Next Article in Journal / Special Issue
Synthesis of Unsymmetrical Annulated 2,2’-Bipyridine Analogues with Attached Cycloalkene and Piperidine Rings via Sequential Diels-Alder Reaction of 5,5’-bi-1,2,4-triazines
Previous Article in Journal / Special Issue
Synthesis and Molecular Structure of Methyl 4-O-methyl-α-D-glucopyranuronate
 
 
Font Type:
Arial Georgia Verdana
Font Size:
Aa Aa Aa
Line Spacing:
Column Width:
Background:
Article

Synthesis of the Key Precursor of Hirsutellide A

1
College of Pharmaceuticals and Biotechnology, Tianjin University, Tianjin, 300072, P.R. China
2
Shenzhen Graduate School of Peking University, Shenzhen University Town, Shenzhen, 518055, P.R. China
*
Author to whom correspondence should be addressed.
Molecules 2005, 10(1), 259-264; https://doi.org/10.3390/10010259
Submission received: 27 February 2004 / Accepted: 19 March 2004 / Published: 31 January 2005
(This article belongs to the Special Issue Hypervalent Iodine)

Abstract

:
Hexadepsipeptide 2, the precursor of Hirsutellide A (1), was synthesized in an overall yield of 45% from N-Boc-Me-Gly via three coupling reactions using dicyclohexylcarbodiimide (DCC), O-(7-azabenzotriazol-1-yl)-N,N,N’,N’-tetramethyl- uronium hexafluorophosphate (HATU) and bis(2-oxo-3-oxazolidinyl)phosphinic chloride (BOP-Cl), respectively.

