Bioadhesive Properties of Gantrez Nanoparticles
Abstract
:Introduction


Preparation and characterization of Gantrez nanoparticles

| Size (nm) | Zeta potential (mV) | RBITC content (μg/mg) | Protein bound μg/mg) | |
|---|---|---|---|---|
| Gantrez-sol | - | - | 9.95 ± 0.45 | - |
| NP | 279 ± 1 | -41.1 ± 0.5 | 10.33 ± 0.87 | - |
| DP5-NP | 289 ± 5 | -39.0 ± 1.8 | 10,29 ± 0.65 | - |
| DP10-NP | 288 ± 4 | -34.8 ± 0.5 | 10.04 ± 0.38 | - |
| DP30-NP | 307 ± 9 | -28.0 ± 1.8 | 3.60 ± 0.03 | - |
| BSA-NP | 315 ± 7 | -40.7 ± 0.5 | 13.77 ± 0.10 | 337 ± 15 |
| G-NP | 317 ± 9 | -27.2 ± 0.8 | 9.29 ± 0.09 | 267 ± 11 |
Studies of bioadhesion
Influence of the conformation of the copolymer on the bioadhesive properties of Gantrez nanoparticles


| Qmax (mg) | AUCadh (mg h) | kadh (h-1) | MRTadh (h) | |
|---|---|---|---|---|
| Gantrez-sol | 1.53 ± 0.17 | 7.12 | 0.28 ± 0.04 | 3.13 |
| NP | 3.64 ± 0.34 | 10.49 | 0.29 ± 0.03 | 3.41 |
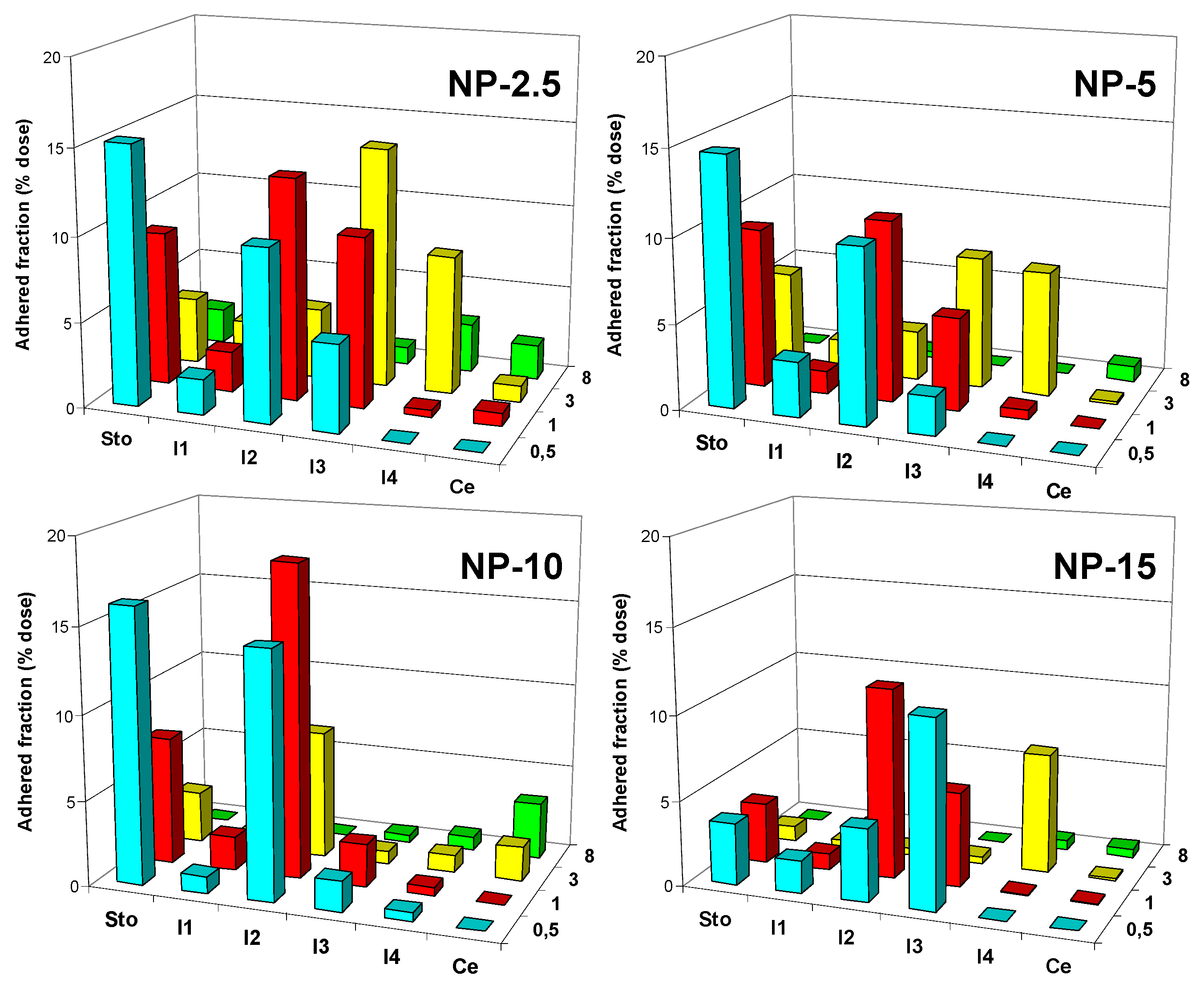
Influence of the dose of nanoparticles on their bioadhesive properties


| Qmax (mg) | AUCadh (mg h) | kadh (h-1) | MRTadh (h) | |
|---|---|---|---|---|
| NP-2.5 | 0.85 ± 0.11 | 5.16 | 0.16 ± 0.05 | 3.01 |
| NP-5 | 1.52 ± 0.41 | 7.10 | 0.09 ± 0.04 | 3.42 |
| NP-10 | 3.64 ± 0.34 | 10.49 | 0.29 ± 0.03 | 3.41 |
| NP-15 | 3.33 ± 0.61 | 12.38 | 0.45 ± 0.12 | 2.33 |
Influence of the cross-linking process on the bioadhesion properties of Gantrez nanoparticles


| Qmax (mg) | AUCadh (mg h) | kadh (h-1) | MRTadh (h) | |
|---|---|---|---|---|
| NP | 3.64 ± 0.34 | 10.49 | 0.29 ± 0.03 | 3.41 |
| DP5-NP | 3.43 ± 0.11 | 10.93 | 0.37 ± 0.02 | 3.34 |
| DP10-NP | 2.31 ± 0.79 | 6.60 | 0.80 ± 0.08 | 2.31 |
| DP30-NP | 2.24 ± 0.64 | 5.58 | 0.88 ± 0.24 | 2.24 |
Influence of the coating agent on the gut distribution and bioadhesive properties of nanoparticles

| Qmax (mg) | AUCadh (mg h) | kadh (h-1) | MRTadh (h) | |
|---|---|---|---|---|
| NP | 3.64 ± 0.34 | 10.49 | 0.29 ± 0.03 | 3.41 |
| BSA-NP | 3.30 ± 0.74 | 8.25 | 0.72 ± 0.21 | 3.34 |
| G-NP | 1.83 ± 0.70 | 6.04 | 0.43 ± 0.22 | 2.24 |

Conclusions
Acknowledgements
References
- Kreuter, J. Nanoparticles. In Colloidal Drug Delivery Systems; Kreuter, J., Ed.; Marcel Dekker: New York, 1994; pp. 219–342. [Google Scholar]
- Allemann, E.; Leroux, J.C.; Gurny, R.; Doelker, E. In vitro extended-release properties of drug-loaded poly(DL-lactic acid) nanoparticles produced by a salting-out procedure. Pharm. Res. 1993, 10, 1732–1737. [Google Scholar]
- Maincent, P.; Le Verge, R.; Sado, P.; Couvreur, P.; Devissaguet, J.P. Deposition kinetics and oral bioavailability of vincamine-loaded polyalkylcyanoacrylate nanoparticles. J. Pharm. Sci. 1986, 75, 955–958. [Google Scholar]
- Damgé, C.; Michel, C.; Aprahamian, M.; Couvreur, P. New approach for oral administration of insulin with polyalkylcyanoacrylate nanocapsules as drug carrier. Diabetes 1988, 37, 246–251. [Google Scholar] [CrossRef]
