Next Article in Journal
Regioselective Synthesis of Vinylic Derivatives of Common Monosccarides Through Their Activated Stannylene Acetal Intermediates
Previous Article in Journal
Pechmann Reaction Promoted by Boron Trifluoride Dihydrate
 
 
Font Type:
Arial Georgia Verdana
Font Size:
Aa Aa Aa
Line Spacing:
Column Width:
Background:
Article

Structural Investigation of bis(4-Methyl-1-piperazineglyoximato)dipyridinato Cobalt(III) Chloro Dinitrate Trihydrate

1
Department of Physics, Faculty of Arts and Sciences, Erciyes University, Turkey
2
Department of Chemistry, Faculty of Arts and Sciences, Ondokuzmayıs University, Turkey
3
Department of Physics, Faculty of Arts and Sciences, Ondokuzmayıs University, Turkey
4
X-ray Crystallography Unit, School of Physics, University Sains Malaysia, Malaysia
*
Author to whom correspondence should be addressed.
Molecules 2005, 10(7), 767-771; https://doi.org/10.3390/10070767
Submission received: 10 March 2004 / Revised: 21 December 2004 / Accepted: 23 December 2004 / Published: 31 August 2005

Abstract

:
The crystal and molecular structure of the title compound, C24H36CoN10O4·2(NO3)·3(H2O)·Cl, have been determined by X-ray analysis: Cc (No: 9), a = 17.6920(4) Å, b = 11.8163(2) Å, c = 16.4752(4) Å, ß = 91.679(1)°, Z = 4. The Co(III) ion is six-coordinated with octahedral geometry, the pyridine rings are planar and the piperazine rings assume chair conformations.

Introduction

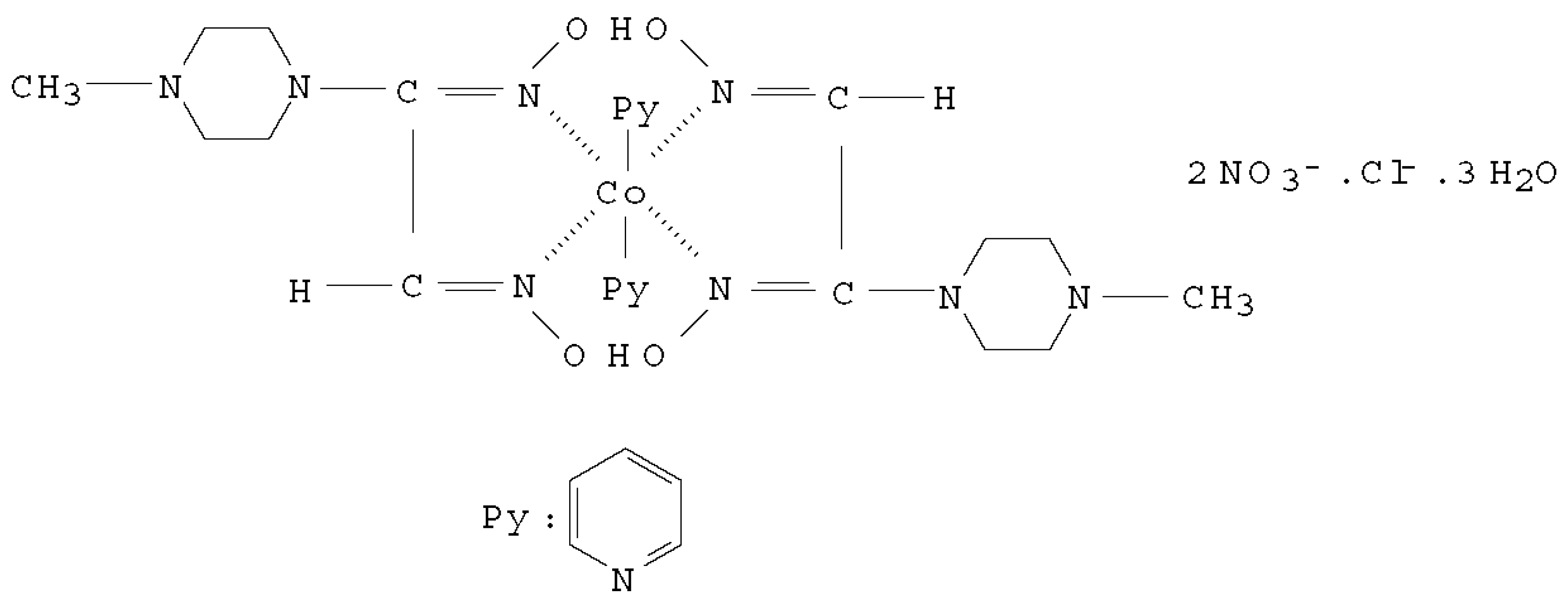
Vic-dioxime complexes are an important group of coordination compounds from different points of view. They are used as model compounds for studying the structures of vitamin B12 and coenzyme B13, which play important roles in biological mechanisms [1,2]. In addition, they also have some medical, chromatographic and analytical importance [3]. In this study, we have carried out the crystal structure determination of the title compound, bis(4-methyl-1-piperazineglyoximato)dipyridinato cobalt(III)chloro dinitrate trihydrate, by X-ray single crystal diffraction.