Introduction

Hirsutellide A (1) is a new antimycobacterial cyclohexadepsipeptide from the cell extracts of Hirsutella kobayasii BCC 1660. It exhibited antimycobacterial activity with a MIC (minimum inhibitory concentration) of 6-12 μg/mL with no cytotoxic effect towards Vero cells at 50 μg/mL. Additionally, compound 1 also possessed weak in vitro antimalarial activity, with an IC50 value of 2.8 μg/mL [1]. With the rapidly increasing worldwide incidence of tuberculosis, particularly among those associated with HIV infection, studies on new drugs against the emerging drug-resistant strains of turberculosis are urgently needed.
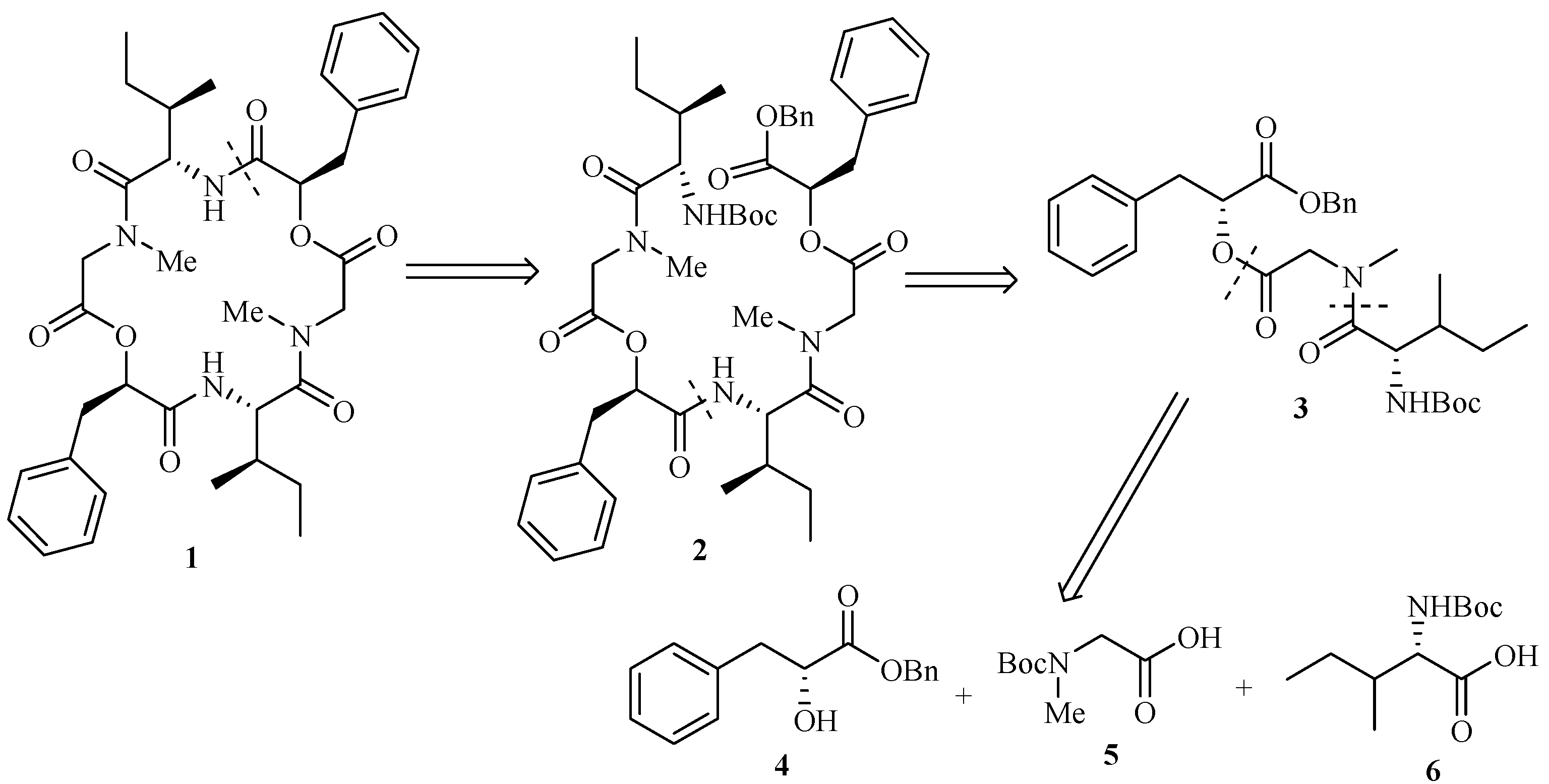
Our retrosynthetic analysis of hirsutellide A (1) is shown in Figure 1. Recognizing the importance of structure 2, we divided it into two tridepsipeptides units. A further division led to three subunits, 2-hydroxy-3-phenylpropanoic acid benzyl ester (4), (tert-butoxycarbonylmethylamino)acetic acid (5) and 2-tert-butoxycarbonylamino-3-methylpentanoic acid (6).
Figure 1. Retrosynthetic analysis of Hirsutellide A (1)
Figure 1. Retrosynthetic analysis of Hirsutellide A (1)
Molecules 10 00259 g001

Results and Discussion

Compound 4 was obtained as a colorless oil from D-phenylalanine through the diazotization, hydrolysis [2] and esterification by benzyl alcohol [3] (Scheme 1).
Scheme 1.
Scheme 1.
Molecules 10 00259 g002
Subunit 5 was obtained from N-Boc-Gly-OH (8) through N-methylation with CH3I (Scheme 2). After adding the first portion of CH3I (4.0 equiv.) and NaH (2.5 equiv.) to the reaction mixture, CH3I (2.0 equiv.) and NaH (1.0 equiv.) were added again to drive the N-methylation to completion. Unit 6 was N-Boc-Ile.
Scheme 2.
Scheme 2.
Molecules 10 00259 g003
The synthetic sequence leading to compound 2 is shown in Scheme 3. Esterification of 5 with 4 using DCC provided the fully protected didepsipeptide 9. Removal of the Boc protecting group by treatment with TFA afforded compound 10. Then the TFA amine salt 10 was coupled with unit 6 using HATU-promoted reagent to yield the corresponding protected tridepsipeptide 3 in 81% yield compared with PyBOP-promoted in 60% yield and DCC in lower yield. Cleavage of the benzyl ester and the Boc group gave two deprotected precursors 11 and 12, respectively. Subsequently, the TFA amine salt 12 and free acid residue 11 were coupled separately with HATU, PyBOP and BOP-Cl promoting to synthesize the linear hexadepsipetide 2. Only the reaction with BOP-Cl reagent worked in 77% yield to afford the product 2 whose structure was fully characterized by [α]D, IR, NMR and MS.
Scheme 3.
Scheme 3.
Molecules 10 00259 g004
Reagents: DCC: Dicyclohexyl carbodiimide; TFA: Trifluoroacetic acid; HATU: O-(7-Azabenzo- triazol-1-yl)-N,N,N’,N’-tetramethyluronium hexafluorophosphate; PyBOP: Benzotriazole-1-yl- oxy-tris-pyrrolidinophosphonium hexafluorophosphate; BOP-Cl: Bis(2-oxo-3-oxazolidinyl)- phosphinic chloride.