- Damgé, C.; Michel, C.; Aprahamian, M.; Couvreur, P.; Devissaguet, J.P. Nanocapsules as carriers for oral peptide delivery. J Control. Release 1990, 13, 233–239. [Google Scholar]
- Sakuma, S.; Sudo, R.; Suzuki, N.; Kikuchi, H.; Akashi, M.; Hayashi, M. Mucoadhesion of polystyrene nanoparticles having surface hydrophilic polymeric chains in the gastrointestinal tract. Int. J. Pharm. 1999, 177, 161–172. [Google Scholar] [CrossRef]
- Akiyama, Y.; Nagahara, N.; Nara, E.; Kitano, M.; Iwasa, S.; Yamamoto, I.; Azuma, J.; Ogawa, Y. Evaluation of oral mucoadhesive microspheres in man on the basis of the pharmacokinetics of furosemide and riboflavin, compounds with limited gastrointestinal absorption sites. J. Pharm. Pharmacol. 1998, 50, 159–166. [Google Scholar] [CrossRef]
- Beck, P.H.; Kreuter, J.; Müller, W.E.G.; Schatton, W. Improved peroral delivery of avarol with polyalkylcyanoacrylate nanoparticles. Eur. J. Pharm. Biopharm. 1994, 40, 134–137. [Google Scholar]
- Chickering, D.E.; Jacob, J.S.; Desai, T.A.; Harrison, M.; Morrell, C.N.; Chaturvedi, P.; Mathiowitz, E. Bioadhesive microspheres: III. An in vivo transit and bioavaibility study of drug-loaded alginate and poly(fumaric-co-sebacic anhydride) microspheres. J. Control. Release 1997, 48, 35–46. [Google Scholar] [CrossRef]
- Kim, Y.I; Fluckiger, L.; Hoffman, M.; Lartaud-Idjouadiene, I.; Atkinson, J.; Maincent, P. The antihypertensive effect of orally administered nifedipine-loaded nanoparticles in spontaneously hypertensive rats. Br. J. Pharmacol 1997, 120, 399–404. [Google Scholar]
- Cui, Z.; Mumper, R.J. Chitosan-based nanoparticles for topical genetic immunization. J. Control. Release 2001, 75, 409–419. [Google Scholar] [CrossRef]
- Mansouri, S.; Lavigne, P.; Corsi, K.; Benderdour, M.; Beaumont, E.; Fernandes, J.C. Chitosan-DNA nanoparticles as non-viral vectors in gene therapy: strategies to improve transfection efficacy. Eur. J. Pharm. Biopharm. 2004, 57, 1–8. [Google Scholar] [CrossRef]
- Arbos, P.; Campanero, M.A.; Arangoa, M.A.; Irache, J.M. Nanoparticles with specific bioadhesive properties to circumvent the pre-systemic degradation of fluorinated pyrimidines. J Control. Release 2004, 96, 55–65. [Google Scholar] [CrossRef]
- Lenaerts, V.; Couvreur, P.; Grislain, L.; Maincent, P. Nanoparticles as a gastrointestinal drug delivery system. In Bioadhesive Drug Delivery Systems; Lenaerts, V.M., Gurny, R., Eds.; CRC Press: Boca Raton, 1990; pp. 94–104. [Google Scholar]
- Kreuter, J. Peroral administration of nanoparticles. Adv. Drug Deliv. Rev. 1991, 7, 71–86. [Google Scholar] [CrossRef]
- Ponchel, G.; Montisci, M.J.; Dembri, A.; Durrer, C.; Duchêne, D. Mucoadhesion of colloidal particulate systems in the gastro-intestinal tract. Eur. J. Pharm. Biopharm. 1997, 44, 25–31. [Google Scholar] [CrossRef]