Results and Discussion

The Co(III) ion has an octahedral coordination environment formed by four N atoms of the glyoximato groups and two N atoms of the pyridinato groups, Figure 1 [4]. The mean value of the Co- N bond lengths is 1.9227(5)Å and the mean value of the N-Co-N angles is 90.0(2)°. These values agree with those observed in the crystal structure of tris(oxamide oxime)cobalt(III) trichloride; the Co– N lengths vary within a range from 1.903(2) to 1.922(2)Å and the N-Co-N angles vary in a range from 80.02(8) to 93.92(10)° [5].
The pyridine rings are planar with the largest deviations from the least-squares plane being those of atoms C29 [-0.013(6)Å] and C34 [0.007(5)Å]; there is a dihedral angle of 8.54(2)° between the two rings. The average value of the N-C distances in the piperazine rings is 1.4743(6)Å, in agreement with the value of 1.475(2)Å found in 1-(4-benzylpiperidin-1-yl) glyoxaldioxime [6]. The piperazine rings adopt chair conformations. The puckering parameter, QT [7] is 0.570(5) for the N1-C6 and 0.563(5) for the N20-C25. The positive charge on the Co(III) cation is balanced by two (NO3)- and one Cl- ions. The crystal structure is stabilized by some inter- and intrahydrogen contacts.
Figure 1. An ORTEP-II drawing with the numbering scheme and ellipsoids at the 50% probability level.
Figure 1. An ORTEP-II drawing with the numbering scheme and ellipsoids at the 50% probability level.

Conclusions

We report the X-ray crystal structure determination of C24H36CoN10O4·2(NO3)·3(H2O)·Cl . In this study, we confirmed by X-ray structure analysis the formula of this cobalt complex, which had been suggested by Özpozan et al. [8] on the basis of IR and Raman spectra.
Table 1. Summary of crystal data and structure refinement.
Table 1. Summary of crystal data and structure refinement.
Chemical formulaC24H36CoN10O4·2(NO3)·3(H2O)·Cl
Molecular weight801.08
Crystal systemMonoclinic
Space group (no.); ZC c (No: 9); 4
Unit cell parameters (Å,°)a = 17.6920(4),
b = 11.8163(2),
c = 16.4752(4),
β= 91.679(1)
Volume (Å3)3442.7(1)
T(K)293(2)
F(000)1672
Crystal size [mm]0.54 x 0.26 x 0.06
Crystal density [g·cm–3]1.546
μ [mm−1]0.656
Absorption correctionEmpirical using SADABS
Tmax and Tmin0.962 / 0.718
λ (MoKα) = 0.71073ÅRint = 0.037
h , k , l-22 / 22 , -14 / 15 , -21 / 20
θ range [°]3.20 to 27.50
No. of measured reflections6422
No. of observed reflections [ I ≥ 2 σ (I) ]5254
Number of parameters481
R = 0.046wR = 0.101
S = 1.072σ/Δ = 0.00
Max. and min. residual electron densities [eÅ-3]+0.467, -0.290

