Major Transitions in Language Evolution
Abstract
:1 Introduction
2 Evolving Arbitrary Signals
2.1 Evolutionary dynamics
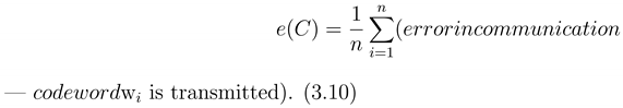
2.2 Errors during transmission
3 Word Formation
Communicating with words
3.1 Shannon’s noisy coding theorem
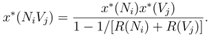
3.2 Coding theory and word-formation
4 The emergence of syntax
4.1 Population dynamics of words
4.2 Evolution of syntax
5 Conclusions
References
- Aboitiz, F.; Garcia, R. The evolutionary origin of the language areas in the human brain. A neuroanatomical perspective. Brain Res. Rev. 1997, 25, 381–396. [Google Scholar] [CrossRef]
- Aoki, K.; Feldman, M. W. Pleiotropy and preadaptation in the evolution of human language capacity. Theor. Popul. Biol. 1989, 35, 181–194. [Google Scholar] [CrossRef]
- Bates, E. Language development. Curr. Opin. Neurobiol. 1992, 2, 180–185. [Google Scholar] [CrossRef]
- Bickerton, D. Language and Species; University of Chicago Press: Chicago, 1990. [Google Scholar]
- Brandon, R. N.; Hornstein, N. From icons to symbols: Some speculations on the origin of language. Biology and Philosophy 1986, 1, 169–189. [Google Scholar]
- Burling, R. Primate calls, human language, and nonverbal communication. Curr. Anthropol. 1993, 34, 25–53. [Google Scholar] [CrossRef]
- Cavalli-Sforza, L. L.; Cavalli-Sforza, F. The Great Human Diasporas: The History of Diversity and Evolution; Thomas, Sarah, Translator; Addison-Wesley: Reading, MA, 1995. [Google Scholar]
- Cavalli-Sforza, L. L. Genes, peoples, and languages. Proc. Natl. Acad. Sci. USA 1997, 94, 7719–7724. [Google Scholar] [CrossRef] [PubMed]
- Cavalli-Sforza, L. L.; Feldman, M. W. Cultural Transmission and Evolution: A Quantitative Approach; Princeton University Press: Princeton, 1981. [Google Scholar]
- Cheney, D.; Seyfarth, R. How Monkeys See the World; University of Chicago Press: Chicago, 1990. [Google Scholar]
- Chomsky, N. Aspects of the Theory of Syntax; MIT Press: Cambridge, MA, 1965. [Google Scholar]
- Chomsky, N. Language and Mind; Harcourt Brace Jovanovich: New York, 1972. [Google Scholar]
- Chomsky, N. Language and Problems of Knowledge: The Managua Lectures; MIT Press: Cambridge, MA, 1988. [Google Scholar]
- Cole, R. A.; Jakimik, J. A model of speech perception. In Perception and Production of Fluent Speech; Cole, R. A., Ed.; Erlbaum: Hillsdale, NJ, 1980. [Google Scholar]
- Corballis, M. The Lopsided Ape; Oxford University Press: New York, 1991. [Google Scholar]
- Deacon, T. The Symbolic Species; Penguin Books: London, 1997. [Google Scholar]
- Dress, A.; Mueller, S.; Nowak, M. The information storage capacity of compact metric spaces. 2001, preprint.