- Lehr, C.M.; Poelma, F.G.J.; Junginger, H.E.; Tukker, J.J. An estimate of the turnover time of intestinal mucus gel layer in the rat in situ loop. Int. J. Pharm. 1994, 70, 235–240. [Google Scholar] [CrossRef]
- Duchêne, D.; Ponchel, G. Bioadhesion of solid oral dosage forms, why and how? Eur. J. Pharm. Biopharm. 1997, 44, 15–23. [Google Scholar]
- Sanders, N.N.; De Smedt, S.C.; Van Rompaey, E.; Simoens, P.; De Baets, F.; Demeester, J. Cystic fibrosis sputum: a barrier to the transport of nanospheres. Am. J. Respir. Crit. Care Med. 2000, 162, 1905–1911. [Google Scholar] [CrossRef]
- Alpar, H.O.; Field, W.N.; Hyde, R.; Lewis, D.A. The transport of microspheres from the gastro-intestinal tract to inflammatory air pouches in the rat. J. Pharm. Pharmacol. 1989, 41, 194–196. [Google Scholar] [CrossRef]
- Hodges, G.M.; Carr, E.A.; Hazzard, R.A.; O’Reilly, C.; Carr, K.E. A commentary on morphological and quantitative aspects of microparticle translocation across the gastrointestinal mucosa. J. Drug Target. 1995, 3, 57–60. [Google Scholar] [CrossRef]
- Florence, A.T.; Hillery, A.M.; Hussain, N.; Jani, P.U. Factors affecting the oral uptake and translocation of polystyrene nanoparticles: histological and analytical evidence. J. Drug Target. 1995, 3, 65–70. [Google Scholar] [CrossRef]
- Ponchel, G.; Irache, J.M. Specific and non-specific bioadhesive particulate systems for oral delivery to the gastrointestinal tract. Adv. Drug Deliv. Rev. 1998, 34, 191–219. [Google Scholar] [CrossRef]
- Florence, A.T.; Hussain, N. Transcytosis of nanoparticle and dendrimer delivery systems: evolving vistas. Adv. Drug Deliv. Rev. 2001, 50, 69–89. [Google Scholar] [CrossRef]
- Freter, R.; O’Brien, P.C.; Macsai, M.S. Role of chemotaxis in the association of motile bacteria with intestinal mucosa: in vivo studies. Infect. Immun. 1981, 34, 234–240. [Google Scholar]
- Berg, R.D. Bacterial translocation from the gastrointestinal tract. Adv. Exp. Med. Biol. 1999, 473, 11–30. [Google Scholar]
- Arbos, P.; Wirth, M.; Arangoa, M.A.; Gabor, F.; Irache, J.M. Gantrez® AN as a new polymer for the preparation of ligand-nanoparticle conjugates. J. Control. Release 2002, 83, 321–330. [Google Scholar]
- Schreiber, A.B.; Haimovich, J. Quantitative fluorimetric assay for detection and characterisation of Fc receptors. Met. Enzymol. 1983, 93, 147–155. [Google Scholar]
- Patai, S.; Rappoport, Z. (Eds.) The chemistry of sulphur-containing functional groups; John Wiley & Sons: Chichester, U.K, 1993.
- Arbos, P.; Arangoa, M. A.; Campanero, M.A.; Irache, J.M. Quantification of the bioadhesive properties of protein-coated PVM/MA nanoparticles. Int. J. Pharm. 2002, 242, 129–136. [Google Scholar]
- Arbos, P.; Campanero, M. A.; Arangoa, M.A.; Renedo, M.J.; Irache, J.M. Influence of the surface characteristics of PVM/MA nanoparticles on their bioadhesive properties. J. Control. Release 2003, 83, 19–30. [Google Scholar]