Experimental

General

1-methyl-4-piperazineglyoxime has been synthesized according to the literature [9,10]. The title complex was formed by titration of a mixture of the transition metal ion (Co2+) and ligands with NaOH. The purities and the exact concentrations of stock solutions of the ligands and titrant were confirmed pH-metrically using the Gran method [11]. Solutions of metals ions (0.001 molL-1) were prepared from CoCl2·6H2O (Fluka), used as received. A 0.05 molal buffer solution of potassium hydrogen phthalate (KHP, Fluka) was prepared. All the IR spectra were recorded with a BOMEM MB-102 model FTIR spectrometer. The samples were prepared as a KBr pellet (in 0.1% (w/w) concentration) and detected with a DTGS detector. Each spectrum was scanned 35 times in the 200– 4000 cm-1 range. Raman spectra were recorded with a Jobin Yvon Model U1000 spectrometer with 150° back scattering angle, at 4 second time intervals by using a single channel double monochromator.

Synthesis of C24H36CoN10O4·2(NO3)·3(H2O)·Cl

4-Methylpiperazine (20 mmol) in ethanol (10 mL) was added dropwise to a stirred solution of anti-chloroglyoxime (20 mmol) in ethanol (30 mL) at –10 °C. The mixture was stirred for 4 h at 0°C. After adjusting the pH of the mixture with 0.1 N KOH to 7-8, the mixture was stirred for 4 h at 0 °C. A solution of Co(NO3)2 ·6H2O (10 mmol) in water (10 mL) was added to this solution while stirring for 1 h at about 30°C. After adjusting the pH of the mixture to 6-7 with 0.1 N KOH the mixture was stirred for 3 h at 30°C. The mixture was heated with stirring to 50 °C and stirred for 3 h. A solution of pyridine (40 mmol) in ethanol (10 mL) was added and the mixture was stirred for 3 h. The brown complex was extracted from the mixture into the chloroform phase (40 mL). The complex was crystallized from the chloroform phase and characterized by comparison of its IR and Raman spectra with the literature values as reported by Özpozan et al. [8].
Scheme 1.  
Scheme 1.  

Data collection, Crystal Structure Determination and Refinement

A summary of the key crystallographic information is given in Table 1. Data were collected using a Siemens CCD SMART system, using graphite-monochromated MoKα radiation with a detector distance of 4 cm and swing angle of -35°. A hemisphere of reciprocal space was covered by a combination of three sets of exposures; each exposure had a different φ angle (0, 88, 180°) and each exposure of 30s covered 0.3° in ω. Coverage of the unique set is over 99% complete. Crystal decay was monitored by repeating thirty initial frames at the end of data collection and analysing the duplicate reflections, and was found to be negligible.
The collected data were reduced by using the program SAINT [12] and an empirical absorption correction was carried out by using the SADABS [13] program. The structure was solved by direct methods SHELXS97 [14] and refined by full-matrix least square methods SHELXL97 [15]. The hydrogen atoms of the water molecules were found in the difference Fourier map and the U’s of only two water H-atoms were allowed to refine while the U’s of four H’s were fixed along with the rest of the H’s. The other H-atoms were positioned geometrically and refined with fixed isotropic displacement parameters. The crystal structure has been deposited at the Cambridge Crystallographic Data Centre [16].