- Estoup, J. B. Gammes Stenographique; Gauthier-Villars: Paris, 1916. [Google Scholar]
- Gopnik, M.; Crago, M. Familial aggregation of a developmental language disorder. Cognition 1991, 21, 1–50. [Google Scholar] [CrossRef]
- Grassly, N. C.; Krakauer, D. C.; Von Haessler, A. Population structure and the origin of referential sign systems. J. theor. Biol. 2001, in press. [Google Scholar]
- Greenberg, J. H. Language, Culture, and Communication; Stanford University Press: Stanford, CA, 1971. [Google Scholar]
- Hauser, M. D. The Evolution of Communication; Harvard University Press: Cambridge, MA, 1996. [Google Scholar]
- Hurford, J. R. Biological evolution of the Saussurean sign as a component of the language acquisition device. Lingua 1989, 77, 187–222. [Google Scholar] [CrossRef]
- Hurford, J. R. The evolution of the critical period for language acquisition. Cognition 1991, 40, 159–201. [Google Scholar] [CrossRef]
- Hurford, J. R.; Studdert-Kennedy, M.; Knight, C. (Eds.) Approaches to the Evolution of Language; Cambridge University Press: Cambridge, 1998.
- Hutsler, J. J.; Gazzaniga, M. S. The organization of human language cortex: Special adaptation or common cortical design? Neuroscientist 1997, 3, 61–72. [Google Scholar] [CrossRef]
- Jackendoff, R. S. The Architecture of the Language Faculty; MIT Press: Cambridge, MA, 1997. [Google Scholar]
- Komarova, N. L.; Nowak, M. A. Natural selection of the critical period for grammar acquisition. ProcR Soc Lond B 2001. submitted. [Google Scholar] [CrossRef] [PubMed]
- Krakauer, D. C. Kin imitation for a private sign system. Evolution 2001. submitted. [Google Scholar]
- Liberman, A. M.; Cooper, F. S.; Shankweiler, D. P.; Studdert-Kennedy, M. Perception of the speech code. Psychological Review 1967, 74, 431–461. [Google Scholar] [CrossRef] [PubMed]
- Lieberman, P. The Biology and Evolution of Language; Harvard University Press: Cambridge, MA, 1984. [Google Scholar]
- Mandelbrot, B. Les lois statistique macroscopiques du comportment. Psychol. Francaise 1958, 3, 237–249. [Google Scholar]
- Maynard Smith, J. Evolution and the Theory of Games; Cambridge University Press: Cambridge, 1982. [Google Scholar]
- Maynard Smith, J.; Szathmary, E. The Major Transitions in Evolution; W. H. Freeman Spektrum: Oxford; New York, 1995. [Google Scholar]
- Maynard Smith, J.; Szathmary, E. The Origins of Life; Oxford University Press: Oxford, 1999. [Google Scholar]
- Miller, G. A. The Psychology of Communication; Penguin Books: London, 1967. [Google Scholar]
- Miller, G. A. Language and Speech; W. H. Freeman and Company: San Francisco, 1981. [Google Scholar]
- Miller, G. A. The Science of Words; Scientific American Library: New York, 1991. [Google Scholar]
- Miller, G. A.; Chomsky, N. Finitary models of language users. In Handbookof Mathematical Psychology, Vol. 2; Luce, R. D., Bush, R., Galanter, E., Eds.; Wiley: New York, 1963; pp. 419–491. [Google Scholar]
- Nagy, W. E.; Diadikoy, L.; Anderson, R. The acquisition of morphology: Learning the contribution of suffixes to the meanings of derivatives. Journal of Reading Behavior 1993, 25, 155–170. [Google Scholar] [CrossRef]
- Nagy, W. E.; Anderson, R. C. How many words are there in printed school English? Reading Research Quarterly 1984, 19, 304–330. [Google Scholar] [CrossRef]
- Newmeyer, F. Functional explanation in linguistics and the origin of language. Language and Communication 1991, 11, 3–96. [Google Scholar] [CrossRef]
- Newport, E. Maturational constraints on language learning. Cognitive Sci. 1990, 14, 11–28. [Google Scholar] [CrossRef]