Conclusions

The hexadepsipeptide 2, a key hirsutellide A (1) precursor, was successfully synthesized in an overall yield of 45% based on N-Boc-Me-Gly using three coupling reactions with DCC, HATU, and BOP-Cl, respectively.

Experimental

General

Melting points were determined by the capillary tube method, and are uncorrected. IR spectra (KBr pellets) were recorded on a Bio-Rad FTS 135 spectrophotometer. Optical rotations were measured on a WZZ-3 digital polarimeter with a sodium lamp (λ=589nm, D line). 1H- and 13C‑NMR spectra were recorded on a Bruker AV400 instrument. Chemical shifts (δ) are reported in ppm relative to TMS used as internal standard. Mass spectra were recorded on a LCQ analytical Advantage MAX spectrometer. Organic solvents were dried by standard methods when necessary. Thin-layer chromatography (TLC) was performed on glass sheets coated with silica gel (type GF254, Qingdao Haiyang). Flash column chromatography was carried out using 200-300 mesh silica gel.

(R)-2-hydroxy-3-phenylpropanoic acid (7).

A solution of 40% sodium nitrite (12 mL) was added into a solution of D-phenylalanine (6.60 g, 40 mmol) in H2SO4 (2 mol/L, 45 mL) over 2 h under ice cooling. The mixture was stirred for 6h at 0°C, and then at room temperature for 12 h. Additional H2SO4 (2 mol/L, 10 mL) and sodium nitrite (40%, 6 mL) were added as above. The reaction mixture was saturated by NaCl, followed by extraction with ethyl acetate (3×60 mL). The combined extracts were washed with brine (200 mL), dried (MgSO4), filtered and evaporated to give a white solid which upon recrystallization from diethyl ether, gave the product 7 (6.54g, 98.5%), m.p. 125-127°C (lit.[2], 123-124°C), [α] D 20 =+38.6°(c 1.00, DMF) [lit.[2], [α] D 25 =+26.7°(c 3.80, acetone)]

(R)-benzyl-2-hydroxy-3-phenylpropanoate (4).

Into a 100-mL round-bottom flask equipped with a Stark and Dean distilling receiver were placed compound 7 (1.66 g, 10 mmol), p-toluenesulfonic acid monohydrate (0.02 g, 0.12 mmol), benzyl alcohol (1.6 mL, 15 mmol), and toluene (30 mL). Then the mixture was heated under reflux. When water was no longer distilled off (about 4 h), the reaction mixture was permitted to cool to room temperature. Then ether (30 mL) and saturated aqueous Na2CO3 (50 mL) were added. The two layers were separated, and the water layer was extracted with ether (2×30mL). The combined extracts were washed with brine (100 mL), dried (MgSO4), filtered and concentrated under reduced pressure. The residue was purified by column chromatography on silica gel (petroleum ether/ethyl acetate, 10:1) to give 4 (1.45g, 56.6%). [α] D 20 =+54.9°(c 1.5, CH2Cl2) [lit.[2], [α] D 25 =+55.2°(c 1.88, CH2Cl2)]; IR (KBr): 3484, 3034, 2928, 1737, 1495, 1450, 1380, 1264, 1189, 1094, 745, 698 cm-1; 1H-NMR (400 MHz, CDCl3) δ: 7.18~7.41 (m, 10H), 5.20 (s, 2H), 4.51 (dd, 1H, J1=4.8 Hz, J2=6.4 Hz), 3.15 (dd, 1H, J1=4.8 Hz, J2=13.6 Hz), 3.01 (dd, 1H, J1=6.4 Hz, J2=13.6 Hz), 2.92 (br, OH); 13C-NMR (100 MHz, CDCl3) δ: 173.85, 136.09, 134.94, 129.40, 128.50, 128.44, 128.23, 126.67, 71.17, 67.18, 40.34.

