodamine B assay was run afterwards. All tests were done in triplicates and repeated twice using two different passages.

Acknowledgments

Authors wish to thank Deanship of Academic Research, Deanship of Post Graduate Studies and the Faculty of Pharmacy, University of Jordan, Amman, Jordan for providing necessary facilities and funds for conducting this research. Authors wish to thank also librarians for providing the Scifinder services and e-Library facilities.

References and Notes

  1. Wise, R.; Andrews, J.M.; Edwards, L.J. In vitro activity of Bay 09867, a new quinoline derivative, compared with those of other antimicrobial agents. Antimicrob. Agents Chemother. 1983, 23, 559–564. [Google Scholar] Felmingham, M.D.; O'Hare, D.; Robbins, M.J.; Wall, R.A.; Williams, A.H.; Cremer, A.W.; Ridgeway, G.L.; Gruneberg, R.N. Comparative in vitro studies with 4-quinolone antimicrobials. Drugs Exp. Clin. Res. 1985, 11, 317–329. [Google Scholar] Maurer, F.; Grohe, K. 2,4-Dichloro-5-fluorobenzoic acid. Ger. Offen. 3,435,392. 1986. [Chem. Abstr. 1986, 105, 97158e]. [Google Scholar] Petersen, U.; Bartel, K.D.; Himmler, T.; Krebs, A.; Schenke, T. The synthesis and biological properties of 6-fluoroquinolonecarboxylic acids. Bull. Soc. Chim. Belg. 1985, 105, 683–699. [Google Scholar]
  2. Foroumadi, A.; Mansouri, S.; Kiani, Z.; Rahmani, A. Synthesis and in vitro antibacterial evaluation of N-[5-(5-nitro-2-thienyl)-1,3,4-thiadiazole-2-yl] piperazinyl quinolones. Eur. J. Med. Chem. 2003, 38, 851–854. [Google Scholar]
  3. Foroumadi, A.; Soltani, F.; Moshafi, H.M.; Askari, R.A. Synthesis and in vitro antibacterial activity of some N-(5-aryl-1,3,4-thiadiazole-2-yl)piperazinyl quinolone derivatives. Farmaco 2003, 58, 1023–1028. [Google Scholar]
  4. Cianchetta, G.; Mannhold, R.; Cruciani, G.; Baroni, M.; Cecchetti, V. Chemometric studies on the bactericidal activity of quinolones via an extended VolSurf approach. J. Med. Chem. 2004, 47, 3193–3201. [Google Scholar]
  5. Ziegler, C.B.; Curran, W.V.; Kuck, N.A.; Harris, S.M.; Lin, Y.I. Synthesis and antibacterial activity of some 7-substituted 1-ethyl-6-fluoro-1,4-dihydro-4-oxoquinoline-3-carboxylic acids: ethers, secondary amines and sulfides as C7 substituents. J. Heterocycl. Chem. 1989, 26, 1141–1145. [Google Scholar]
  6. Silva, A.D.; Almeida, M.V.; Souza, M.V.N.; Couri, M.R.C. Biological activity and synthetic methodologies for the preparation of fluoroquinolones, a class of potent antibacterial agents. Curr. Med. Chem. 2003, 10, 21–39. [Google Scholar]
  7. Sanchez, J.P.; Domagala, M.; Hagen, S.E.; Heifetz, C.L.; Hutt, M.P.; Nichols, J.P.; Trehan, A.K. Quinolone antibacterial agents. Synthesis and structure-activity relationships of 8-substituted quinoline-3-carboxylic acids and 1,8-naphthyridine-3-carboxylic acids. J. Med. Chem. 1988, 31, 983–991. [Google Scholar]
  8. Qaisi, A.M.M.; Al-Hiari, Y.M.A.; Zahra, J.A.Y.; El-Abadelah, M.M.M. Quinoline and pyridoquinoxaline derivatives as antibacterial agents. Eur. Pat. Appl. EP 2006-252509 20060512, 2006. [Chem. Abstr. 2006, 120, 9765]. [Google Scholar] Shoaa, A.R. Compounds with antibacterial and antiparasitic properties. PCT Intrnet.Internat. Appl. WO 2001-036408 A1, 2006. [Chem. Abstr. 2001, 135, 5534]. [Google Scholar] Khalil, O.M.; Roshdy, S.M.A.; Shaaban, M.A.; Hasanein, M.K. New 7-substituted fluoroquinolones. Bull. Fac. Pharm. 2002, 40, 89–96. [Google Scholar]
  9. Grohe, K.; Heitzer, H. Cycloaracylation of enamines. I. Synthesis of 4-quinolone-3-carboxylic acids. Liebigs. Ann. Chem. 1987, 1, 29–37. [Google Scholar] Petersen, U.; Grohe, K.; Schenke, T.; Hagemann, H.; Zeiler, H.J.; Metzger, K.G. Preparation of 7-(azabicycloalkyl)-3-quinoline-carboxylates and -3-naphthyridinecarboxylates as bactericides and feed additives. Ger. Offen. 3601567. 1987. [Chem. Abstr., 1987, 107, 236747]. [Google Scholar] Pulla, R.M.; Venkaiah, C.N. An improved process for the preparation of quinolone derivatives, e.g. Ciprofloxacin. PCT Int. Appl. WO 085 692, 2001. [Chem. Abstr. 2001, 135, 371649]. [Google Scholar]
  10. Domagala, J.M.; Peterson, P. New 7-Substituted Quinolone Antibacterial Agents.II. The Synthesis of 1-Ethyl-1, 4-dihydro-4-oxo-7-(pyrazolyl, isoxazolyl, and pyrimidinyl)-1, 8-naphthyridine and quinolone-3-carboxylic Acids. J. Heterocycl. Chem. 1989, 26, 1147–58. [Google Scholar]
  11. Renau, T.E.; Sanchez, J.P.; Gage, J.W.; Dever, J.A.; Shapiro, M.A.; Grackeck, S.J.; Domagala, J.M. Structure-Activity Relationships of the Quinolone Antibacterials against Mycobacteria: Effect of Structural Changes at N-1 and C-7. J. Med. Chem. 1996, 39, 729–735. [Google Scholar] [CrossRef] [PubMed]
  12. Takemura, M.; Hayakawa, I. Recent advances in the field of quinolones. Farmaco 2001, 56, 37–40. [Google Scholar]
  13. Koga, H.; Itoh, A.; Murayama, S.; Suzue, S.; Irikura, T. J Structure-Activity Relationships of Antibacterial 6,7- and 7,8-Disubstituted 1-Alkyl-1,4-dihydro-4-oxoquinoline-3-carboxylic acid. Med. Chem. 1980, 23, 1358–63. [Google Scholar] [CrossRef]
  14. Fisher, L.M.; Lawrence, J.M.; Josty, I.C.; Hopewell, R.; Margerrison, E.E.; Cullen, M.E. Ciprofloxacin and the fluoroquinolones. New concepts on the mechanism of action and resistance. Am. J. Med. 1989, 87, (5A). 2S–8S. [Google Scholar] Chen, F.-J.; Lo, H.-J. Molecular mechanisms of fluoroquinolone resistance. J. Micro. Immun. Infec. (Wei mian yu gan ran za zhi) 2003, 36, 1–9. [Google Scholar]
  15. Al-Hiari, Y.M.; Khanfar, M.A.; Qaisi, A.M.; Abu-Shuheil, M.Y.; El-Abadelah, M.M.; Boese, R. Heterocycles [h] Fused onto 4-Oxoquinolines. Part I. Formal Synthesis and Properties of 6-Oxo-6,9-dihydro[1,2,5]oxadiazolo[3,4-h]quinoline-7-carboxylic acid N-oxide. Heterocycles 2006, 68, 1163–1172. [Google Scholar]
  16. Sarma, M.R.; Kumar, N.V.; Prasad, A.S.R.; Oaraiah, E.S.; Prabhakar, C.; Reddy, G.O.; Kumar, M.S.; Sadhukhan, A.K.; Venkateswarlu, A.; Reddy, K.A. Synthesis and biological activity of novel antibacterial quinolones. Ind. J. Chem. 2001, 40B, 331–335. [Google Scholar]
  • Sample Availability: Contact the authors.