- Niyogi, P. The Informational Complexity of Learning; Kluwer Academic Publishers: Boston, 1998. [Google Scholar]
- Niyogi, P.; Berwick, R. C. A language learning model for finite parameter spaces. Cognition 1996, 61, 161–193. [Google Scholar] [CrossRef]
- Nobre, A.; Allison, T.; McCarthy, G. Word recognition in the human inferior temporal lobe. Nature 1994, 372, 260–263. [Google Scholar] [CrossRef] [PubMed]
- Nowak, M. A.; Krakauer, D. C. The evolution of language. Proc. Nat. Acad. Sci. USA 1999, 96, 8028–8033. [Google Scholar] [CrossRef] [PubMed]
- Nowak, M. A.; Krakauer, D. C.; Dress, A. An error limit for the evolution of language. Proc. R. Soc. Lond. B. 1999, 266, 2131–2136. [Google Scholar] [CrossRef] [PubMed]
- Nowak, M. A.; Plotkin, J. B.; Krakauer, D. C. The evolutionary language game. J. theor. Biol. 1999, 200, 147–162. [Google Scholar] [CrossRef] [PubMed]
- Nowak, M. A.; Plotkin, J. B.; Jansen, V. A. A. The evolution of syntactic communication. Nature 2000, 404, 495–498. [Google Scholar] [CrossRef] [PubMed]
- Pinker, S. The Language Instinct; William Morrow and Company: New York, 1994. [Google Scholar]
- Pinker, S. Words and Rules; Basic Books: New York, 1999. [Google Scholar]
- Pinker, S.; Bloom, P.; commentators. Natural language and natural selection. Behavioral and Brain Sciences 1990, 13, 707–784. [Google Scholar] [CrossRef]
- Plotkin, J.B.; Nowak, M. A. Language evolution and information theory. J. theor. Biol. 2000, 205, 147–159. [Google Scholar] [CrossRef] [PubMed]
- Seyfarth, R.; Cheney, D.; Marler, P. Monkey responses to three different alarm calls: evidence of predator classification and semantic communication. Science 1980, 210, 801–803. [Google Scholar] [CrossRef] [PubMed]
- Smith, W. J. The Behavior of Communicating; Harvard University Press: Cambridge, MA, 1977. [Google Scholar]
- Steels, L. The synthetic modelling of language origins. Evolution of Communication Journal 1997, 1. [Google Scholar]
- Trapa, P. E.; Nowak, M. A. Nash equilibria for an evolutionary language game. Journal of Mathematical Biology 2000, 41, 172–188. [Google Scholar] [CrossRef] [PubMed]
- Von Frisch, K. The Dance Language and Orientation of Bees; Harvard University Press: Cambridge, MA, 1967. [Google Scholar]
- Yasuda, N.; Cavalli-Sforza, L. L.; Skolnick, M.; Moroni, A. The evolution of surnames: an analysis of their distribution and extinction. Theor. Popul. Biol. 1974, 5, 123–142. [Google Scholar] [CrossRef]
- Zipf, G. K. The Psychobiology of Language; Houghton-Mifflin: Boston, 1935. [Google Scholar]
- *The authors gratefully acknowledge support from the Alfred P. Sloan Foundation, The Ambrose Monell Foundation, The Florence Gould Foundation, and the J. Seward Johnson Trust. J.B.P also acknowledges support from the National Science Foundation and the Burroughs Wellcome Fund
©2001 by the authors. Reproduction for noncommercial purposes permitted.
Share and Cite
Plotkin, J.B.; Nowak, M.A. Major Transitions in Language Evolution. Entropy 2001, 3, 227-246. https://doi.org/10.3390/e3040227
Plotkin JB, Nowak MA. Major Transitions in Language Evolution. Entropy. 2001; 3(4):227-246. https://doi.org/10.3390/e3040227
Chicago/Turabian StylePlotkin, Joshua B., and Martin A. Nowak. 2001. "Major Transitions in Language Evolution" Entropy 3, no. 4: 227-246. https://doi.org/10.3390/e3040227
APA StylePlotkin, J. B., & Nowak, M. A. (2001). Major Transitions in Language Evolution. Entropy, 3(4), 227-246. https://doi.org/10.3390/e3040227