(tert-Butoxycarbonylmethylamino)acetic acid (5).

To a cooled (0°C) solution of Boc-Gly-OH 8 (7.33 g, 41.9 mmol) and MeI (10.6 mL, 170 mmol) in dry THF (200 mL), was added NaH (5.23g, 120 mmol, 55% in mineral oil) cautiously and the mixture was with stirred gently overnight. CH3I (5.3 mL) and NaH (1.75 g) were added in again by the above procedure to push the reaction to completion. Ethyl acetate (100 mL) was then added, followed by water (15 mL) added dropwise to destroy the excess NaH. The solution was evaporated to dryness, and the oily residue partitioned between ether (60 mL) and water (100 mL). The ether layer was washed with saturated aqueous NaHCO3 (50 mL), and the combined aqueous extracts acidified to pH 2 with 1 mol/L HCl under ice cooling. The product was extract into ethyl acetate (2×100 mL). Then the extracts were washed with water (100 mL), 5% aqueous sodium thiosulfate (2×100 mL, to remove iodine), and brine (100 mL), dried (MgSO4), filtered, and evaporated to give a pale white oil 5 (7.32g, 92.5%).

2-[2-(tert-Butoxycarbonylmethylamino)acetoxy]-3-phenylpropionic acid benzyl ester (9).

Compound 4 (1.29 g, 5.0 mmol) was dissolved in dry CH2Cl2 (10 mL) and cooled to 0°C. A solution of N-Me-Boc-Gly-OH 5 (0.95 g, 5.0 mmol) in CH2Cl2 (10 mL) was added in one portion followed by HOBt (0.73 g, 5.4 mmol) and DMAP (0.66 g, 5.4 mmol) and the resulting suspension was then stirred for 15 min. A solution of DCC (1.12 g, 5.4 mmol) in dry CH2Cl2 (10 mL) was added to the suspension over 10 min and the mixture was slowly warmed to room temperature and stirred for 24 h. The mixture was evaporated in vacuo to leave a solid and then taken up in ethyl acetate (50 mL), filtered to remove DCU (by product). The filtrate was washed with saturated aqueous NaHCO3 (2×50 mL) and brine (50 mL). The organic layer was dried (MgSO4) and evaporated in vacuo to leave a residue and then purified by column chromatography on silica gel (petroleum ether/ethyl acetate, 10:1) to yield title compound 9 (1.56 g, 72.5%). [α] D 20 =+16.3°(c 1.0, CHCl3); IR (KBr): 2970, 2932, 1754, 1703, 1453, 1381, 1243, 1179, 1160, 1070, 746, 703cm-1; 1H-NMR (400 MHz, CDCl3) δ (rotamer): 7.14~7.32 (m, 10H), 5.30~5.32 (m, 1H), 5.08~5.15 (m, 2H), 3.91~4.05 (m, 2H), 3.10~3.18 (m, 2H), 2.79, 2.78 (s, 3H, rotamer), 1.26~1.46(m, 9H); 13C-NMR (100 MHz, CDCl3) δ (rotamer): 169.05, 168.64, 155.60, 154.95, 135.20, 135.13, 134.84, 129.16, 129.06, 128.31, 128.28, 128.26, 128.19, 128.09, 128.05, 126.81, 79.83, 79.77, 73.09, 73.01, 66.86, 50.39, 49.68, 36.98, 34.93, 28.06, 27.87.