References and Notes

  1. Hughes, M.N. Introduction to Chemistry of Biological Processes; New York: Wiley, 1981. [Google Scholar]
  2. Serin, S.; Gök, Y.; Karaböcek, S.; Gültekin, S. N. Determination of Nickel and Copper Using Vic-Dioximes with Potentiometric Titration. Analyst 1994, 119, 1629–1631. [Google Scholar]
  3. Yıldız, S.; Pehlivan, E.; Ersöz, M.; Pehlivan, M. Ligand exchange chromatography of nucleosides and nucleic acid bases on a novel modified Co(II)-loaded Lycopodium Clavatum and kinetics in the resin. J. Chromatogr. Sci. 1993, 31, 150–155. [Google Scholar] [CrossRef]
  4. Johnson, C.K. ORTEP-II, A Fortran Thermal-Ellipsoid Plot Program. Report ORNL-5138; Oak Ridge National Laboratory: Oak Ridge, Tennessee, USA, 1976. [Google Scholar]
  5. Bekaroğlu, Ö.; Sarıbasan, S. The Crystal Structure of Tris(oxamide oxime)cobalt(III) Trichloride. Acta Crystallogr., Sect. B: Struct. Sci. 1978, B34, 3591–3593. [Google Scholar] [CrossRef]
  6. Öztürk, S.; Işık, Ş.; Macit, M.; Fun, H.K. 1-(4-Benzylpiperidin-1-yl) glyoxaldioxime. Acta Crystallogr., C: Cryst. Struct. Commun. 1999, C55, 1132–1134. [Google Scholar] [CrossRef]
  7. Cremer, D.; Pople, J.A. A general definition of ring puckering coordinates. J. Am. Chem. Soc. 1975, 97, 1354–1358. [Google Scholar] [CrossRef]
  8. Özpozan, T.; Küçükusta, D.; Büyükmumcu, Z. Vibrational Spectra, Normal Coordinate Treatment and Simulation of the Vibrational Spectra of Piperazine Glyoxime and its Co(III) complex. J. Mol. Struct.. 2003, 661–662, 647–657. [Google Scholar] [CrossRef]
  9. Can, M.; Sari, H.; Macit, M. Potentiometric Study of The New Synthezised 1-Benzyl-4- Piperazineglyoxime and 1-Methyl-4-Piperazineglyoxime and Their Divalent Metal Complexes. Acta Chim. Slov. 2003, 50, 1–14. [Google Scholar]
  10. Macit, M.; Bati, H.; Bati, B. Synth. React. Inorg. Met-Org. Chem. 1998, 28, 833. [CrossRef]
  11. Gran, G. Acta Chem. Scand. 1950, 4, 559. [CrossRef]
  12. Siemens Inc. SAINT v4 Software Reference Manual; Siemens Analytical X-Ray Systems, Inc.: Madison, Wisconsin, USA, 1996. [Google Scholar]
  13. Sheldrick, G.M. SADABS. Program for Empirical Absorption Correction of Area Detector Data; Univ. of Göttingen: Göttingen, Germany, 1996. [Google Scholar]
  14. Sheldrick, G.M. SHELXS97. Program for the Solution of Crystal Structures; University of Göttingen: Göttingen, Germany, 1997. [Google Scholar]
  15. Sheldrick, G.M. SHELXL97. Program for the Refinement of Crystal Structures; University of Göttingen: Göttingen, Germany, 1997. [Google Scholar]
  16. CCDC 233054 contains the supplementary crystallographic data for this paper. These data can be obtained free of charge via the URL http://www.ccdc.cam.ac.uk/conts/retrieving.html (or from the CCDC, 12 Union Road, Cambridge CB2 1EZ, UK; fax: (+44) 1223 336033; e-mail: deposit@ccdc.cam.ac.uk).
  • Samples Availability: Available from the authors.

Share and Cite

MDPI and ACS Style

Öztürk, S.; Akkurt, M.; Macit, M.; Işık, S.; Fun, H. Structural Investigation of bis(4-Methyl-1-piperazineglyoximato)dipyridinato Cobalt(III) Chloro Dinitrate Trihydrate. Molecules 2005, 10, 767-771. https://doi.org/10.3390/10070767

AMA Style

Öztürk S, Akkurt M, Macit M, Işık S, Fun H. Structural Investigation of bis(4-Methyl-1-piperazineglyoximato)dipyridinato Cobalt(III) Chloro Dinitrate Trihydrate. Molecules. 2005; 10(7):767-771. https://doi.org/10.3390/10070767

Chicago/Turabian Style

Öztürk, S., M. Akkurt, M. Macit, S. Işık, and H. Fun. 2005. "Structural Investigation of bis(4-Methyl-1-piperazineglyoximato)dipyridinato Cobalt(III) Chloro Dinitrate Trihydrate" Molecules 10, no. 7: 767-771. https://doi.org/10.3390/10070767

APA Style

Öztürk, S., Akkurt, M., Macit, M., Işık, S., & Fun, H. (2005). Structural Investigation of bis(4-Methyl-1-piperazineglyoximato)dipyridinato Cobalt(III) Chloro Dinitrate Trihydrate. Molecules, 10(7), 767-771. https://doi.org/10.3390/10070767

Article Metrics

Back to TopTop