Share and Cite

MDPI and ACS Style

Al-Hiari, Y.M.; Al-Mazari, I.S.; Shakya, A.K.; Darwish, R.M.; Abu-Dahab, R. Synthesis and Antibacterial Properties of New 8-Nitrofluoroquinolone Derivatives. Molecules 2007, 12, 1240-1258. https://doi.org/10.3390/12061240

AMA Style

Al-Hiari YM, Al-Mazari IS, Shakya AK, Darwish RM, Abu-Dahab R. Synthesis and Antibacterial Properties of New 8-Nitrofluoroquinolone Derivatives. Molecules. 2007; 12(6):1240-1258. https://doi.org/10.3390/12061240

Chicago/Turabian Style

Al-Hiari, Yusuf M., Inas Saleh Al-Mazari, Ashok K. Shakya, Rula M. Darwish, and Rana Abu-Dahab. 2007. "Synthesis and Antibacterial Properties of New 8-Nitrofluoroquinolone Derivatives" Molecules 12, no. 6: 1240-1258. https://doi.org/10.3390/12061240

APA Style

Al-Hiari, Y. M., Al-Mazari, I. S., Shakya, A. K., Darwish, R. M., & Abu-Dahab, R. (2007). Synthesis and Antibacterial Properties of New 8-Nitrofluoroquinolone Derivatives. Molecules, 12(6), 1240-1258. https://doi.org/10.3390/12061240

Article Metrics

Back to TopTop