2-{2-[(2-tert-Butoxycarbonylamino-3-methylpentanoyl)methylamino]acetoxy}-3-phenylpropionic acid benzyl ester (3).

To a solution of 9 (1.70 g, 4.0 mmol) in dry CH2Cl2 (6 mL) was added TFA (2 mL, 26.0 mmol) dropwise at 0°C with stirring. The mixture then was slowly warmed to room temperature and stirred for 5 h. The reaction mixture was concentrated, the residue dried under high vacuum and dissolved in dry CH2Cl2 (10 mL). A solution of N-Boc-Ile-OH 6 (1.01 g, 4.4 mmol) in dry CH2Cl2 (10 mL) was added in one portion followed by HATU (99%) (1.84 g, 4.8 mmol). Triethylamine (5.6 mL, 39.8 mmol) was added to the mixture dropwise under ice cooling. Then the mixture was warmed to room temperature slowly and stirred for 12 h. The reaction was quenched by adding saturated aqueous NH4Cl (2mL) dropwise and evaporated in vacuo followed by dissolving in ethyl acetate (150 mL). The mixture was washed with saturated aqueous NaHCO3 (2×100 mL) and brine (100 mL), dried (MgSO4), filtered and evaporated in vacuo to leave a residue which was purified by column chromatography on silica gel (petroleum ether/ethyl acetate, 5:1) to afford tridepsipeptide 3 (1.74 g, 80.9%). [α] D 20 =+6.3° (c 1.0 CHCl3); IR (KBr): 3409, 3316, 2969, 1753, 1708, 1652, 1497, 1402, 1377, 1246, 1176, 1075, 1031, 745, 703cm-1; 1H-NMR (400 MHz, CDCl3) δ (rotamer): 7.10~7.34 (m, 10H), 5.31 (dd, 1H, J1=5.2 Hz, J2=7.6 Hz), 5.04~5.17 (m, 3H), 4.51 (br, NH), 4.53 (d, 1H, J=17.6 Hz), 3.80 (d, 1H, J=17.6 Hz), 3.16(dd, 1H, J1=5.2 Hz, J2=14.4 Hz), 3.10 (dd, 1H, J1=7.6 Hz, J2=14.4 Hz), 3.00 (s, 3H), 1.66~1.71 (m, 1H), 1.40 (s, 9H), 0.88~0.96 (m, 8H); 13C-NMR (100 MHz, CDCl3) δ (rotamer): 173.12, 168.95, 168.38, 155.83, 135.23, 134.97, 129.33, 128.56, 128.52, 128.49, 128.42, 128.36, 127.13, 79.48, 73.43, 67.23, 54.22, 49.16, 38.03, 37.15, 36.36, 28.32, 23.91, 15.55, 11.29.

2-(2-{[2-(2-{2-[(2-tert-Butoxycarbonylamino-3-methylpentanoyl)methylamino]acetoxy}-3-phenyl- propionylamino)-3-methylpentanoyl]methylamino}acetoxy)-3-phenylpropionic acid benzyl ester (2).