- Shimoda, J.; Onishi, H.; Machida, Y. Bioadhesive characteristics of chitosan microspheres to the mucosa of rat small intestine. Drug Dev. Ind. Pharm. 2001, 27, 567–576. [Google Scholar] [CrossRef]
- Durrer, C.; Irache, J.M.; Puisieux, F.; Duchene, D.; Ponchel, G. Mucoadhesion of latexes. I. Analytical methods and kinetic studies. Pharm. Res. 1994, 11, 674–679. [Google Scholar] [CrossRef]
- Durrer, C.; Irache, J.M.; Puisieux, F.; Duchene, D.; Ponchel, G. Mucoadhesion of latexes II. Adsorption isotherms and desorption studies. Pharm. Res. 1994, 11, 680–683. [Google Scholar] [CrossRef]
- Irache, J.M.; Durrer, C.; Duchene, D.; Ponchel, G. Bioadhesion of lectin-latex conjugate to the rat intestinal mucosa. Pharm Res. 1996, 13, 1716–1719. [Google Scholar] [CrossRef]
- Dembri, A.; Montisci, M.J.; Duchene, D.; Ponchel, P. Mucoadhesion of poly isobutylcyanoacrylate nanoparticles on the intestinal mucosa. In Proc. Eur. Symp. Formulation of Poorly-available Drugs for Oral Administration; Editions de Sante: Paris, 1996; pp. 342–346. [Google Scholar]
- Dembri, A.; Montisci, M.J.; Gantier, J.C.; Chacun, H.; Ponchel, G. Targeting of 3'-azido 3'-deoxythymidine (AZT)-loaded poly(isohexylcyanoacrylate) nanospheres to the gastrointestinal mucosa and associated lymphoid tissues. Pharm Res. 2001, 18, 467–473. [Google Scholar] [CrossRef]
- Norris, D.A.; Sinko, P.J. Effect of size, surface charge and hydrophobicity on the translocation of polystyrene microspheres through gastrointestinal mucin. J. Appl. Polym. Sci. 1997, 63, 1481–1492. [Google Scholar]
- Scherrer, D.; Mooren, F. C.; Kinne, R.K.H.; Kreuter, J. In vitro permeability of PBCA nanoparticles through porcine small intestine. J. Drug Target. 1994, 1, 21–28. [Google Scholar]
- AKinloch, A.J. The science of adhesion: I. Surface and interfacial aspects. J. Mater. Sci. 1980, 15, 2141–2166. [Google Scholar] [CrossRef]
- Carino, G.P.; Jacob, J.S.; Mathiowitz, E. Nanosphere based oral insulin delivery. J. Control. Release 2000, 65, 261–269. [Google Scholar] [CrossRef]
- Arangoa, M.A.; Campanero, M.A.; Renedo, M.J.; Ponchel, G.; Irache, J.M. Gliadin nanoparticles as carriers for the oral administration of lipophilic drugs. Relationships between bioadhesion and pharmacokinetics. Pharm. Res. 2001, 18, 1521–1527. [Google Scholar] [CrossRef]
- Araujo, L.; Sheppard, M.; Löbenberg, R.; Kreuter, J. Uptake of PMMA nanoparticles from the gastrointestinal tract after oral administration to rats: modification of the body distribution after suspension in surfactant solutions and in oil vehicles. Int. J. Pharm. 1999, 176, 209–224. [Google Scholar]
- Akiyama, Y.; Nagahara, N.; Kashihara, T.; Hirai, S.; Toguchi, H. In vitro and in vivo evaluation of mucoadhesive microspheres prepared for the gastrointestinal tract using polyglycerol esters of fatty acids and a poly(acrylic acid) derivative. Pharm. Res. 1995, 12, 397–405. [Google Scholar]
- Russell-Jones, G.J.; Veitch., H.; Arthure, L. Lectin-mediated transport of nanoparticles across Cco-2 and OK cells. Int. J. Pharm. 1999, 190, 165–174. [Google Scholar] [CrossRef]
- Gabor, F.; Schwarzbauer, A.; Wirth, M. Lectin mediated drug delivery binding and uptake of BSA-WGA conjugates using Caco-2 model. Int. J. Pharm. 2002, 237, 227–239. [Google Scholar] [CrossRef]
- Naisbett, B.; Woodley, J.F. Binding of tomato lectin to the intestinal mucosa and its potential for oral drug delivery. Biochem. Soc. Trans. 1990, 18, 879–880. [Google Scholar]
- Florence, A.T.; Hillery, A.M.; Hussain, N.; Jani, P.U. Factors affecting the oral uptake and translocation of polystyrene nanoparticles: histological and analytical evidence. J. Drug Target. 1995, 3, 65–70. [Google Scholar] [CrossRef]
- Arangoa, M.A.; Ponchel, G.; Orecchioni, A.M.; Renedo, M.J.; Duchêne, D.; Irache, J.M. Bioadhesive potential of gliadin nanoparticulate systems. Eur. J. Pharm. Sci. 2000, 11, 333–341. [Google Scholar] [CrossRef]
- Rubas, W.; Banerjea, A.C.; Gallati, H.; Speiser, P.P.; Joklik, W.K. Incorporation of the reovirus M cell attachment protein into small unilamellar vesicles: incorporation efficiency and binding capacity to L929 cells in vitro. J. Microencaps. 1990, 7, 385–395. [Google Scholar] [CrossRef]
- Hussain, N.; Florence, A.T. Invasin-induced oral uptake of nanospheres: utilising bacterial mechanisms of epithelial cell entry. J. Control. Release 1996, 41, S3–S4. [Google Scholar]
- Pappo, J.; Ermak, T.H.; Steger, H.J. Monoclonal antibody-directed targeting of fluorescent polystyrene microspheres to Peyer's patch M cells. Immunology 1991, 73, 277–280. [Google Scholar]
- Smith, M.W.; Thomas, N.W.; Jenkins, P.G.; Miller, N.G.A.; Cremaschi, D.; Porta, C. Selective transport of microparticles across Peyer's patch follicle-associated M cells from mice and rats. Exp. Physiol. 1995, 80, 735–743. [Google Scholar]
- Rathi, R.C.; Kopecekova, P.; Rihova, P.; Kopecek, J. N-(2-hydroxypropyl)-methacrylamide copolymers containing pendant saccharide moieties. Synthesis and bioadhesive properties. J. Polym. Sci., Part A. Polym. Chem. 1991, 29, 1895–1902. [Google Scholar] [CrossRef]
- Rihova, B.; Rathi, R.; Kopecekova, P.; Kopecek, J. In vitro bioadhesion of carbohydrate containing N-(hydroxypropyl)-methacrylamide copolymers to the GI tract of guinea pigs. Int. J. Pharm. 1992, 87, 105–116. [Google Scholar] [CrossRef]
- Russell-Jones, G.J.; Westwood, S.W.; Habberfield, A. Vitamin B12 mediated oral delivery systems for granulocyte-colony stimulating factor and erythropoietin. Bioconj. Chem. 1995, 4, 459–465. [Google Scholar] [CrossRef]