A solution of 3 (0.26 g, 0.5 mmol) in ethyl acetate (30 mL) was treated with Pd-C (5%, 0.52 g), and the black suspension was stirred at room temperature under an atmosphere of H2 for 12 h. The catalyst was removed by filtration, and the filtrate was concentrated in vacuo to give crude 11 (used in the next step without further purification). To a solution of 3 (0.20 g, 0.4 mmol) in dry CH2Cl2 (2 mL) was added TFA (0.5 mL, 6.5 mmol) dropwise at 0°C with stirring. The mixture then was slowly warmed to room temperature and stirred for 5 h. The reaction mixture was concentrated, and the residue dried under high vacuum to give crude 12 (used directly in the next step). TFA salt 12 was dissolved in dry CH2Cl2 (5 mL). A solution of 11 in dry CH2Cl2 (5 mL) was added in one portion with stirring and cooled to 0°C. BOP-Cl (0.13 g, 0.5 mmol) was added at 0°C followed by triethylamine (0.5 mL, 3.7 mmol). The mixture was then warmed to room temperature and stirred for 12 h. The reaction was quenched by adding saturated aqueous NH4Cl (2 mL) dropwise and evaporated in vacuo followed by dissolving in ethyl acetate (50 mL). The mixture was washed with saturated aqueous NaHCO3 (2×50 mL) and brine (50 mL), dried (MgSO4), filtered and evaporated in vacuo to leave a residue which was purified by column chromatography on silica gel (petroleum ether/ethyl acetate, 2:1) to give hexadepsipeptide 2 (0.16g, 76.6%). [α] D 20 =+1.06º(c 3.16, CHCl3); IR (KBr): 3309, 2963, 2931, 1753, 1705, 1645, 1501, 1465, 1406, 1376, 1250, 1176, 1071, 745, 707cm-1; 13C-NMR (100 MHz, CDCl3) δ: 174.24, 172.53, 168.84, 168.67, 168.19, 167.47, 156.06, 136.29, 135.28, 134.90, 130.83, 129.32, 129.29, 129.25, 128.56, 128.53, 128.48, 128.45, 128.40, 128.39, 128.35, 128.28, 127.07, 126.90, 126.79, 79.19, 74.79, 73.42, 67.21, 65.47, 54.00, 52.38, 49.06, 38.00, 37.27, 36.83, 36.28, 30.51, 29.61, 28.40-28.38 (3C), 24.27, 24.24, 15.37, 15.20, 10.84, 10.57; MS: m/z= 895.5 (M+Na)+; Anal. Calcd for C48H64N4O11: C, 66.04; H, 7.39; N, 6.42; O, 20.16. Found: C, 66.18; H, 7.36; N, 6.40; O, 20.06.

References

  1. Vongvanich, N.; Kittakoop, P.; Iaska, M.; Trakulnaleamsai, S.; Vimuttipong, S.; Tanticharoen, M.; Thebtaranonth, Y. HirsutellideA, a new Antimycobacterial Cyclohexadepsipeptide from the Entomopathogenic Fungus Hirsutella kobayasii. J. Nat. Prod. 2002, 65, 1346. [Google Scholar] [CrossRef]
  2. Degerbeck, F.; Fransson, B.; Grehn, L.; Ragnarsson, U. Synthesis of 15N-labelled Chiral Boc-amino Acids from Triflates: Enantiomers of Leucine and Phenylalanine. J. Chem. Soc. Perkin Trans. II 1993, 11. [Google Scholar]
  3. Furuta, K.; Gao, Q.; Yamamoto, H. Chiral (Acyloxy) Borane Complex-catalyzed Asymmetric Diels-alder Reaction: (1R)-1,3,4-Trimethyl-3-cyclohexene-1-carboxaldehyde. Org. Synth. Coll. 9, 772.
  • Sample Availability: Available from the authors.

Share and Cite

MDPI and ACS Style

Xu, Y.; Duan, X.; Li, M.; Jiang, L.; Zhao, G.; Meng, Y.; Chen, L. Synthesis of the Key Precursor of Hirsutellide A. Molecules 2005, 10, 259-264. https://doi.org/10.3390/10010259

AMA Style

Xu Y, Duan X, Li M, Jiang L, Zhao G, Meng Y, Chen L. Synthesis of the Key Precursor of Hirsutellide A. Molecules. 2005; 10(1):259-264. https://doi.org/10.3390/10010259

Chicago/Turabian Style

Xu, Yanjie, Xuemin Duan, Meiling Li, Liqin Jiang, Guangle Zhao, Yi Meng, and Ligong Chen. 2005. "Synthesis of the Key Precursor of Hirsutellide A" Molecules 10, no. 1: 259-264. https://doi.org/10.3390/10010259

APA Style

Xu, Y., Duan, X., Li, M., Jiang, L., Zhao, G., Meng, Y., & Chen, L. (2005). Synthesis of the Key Precursor of Hirsutellide A. Molecules, 10(1), 259-264. https://doi.org/10.3390/10010259

Article Metrics

Back to TopTop