- Ezpeleta, I.; Arangoa, M.A.; Irache, J. M.; Stainmesse, S.; Chabenat, C.; Popineau, Y.; Orecchioni, A.M. Preparation of Ulex europaeus lectin-gliadin nanoparticle conjugates and their interaction with gastrointestinal mucus. Int. J. Pharm. 1999, 191, 25–32. [Google Scholar] [CrossRef]
- Clark, M.A.; Blair, H.; Liang, L.; Bery, R.N.; Brayden, D.; Hirst, B.H. Targeting polymerized liposome vaccine carrier to intestinal M cells. Vaccine 2002, 20, 208–217. [Google Scholar] [CrossRef]
- Russell-Jones, G.J. Oral drug delivery via the vitamin B12 uptake system. Pharm. Manuf. Int. 1994, 6, 81–82. [Google Scholar]
- Noah, N.D.; Bender, E.A.; Reaidi, G.B.; Gilbert, R.J. Food poisoning from raw red kidney beans. Br. Med. J. 1980, 281, 236–237. [Google Scholar]
- Jepson, M.A.; Mason, C.M.; Clark, M.A.; Simmons, N.L.; Hirst, B.H. Variations in lectin binding properties of intestinal M cells. J. Drug Target. 1995, 3, 75–77. [Google Scholar] [CrossRef]
- Giannasca, P.J.; Giannasca, K.T.; Falk, P.; Gordon, J.I.; Neutra, M.R. Regional differences in glycoconjugates of intestinal M cells in mice: potential targets for mucosal vaccines. Am. J. Physiol. (Gastrointest. Liver Physiol. 30) 1994, 267, 1108–1121. [Google Scholar]
- Hassan, E.E.; Gallo, J.M. A simple rheological method for the in vitro assessment of mucin-polymer bioadhesive bond strength. Pharm. Res. 1990, 7, 491–495. [Google Scholar] [CrossRef]
- Thummel, K.E.; Kunze, K.L.; Shen, D.D. Enzyme-catalized process of first-pass hepatic and interstinal drug extraction. Adv. Drug Deliv. Sys. 1997, 27, 99–127. [Google Scholar] [CrossRef]
- Gu, J.; Yuasa, H.; Hayashi, Y.; Watanabe, J. First-pass metabolism of 5-fluorouracil in the perfused rat small intestine. Biol. Pharm. Bull. 1998, 21, 871–873. [Google Scholar] [CrossRef]
- McKinnon, R.A.; Burgess, W.M.; Hall, P.; Roberts-Thomson, S.J.; Gonzalez, F.J.; McManus, M.E. Characterization of CYP3A gene subfamily expression in human gastrointestinal tissues. Gut 1995, 36, 259–267. [Google Scholar] [CrossRef]
© 2005 by MDPI (http://www.mdpi.org). Reproduction is permitted for noncommercial purposes.
Share and Cite
Irache, J.M.; Huici, M.; Konecny, M.; Espuelas, S.; Campanero, M.A.; Arbos, P. Bioadhesive Properties of Gantrez Nanoparticles. Molecules 2005, 10, 126-145. https://doi.org/10.3390/10010126
Irache JM, Huici M, Konecny M, Espuelas S, Campanero MA, Arbos P. Bioadhesive Properties of Gantrez Nanoparticles. Molecules. 2005; 10(1):126-145. https://doi.org/10.3390/10010126
Chicago/Turabian StyleIrache, Juan M., María Huici, Monica Konecny, Socorro Espuelas, Miguel Angel Campanero, and Pau Arbos. 2005. "Bioadhesive Properties of Gantrez Nanoparticles" Molecules 10, no. 1: 126-145. https://doi.org/10.3390/10010126
APA StyleIrache, J. M., Huici, M., Konecny, M., Espuelas, S., Campanero, M. A., & Arbos, P. (2005). Bioadhesive Properties of Gantrez Nanoparticles. Molecules, 10(1), 126-145. https://doi.org/10.3390/10010126
